Glass formation and the structural study of the Sb2O3-SbPO4-WO3 system
Glass formation and the structural study of the Sb2O3-SbPO4-WO3 system
Eclética Química, vol. 42, pp. 51-59, 2017
Universidade Estadual Paulista Júlio de Mesquita Filho

Received: 09 October 2017
Accepted: 27 November 2017
Published: 30 December 2017
Abstract: Glasses in the ternary system (Sb.O.)(0.6- x)(SbPO.)(0.4)(WO.)(x), with composition 0.1 x 0.5 (in mol %) were studied. The structural changes due to the replacement of Sb.O. by WO. have been investigated. It was found that the incorporation of WO. enhances the thermal stability of the glasses against devitrification when compared to the binary Sb.O3(0.6) - SbPO4(0.4) composition. The connectivity of the network increases with WO. content which is consistent with the high values of the glass transition temperature. Raman studies suggest that WO. incorporation breaks the primary network, constituted by antimony oxide, while a second network containing WO. octahedral units is built up. Thermal and structural properties were evaluated by differential scanning calorimetry, infrared and Raman spectroscopies, 31P Magic Angle Spinning NMR and X-ray absorption near edge structure (XANES) at L. and L. edges of Sb and L. edge of W atoms.
Keywords: Antimony, Tungsten, Raman spectroscopy, Structural properties.
Introduction
Antimony oxide based glasses have been the subject of interesting studies in the last years1,2,3,4,5,6,7,8,9,10,11 and have been claimed to be useful in important fields of the materials science, such as photonics12,13,14,15,16 and plasmonics17,18,19. These materials present low phonon energy (~600-700 cm-1) due to low energy stretching vibrations of Sb-O-Sb band20,21, high linear and non- linear refractive indexes3,4,5 and the possibility of modulation of their optical constants, (refractive index, n, and absorption coefficient, ) under laser irradiation22 what make them promising materials for 3D optical storage23,24 as well as, for holographic data storage25.
Recently, some papers have demonstrated that the addition of WO3 can improve considerably the thermal stability against devitrification, non-linear and photosensitive properties of oxide and fluorophosphate glasses26,27,28. In order to improve the photosensitive and optical properties of Sb-based glasses, WO3 was added to the binary system Sb2O3-SbPO4. Such system was previously characterized with respect to its thermal, and structural properties., as well as, by their photosensitive response under laser irradiation29.
Considering both, antimony and tungsten glasses, the comprehension of the special properties of such materials requires a detailed description of the structure of the glass network. In this paper, a systematic structural investigation of the glass series (0.6-x)Sb2O3- 0.4SbPO4-xWO3 (with 0.1 x 0.5 in mol%) was performed using thermal analysis, FTIR, Raman, 31P magic angle spinning Nuclear Magnetic Resonance (MAS) NMR spectroscopies and X-ray absorption near edge structure (XANES) recorded at Sb-L1 and Sb-L3 edges as well as at the W-L1 edge.
Experimental
Glass preparation
Starting materials used for glass synthesis were Sb2O3, WO3 (grade purity 99%) and SbPO4, prepared as reported previously1. Syntheses were carried out by melting starting materials in glassy carbon crucibles in electrical furnace for 10 min between 800 and 1100 °C, depending on the glass composition, under a constant flow of N2. The melts were cast and glass samples were obtained upon cooling. For less stable glasses, melts were quenched between two copper plates leading to samples around 1 mm in thickness. For more stable compositions, samples with 10 mm in thickness were obtained. For bulk synthesis, the melt was poured into a pre-heated mold (at Tg – 10 °C) and kept 2 h at this temperature for annealing. This procedure was done in order to eliminate the residual stress induced by the quenching process.
Characterization
Characteristic temperatures of the glasses, glass transition (Tg), onset of crystallization (Tx), maximum of crystallization (Tp) and thermal stability parameter (Tx–Tg) were obtained by differential scanning calorimetry, using a Seiko SSC/5200 calorimeter with heating rate of 10 °C min-1, under N2 atmosphere. The experimental errors for characteristic temperatures are 2 °C for Tg and Tx and 1 °C for Tp.
