Abstract: Cancer is a serious disease that afflicts and worries much of the population, which significantly affects all ages and socio-economic groups and one reason is the great difficulty of the initial diagnostic phase. Thus, magnetic resonance imaging (MRI) is an effective technique for detecting cancer (especially breast cancer), however, for a better visualization of the tissues it is necessary to use the Contrast Agents (CAs), which are paramagnetic compounds capable of increasing the longitudinal and transverse relaxation times (T1 and T2) of water molecules. The CAs are important to increase the rate of relaxation of water protons, the most commonly used CAs are Gd3+ complexes. Thus, in this work we propose two new hybridizing contrast agent, d-FeOOH(100).[Gd(DTPA)(H2O)]2- and δ-FeOOH (100).[Gd(DTPA-BMA)(H2O)], both compounds are capable of increasing both relaxation times T1 and T2 Theoretical results show that the hybrid compound considerably increases the hyperfine coupling constants 1H and 17O of water molecules. In this way, our results show that both hybrid compounds can be used as new contrast agents, thus replacing Gd3+ complexes.
Keywords:gadoliniumgadolinium,dynamicsdynamics,interactions hyperfineinteractions hyperfine,contrast agentscontrast agents,MRIMRI.
Relaxation parameters of water molecules coordinated with Gd(III) complexes and hybrid materials based on δ-FeOOH (100) nanoparticles: A theoretical study of hyperfine inter-actions for CAs in MRI
Received: 29 November 2019
Accepted: 23 March 2020
Published: 01 October 2020
The Magnetic Resonance Imaging (MRI) is considered to be an effective technique for diagnosing lesions and cancer. Currently, this technique is widely used in radiology to obtain detailed tissue images1,2. Currently, there are many techniques used in the diagnosis of cancer. Among the most used diagnostic techniques for cancer, we can highlight Tomography, Ultrasonic Endoscopy, and Magnetic Resonance Imaging (RMI). RMI is one of the most successful techniques, it is a noninvasive technique based on the magnetic properties of 1H and 17O atoms, which are the most abundant elements in the human body. However, only with the natural relaxation (T1 and T2) of these atoms it is not possible to obtain clear images of the tissues, so the Contrast Agents (CAs) are used3. CAs are paramagnetic compounds and their use is of utmost importance for a better visualization of the images in the MRI exams. Currently, the most commonly used CAs are Gd3+ complexes with different ligands, such as DOTA, DTPA, EDTA, etc.
The most commonly used CAs are Gd3+ complexes, gadolinium is an internal transition metal belonging to the lanthanide family. Since the initial reports Gd has become the most used metal center for the production of CAs. The seven unpaired electrons of Gd combined with a relatively long relaxation time, makes this lanthanide an effective CAs. Gd has been used as CA since the late 1980s, these CAs alter both T1 and T2 relaxation times, however studies show that they are more effective in T13-5. The Gd3+ complexes with poly (aminocarboxylate) ligands are the contrast agents most commonly used commercially, these compounds have nitrogen and oxygen atoms that are able to coordinate with the Gd3+ ion. It is worth stressing that Gd complexes increase both relaxation rates (r1=1/T1 and r2=1/T2), however, a higher longitudinal relaxation rate is observed6,7. In contrast, iron oxides have properties that significantly shorten the T2 and T2* values of tissue water molecules, this characteristic is due to the difference in susceptibility between the iron oxide nucleus and the surroundings water8,9. Thus, the two compounds together can have very important properties, especially in the reduction of both relaxation times and these materials are known as hybrid compounds and have been widely studied10. Studies show that such hybrid compounds applied in MRI have been shown to be about 8 times larger in imaging effects than Magnevist (widely used CAs)11. With that in mind, the purpose of this paper is to investigate the water molecules coordinated with the complexes ([Gd (DOTA)(H2O)]-, [Gd(DTPA)(H2O)]2-, [Gd(DTPA-BMA)(H2O)]) and the hybrids δ-FeOOH(100).[Gd(DTPA)(H2O)]2- and δ-FeOOH(100).[Gd(DTPA-BMA)(H2O)]), where DOTA = 1,4,7,10-Tetraazacyclododecane-1,4,7,10-tetraacetic acid; DTPA= 2-[Bis[2-[bis(carboxymethyl)amino]ethyl]amino]acetic acid and BMA = bis-methylamide, in order to assess the hyperfine interactions of the 1H and 17O, studying its applicability as potential contrast agents for tracking of cancer cells. Fig. 1 show the hybrid compounds used in this work.

