
Recepción: 18 Mayo 2021
Aprobación: 10 Noviembre 2021
Resumen: El objetivo es evaluar el efecto de la simulación de aplicación de aranceles de 25, 30 y 45% sobre las importaciones de carne de pollo en México mediante un modelo de programación cuadrática para maximizar la función de valor social neto. Para ello, el país se dividió en ocho regiones productoras, ocho consumidoras y dos puntos de internación de las importaciones con datos de 2019. Los resultados mostraron que, con relación al modelo óptimo, la aplicación hipotética de las tasas arancelarias incrementaron la producción nacional y por regiones en 0.2, 0.3 y 0.4%, redujeron las importaciones en -1.3, -1.9 y -2.4%; redujeron el consumo nacional y regional en -0.04, -0.06 y -0.08%, aumentaron los precios al productor y al consumidor y disminuyeron el bienestar de la sociedad en -0.2, -0.3 y -0.4%. Se concluye que la política arancelaria, perjudicó a consumidores nacionales con un menor consumo y un precio mayor, beneficia a productores nacionales al incrementar producción y mayores precios al productor y redujo el bienestar de la sociedad.
Palabras clave: aranceles, carne de pollo, valor social neto, modelo de programación cuadrática.
Abstract:
The objective is to evaluate the effect of the simulation of the application of tariffs of 25, 30 and 45% on chicken meat imports in Mexico using a quadratic programming model to maximize the Net Social Value function. The country was divided into eight producing regions, eight consuming regions, and two import entry points with data from 2019.
The results showed that, in relation to the optimal model, the hypothetical application of tariff rates increased national and regional production by 0.2, 0.3 and 0.4%, reduced imports by -1.3, -1.9 and -2.4%; reduced national and regional consumption by -0.04, -0.06 and -0.08%, increased producer and consumer prices and decreased the welfare of society by -0.2, -0.3 and -0.4%. It is concluded that the tariff policy harmed national consumers with lower consumption and a higher price, benefits national producers by increasing production and higher producer prices, and reduced the welfare of society.
Keywords: tariff, chicken meat, net social value, quadratic programming model.
Introducción
Tanto la industria como las actividades productivas desempeñan un papel crucial para la economía y desarrollo de un país, por ello se vuelve indispensable mantener y/o generar niveles altos de competitividad asociados a la demanda. Los gobiernos son responsables de mantener a salvo sus industrias de prácticas que perjudiquen la competencia justa, básicamente cuando el intercambio comercial con economías fuertemente exportadoras es considerable (Kerr y Loppacher, 2004), tal es el caso del mercado de la carne de pollo en México.
En 2019, México compró a los Estados Unidos de Norteamérica (USA por sus siglas en inglés) 753.7 miles de toneladas (t) de carne de pollo, de las que 90% fueron pierna y muslo, mismas que fortalecieron el consumo nacional aparente (CNA) (4.2 millones de t), en el que la producción nacional aportó 3.4 millones de (t) (INFORURAL, 2019; UNA, 2021). Sin embargo, las importaciones procedentes, de pollo, principalmente de los Estados Unidos, están conformadas de pierna y muslo, que es una carne considerada como residual o de menor valor comercial en ese país, pues su consumo predominante es de pechuga y alas; lo que genera que las importaciones mexicanas ingresen al menor costo, incidiendo en forma negativa en la estructura productiva nacional (UNA, 2016). Ante esta dinámica de las importaciones de este tipo de carne hacia México, los productores nacionales, representados por la Unión Nacional de Avicultores (UNA), han solicitado permanentemente al Gobierno mexicano la aplicación de aranceles y cuotas compensatorias a dichas compras externas (DOF, 2012; Hernández et al., 2020).
Al respecto, es de destacar que el 6 de agosto de 2012 la Unidad de Prácticas Comerciales Internacionales (UPCI) de la Secretaría de Economía (SE) de México, emitió una resolución final sobre investigación antidumping en importaciones de carne de pollo, provenientes de USA y determinó que existieron ventas de pierna y muslo por debajo de sus costos de producción, por lo que impuso un arancel compensatorio de entre 25.7 y 127.5 % (DOF, 2012; Hernández et al., 2020). En agosto de 2018, la mencionada resolución fue validada nuevamente, pero hasta la fecha la autoridad no ha hecho efectivo las cuotas-arancel, para no perjudicar al consumidor nacional de carne de pollo (Saldaña, 2011; Hernández et al., 2020).
