Resumen: A partir de extractos metanólicos de flores de Cordia alba (Plantae: Boraginaceae) se aisló la alantoína en forma cristalina. Esta fue caracterizada estructuralmente mediante análisis de resonancia magnética nuclear uni y bidimensional, difracción de rayos X de cristal único y espectrometría de masas mediante ionización por electronebulización. La existencia de alantoína en C. alba justifica el uso etnobotánico de especies de Cordia como cicatrizante en la medicina folclórica. Además, esto demuestra que la alantoína es un posible marcador quimiotaxonómico en este género vegetal.
Palabras clave:CordianinaCordianina, marcador quimiotaxonómico marcador quimiotaxonómico, estructura cristalina estructura cristalina.
Abstract: From methanolic extracts of flowers of Cordia alba (Plantae: Boraginaceae), allantoin was isolated in crystalline form. It was structurally characterized by analysis of uni- and two-dimensional nuclear magnetic resonance, single crystal X-ray diffraction and mass spectrometry using electrospray ionization. The existence of allantoin in C. alba justifies the ethnobotanical use of Cordia species as a healing agent in folk medicine. Results shows that allantoin is a possible chemotaxonomic marker in this vegetable genus.
Keywords: Cordianine, chemotaxonomic scoreboard, crystal structure.
AISLAMIENTO Y CARACTERIZACIÓN QUÍMICA DE LA ALANTOÍNA A PARTIR DE FLORES DE Cordia alba (Jacq)
ISOLATION AND CHEMICAL CHARACTERIZATION OF ALLANTOIN FROM FLOWERS OF Cordia alba (Jacq)
Recepción: 01 Febrero 2016
Aprobación: 01 Junio 2016
El género Cordia pertenece a la familia Boraginaceae, formada por unas 300 especies distribuidas en todo el mundo, principalmente en las regiones más cálidas (Thirupathi et al. 2008). Muchas especies de Cordia son utilizadas en la medicina tradicional como cicatrizante, astringente, anti-inflamatorio, antihelmíntico, antipalúdico, antidiurético, febrífugo, supresor del apetito y la tos, además para el tratamiento de infecciones urinarias y lepra (Agnihotri et al. 1987, Sertié et al. 1990, Kuppast y Nayak 2006, Thirupathi et al. 2008, Al-Musayeib et al. 2011). Varios tipos de compuestos como flavonoides (Wang et al. 1996, Al-Musayeib et al. 2011), terpenos (Jane et al. 2001, Bina et al. 2006), saponinas (Renata et al. 2003, 2007), alcaloides (Parks et al. 2010) y ácidos grasos (Geller et al. 1997), que poseen una amplia gama de bioactividades han sido aislados de diferentes órganos de plantas del genero Cordia. La presencia de algunos de estos compuestos confirman la utilización de diferentes especies del genero Cordia en la medicina tradicional (Loset et al. 2000, Jean-Robert et al. 2000, Menezes et al. 2005, Afzal et al. 2007, Mori et al. 2008, Ferrari et al. 2011). La especie Cordia alba (Jacq), es comúnmente conocida por sus frutos de color blancuzco con una pulpa clara, jugosa, comestible ligeramente dulce con un jugo mucilaginoso que se emplea como pegamento (Méndez 2000). Las hojas, además, se utilizan en la medicina casera como emolientes, sus flores en infusión como expectorante y sudorífico, mientras que el fruto en cocimiento es antidiarreico (Font Quer 1973, Méndez 2000, Acero 2005, Chízmar 2009). Esta planta es muy común en los alrededores de Cumaná, particularmente en las áreas de drenajes y al lado de los caminos (Torres 1968). En el presente estudio se aisló la alantoína (también llamada 5-ureidohidantoína, glioxildiureído o cordianina) a partir de un extracto metanólico de flores de Cordia alba, este es su primer reporte sobre el aislamiento de esta fuente vegetal, siendo una contribución fitoquímica al conocimiento de los constituyentes de esta planta, además respalda su denominación como marcador quimiotaxonómico en este género vegetal, en correlación con Tapondjou et al. (2005) y Peña-Andrade (2007). La alantoína es farmacológicamente activa, ejerce efectos benéficos para la piel, tales como regenerador celular en