X-ray diffraction (XRD) was used to confirm the amorphous character and was performed using a Siemens Crystalloflex Diffratometer with CuK radiation equipped with a Ni filter, in the 2 range from 4 to 70 degrees.
FTIR (Fourier Transform InfraRed) spectroscopy was performed using a Perkin Elmer FT-IR Spectrum 2000 from powdered glasses dispersed in KBr pellets, operating at wavenumbers ranging from 400 to 4000 cm-1.
Raman scattering spectra, recorded from 200 to 1300 cm-1 were obtained from the powdered glasses using a Micro-Raman Renishaw, equipped with a microscope, using He/Ne laser excitation (632.5 nm) with 30 mW CW power and a spot size around 5 µm. The deconvolutions of the samples sbpw5 and sbpw9 were done using Gaussian functions.
Solid state 31P MAS-NMR spectroscopy was used to characterize the local phosphorous environment. The glasses were crushed and ground into powders before filling a zirconia tube. 31P solid state NMR spectra were obtained on an INOVA Varian-300 spectrometer, operated at a spinning frequency of 6 kHz at pulse length of /2 and a repetition time between each acquisition of 100 s. Chemical shifts were referenced to an external sample of 85% H3PO4 solution.
XANES at the Sb-L1 and L3 edges, as such as, at W-L1 measurements have been carried out at LURE (Orsay, France) on the D44 bean line using a Si (111) double crystal monochromator detuned by 60 % in order to reject the harmonics. Measurements have been done in TEY (Total Electron Yield) mode. Energy calibration has been checked by using a Titanium foil (4966.0 eV) recorded between each glassy sample. Sb- L3 edge (4132 eV) spectra were collected over 340 eV with an energy step of 0.3 eV and counting time of 3 s whereas Sb-L1 edge spectra (4698 eV) were recorded over 100 eV with an energy step of 0.3 eV and counting time of 1 s. W-L1 edge (10180 eV) spectra were collected over 180 eV with an energy step of 0.5 eV and counting time of 3 s. For each sample several scans were recorded to improve the signal-to-noise ratio. Sb2O3, SbPO4 and WO3 powdered samples prepared as pellets were recorded in TEY as reference compounds. XANES data analysis from W-L1, Sb-L1 and L3 edges were done subtracting the absorption background from the rough spectra using a linear function. Then, the spectra were normalized far from the edge in a range of pure atomic absorption.
Results and discussion
Thermal analysis
Stable compositions against devitrification have been obtained into the ternary Sb2O3-SbPO4-WO3 glass system. Figure 1 illustrates the glass-forming domain for the system and the glass-forming region appears like a hatched green color area. All samples shown inthe diagram were obtained by fast quenching. Glasses containing less than 40 mol% in WO3 are yellow, while dark green colours are observed for higher concentrations. X-ray powder diffraction of the glasses confirms the amorphous character of the samples showing the characteristic broad diffraction profile halo (not shown here).
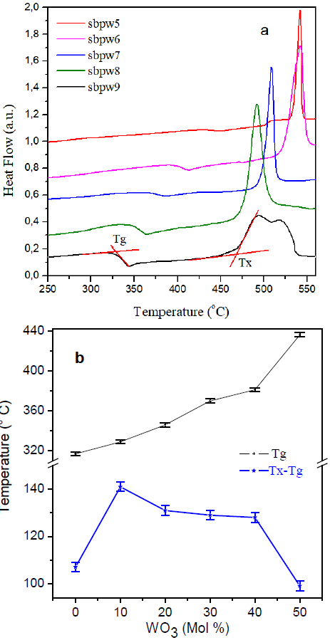
Glass compositions, characteristic temperatures of the glasses, as well as, the stability parameter (Tx-Tg) are summarized in the Table 1. Tx-Tg is the parameter commonly used to estimate the thermal stability of the glasses against devitrification. Usually, values higher than 100 °C enable the preparation of large samples. In this work, glasses containing 40 mol% of SbPO4 showed to be the most stable compositions with Tx-Tg value of 141 °C for the composition 50Sb2O3- 40SbPO4-10WO3. Due to the higher thermal stability of the compositions containing 40 mol% of SbPO4, the series (Sb2O3)(0.6-x)(SbPO4)(0.4)(WO3)(x) was chosen to study the influence of the substitution of Sb2O3 by WO3, with respect to the structural changes in the glassy network.