Al respecto, las prácticas desleales refieren conductas mercantiles que se presentan en intercambios de bienes al aprovechar la apertura de mercados y desregulaciones comerciales (Witker y Hernández, 2005; Cruz-Barney, 2007). Ante esta situación, y para compensar las actividades desleales del comercio internacional, se establecen aranceles, mismos que se conciben como un impuesto que se cobra a la importación de una mercancía determinada, para que pueda ingresar a un país.
Además, este impuesto también se puede presentar en su modalidad de arancel ad valorem, el cual se puede expresar como un porcentaje fijo sobre el valor de la mercancía que se intercambia, en este caso, la carne de pollo en canal y actúa como mecanismo de protección de la producción nacional y regional y como desprotección a consumidores internos (Rebollar et al., 2020).
Por ello el objetivo de esta investigación fue evaluar la simulación de la aplicación de tres escenarios de tasas arancelarias ad valorem, 25, 35 y 45%, sobre las importaciones de carne de pollo hacia México, provenientes de USA y sus efectos sobre producción y consumo, tanto a nivel región como nacional y en el bienestar de la sociedad, cuantificado mediante el valor social neto (VSN). Así, con relación a una situación óptima, la hipótesis central asume que, bajo el escenario de la imposición de aranceles a las importaciones, lo que ocasiona que se incremente la producción nacional y regional, se reduce el consumo, aumentan el precio al consumidor y al productor y perjudica el bienestar de la sociedad al generar un menor valor social neto.
1. Materiales y Métodos
Para evaluar los efectos del arancel ad valorem de 25, 35 y 45% sobre las importaciones, producción y consumo de carne de pollo en canal en México, se utilizó un modelo de equilibrio parcial, con programación no lineal (programación cuadrática), sin considerar almacenamiento.
La función objetivo expresada como función de valor social neto, consistió en maximizar el área bajo las curvas de demanda, menos el área bajo las curvas de oferta, menos los costos de comercialización, tanto de la carne de pollo en canal nacional como de la carne importada, sujeta a un conjunto de restricciones de oferta y demanda.
Con base en Hernández et al. (2018); Hernández et al. (2020) y Rebollar et al. (2020), las bases del modelo se aplicaron sobre el mercado de la carne de pollo en canal en México seccionado por regiones, de forma particular sobre importaciones, con información oficial de 2019 que fue el año de análisis. Ello, debido a que producción y consumo regionales en México se presentan de forma distinta. Así, la producción de las regiones
En consideración de Bassols (1992:43), el país se dividió en ocho regiones productoras y consumidoras, la Noroeste (NO), que abarcó las entidades de: Baja California, Baja California Sur, Sonora, Sinaloa y Nayarit; Norte (NR): Chihuahua, Coahuila, Durango, San Luis Potosí, Zacatecas; Noreste (NE): Nuevo León y Tamaulipas; Centro-Occidente (CO): Aguascalientes, Colima, Guanajuato, Jalisco, Michoacán; Centro-Este (CE): Ciudad de México, Hidalgo, Estado de México, Morelos, Puebla, Querétaro, Tlaxcala; Sur (SU): Chiapas, Oaxaca y Guerrero; Oriente (OR): Veracruz y Tabasco y Península de Yucatán (PE): Campeche, Yucatán y Quintana Roo; más dos puntos de ingreso de importaciones, mismos que se adicionaron a la matriz o cuadro de regiones productoras, para asignar un total de 10 regiones.
Referente a los puntos de internación de las importaciones de carne de pollo, el primero de ellos, llamado PI1, se conformó por la aduana de Colombia perteneciente al estado de Nuevo León; por la de Nuevo Laredo, Matamoros y Reynosa en el estado de Tamaulipas y la aduana de Piedras Negras en el estado de Coahuila. Este primer punto registró el ingreso del 68% de la carne de pollo importada en ese año. El punto de internación dos (PI2), integró las aduanas de Mexicali, Ensenada y Tijuana ubicadas en Baja California; la de Nogales y San Luis Rio Colorado como parte del estado de Sonora y la aduana de Ciudad Juárez perteneciente al estado de Chihuahua. Por este punto ingresó el 32% de la importación de carne de pollo (SIAP, 2019).
Se decidió utilizar la regionalización del país, debido a que el consumo de carne de esta especie pecuaria no es homogéneo en todo el territorio nacional; éste se lleva a cabo de forma regionalizada (Huerta et al., 2018: 1247) y, entre regiones el consumo no es igual; por tanto, el efecto de variables económicas que lo determinan es distinto en cada una de ellas.
