Original
Sistema de clasificación en emergencias -Escala canadiense de clasificación y severidad relacionado con aumento en fallecimientos en un hospital general
Emergency Classification System - CTAS is related to an increase in deaths in a tertiary hospital
Sistema de clasificación en emergencias -Escala canadiense de clasificación y severidad relacionado con aumento en fallecimientos en un hospital general
Acta Médica Costarricense, vol. 65, no. 3, pp. 129-135, 2023
Colegio de Médicos y Cirujanos de Costa Rica
Received: 13 August 2022
Accepted: 06 October 2023
Resumen:
Objetivo. El sistema de clasificación en servicios de emergencias fue implementado en todos los servicios de emergencias de la Caja Costarricense de Seguro Social alrededor del 2015, a pesar de que su utilidad y veracidad han sido cuestionadas. El presente estudio pretende establecer si existe una relación entre cambios en la cantidad de fallecimientos y en la mortalidad con la implementación de la Escala Canadiense de Clasificación y Severidad en los servicios de emergencias. Métodos. Se obtuvieron los registros correspondientes a las atenciones del Servicio de Emergencias del 2008 al 2022. Se realizó la comparación de los registros previos y posteriores a la implementación de la Escala Canadiense de Clasificación y Severidad en marzo del 2015. En total se tomaron en cuenta los datos referentes a 1 351 091 consultas, de las cuales 733 318 se dieron antes de la implementación de la escala canadiense de clasificación y severidad. Se compararon ambas poblaciones con respecto a tendencias temporales en fallecimientos, estancias en el servicio antes del fallecimiento, mortalidad y la relación entre fallecimientos y hora-paciente mensuales. Resultados. Se encontró un aumento significativo en los fallecimientos con la implementación de la Escala Canadiense de Clasificación y Severidad en un 19,8 % (p<0,001). La mortalidad en el servicio de emergencias mostró un aumento continuo desde el 2012. Sin embargo, una normalización del número de atenciones permitió observar un aumento de la mortalidad posterior, pero no previo a la implementación de la Escala Canadiense de Clasificación y Severidad (p<0,02). Por su parte, la cuantía de fallecimientos mensuales no ha mostrado relacionarse con cuantía de atenciones mensuales ni con hora-pacientes mensuales. Conclusión. La implementación de la Escala Canadiense de Clasificación y Severidad en el servicio de emergencias de un hospital de tercer nivel en Costa Rica se relacionó con un aumento en los fallecimientos, sin estar relacionado con indicadores de plétora del servicio.
Descriptores: Clasificación, urgencias médicas, mortalidad, muerte.
Abstract:
Aim: The classification system in emergency rooms was implemented in all the emergency services of the Caja Costarricense de Seguro Social around 2015, despite the fact that its usefulness and veracity have been questioned. The present study aimed to establish changes in the number of deaths and in mortality with the implementation of the Canadian Triage and Severity Scale. Methods: The records corresponding to the attentions of the Emergency Service from 2008 to 2022 were obtained and comparisons were made of the records before and after the implementation of the Canadian Triage and Severity Scale in March 2015. In total, the data referring to 1,351,091 consultations were taken into account, of which 733,318 occurred before the implementation of the scale. Both populations were compared with respect to temporal trends in deaths, stays in the service before death, mortality, and the relationship between deaths and monthly patient-hours. Results: A significant increase in deaths was found after the implementation of the Canadian Triage and Severity Scale by 19.8% (p<0.001). Mortality showed a continuous increase since 2012, however a normalization of the number of visits allowed us to observe an increase in mortality after but not before the implementation of the scale (p<0.02). The number of monthly deaths has not been shown to be related to the amount of monthly consults or monthly patient-hours. Conclusions: The implementation of the Canadian Triage and Severity Scale in the emergency room of a third level hospital in Costa Rica was related in the present study to an increase in deaths, without being related to indicators of service plethora.
Keywords: Classification, Emergencies, Mortality, Deaths.