heridas con recuperación lenta, especialmente osteomielitis (Saito 1984), suavizante, calmante y queratolítico (Moore y Wilkinson 1990). Además, es el producto final del metabolismo de degradación de las bases de purina en animales como reptiles, aves y algunos mamíferos, no obstante, el hombre no la excreta debido a la falta de la enzima uricasa (Chen 1996). Sin embargo, se encuentran rastros de esta sustancia en la sangre humana, debido a la oxidación del ácido úrico, ya que es un importante antioxidante y neutralizador de radicales libres para los seres humanos (Meadows y Smith 1986). Adicionalmente, se expenden cremas con base en alantoína (0,5-2,0%) como productos farmacéuticos para la piel, que promueven la cicatrización de los tejidos dentro del cuerpo, protegen a los tejidos en el estómago, acelerando los procesos de curación de éste y de los intestinos (Xu et al. 2011). Además, en combinación con otras sustancias terapéuticas, la alantoína sinergiza su actividad farmacológica, reduciendo sus efectos secundarios, ampliando su acción farmacológica en productos comerciales usados como antitranspirantes y astringentes (Klippel y Margraf 1974), bronceadores o bloqueadores solares y blanqueadores de la piel (Mecca 1975) y dispositivos poliméricos en prótesis de válvulas e injertos arteriales de diámetro pequeño para evitar la formación de trombos e infecciones en las mismas (Margraf 1976).
Las flores de la planta Cordia alba (Jacq) fueron recolectadas en las adyacencias de la autopista Antonio José de Sucre, Cumaná-estado Sucre-Venezuela, entre julio y agosto de 2010. La identificación de la planta fue realizada por comparación con especímenes depositados en el herbario Isidro Ramón Bermúdez Rodríguez (IRBR) del Departamento de Biología, Núcleo de Sucre de la Universidad de Oriente. El material vegetal secado a temperatura ambiente y a la sombra, fue pulverizado en un molino eléctrico, macerado en metanol y el filtrado concentrado a presión reducida para obtener los extractos crudos. Los extractos crudos resuspendidos en metanol fueron tratados con acetato de plomo acuoso al 4% y dejado en reposo por 24 h, se filtró y la solución resultante fue concentrada a presión reducida. Adicionalmente, a la solución acuosa resultante le fueron realizadas biparticiones orgánicas con cloroformo y n-butanol, para obtener fracciones primarias en cada solvente, además de un remanente acuoso. En el remanente acuoso, secado espontáneamente a temperatura ambiente, se formaron cristales amarillos en forma tubular que por lavados sucesivos con metanol y posterior recristalización en agua bidestilada a ebullición y enfriamiento lento se obtuvieron cristales de alantoína.
Los análisis espectroscópicos de los cristales de alantoína aislados fueron realizados en un espectrómetro Bruker Advance de 500 MHz para análisis de Resonancia Magnética Nuclear de protones (RMN 1H) y experimentos bidimensionales, mientras que para RMN 13C se usó un espectrómetro Bruker advance de 300 MHz. La recolección de los datos de intensidad se llevó a cabo con un difractómetro de cuatro círculos Rigaku AFC7S equipado con un detector de área bidimensional, operando con radiación Mo Kα (λ = 0,7107 Å) monocromada por un cristal de grafito. La estructura cristalina se resolvió usando el programa CrystalClearTM 1.3.6 SP2 (Copyright © 2006-2009, Rigaku Americas Corporation) y se refinó con el programa SHELXTL V5.2 (Bruker SHELXTL-NT 1998). Las posiciones atómicas y los parámetros de desplazamientos fueron utilizados para realizar las representaciones gráficas de la estructura con el programa DIAMOND 2.1e (Brandenburg 1996-2001). Los análisis de espectrometría de masas mediante ionización por electrospray (ESI-MS) fueron realizados en un espectrómetro de masas cuadripolar (QMS) Finnigan TSQ Quantum Thermo Scientific-Scientific instruments. El punto de fusión fue determinado en un fusiómetro Thermolyne (Dubuque, Iowa. USA).