1.1. Ecuaciones
El modelo de equilibrio espacial de precios requirió utilizar funciones de oferta y demanda inelásticas; funcionalmente, dependientes de la cantidad tanto demandada como ofertada, que en la literatura se conocen como funciones inversas de demanda y funciones inversas de oferta (Hernández et al., 2020; Rebollar et al., 2020). La función inversa de la demanda (es decir, en la que el precio, es la variable dependiente, fue una función de la cantidad demandada; en este caso, esta última, fue la variable independiente) para la región i fue:

Donde:
Pdi = precio de demanda de carne de pollo, en la región i, en pesos por tonelada (t)
Ydi = cantidad demandada de carne de pollo en la región i, en toneladas λ = intercepto de la función de demanda de carne de pollo para la región i
ω = pendiente de la función de demanda de carne de pollo para la región i.
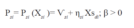
Para la misma región, la función inversa de la oferta de carne de pollo fue:

Donde:
Psi = precio de oferta de carne de pollo en la región i.
Xsi = cantidad ofrecida de carne de pollo en la región i, en toneladas.
Ѵsi = intercepto de la función de oferta de carne de pollo en la región i.
η = pendiente de la función de oferta de carne de pollo en la región i.
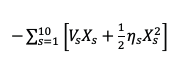
Así, la función de cuasi bienestar social por región se definió por el área entre la curva de demanda y por el área entre la curva de oferta de carne de pollo en canal (Hernández et al., 2020):
(1)Cuando se introducen los costos de transporte entre regiones, la función de bienestar social para las n-regiones toma la forma siguiente:
(2)Donde:
Cij = Costo de transporte de la región i a la región j, en pesos por tonelada de carne de pollo transportada.
Tij = es la cantidad transportada de la región i a la región j, en toneladas de carne de pollo.
Entre los componentes adicionales al modelo de programación, destacaron las restricciones de demanda y oferta. Las de demanda implican que la suma de la cantidad transportada de carne de pollo a la región i debe ser mayor o igual que la demanda de esa carne en dicha región. Esto es:
(3)Las de oferta, necesitan que la suma de la cantidad transportada de carne de pollo, fuera de la región i, sea menor o igual a la producción total de carne de pollo de dicha región:
(4)El modelo (Takayama y Judge, 1964), asume la existencia de regiones productoras y consumidoras que comercian un bien homogéneo, para este caso, la carne de pollo, mismas que se hayan separadas, por costos de transporte del producto, pero no aisladas entre sí.
De forma regional, el resultado de la integral de la ecuación (1); esto es, el modelo matemático, quedó como sigue:
Área bajo la curva de demanda.

Área bajo la curva de oferta.

Costo de transporte regional-nacional.

Costo de transporte de las importaciones más el arancel.

1.2. Datos
La información sobre consumo (demanda) de cada una de las ocho regiones del país, provino de utilizar el dato referente a la población de cada estado del año 2019, registrada por la Comisión Nacional de Vivienda (CONAVI, 2021). Después, el dato de población se multiplicó por el consumo per cápita de carne de pollo del 2019, reportado por la Unión de Nacional de Avicultores (UNA) (UNA, 2021). Posteriormente se sumó el consumo de cada uno de los estados que integraron cada región, con lo que se obtuvo el consumo total de la región.
Por el lado de la oferta, el precio de la carne de pollo por región se obtuvo a partir del precio que se reportó en cada entidad federativa que integró la región, el cual fue ponderado con producción de esa misma región. La información se colectó del Sistema de Información Agroalimentaria y Pesquera (SIAP, 2021). El precio de la carne de pollo proveniente de Estados Unidos hacia los dos puntos de internación se obtuvo del Sistema Nacional de Información e Integración de Mercados (SNIIM, 2019). El precio al consumidor por cada región correspondiente a 2019, se obtuvo con el promedio del precio que se registró en cada entidad federativa perteneciente a tal región. La información provino de ASERCA-CIMA (2021).
Por su parte, el dato referente al costo de transporte dentro y entre las regiones, se calculó al multiplicar la distancia (en kilómetros) por el costo por kilómetro; las distancias se obtuvieron con la herramientade la Secretaría de Comunicaciones y Trasportes, punto a punto (SCT,2019); se consideró cada capital de la entidad federativa como punto de referencia y se ponderaron las distancias en cada región. En México, la carne de pollo se transporta al movilizar el ave in vivo, no se transportan canales frías ni canales calientes. Por lo que este transporte es especializado, en donde se utilizan cajas específicas en las que se colocan a las aves ya finalizadas y destinadas al sacrificio.
El costo por kilómetro que se consideró fue de 46.7 pesos mexicanos en el momento de la investigación y se obtuvo al consultar los índices de precios en el transporte por carretera de la Secretaría de Comunicaciones y Transporte (SCT), de ahí se generó el dato correspondiente al costo del diésel en la composición porcentual del gasto; asimismo, se consideró la inflación del mismo año.