Thermal analysis (Figure 2a) shows that the addition of WO3 increases Tg almost linearly for all compositions. On the other hand, while Tx-Tg increases for the sample containing 10 mol % of WO3, further addition of tungsten oxide decreases the thermal stability. Classically, Tx-Tg have been used for comparison purposes in order to determine the most stable composition in a given glass system30 and it states that higher is the difference lower is the tendency to devitrification. The relationship between Tg and the content of WO3 will be better discussed in the next section.

Infrared and Raman spectroscopies
FTIR spectra of the glasses are shown in Figure 3. The attributions of the bands were done based on the spectra of crystalline reference compounds, i.e., Sb2O3 (cubic, c, and orthorhombic, o, forms), SbPO4 and WO3 also presented in Figure 3. The broad absorption bands of the glass samples make difficult a quantitative assignment. The spectrum of sbpw9 (sample containing 10 mol% of WO3) presents two main absorption bands: the first one centered at about 1010 cm-1 and the second around 610 cm-1. The higher energy band includes three asymmetric and one symmetric stretching vibrations of PO4 units (1140, 1068, 1035 and 990 cm-1 respectively) as well as one weak shoulder corresponding to the vibrations of W-Ot - (terminal) bonds (920 cm-1). On the other hand, the lower energy bands envelop the stretching modes from the WO6 units (nas 815 cm-1 and ns at 780 cm-1), the bending mode das P-O-Sb (643 cm-1) from SbPO4 and the asymmetric stretching nas Sb-O (544 cm-1) arising from Sb2O3. For glass samples, with increase of WO3 content (from sbpw9 to sbpw5), both bands become broader.


In Figure 4a are shown the Raman spectra obtained for glasses and for reference compounds. Detailed assignments of the Raman bands for crystalline references were given elsewhere31. The intensities of the bands at 205 and 440 cm-1 decrease with increasing WO3 content. A third band, appears at 360 cm-1, and its intensity increases for richer tungsten oxide samples. The two first bands were assigned to SbO4 and SbO3 units from SbPO4 and Sb2O3 compounds respectively, while the band centered at 360 cm-1 was assigned to bending of the W-O modes32. The band at 815 cm-1 is characteristic of stretching W-O-W modes arising from WO6 octahedra and its intensity increases with WO3 content. A band, close to 910 cm-1, appears for all samples. This band has been attributed to (W-O-t) terminal bonds32. However, the WO3 monocliniccrystalline phase does not present such band, once, allcorners of the WO6 polyhedron are shared with otherfive WO6 units. W-Ot- band is present in compoundslike Na2WO4 and Na2W2O727,32. In Na2WO4, the Watoms are assumed to be in a tetrahedral environmentof four oxygen atoms while in Na2W2O7 the tungstenatoms are in an octahedral geometry, however, in thelast case, only the four oxygen atoms in the plane ofthe octahedral are bonded to other WO6 units, forminga linear-like chain. Indeed, Na2W2O7 presentsvibrations like those observed for octahedral WO6 besides those present in tetraedraly WO4 units. It isneeded to point out that both W=O and W-O- areequivalent from the resonance point of view33. Theintensity of the band at 910 cm-1, compared to that at 830 cm-1, decreases when the WO3 content rises up. Infact, the broad band observed for sbpw5 and extendingfrom 550 to 1200 cm-1 is the convolution of, at least,six distinct vibrations coming from tungsten oxide andantimony phosphate counterparts. Deconvolution of thelower (sbpw9) and upper (sbpw5) samples are shownin Figure 4b and 4c.