Initially optimize the complexes ([Gd(DOTA)(H2O)]-, [Gd(DTPA)(H2O)]2- and [Gd(DTPA-BMA)(H2O)])12,13 and the hybrids δ-FeOOH(100).[Gd(DTPA)(H2O)]2- and δ-FeOOH(100).[Gd(DTPA-BMA)(H2O)]), in the gaussian 09 program14, using the semi-empirical Parameterization Method 6 (PM6)15,16.
After optimization, we made the molecular dynamics simulations (MD) for the complexes of Gd(III) using the program developed by van Duin and col. (REAX-FF)17, which is part of ADF-BAND program package. For the simulations was used the force field NiCH. For the MD simulation the box size was fixed at 8000 Å3 and was held at a temperature 310.65 K (physiologic temperature) throughout the simulation. Studies have shown that this temperature is adequate to simulate this type of model. For these simulations a 500 ps thermalization face (for system stabilization) and an additional 2.0 ns period are required, the box was built by the density of liquid water (ρ=0.996 g cm-3)18.
After the MD simulation it is necessary to try to reduce the number of conformations for the later quantum calculations (decrease the computational cost). For this, we selected the uncorrelated configurations of the Gd(III) complexes, Scilab 2.719 program was used. The method was developed and applied for the first time by the Canuto’s group20. This method uses the statistical interval obtained from the energy autocorrelation, the interval between uncorrelated configurations, or the correlation step s, is calculated by integration from zero to infinity of C(n), Eq. 1. The interval between uncorrelated configurations, or the correlation step τ (the molecular rotational correlation time in Eq. 2) is calculated by integration from zero to infinity of C(n). The theory shows that separate the settings by 2τ, or larger intervals, are considered uncorrelated.
(1)
(2)With uncorrelated structures we did the constant calculations of hyperfine coupling (Aiso) for the complexes with water molecules.
The hyperfine coupling constant (Aiso) calculations were carried out in the program Gaussian 09, with uncorrelated structures from MD simulation of Gd3+ complexes and with the lowest energy structure of the hybrid. For the Gd3+ complexes, the simulation was performed using the functional PBE1PBE21 and basis set EPR-III for the H and O atoms, 6-31G for the C and N atoms, MWB53 for the Gd atom. For the hybrid compounds was also used the above-mentioned base function and we added the lanl2dz for the Fe atom.
The geometry of the complex was fully optimized using the method PM6, the geometry according mounted as shown in Fig. 2 and the bond distances from the metal coordination environment are listed in Tab. 17.
From the results of Tab. 1, it is possible to observe that our calculations were able to reproduce reasonably well the distances between the GdIII and the ligand, observed with the experimental results performed by x-ray.
We observed for the complex that [Gd(DOTA)(H2O)]-, the inner sphere water molecule has a bond distance around 2.45 Å, what satisfies our theoretical value 2.56 Å. For the complexes [Gd(DPTA)(H2O)]- and [Gd(DTPA-BMA)(H2O)] water molecules in the inner sphere have a connection distance between 2.49 Å, and 2.44 Å, which satisfies the theoretical values 2.52 Å and 2.46 Å, respectively. This can be attributed, at least in part, to the fact that the implicit solvation model (which uses the dielectric constant of the medium) cannot explain some specific interactions between the complex and the solvent, for example, the hydrogen bonds. Indeed, it has been shown that continuous dielectric solvent models are often inadequate to investigate solutes that concentrate on the charge density with strong local solute-solvent interactions7. Thus, to try to overcome this deficiency, we performed calculations of geometry optimization using only one coordinated water molecule with Gd. Table 1 shows the distances of the complex bonds compared with the experimental values.


MD calculations provide thousands of conformations, so it is possible to perform quantum calculations of all these conformations. Thus, methods to select the main structures of MD have been studied. Currently, one method that has been highly effective is statistical inefficiency18-21. With this in mind, in the present work we use statistically different structures for quantum mechanics calculations, the method uses the energy correlation function of MD simulations22,23. It is important to mention that this method was developed and studied deeply by the Coutinho and Canuto group23. The Canuto and Coutinho group showed that the statistical interval, C(n), is particularly important for a Marovian process, where C(n) follows an exponential deterioration22. In this way, uncorrelated configurations, τ, is calculated by integrating zero to infinity of C(n). Configurations separated by 2τ, or larger intervals, are considered uncorrelated23-25. Figure 3 shows exponential decay.
From the simulation MD, as can be seen in Fig. 3, the correlation time of the complex coordinated with water molecules ([Gd(DOTA)(H2O)]-, [Gd(DTPA)(H2O)]2- and [Gd(DTPA-BMA)(H2O)] were 4.09, 6.01 and 6.53 ps, respectively. According to the calculations of statistical inefficiency for the complex [Gd(DOTA)(H2O)]- 244 structures were uncorrelated, for the [Gd(DTPA)(H2O)]2- 164 structures were uncorrelated and for the complex [Gd(DTPA-BMA)(H2O)] 153 structures were uncorrelated. We observed that the complex [Gd(DTPA-BMA)(H2O)] has a larger correlation time relative to other complexes, thus has a smaller number of uncorrelated structures.