Para estimar las funciones inversas de demanda y oferta de carne de pollo de cada región de México, se utilizó la elasticidad precio de la demanda y elasticidad precio de la oferta regional (Rebollar et al., 2019), y para los puntos de internación se consideraron las elasticidades difundidas por Vázquez y Martínez (2011). Las funciones inversas de demanda y oferta de carne de pollo se estimaron de acuerdo con Alston et al. (1995), Kawaguchi et al. (1997) y Hernández et al. (2020)
Con toda la información disponible sobre la carne de pollo en canal, tales como las elasticidades, ecuaciones de demanda y oferta, precios al productor, al consumidor, entre otras variables, se procedió a estimar el modelo de programación no lineal conocido como modelo base o modelo óptimo y los resultados, tanto por región como nacional, sobre producción, importaciones, consumo y en el valor social neto (VSN). El modelo base u óptimo es aquel modelo sin distorsiones; al que no se le ha aplicado el análisis de algún tipo de política o escenario (Hernández et al., 2020).
Una diferencia porcentual de estimación de la producción, importaciones y consumo entre el modelo base y los datos observados en el año de análisis menor al 10%, significa que el modelo estimado es aceptable para realizar el análisis de escenarios de política. Si tal diferencia en el resultado de la estimación es negativa/positiva, se dice entonces que el modelo ha subestimado o sobre estimado los resultados (Hernández et al., 2020).
El porcentaje de las tasas arancelarias se aplicó en la matriz del costo por tonelada transportada de las importaciones o sobre el costo de transporte del producto de los dos puntos de ingreso de la carne de pollo hacia cada una de las regiones del país. Como ejemplo, en el es quema del modelo base, el costo de la carne de pollo importada que se consideró, fue 33.5 pesos por kilogramo (kg.), mismo que se sumó al costo de transporte de los puntos de internación uno y dos y al sumar 25% (primera simulación del arancel ad valorem, representó un aumento de 8.4 pesos por kg., y un nuevo precio de 41.9 pesos por kg, que se le suman (se le agregaron 8.4 pesos por kg.) al costo de transporte de la carne de la carne de pollo importada de los dos puntos de internación.
Adicionalmente, el modelo óptimo o base tomó en cuenta un costo de transporte del PI1 a la región NO, en 2019, de 7,319 pesos mexicanos por tonelada (t); por tanto, con el escenario del arancel del 25%, el nuevo dato fue $7,319 + $8,375 = $15,694 por t; con arancel de 35% el nuevo costo de transporte del PI1 a la región NO fue $7,319+$11,725 = $19,044 y con 45% de arancel ese costo de transporte ascendió a $7,319 + $15,075 = $22,394 y así sucesivamente para las regiones Norte, Noreste, Centro-occidente, Centro-este, Sur, Oriente y Península.
El análisis de resultados del modelo de programación no lineal con la simulación de aplicación de aranceles sobre importaciones de carne de pollo se realizó en producción, importaciones, consumo, precios al productor, precios al consumidor y valor social neto (VSN), comparándose con los que se obtuvieron en el modelo óptimo (sin distorsiones); con ello, se visualizó e interpretó el efecto de tales escenarios sobre el mercado de la carne de pollo en México.
Toda la información se procesó con el software Solver MINOS, escrito en el lenguaje de programación GAMS (General Algebraic Modeling System), versión 24.4.2 para Windows, Office 2013.
2. Resultados y Discusión
Al considerar como base la información oficial observada para México durante el año 2019, el modelo de programación cuadrática (no lineal) que se estimó, llamado modelo base o también modelo óptimo (Rebollar et al., 2020) sobre estimó a la producción nacional de carne de pollo en 2.7%; resultado similar al de Hernández et al.(2020); esto es, la maximización del valor social neto (VSN), mostró que la producción nacional del modelo base (3,550,398 t de carne de pollo) se ubicó 93,250 t de carne de pollo por arriba del volumen nacional observado en 2019 (3,457,444 t) de dicha carne (Cuadro 1).
De forma regional, la sobre estimación en el volumen de producción se observó solamente en cinco de las ocho regiones del país, con relevancia en la Centro-Este (CE) (7.7%). El modelo base subestimó la producción de carne de pollo en las regiones Península de Yucatán (PE) (-10.1%), Norte (NR) (-0.6%) y Noroeste (NO) (-0.03%), en el que los volúmenes estimados fueron menores a los que se observaron en el año de análisis (Cuadro 1). Es válido mencionar que la expresión subestimó, debe entenderse que el resultado estimado por el modelo fue menor al dato observado y viceversa.