3.3. 31P MAS-NMR spectroscopy
31P MAS-NMR measurements of the crystalline antimony phosphate reference compound and glass compositions are shown in Figure 5. The SbPO4 crystalline is formed by PO4/4 units bonded by four SbO4/4 tetraedra, forming P-O-Sb linkage and showing the chemical shift at -18.0 ppm. The spectra of the glasses present a broad lineshape near −13 ppm, characteristic of the Q4 phosphate units, which are linked to four antimony tetrahedra. The assignement was based on previous study in the SbPO4-WO3 glass system30 and the results show that the substitution of the Sb2O3 by WO3 in the glassy matrix has no influence on the chemical environment of the Q4 phosphate units, which are bonded to four antimony tetrahedra suggesting that WO6 units are randomly distributed in the network.

The (*) in the spectra are spinning sidebands. The curves were vertically translated for a better view.
X-ray absorption spectroscopies
Absorption data from Sb-L3-edge (Figure 6) refer to transition from 2p3/2 level towards empty d and s states. The pre-peak in the rising edge (~4138 eV) is attributed to transition, where designates the antibonding level related to the bonding level, which is responsible from the binding between Sb and O29. The vacant density of states at the level depends on the oxygen polyhedron around Sb (III). Indeed, the steric hindrance of the lone pair leads to a decrease in the vacant density of states for the level when the symmetry changes from Sb2O3 (symmetry SbO3E) to SbPO4 (symmetry SbO4E-, where E represents the lone pair)4. Accordingly, the intensity of the pre-peak is lower for SbPO4 than for Sb2O3. The main absorption at higher energy (4145 eV) can be interpreted as a transition. According to the Figure 6, no drastic change is observed in the pre-peak with increases of the WO3 content. These results support the observation done for 31P NMR and reinforce the hypothesis that the substitution of Sb2O3 by WO3 does not influence the Sb environment significantly. The insert present in Figure 6 shows the typical absorption curves for Sb-L1 edge. Absorption at Sb-L1-edge refers to transitions from 2s level towards empty p states and are sensible to oxidation state of the cation. The peak centered at 4303 eV corresponds to Sb3+ species34. No absorption was found at 4707 eV indicating the absence of Sb5+ species in glasses.

XANES data at W-L1 edge obtained for both glasses and reference compounds are shown in Figure 7. The main difference between WO3 and Na2WO4 is the presence of the peak around 12108 eV which is attributed to the W ions in a tetrahedral environment in the sodium tungstate crystals32 while, in tungsten oxide, W ions are surrounded by six oxygen atoms in a distorted octahedral structure. One must point out that, in both, tetrahedral and octahedral structures, W ions have the 6+ oxidation state. Results from Figure 7 suggest that the local structure around W for glasses is closest to that observed in WO3 crystals with distorted octahedral arrangement. In fact, by the analysis of the pre-peak of W-L1 edge, it can be said that the WO6 units present in glasses are less distorted than those observed in WO3 crystals, supposing to be arranged in a less compact structure than that observed for crystalline WO3.

Discussion
The glasses in the series (Sb2O3)(0.6- x)(SbPO4)(0.4)(WO3)(x) present good thermal properties. As observed in Figure 2b, the incorporation of WO3 into the binary Sb2O3-SbPO4 system increases the glass transition temperature. In fact, with respect to Tg, it was verified that the subsequent addition of WO3 to the binary composition, raise up the values of Tg from 318 °C (binary) to 436 °C (sbpw5). This behavior may be a consequence of an increase of the connectivity and/or of the disorder of the glass network. Similar aspect was observed by M. Maczka et al., in cesium magnesium tungsten phosphate glasses35. The criterion to consider the structure more or less disordered comes from the fact that addition of WO3 to the binary system incorporates one more component in the glass composition what is consistent with the “confusion principle”, which states that the larger number of components in a glass system destabilizes competing crystalline phases which may forming during cooling36.