In recent decades, the MRI has emerged as a powerful diagnostic tool that uses longitudinal relaxation times (T1) and transverse (T2) of the atoms 1H and 17O of water molecules to obtain tissue images. The value T1 is related to the return time magnetization to the longitudinal axis and it is influenced by the interaction of spins with the network (environment). The value of T2 refers to the reduction of magnetization in the transverse plane and it is influenced by the spin-spin (dipole-dipole) interaction. The dipolar magnetic interactions between protons of water with other local interactions, are able to gradually restore the original orientation of the magnetization vector along the main magnetic field26, that way, to evaluate the influence of contrast agents on T1 and T2 times it is necessary that the compound be paramagnetic. Thus, the Eqs. 3 and 4 represent the relaxation time T1 and T2, respectively.
(3)
(4)Observing Eqs. 1 and 2, we have that the longitudinal relaxation time (T1) depends on several parameters, such as: the electron spin (S), the electronic (ge) and proton g factors (gN), the Bohr magneton (β), the nuclear magneton (β.), the hyperfine coupling constant (A), the ion-nucleus distance (r), and the Larmor frequencies for the proton (𝜔𝐼) and electron spins (𝜔𝑆), 𝜏𝑒 is the correlation time that characterizes the time of internal rotational correlation of molecules. In the Eq. 2, besides the constants already mentioned we also have 𝜏𝑐 , which is the correlation time characterized by the rate of change of the ion interactions between metal and neighboring hydrogens. In these equations it is important to highlight the hyperfine coupling constant, which is the most sensitive parameter and what our calculations were performed21.
We evaluate the constant values of hyperfine coupling to 1H e 17O, and was chosen the Aiso parameters to evaluate the effects of structures, because the Aiso values are more sensitive to geometric parameters of structures, thereby facilitating the observation of a variation of the parameters27. Initially we will start to analyze the Aiso coupling constant of the complex [Gd(DOTA)(H2O)]- water molecules coordinated with. According to Tab. 2, we note that for the structure in equilibrium A𝑖𝑠𝑜 eq (PBE1PBE(H2O)//PBE1PBE(H2O)) obtained Aiso values equal to 0.53 MHz for the 1H and 0.87 MHz for the 17O. It was also made calculations with the implicit solvent and explicit A𝑖𝑠𝑜 eq (PBE1PBE (H2O)/PCM//PBE1PBE(H2O)). The values were 0.33 MHz and 0.82 MHz for the 1H and 17O, respectively, the result indicate that the implicit solvent does not influence significantly our system and it shows that the amount of water molecules are allowed sufficient to realistically simulate our system. Thus, analyzing the calculations now uncorrelated with the values of MD A𝑖𝑠𝑜 300K (MD(H2O)//MD(H2O)) we have 0.92 MHz for the 1H and 0.72 MHz for the 17O. By analyzing these results, it is observed that the thermal effects influence the system, making the Aiso values closer to the experimental. This increase in Aiso values is to be expected since thermal effects are important in the system

Analysing now the complex [Gd(DTPA)(H2O)]2- , in Tab. 3, the Aiso values of equilibrium structure, A𝑖𝑠𝑜eq (PBE1PBE(H2O)//PBE1PBE(H2O)), was of 0.38 MHz for the 1H and 0.85 MHz for the 17O. The calculations with the implicit solvent and explicit A𝑖𝑠𝑜eq (PBE1PBE (H2O)/PCM// PBE1PBE (H2O)), the values obtained were of 0.47 MHz for the 1H and 0.80 MHz for the 17O, it was observed that the values of the explicit and implicit solvent next are the values only with explicit solvent, in other words, the water molecules placed as solvent were able to realistically represent our system. The calculations with uncorrelated structures of the MD, A𝑖𝑠𝑜300K (MD(H2O)//MD(H2O)), we have the values of 0.65 MHz for the 1H and 0.75 for the 17O. Thus, the thermal effects were also shown to be important. In fact, the molecular dynamics calculations are important to simulate a more real system, thus, it is expected that the results are closer to the experimental ones.