Nota: en este cuadro se utilizaron tres decimales en la última columna para observar la diferencia del cambio.
Fuente: Elaborado con Resultados del Modelo Base. MMDP: Miles de Millones de Pesos.En la variable importaciones, se observó que en la estimación del modelo hubo subestimación del volumen de importaciones totales de carne de pollo en 4,126 t (0.5%); hallazgo similar al de Hernández et al., (2020). Con referencia a los puntos de ingreso al país, el modelo óptimo subestimó al volumen que ingresó por el punto de internación uno (PI1) y por el punto de internación dos (PI2) en 1,976 (0.4%) y 2,115 t (0.9%); esto es, en la maximización del valor social neto (VSN),la cantidad de carne de pollo que se internó por esos puntos fue menor al volumen que se observó en 2019 (Cuadro 1).
Los resultados del modelo sobre estimaron el consumo de carne de carne de pollo en todas las regiones de México (Cuadro 1), en contraste con el observado en 2019; por lo que la diferencia aritmética entre la cantidad dada por el modelo y la que se observó fue superior en 86,526 t (2%). El VSN óptimo fue mayor al observado en 0.8%, lo que significó que, a nivel nacional, el modelo sobre estimó el valor de dos variables (producción y consumo) del mercado de carne de pollo en México y subestimó importaciones; aunque no fue así a nivel región (Cuadro 1).
Para maximizar el VSN, la estimación del modelo de programación (modelo óptimo) sugirió que el abasto y distribución óptima de carne de pollo en México en 2019, interregional, debió realizarse como se muestra en el Cuadro 2. En las hileras se ubicó el volumen de producción y los envíos óptimos de carne de pollo de cada región y en las columnas lo que cada región consumió de esa carne,de tal forma que la suma total de las hileras fue igual a la suma total de las columnas.

Con relación al abasto y consumo de carne de pollo (Cuadro 2), la optimización del modelo indicó que la región NO demandó 408.9 miles de t de carne de pollo; de ese total, consumió todo lo que produjo y recibió producto (49%), vía importaciones que entraron por el PI2. La región CE fue deficitaria en producción de esa carne, pero fue la que más consumió dicho subproducto pecuario (32.6% del total nacional); sin embargo, para solventar su consumo interno (1,403.2 miles de t de carne), la maximización del VSN indicó que esta región comercializó 20.3% de su producción hacia la región SU de México y, a su vez, recibió carne de pollo de las regiones CO (26.9%), NE (5.4%) y NR (4.7%) e importaciones que ingresaron por el PI1 (14.7% de su consumo total) (Cuadro 2). Por su parte, la región de la PE fue auto suficiente en consumo de carne de pollo, todo lo que toda su producción se consumió en la misma región, no recibió producto de ninguna otra región de México, tampoco de importaciones (Cuadro 2).
2.1. Efectos del arancel ad valorem
La simulación de la aplicación de aranceles ad valorem sobre importaciones de carne de pollo mexicanas provenientes de Estados Unidos en 2019, tuvo efectos positivos que se reflejaron en incrementos en la producción, importaciones, consumo, precios al productor y disminuciones o efectos negativos en los precios al consumidor, así como en el nivel de bienestar de la sociedad, cuantificado por el valor social neto (VSN).
Específicamente, al contrastar los resultados del modelo base con los de la simulación del arancel ad valorem del 25, 35 y 45%, el impacto de esas tasas arancelarias incrementó la producción, tanto nacional como regional, de carne de pollo en 0.2, 0.3 y 0.4% (Cuadro 3); resultado congruente con el de Davids et al. (2015) sobre incremento de aranceles a importaciones de carne de pollo en Sudáfrica; al de Hernández et al. (2020) en el que la posible aplicación de una cuota compensatoria a la carne de pollo en México habría incrementado la producción nacional; similar al de Rebollar et al. (2020) sobre carne de cerdo en México y cercano al hallazgo de Velázquez et al. (2016) también sobre efectos de aranceles a la carne de cerdo en México para un periodo diferente.
El impacto en la producción fue mayor con 45% de arancel que al25 y al 35%; mientras que el incremento de la tasa arancelaria del 25 al 35% incrementó en 0.2% la producción nacional de carne de esa ave,al 45% de aumento, el impacto en el volumen nacional de esa carne fue poco más que el doble, pero menor a la unidad porcentual.