On the other hand, the behavior of Tx - Tg parameter is not regular. Compared to the binary, the Tx-Tg value for the sample containing 10 mol% of WO3, jumps from 106 (binary) to 141 °C. However, for further WO3 contents, Tx-Tg decreases to 99 °C destabilizing the glass structure (sbpw5). It looks reasonable to assume that for sample sbpw16 the WO6 units are quite dispersed into the glass matrix. For samples with higher WO3 contents, the octahedral WO6 units begin to link to each other forming a parallel structure that is similar to that of the monoclinic form of WO3. This affirmation is supported by infrared, Raman and W-L1 XANES measurements and will be discussed below.
Although, the bands of the glasses in the infrared region present a broad profile, it is possible to notice that for sbpw16 sample the P-O stretching bonds, arising from orthophosphate, are slightly shifted to lower frequencies compared to the reference compound. This feature suggests that in the glassy form, the antimony orthophosphate is present in a less compact (or less connected) structure when the content of WO3 is low. However, increasing the WO3 content, the P-O bonds shift for higher frequencies suggesting that SbPO4 is in a more distorted (more connected) arrangement. The same behavior occurs with respect to W-Ot - bonds. This fact is attributed to the substitution of trigonal SbO3 units (from Sb2O3) for more voluminous octahedral WO6 units.
Raman results reinforce the structural model assumed for sbpw9 sample, as discussed above. The emerging band at 910 cm-1 supports the existence of W-Ot - bonds coming from isolated WO6 units into the glass matrix. In fact, it means that there is almost no formation of WO6-WO6 units, what is evidenced by the low intensity of the W-O-W bond at 810 cm-1. In this sense, the increase of WO3 content leads to formation of such bonds and the relative intensity of the bond at 810 cm-1 increases compared to that at 910 cm-1. Therefore, the formation of WO6-WO6 bonds does not rule out the possibility of formation of structures like those described for Na2W2O732.
In the Figure 4b and 4c is shown a tentative deconvolution of the spectra from samples sbpw9 (a) and sbpw5 (b) which correspond to the lower and upper concentration limits of WO3, respectively. For sample sbpw9 it is not possible to observe the presence of the band around 720 cm-1 (which corresponds to the symmetric stretching of W-O-W bonds) as observed in crystalline WO3. On the other hand, in the upper concentration limit, the large band observed for sample sbpw5, could be deconvoluted in six bands. For sbpw5 it is observed the presence of the bond attributed to the bending mode of the PO4 group at 638 cm-1 7, as well as, the band centered at 725 cm-1 which corresponds to the symmetric stretching of the W-O-W bond. The other four bands (816, 918, 970 and 1100 cm-1) are present in both samples. After the Raman study we can verify the intermediary character of WO3. For lower contents it acts as a modifier and for higher contents (consequently, lower content of Sb2O3) it has an important role as a glass former.
With respect to the chemical environment around antimony and phosphorous atoms, both 31P MAS NMR and XANES Sb-edges data show no substantial changes. NMR data show no anisotropy around the P atoms while just a small chemical shift was observed. XANES data from Sb-L1 edge do not emphasize any significant change in the electronic density around the Sb atoms but rather shows the small increase of the intensity of the white line (insert of Figure 6). This effect is observed because antimony atoms in SbPO4 have four neighbors, while in Sb2O3 they are surrounded by only three oxygen atoms. The picture obtained from XANES is the average of both SbO3E- and SbO4E- contributions29. Replacing Sb2O3 by WO3, the SbO4E- species plays a more important role in the intensity of the white line.
With respect to the tungsten environment, the scenario discussed above is also supported by XANES results at W-L1 edge. The absence of the pre-peak 12108 eV in glasses confirms that tungsten atoms are present in the WO6 form. The sample sbpw9 presents a less pronounced shoulder at around 12111 eV according with the model proposed when WO6 units are dispersed in the glass matrix. In the same direction the sample sbpw14, present a more pronounced shoulder closest to that observed in WO3.