Los sistemas de clasificación han intentado ofrecer a los servicios de emergencias opciones más oportunas en la forma de ordenar la atención de los pacientes que ingresen, comparado con su atención en orden cronológico. En general se pretende determinar la severidad de la condición clínica con que ingresa el paciente, dando prioridad a los pacientes con padecimientos más graves. A pesar de que ya han pasado varias décadas desde la implementación de diferentes sistemas de clasificación en muchas partes del mundo, todavía no queda del todo claro cuál es el impacto real en las diferentes dimensiones de la atención de los pacientes. La problemática de los sistemas de clasificación inicia con la implementación, ya que la exactitud de su aplicación en condiciones reales ha sido calificada como moderada.1
La problemática de los sistemas de clasificación no se limita a un sistema en particular, sino que impresiona ser un fenómeno más generalizado. Sin embargo, aunque su validación para diferenciar pacientes de mayor urgencia de aquellos con menor urgencia ha sido considerada como moderada a buena, el desempeño en la implementación es altamente variable. 2
Los sistemas de clasificación estratificada en los servicios de emergencias se han convertido en una práctica difundida en el mundo, primordialmente por su alto grado de fiabilidad reportada.3 La Clasificación Canadiense de Triaje y Severidad (CTAS, por sus siglas en inglés) es una de dichas clasificaciones, cuyo uso se instauró el 25 de marzo de 2015 en el Hospital Dr. Rafael Ángel Calderón Guardia (HCG) de San José, Costa Rica.
No obstante, al momento de realización de este estudio, no se había llegado a implementar la versión electrónica que ha mostrado su impacto en la atención de los pacientes.4,5 A pesar de la popularidad de los sistemas de clasificación estratificada, ha habido múltiples críticas con respecto a su posibilidad de generar un impacto sustancial en la atención de los pacientes.6 Aunque, en general, se considera que existe una alta sensibilidad para mortalidad en el servicio de emergencias, se cree que existen subgrupos en los cuales la sensibilidad es sustancialmente menor, como es el caso, por ejemplo, de la sepsis severa o el tromboembolismo pulmonar.7
Debido a lo anterior, añadido al hecho de que un estudio previo8 señaló un impacto negativo a corto plazo con la implementación del CTAS, este estudio pretendió determinar el impacto cuantitativo sobre la cantidad de fallecimientos y la mortalidad en un servicio de emergencias luego de implementar el sistema de clasificación. Se consideran ambos indicadores, ya que la clasificación podría tener un impacto sobre la consulta, modificando en parte el comportamiento de la mortalidad basado en cambios en su denominador.
Métodos
Este es un estudio observacional longitudinal del 2007 al 2021, que comprende 7 años previos y 7 años posteriores a la implementación del sistema de clasificación CTAS en el servicio de emergencias del HCG, hospital de tercer nivel en San José, Costa Rica. Se analizaron fallecimientos mensuales, consulta mensual, tiempo de estancia en el servicio y hora paciente mensual.
Se solicitaron los datos requeridos tanto al Departamento de Estadística como al Departamento de Informática del hospital. Por lo que, de parte del Departamento de Estadística del Hospital, se obtuvo la información de consultas, hospitalizaciones y fallecimientos mensuales del 2007 hasta el 2021. Por su parte, el Departamento de Informática facilitó los datos del 1 de enero de 2008 hasta agosto de 2018 relacionados con el tiempo de estancia de los pacientes. Los registros de las atenciones del 2018 al 2021 fueron solicitados al Área de Estadística de las Oficinas Centrales de la CCSS, dada la centralización de la información con la implementación del expediente electrónico en la entidad.
Los datos obtenidos del departamento del área de estadística son datos públicos, en forma de resúmenes mensuales. Los datos obtenidos del departamento de informática contienen información básica de cada atención durante el tiempo en cuestión. Con el fin de garantizar la confidencialidad de los datos, se solicitó al departamento de informática eliminar de los datos cualquier indicio que pudiera permitir la identificación de los pacientes, como por ejemplo, el número de cédula y lugar de residencia.