Si el gobierno decidiera aplicar un arancel del 25%, 35% y 45% a las importaciones de carne de pollo en México, los impactos en la producción nacional habrían sido aumentos de 8,187 t, de 11,525 t y de 14,766 7 t, todas ellas distribuidas en todas las regiones productoras, con relevancia de las más dinámicas (Rebollar et al. 2019) como CO, CE y la NR, con excepción de la PE. En esa región, el arancel no impactó en la producción de carne de pollo, debido a la lejanía con relación a los puntos de internación; afirmación similar al resultado de Hernández et al. (2020) sobre una cuota compensatoria y a los de Davids et al. (2015) sobre protección a la producción interna de pollo de engorda en Sudáfrica.

Con relación al modelo base, la aplicación de la simulación de las tres tasas arancelarias encareció las importaciones mexicanas de carne de pollo, con lo que se redujo el volumen importado en -1.3, -1.9 y -2.4%. Al respecto, Hernández et al. (2020) afirmaron que, si México aplicara una cuota compensatoria a importaciones de carne de pollo, la producción de esa carne habría de incrementarse y las importaciones tendrían que disminuir, en beneficio de productores nacionales.
Los aranceles tuvieron impacto negativo al disminuir el consumo nacional y, por ende, en el nivel de bienestar de la sociedad al presentar un menor VSN; es decir, perjudicaron a consumidores y, en general a la sociedad, afirmación congruente con la de Núñez et al. (1996) y con Aaron y Pierce (2019) sobre pérdidas de bienestar por represalias de Estados Unidos a productos chinos y cercana a la afirmación de Romalis (2007) para un estudio de efectos del TLCAN en los países miembros y no miembros, con elasticidades de oferta asociadas con aranceles como instrumentos en cantidades observadas, en las que hubo poco efectos en precios y en el nivel de bienestar.
El impacto de las tasas arancelarias sobre importaciones mexicanas de carne de pollo disminuyó el consumo nacional en -0.04, -0.06 y -0.08%, equivalente a una reducción de 1,847, 2,600 y 3,324 t.
Asimismo, redujeron el VSN en menos que una unidad porcentual, esto es, en -0.2, -0.3 y -0.4%; afirmación similar a los resultados de Davids et al. (2015) y simétrica con la de Gómez et al. (2011) sobre efectos de aranceles a importaciones de carne de cerdo provenientes de Estados Unidos.
Con relación al modelo base, en las tres simulaciones de tasas arancelarias hubo incrementos en los precios al productor y al consumidor (Cuadro 4) en todas las regiones de México, mientras que el precio en los puntos de internación se redujo por el efecto de las tasas arancelarias,lo que concuerda con los hallazgos de Gómez et al. (2011) sobre aranceles a importaciones mexicanas de carne de cerdo y con Davids et al. (2015) sobre aranceles a importaciones de carne de pollo de engorda provenientes de la Unión Europea; con los de Amiti et al. (2019) sobre el proteccionismo de Estados Unidos en 2028 y Rebollar et al. 2020 acerca de efectos de aranceles a la porcicultura mexicana. Asimismo,simétricos con los de Villa et al. (2019) sobre imposición de aranceles de productos agropecuarios de Estados Unidos en importaciones de México, TLCAN; convergente con resultados de Aaron y Pierce (2019) y similar al hallazgo de Rebollar et al. (2020), sobre impacto de aranceles a la porcicultura mexicana. Tal política perjudicó a consumidores y benefició a productores nacionales a través del incremento del precio en ambas variables, resultado similar a las afirmaciones de Hernández et al. (2020), Rebollar et al. (2020) y Velázquez et al. (2016).

Así, al 25% de arancel, el precio al consumidor de la región CO (la región que más consume carne de pollo en México) se incrementó 0.2%, al pasar de 35,100 $/t (precio del modelo base) a 35,200 $/t; mientras que el precio al productor en la región que más produce carne de pollo en el país pasó de 33,380 $/t (precio del modelo base) a 33,482$/t; es decir, con el arancel de 25% el precio al productor se incrementó en 0.3% (Cuadro 4) y así, con el resto de las tasas arancelarias.
Conclusiones
Con relación a los datos observados en el año de análisis, el modelo base sobreestimó a la producción mexicana de carne de pollo, al valor social neto y subestimó el consumo. La simulación de la aplicación de las tres tasas arancelarias incrementó producción nacional y regional de esa carne, redujo importaciones y consumo nacional por regiones; benefició a productores nacionales mediante un incremento del precio, perjudicó al consumidor nacional debido a que el precio aumentó y con esa política arancelaria, el bienestar de la sociedad se vio perjudicado debido a que, con esa simulación, el valor social neto se redujo con relación a una situación óptima.