Conclusions
Glasses have been prepared in a new ternary system Sb2O3-SbPO4-WO3. The incorporation of WO3 enhances the thermal stability of the glasses against devitrification when compared to the binary Sb2O3(0.6)-SbPO4(0.4) composition. The connectivity of the network increases with WO3 content which is consistent with the high values of the glass transition temperature. Raman studies suggest that WO3 incorporation depolymerises the network constituted by antimony oxide while a second network containing WO6 octahedral units is build up. XANES in the W-L1 edge for glasses confirms the presence of only octahedral units like those observed in crystalline WO3. Such characteristics make these glasses suitable for studies for photo and electrochromic applications, as well as for solid state batteries. Both possibilities are currently under consideration.
Agradecimientos
The authors are grateful to grants #2013/07793-6, #2016/16343-2 and #2016/16900-9 São Paulo Research Foundation - FAPESP and CAPES for financial support.
References
M. Nalin, M. Poulain, Mi. Poulain, S. J. L. Ribeiro, Y. Messaddeq, J. Non-Cryst. Sol. 284 (2001) 110-116. https://doi.org/10.1016/S0022-3093(01)00388-X.
G. Poirier, M. Poulain, Mi. Poulain, J. Non-Cryst. Sol. 284 (2001) 117-122. https://doi.org/10.1016/S0022-3093 (01) 00389-1.
E. L. Falcão Filho, C. A. C. Bosco, G. S. Maciel, C. B. de Araujo, M. Nalin, Y. Messaddeq, Appl. Phys. Lett. 83 (2003) 1292-1294. https://doi.org/10.1063/1.1601679.
M. Nalin, Y. Messaddeq, S. J. L. Ribeiro, M. Poulain, V. Briois, G. Brunklaus, C. Rosenhahn, B. D. Mosel, H. Eckert, J. Mater. Chem. 14 (2004) 3398- 3405. https://doi.org/10.1039/B406075J.
E. L. Falcão Filho, C. B. de Araujo, C. A. C. Bosco, G. S. Maciel, L. H. Acioli, M. Nalin, Y. Messaddeq, J. Appl. Phys. 97 (2005) 013505. https://doi.org/10.1063/1.1828216.
R. Makhloufi, A. Boutarfaia, M. Poulain, J. Alloy Comp. 398 (2005) 249-252. https://doi.org/10.1016/j.jallcom.2005.02.013.
B. V. Raghavaiah, P. N. Rao, D. K. Rao, N. Veeraiah, J. Phys. Chem. Sol. 66 (2005) 954-962. https://doi.org/10.1016/j.jpcs.2004.11.009.
M. T. Soltani, T. Djouama, A. Boutarfaria, M. Poulain, J. Optoelectron. Adv. M. 1 (2009), 339-342. https://s3.amazonaws.com/academia.edu.documents/41 765931.
C. Pereira, J. Barbosa, F. C. Cassanjes, R. R. Gonçalves, S. J. L. Ribeiro, G. Poirier, Opt. Mater. 62 (2016), 95-103. https://doi.org/10.1016/j.optmat.2016.09.055.
J. Li, Y. Zhang, S. Nian, Z. Wu, W. Cao, N. ZhoU, D. Wang, Appl. Phys. 123 (2017), 00339-016. https://doi.org/10.1007/s00339-016-0739-7.
P. Petkova, K. Boubaker, P. Vasilev, M. Mustafa, A. Yumak, H. Touihri, M. Soltani, AIP, 1727 (2016) 020017. https://doi.org/10.1063/1.4945972.
D. Manzani, M. Montesso, C. F. Mathias, K. V. Krishanaiah, S. J. L. Ribeiro, M. Nalin, Opt. Mater. 57 (2016) 71-78. https://doi.org/10.1016/j.optmat.2016.04.019.
K. Ouannes, K. Lebbou, B. M. Walsh, M. Poulain, G. Alombert-Gotet, Y. Guyot, Opt. Mater. 65 (2017) 8- 14. https://doi.org/10.1016/j.optmat.2016.11.017.
V. H. Rao, P. S. Prasad, P. V. Rao, L. F. Santos, N. Veeraiah, J. Alloys Compd. 687 (2016) 898-905. https://doi.org/10.1016/j.jallcom.2016.06.256.
Y. M. Sgibnev, N. V. Nikonorov, A. I. Ignatiev, J. Lumin. 188 (2017) 172-179. https://doi.org/10.1016/j.jlumin.2017.04.028.