De los extractos crudos tratados con acetato de plomo al 4% acuoso, se obtuvieron mediante biparticiones con cloroformo masas de 0,1140 y 0,3482 g, de la flor-1 (FCF1), flor-2 (FCF2), respectivamente, con rendimientos en masas de 2,07%, 3,62%, respecto al extracto crudo. Además, masas de 0,9686 y 0,3361 g para las biparticiones en n-butanol de la flor-1 (FBF1) y flor-2 (FBF2), respectivamente, con rendimientos de 17,62%; 3,50%, respecto al extracto crudo. Además, un remanente acuoso de la flor-1, del cual se aisló un compuesto cristalino de color amarillo, incoloro una vez recristalizado en agua, presentó un punto de fusión de 240-242ºC y masa de 0,2276 g. Este compuesto fue analizado por RMN, ESI/MS y difracción de rayos-X de cristal único para su identificación.
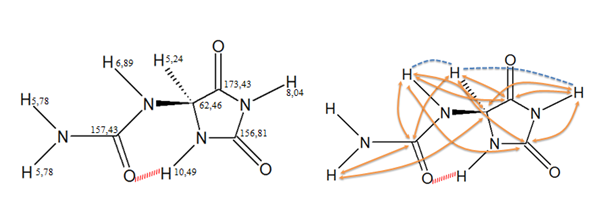
El espectro de RMN 1H (500 MHz, DMSO d6) de los cristales de alantoína aislados muestra señales con desplazamientos químicos (δ, ppm) en todas las regiones del espectro. A campo bajo, presenta tres señales que integran para un protón, dos en forma de singulete con δ 10,49 y 8,04 ppm, y un doblete con δ 6,89 ppm (J = 8,01 Hz). A campo intermedio se observa un singulete con δ 5,78 ppm, que integra para dos protones y un doblete con δ 5,24 ppm (J = 8,01 Hz), que integra para un protón. Esta última señal de protón se acopla con la señal de protones con δ 6,89 ppm, siendo estas las únicas correlaciones entre protones vecinales en el espectro. Los desplazamientos químicos observados sugieren la conectividad de protones a átomos muy electronegativos, principalmente átomos de nitrógeno, por dar el compuesto positivo con el reactivo de Dragendorff. El espectro de RMN 13C (75 MHz, DMSO d6) muestra cuatro señales, tres de ellas con desplazamientos químicos (δ) a campo bajo (173,62, 157,43 y 156,81 ppm) correspondientes a carbonos de grupos carboxílicos tipo amida y la otra señal a campo alto con δ de 62,46 ppm. Dos de las tres señales que aparecen a campo bajo corresponden a carbonos unidos a átomos electronegativos donadores de densidad electrónica por efecto de resonancia que causan apatantallamiento del núcleo de carbono, como nitrógeno, de acuerdo con los valores de desplazamiento químico (157,43 y 156,81 ppm) (Tabla 1).

El experimento de correlación homonuclear COSY H-H (500 MHz, DMSO d6), sólo evidencia correlación entre los protones H5 y H2. De manera similar, hay un acoplamiento entre los protones H5 y H4, no obstante, la señal H4 se observa como un singulete, sugiriendo un acoplamiento débil a larga distancia en forma de W. Los protones H3 y H1 no presentan correlación en este espectro. En el experimento de correlación cuántica múltiple heteronuclear C-H, HMQC (500 MHz, DMSO d6), sólo exhibe conectividad entre H5 y C3, confirmando lo observado en el espectro de carbono, en el cual, tres de las cuatro señales corresponden a carbonos carboxílicos tipo amida, indicando que H1, H2, H3 y H4 están unidos a átomos de N. El experimento de correlación heteronuclear a larga distancia H-C, HMBC (500 MHz, DMSO d6), generó un espectro en el que se observan doce señales; un carbono carboxílico (C1, δ 173,62 ppm) que interacciona con los protones H4, H5 y H2, las dos primeras correlaciones son a dos enlaces y la tercera a tres enlaces. Existen otras correlaciones, a dos enlaces entre C4 (δ 157,43 ppm) con los protones H1 y H2 y otra a tres enlaces con H5. También, se observan correlaciones entre otro carbono carboxílico C2 (δ 156,81 ppm) con los protones H4, H5, H1 y H2 a dos, tres y a cuatro enlaces, esta última en forma W. Un carbono metilénico asimétrico C3 (δ 62,46 ppm) muestra conectividad directa con H5, además de interacciones con los protones H4 y H1 a tres y cuatro enlaces (esta última en forma W), así como una interacción vecinal a tres enlaces con H2, enlazado a nitrógeno (Tabla 2).