Referencias
Aaron F, Pierce J. (2019). Disentangling the effects of the 2018-2019 tariffs on a globally connected U.S. manufacturing sector. Finance and economics discussion series 2019-086. Board of Governors of the Federal Reserve System Washington, USA. . 26 de febrero de 2021.
Alston, J. M., Norton, W. & Prdey. G. (1995). Science under scarcity: principles and practice for agricultural research evaluation and priority setting. Cornell University Press. Ithaca, NY, USA.
Amiti, M., Redding, J. S., Weinstein, E. D. (2019). The impact of the 2018 trade war on U.S. Price and welafare. Journal of Economic Perspectives, 33(4), 187-210. https://www.jstor.org/stable/26796842
ASERCA-CIMA. Agencia de Servicios a la Comercialización y Desarrollo de Mercados "Agropecuarios-Centro de Información de Mercados Agroalimentarios”. (2021). Consulta de precios nacionales. Recuperado de https://www.cima.aserca.gob.mx/es_mx/cima/sistema_consulta
Bassols, Batalla Ángel, (1992). Formación de regiones económicas. Geografía Económica de México, México, D. F., Trillas.
CONAVI, (2021). Comisión Nacional de Vivienda. México. Proyección de población. Recuperado de . https://sniiv.conavi.gob.mx/demanda/poblacion_proyecciones.aspx. 18 Ene 2021.
Cruz-Barney, O. (2007). “Antecedentes del sistema contra prácticas desleales de comercio en México. La evolución de las disposiciones antidumping”. Boletín Mexicano de Derecho Comparado, 119, pp. 439-465. .
Davids, P., Meyer, F. H., Louw, M. (2015). “Evaluating the effect of proposed tariff protection for the South African broiler industry”. Agricultural Economics Research, Police and Practice in Southern Africa, 54(1), pp. 70-95. https://doi.org/10.1080/03031853.2014.995190
DOF. Diario Oficial de la Federación. (2012). “Resolución Final de la investigación antidumping sobre las importaciones de pierna y muslo de pollo originarias de los Estados Unidos de América”. http://dof.gob.mx/nota_detalle.php?codigo=5262441&fecha=06/08/2012 . 28 ene 2021.
FIRA. Fideicomisos Instituidos en relación con la Agricultura. 2019. Panorama Agroalimentario. Carne de pollo (2019). Recuperado de . inforural.com.mx/wp-content/uploads/2019/09/Panorama-Agroalimenta-rio-Carne-de-pollo-2019.pdf.> 26 feb 2021.
Gómez Tenorio, G., Rebollar Rebollar, S., Hernández Martínez, J., Guzmán Soria, E. (2011). “Effect of the tariffs in the competitiveness of the Mexican pork industry”. Tropical and Subtropical Agroecosystems, 14(2), pp.537-542. https://www.revista.ccba.uady.mx/ojs/index.php/TSA/article/view/842 .
Hernández Aguirre, P., Rebollar Rebollar, S., Rebollar Rebollar, E., Gómez Tenorio, G., Velázquez Villalva, H. H. (2018). “Evaluación del efecto de una economía cerrada al mercado de carne de pollo en México”, pp. 63-78. En: Domínguez Vara, I. A., Morales Almaráz, E., Ramírez Bibriesca, E. (Coords). Tecnologías aplicadas en la producción, calidad y competitividad de la carne de especies pecuarias. Universidad Autónoma del Estado de México. 1ra ed. Toluca, Estado de México.
Hernández Aguirre, P., Rebollar Rebollar, S., Gómez Tenorio, G., Velázquez Villalva, H. H. (2020). “Efectos de una cuota compensatoria ad valorem sobre importaciones de carne de pollo en México”. Acta Agrícola y Pecuaria, 6(1), pp. 1-12. https://doi.org/10.30973/aap/2020.6.0061011
Huerta-Sanabria S, Arana-Coronado O. A, Sagarnaga-Villegas L. M. MatusGardea J. A, Brambila-Paz J. J. (2018). “Impacto del ingreso y carencias sociales sobre el consumo de carne en México”. Revista Mexicana de Ciencias Agrícolas 9 (6), pp. 1245-1258. .
Kawaguchi Tsunemasa, Suzuki Nobuhiro, Kaiser Harry M. (1997). “A Spatial equilibrium model for imperfectly competitive milk markets”. Am J Agric Econ, (79), pp. 851–9. https://doi.org/10.2307/1244426
Kerr, A. W., Loppacher, J. L. (2004). “Anti-dumping in the Doha negotiationsFairy Tales at the WTO”. Journal of World Trade, 38 (2), pp. 211-244.