Se definió la hora-paciente mensual como la suma de las horas de estancia en el servicio de todos los pacientes durante cierto mes, lo cual representa la carga de demanda sobre los procesos en forma global. A su vez, se definió el índice de mortalidad como los fallecimientos en el mes entre el total de consultas en el mes por 1000.
Los datos fueron analizados mediante RStudio. Para las variables consulta diaria, estancia y horas paciente, se determinó el tipo de distribución de los valores, con el fin de establecer las pruebas estadísticas comparativas. Se definió el tipo de distribución de las variables por un abordaje secuencial ordenado, considerando gráficos de Cullen y Frey, comprobación de histograma con curva de distribución teórica, comparación empírica y teórica de la función de densidad acumulada y ploteos PP y QQ. La distribución definitiva, la cual se ajusta más a los datos reales, fue determinada mediante las mediciones de Akaike’s Information Criteria (AIC) y Bayesian Information Criteria (BIC).
La comparación de varianza entre dos poblaciones se realizó mediante la prueba F, mientras que la presencia o ausencia de tendencias temporales fue comprobada por la prueba de tendencia de Mann-Kendal.
En el caso de las tendencias ascendentes o descendentes que se presentaron durante todo el periodo de estudio, se normalizaron los valores basados en el modelo de regresión lineal por mínimos cuadrados. Para las distribuciones no normales, se utilizó la prueba de Wilcoxon-Mann-Whitney en la comparación de antes y después de la implementación del CTAS. Finalmente, para todas las estadísticas comparativas se asumió como límite de significancia un índice de 0,05.9
Resultados
Los resultados se basan en los reportes estadísticos mensuales oficiales del servicio de emergencias y en los registros estadísticos de las consultas individuales de cada atención durante el periodo de estudio. De esta fuente se obtuvieron datos de un total de 1 351 091 consultas, de las cuales 733 318 se dieron antes de la implementación del CTAS.
Tendencias temporales
Comparando los fallecimientos mensuales antes y después de la implementación del CTAS, se encontró un aumento significativo de las mismas posterior a la implementación. Mientras que, antes de dicha implementación, el servicio presentaba en promedio 43,6 fallecimientos mensuales (DE ± 7,8). Posterior a la implementación del sistema de clasificación dicho rubro aumentó a 52,3 (DE ± 10,3), lo cual representa un aumento del 19,8 %, siendo estadísticamente significativo (p <0,001; Figura 1). También se encontró un aumento significativo en la varianza después de la implementación (p = 0,001).
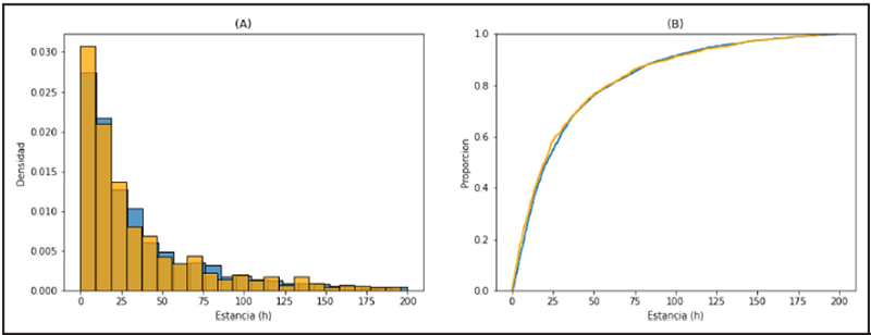
Globalmente, los fallecimientos muestran una distribución de Poisson con respecto a la estancia del paciente en el servicio antes del fallecimiento. No se encontró una diferencia en la distribución de densidad ni en la distribución acumulativa entre antes y después de la implementación del CTAS (Figura 2).
A nivel general, se encontró una relación negativa entre la cantidad de fallecimientos y las atenciones mensuales, es decir, los meses con mayores atenciones tendían a presentar el menor número de fallecimientos (Figura 3).