Los resultados espectroscópicos de RMN permitieron establecer las diferentes conectividades H-C en la estructura de la alantoina y denotarlos con números para su mejor comprensión. El desplazamiento químico de H3, enlazado a N3, se debe a que forma interacción puente de hidrógeno con el oxígeno unido al C4, esto se debe a que en solución hay menor restricción de rotación de enlace. Esto es reforzado en el espectro HMBC donde se observa fuerte interacción H-C, a su vez el C4 interacciona con los protones H1 y H2, enlazados a N1 y N2, respectivamente. Sugiriendo la cercanía entre ambos grupos de protones e indicando la existencia de un resto ureido –NH-CO-NH2 en la molécula. El protón H4, unido a N4, no genera interacción en el espectro HMQC. Sin embargo, presenta correlaciones a larga distancia en el espectro HMBC con los carbonos carboxílicos C1 y C2, esto indica interacciones vecinales tipo imida; a su vez, ambos carbonos interaccionan con el H5 enlazado a C3. Esto supone una estructura cíclica de cinco miembros que incluye al nitrógeno (N3) enlazado al protón H3. Además, se determinó la unión del residuo ureido –NH-CO-NH2 con el carbono metilénico asimétrico C3, –CH-NH-CO-NH2, para dar lugar a la estructura de la alantoína. Las interacciones observadas indican un anillo heterocíclico de 5 miembros propio de una hidantoína.
Estos resultados de RMN están en concordancia con lo reportado por Ferreira et al. (2000) para la alantoína, que señalan la ausencia de interacciones entre H5 y el protón vecinal H3 debida a la conformación que mantiene un ángulo diedro alrededor de 90º entre ellos, explicando lo observado en este estudio en cuanto a la inexistencia de acoplamiento entre ambos protones. En otro orden de ideas, la conformación estructural de la alantoína, es justificada por los acoplamientos tipo W entre los protones H4 y H5, una interacción poco común de observar en un espectro COSY. Además de la correlación observada en el espectro HMBC entre el carbono C3 y H1; y la correlación entre C2 y H2. Previo a este estudio no ha habido reporte del aislamiento y caracterización de alantoína de la planta Cordia alba (Fig. 1)

El espectro de masas mediante ionización por electrospray (siglas en inglés, ESI-MS) presenta el pico del ion molecular en modo de ion negativo (M-1), con relación m/z de 156,96 uma, confirma la masa molar de la alantoína, C4H6N4O3 (158 g/mol). Otros iones derivados del ion molecular tienen relación m/z de 179,09 y 192,97 uma, corresponden a la formación de aductos de la alantoína con iones sodio y cloruro, respectivamente. También, se observa un pico de un ion con m/z 314,99, concordante con el doble de la masa de la alantoína (2M-1), esto sugiere la formación de un dímero por interacción puente de hidrógeno intermolecular entre moléculas de alantoina en solución. El análisis de ESI-MS/MS del ion molecular generó iones fragmentos con relaciones m/z de 114,09 [M-NH2CO]-, 97,00 [M-1-NH2COHNH]-, 70,75 [C2NO2]-, 59,11 [NH2CONH]- y 43,98 [H2NCO]-, 42,16 [NCO]-.