Núñez, G., Rodríguez, M. del R., de la Cruz. S. (1996). “Cálculo del impacto de una cuota compensatoria en el bienestar de los consumidores: un caso ilustrativo”. Estudios Económicos, 11(1), pp. 141-160. <https://estudioseconomicos.colmex.mx/index.php/economicos/article/view/258/260>.
Rebollar-Rebollar E, Gómez-Tenorio G, Rebollar-Rebollar A, Mondragón-Ancelmo J. (2019). “Oferta y demanda regional de carne de pollo en México”. Revista Mexicana de Ciencias Pecuarias, 10 (4), pp. 917-932. https://cienciaspecuarias.inifap.gob.mx/index.php/Pecuarias/article/view/4839/4133
Rebollar Rebollar, S., Gómez Tenorio, G., Martínez Castañeda, F. E. (2020). “Efectos de un arancel ad valorem sobre importaciones de carne de cerdo en México”. Agricultura, Sociedad y Desarrollo, 17(4), pp. 697-712. https://www.revista-asyd.mx/index.php/asyd
Romalis, J. (2007). “NAFTAS´s and CUSFTA´s impacto on international trade”. The Review of Economics and Statistics, 89(3), pp. 416-435. <https://doi.org/10.1162/rest.89.3.416>.
Saldaña Pérez, J. M. (2011). Importaciones de pollo de los Estados Unidos. Un caso de dumping, no de salvaguardia. Cultura Jurídica 1, pp. 15-41. <https://tinyurl.com/y4kvfyp7>
SCT. Secretaría de Comunicaciones y Transportes. (2019). “Rutas punto a punto”. http://app.sct.gob.mx/sibuac_internet/ControllerUI?action=cmdSolRutas . 20 ene 2021.
SIAP. Sistema de Información Agroalimentaria y Pesquera. (2021). “Producción pecuaria”. . 18 ene 2021. SNIIM. Sistema Nacional de Información e Integración de Mercados. (2019). “Mercados Nacionales Pecuarios: Carne de ave”. <https://nube.siap.gob.mx/cierre_pecuario/>
SNIIM. Sistema Nacional de Información e Integración de Mercados. (2019). “Mercados Nacionales Pecuarios: Carne de ave”. https://n9.cl/nq3ml
Takayama T, Judge G. (1964). “Spatial equilibrium and quadratic programming”. J Farm Econ, 46(1), pp. 67–93. . UNA. Unión Nacional de Avicultores. (2016). “Las prácticas comerciales dumping han generado las crecientes importaciones de Carne de Pollo a México: César Quesada”.https://doi.org/10.2307/1236473 . 09 oct 2021.
UNA. Unión Nacional de Avicultores. (2016). “Las prácticas comerciales dumping han generado las crecientes importaciones de Carne de Pollo a México: César Quesada”. https://tinyurl.com/4pehcdty . 09 oct 2021.
UNA. Unión Nacional de Avicultores. (2021). “Consumo aparente de carne de pollo”. https://tinyurl.com/yh4vjxat. 20 ene 2021.
Vázquez Alvarado, J. M. P., Martínez Damián, M. A. (2011). “Elasticidades de oferta y demanda de los principales productos agropecuarios de México. Instituto Nacional de Investigaciones Agrícolas, Forestales y Pecuarias (INIFAP)”. http://siafemor.inifap.gob.mx/anec/pdf/descargables/54/54.pdf 18 ene 2021.
Velázquez Villalva, H. H., Gómez Tenorio, G., Rebollar Rebollar, S., Mar- tínez Castañeda, F. E. (2016). “Efectos regionales y nacionales sobre la producción y consumo de carne de cerdo con la aplicación de aranceles a carne importada”, Cavalloti Vázquez, B. A., Ramírez Valverde, B., Cesín Vargas, J. A. (Coords). Ganadería, Sociedad y Recursos Naturales, Universidad Autónoma Chapingo. 1ra ed. Chapingo, México, pp. 215-228.
Villa Hernández, Y. A., Kido Cruz, A., Hernández Silva. V., Madrigal Moreno, S. (2019). “Efectos de la imposición de aranceles a productos agropecuarios de Estados Unidos en importaciones de México, TLCAN”. Paradigma Económico, 11(1), pp. 163-182. https://doi.org/10.36677/paradigmaeconomico.v11i1.11236 .
Witker, J., Hernández, S. (2005). “Resolución de controversias en materia de antidumping y cuotas compensatorias en el TLCAN”. Revista Latinoamericana de Derecho, 2(3), pp. 273-314. .
Información adicional
JEL Classification: C61, F17, O24, Q17.