Analyzing the last complex of work (Tab. 4), [Gd(DTPA-BMA)(H2O)], the equilibrium structure, A𝑖𝑠𝑜 eq (PBE1PBE(H2O)//PBE1PBE(H2O)), the values obtained were 0.33 MHz for the 1H and 0.89 MHz for the 17O, and calculations with the implicit solvent and explicit A𝑖𝑠𝑜 eq ( PBE1PBE (H2O)/PCM// PBE1PBE (H2O)), the values obtained were of 0.55 MHz for the 1H and 0.75 MHz for the 17O. Calculations with uncorrelated structures of the MD, A𝑖𝑠𝑜 300K (MD(H2O)//MD(H2O)), the values obtained were 0.95 MHz for the 1H and 0.72 MHZ for the 17O. The thermal effects were important, the Aiso values were closer to the experimental. In Fig. 2 are shown the structures of Gd(III) complexes with different ligands. As noted, in both cases ([Gd(DOTA)(H2O)]- and [Gd(DTPA)(H2O)]2- ) in both cases ([Gd(DOTA)(H2O)]- and [Gd(DTPA)(H2O)]2- ) the thermal effects were important. With the incessant movement of water molecules, more interactions can occur between the solvent and the solute and between solvent molecules (such as hydrogen bonds). These interactions are the main responsible for the considerable increase in Aiso values. The fact, thermal effects are important because they consider the movement of all solvent molecules, thus, this model is considered more realistic.

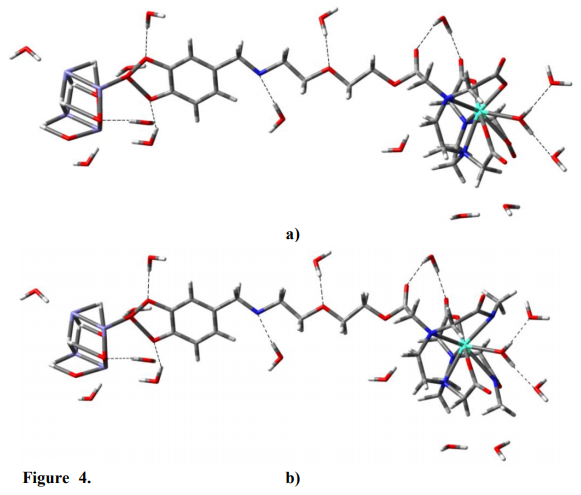
As already mentioned, thermal effects are important. However, for our proposal of a new contrast agent this effect was neglected, in fact despite the importance of this effect, our objective is to verify if the hybrid compound can be used as CA. In this way, to reduce the computational cost, we perform calculations only with the balance structure. Thus, it was made Aiso calculations only with the lowest energy conformer of hybrids (δ-FeOOH(100).[Gd(DTPA)(H2O)]2-, δ-FeOOH(100).[Gd(DTPA-BMA)(H2O)]). The values of Aiso for the hybrid compounds (Tab. 5) show that both significantly increase. For the first hybrids δ-FeOOH(100).[Gd(DTPA)(H2O)]2- values of 4.25 MHz and 5.30 MHz were obtained for the 1H e 17O atoms, respectively. For the hybrid δ-FeOOH(100).[Gd(DTPA-BMA)(H2O)] the values of Aiso were found to be 4.15 MHz and 5.15 MHz, respectively. Thus, it is noted that the hybrid compounds can be promising contrast agents for MRI since they showed a significant increase in the values of Aiso. Figure 4 shows the structures of hybrid compounds.


This work proposed a new hybridizing contrast agent, δ-FeOOH(100).[Gd(DTPA-BMA)(H2O)], capable of increasing both T1 and T2 relaxation times. The results allow to conclude that the hybrid compound may be an alternative to the classical contrast agents.
The interaction between solvent (water) and solute (complex) significantly influences the results, that way, this is a central concern in computational chemistry simulations. Thus, the calculations suggest that the use of implicit solvent did not influence the results, showing that the solvation sphere was adequate. Therefore, the proposed hybrid compound may be a promising contrast agent for MRI.
The authors wish to thank the financial support the Conselho Nacional de Desenvolvimento Científico e Tecnológico—Brazil (CNPq) and the Fundação de Amparo à Pesquisa do Estado de Minas Gerais—Brazil (FAPEMIG). This work was also supported by Long-term development plan UHK.
mateusufla@gmail.com