Los datos cristalográficos de la alantoína indican que cristaliza en el sistema cristalino monoclínico con grupo espacial P21/C y parámetros de la celda unidad: a = 8,040(2) Å, b = 5,155(14) Å, c = 14,819(5) Å, y β = 93,03°. La tabla 3 muestra un resumen del resultado del refinamiento de la estructura cristalina de la alantoína.
La unidad asimétrica de la estructura cristalina, con desplazamientos anisotrópicos a un nivel de probabilidad de 50% se detalla en la Figura 2. Estructuralmente la unidad asimétrica consiste en un anillo de cinco miembros, con conformación semi-silla distorsionada, con un centro quiral con configuración R. La rigidez impuesta por el grupo amido entre los átomos C4 y N2 hace que el anillo heterocíclico y el átomo N1 se encuentren en posición trans. Esta rigidez hace posible la interacción de enlace de hidrógeno entre el O1 y el H3.


El arreglo extendido de la alantoína se mantiene por una intrincada red de interacciones de enlace de hidrógeno intermoleculares, en las que participan tres átomos de oxígeno carboxílicos, un grupo imido, y cuatro átomos de hidrógeno amídicos. Estas interacciones generan un ensamble supramolecular en forma de “S” en una dimensión a lo largo del eje c (Fig. 3). Así mismo, entre los ensamblajes unidimensionales, se observan interacciones enlace de hidrógeno entre los átomos de un apilamiento con átomos del apilamiento vecino, incrementando la estabilidad y completando así el arreglo tridimensional de la estructura cristalina.

Las distancias de las interacciones de enlace de hidrógeno en el arreglo en una dimensión de la estructura cristalina de la alantoína son N2-H2×××O3 = 2,7565 (6) Å, N1-H1b×××O2= 2,6192 (8) Å y H1a×××O2 = 3,1018 (8) Å, estas dos últimas interacciones de enlace de hidrógeno son del tipo bifurcado, donde el grupo aceptor (O) puede enlazarse a la vez a más de un grupo donador (NH2). Las distancias de las interacciones enlace de hidrógeno observadas entre arreglos unidimensionales individuales son N3-H3×××O1 = 2,1089 (5) Å, y N2-H2×××O1 = 3,4610 (9) Å (Fig. 4).

La extensiva estabilización de la arquitectura cristalina de la alantoina mediante interacciones de enlace de hidrógeno, entre los grupos polares amida y carboxilo, genera la arquitectura supramolecular en tres dimensiones en las que se pueden observar canales claramente definidos que se extienden a lo largo del eje cristalográfico a (Fig. 5a) y b (Fig. 5b).

Los datos cristalográficos de la alantoína aislada son comparables a los reportados en investigaciones previas (Mootz 1965), donde se encontró una conformación alrededor del enlace C3-N2 que dirige al átomo de O1 por encima del anillo heterocíclico, adoptando la molécula una geometría tipo escorpión, que dificulta la interacción enlace de hidrógeno entre O1 y H3, propuesta mediante análisis de RMN. Esto, probablemente, se debe a que, en solución la libre rotación del resto ureido de la molécula facilita que el átomo O1 interaccione con H3, permitiendo la formación de un enlace de hidrógeno que es evidenciada por el desplazamiento químico en el espectro de RMN de 1H. Mientras que en estado sólido la molécula de alantoína tiene una mayor restricción de rotación de enlace, situándose estos átomos en ángulos a mayor distancia, adoptando una configuración más estable en la que las tensiones torsionales y angulares son mínimas, lo cual es observándose por DR-X de cristal único.
La presencia de alantoina en flores de Cordia alba sustenta el uso de este género vegetal en la medicina tradicional como cicatrizante. Además, esto corrobora que es un marcador quimiotaxonómico del género Cordia. La alantoina aislada tiene configuración absoluta R en su único centro quiral, forma redes moleculares en forma de S mediante interacciones puente de hidrógeno intermolecular en estado sólido, así como también interacciones puente de hidrógeno en estado líquido, determinadas de los diferentes datos espectroscópicos de DR-X, RMN y ESI-MS, aspectos que no han sido descritos para esta sustancia que le confieren alta estabilidad a la molécula.