D. Wang, J. Lu, Z. Zhang, Y. Hu, Z. Shen, New J. Glass Cer. 1 (2011) 34-38. https://doi.org/10.4236/njgc.2011.12006.
S. Y. Moustafa, M. R. Sahar, S. K. Ghoshal, J. Alloys Compd. 712 (2017) 781-794. https://doi.org/10.1016/j.jallcom.2017.04.106.
N. Shasmal, B. Karmakar, J. Non-Crys. Solids, 463 (2017) 40-49. https://doi.org/10.1016/j.jnoncrysol.2017.02.019.
D. F. Franco, A. C Sant’Ana, L. F. C. De Oliveira, M. A. P. Silva, J. Mater. Chem. C 3 (2015) 3803-3808. https://doi.org/10.1039/C5TC00102A.
T. Som, B. Karmakar, Opt. Mater. 31 (2009) 609- 618. https://doi.org/10.1016/j.optmat.2008.06.018.
P. J. Miller, C. A. Cody, Spectroch. Acta 38A (1982) 555-559. https://doi.org/10.1016/0584- 8539(82)80146-3.
M. Nalin, G. Poirier, Y. Messaddeq, S. J. L. Ribeiro, E. J. Carvalho, L. Cescato, J. Non-Cryst. Sol. 352 (2006) 3535-3539. https://doi.org/10.1016/j.jnoncrysol.2006.03.087.
G.I. Sincerbox, Opt. Mat. 4 (1995) 370-375. https://doi.org/10.1016/0925-3467(94)00089-1.
D. Strand, J. Optoelec. Adv. Mat. 7 (2005) 1679- 1690. https://joam.inoe.ro/arhiva/pdf7_4/Strand.
D. Psaltis, G. W. Burr, Computer 31 (1998) 52-60. https://doi.org/10.1109/2.652917.
P. Subbalakshmi, N. Veeraiah, Phys. Chem. Glasses 42 (2001) 307-314. http://www.ingentaconnect.com/content/sgt/pcg/2001/0 0000042/F0020004/4204307.
G. Poirier, M. Poulain, Y. Messaddeq, S. J. L. Ribeiro, J. Non-Cryst. Sol. 351 (2005) 293-298. https://doi.org/10.1016/j.jnoncrysol.2004.11.017.
G. Poirier, M. Nalin, Y. Messaddeq, S. J. L. Ribeiro, Sol. State. Ionics, 178 (2007) 871-875. https://doi.org/10.1016/j.ssi.2007.01.012.
M. Nalin, M. Poulain, Y. Messaddeq, S. J. L. Ribeiro, V. Briois, J Optoelectr. Adv. Mat. 3 (2001) 553-558. http://hdl.handle/11449/32534.
A.Dietzel, Glasstech. Ber. 22 (1968) 41-50. https://pure.tue.nl/ws/files/1766128/23899.
M. Nalin, G. Poirier, S.J.L. Ribeiro, Y. Messadded, L. Cescato, J. Non-Cryst. Sol., 353 (2007) 1592-1597. https://doi.org/10.1016/j.jnoncrysol.2007.01.031.
P. Charton, PhD thesis, Université de Montpellier 2, France (2002).
C. Guéry, C Choquet, F. Dujeancourt, J. M. Tarascon, J.C. Lassègues, J. Sol. State Electrochem. 1 (1997) 199-204. https://doi.org/10.1007/s100080050049.
J. M. Durand, P. E. Lippens, F. J. Olivier, J. C. Jumas, M. Womes, J. Non-Cryst. Sol., 194 (1996) 109- 121. https://doi.org/10.1016/0022-3093(95)00507-2.
M. Maczka, L. Kempinski, J. Hanusa, S. Kojima, J. Non-Cryst. Sol., 353 (2007) 4681-4690. https://doi.org/10.1016/j.jnoncrysol.2007.06.064.
A. L. Greer, Nature, 366 (1993) 303-304 https://doi.org/10.1038/366303a0.
Author notes