El análisis de correlación mediante el coeficiente de correlación de Pearson evidenció una correlación muy baja y no significativa entre el número de fallecimientos mensuales y la cantidad de hora-pacientes mensuales, tanto antes de la implementación (R = 0,13, p=0,22) como después (R = -0,08, p=0,72), y globalmente (R =-0,16, p=0,16).
Se observó un crecimiento significativo de la mortalidad desde inicios del 2012. Este crecimiento se debió a un decrecimiento constante y lineal del número de atenciones desde esa fecha hasta febrero del 2020.
Con el inicio de la pandemia, en marzo del 2020, se encontró una reducción súbita de la consulta esperada y un crecimiento paulatino posterior.

El evento de interés se encuentra cercano a la mitad del periodo de decrecimiento mencionado de la consulta, donde la prueba de tendencia de Mann-Kendall muestra un decrecimiento significativo a razón de 39,92 consultas mensuales (p<0,001). Este hace necesario el ajuste del índice de mortalidad con respecto al decrecimiento de las atenciones, con el fin de filtrar su efecto y aislar de esta forma el potencial efecto de la implementación del CTAS sobre el crecimiento de la mortalidad.
El análisis del índice de mortalidad muestra un aumento continuo, en parte debido a la disminución del número de atenciones. Sin embargo, llama la atención que la prueba de tendencia muestra un aumento en el índice de mortalidad antes de la implementación del CTAS, pero sin significancia estadística. No obstante, posterior a la implementación, la tendencia se hace significativa a razón de 0,040 defunciones por cada 1000 atenciones por mes. Con el ajuste de las atenciones, se logra filtrar el efecto del decrecimiento de las atenciones y se encuentra que aun así existe una tendencia creciente del índice de mortalidad a razón de 0,014 defunciones por cada 1000 atenciones por mes, después de la implementación (p < 0,02); lo cual representa un 35,4 % de aumento mensual general del índice mortalidad (Figura 4).

Discusión
Dentro del valor público10 de un servicio de emergencias, puede considerarse la meta de minimizar tanto la mortalidad como el número absoluto de fallecimientos a un mínimo, por lo cual es razonable elegir elementos de gestión que cumplan esta meta y modificar aquellos que no lo hacen.
Como posibles causas de aumento de la mortalidad, puede considerarse una disminución en las atenciones globales sin afectar el número absoluto de fallecimientos por un efecto meramente numérico; un aumento en la cantidad de consulta o la carga de trabajo por sobrepasar la capacidad de atención del servicio; una tendencia creciente continua en los fallecimientos por factores externos como envejecimiento de la población y aumento de fallecimientos por aspectos internos del servicio, como retraso en el diagnóstico o la terapéutica.
Con el fin de determinar la influencia de la implementación del CTAS en el número de fallecidos, es de importancia analizar tendencias preexistentes en el número de fallecimientos mensuales atribuibles a otras causas, ya sea una tendencia continua al alza o a la baja. Para este fin, se efectuó una prueba de tendencia para los datos por separado antes y después de la implementación; esta no mostró significancia ni antes ni después de la implementación, lo cual implica que, a partir del momento de implementación del CTAS, no había una influencia temporal significativa en el número de fallecimientos. En el presente análisis, la disminución de la cuantía de atenciones en el periodo en estudio es notoria y significativa desde inicios del 2012.
Sin embargo, aun normalizando el número de atenciones, la mortalidad ha mostrado una tendencia significativa al crecimiento con la implementación del CTAS; a diferencia de la condición previa, donde la normalización de las atenciones no mostró tal significancia.
Con respecto a la cantidad absoluta de fallecimientos, llama la atención que sí existe un aumento significativo con la introducción del CTAS, pero no una tendencia continua de aumento, ni se ha podido demostrar alguna otra variación significativa diferente a la introducción del CTAS. Si bien, no es posible genéricamente establecer una causalidad basada en los resultados estadísticos, la relación temporal del evento con el aumento significativo de los fallecimientos es llamativa. También lo es el aumento significativo en la varianza, el cual permite sugerir que el oportuno análisis de procesos y su subsecuente ingeniería enfocada en optimización de procesos tipo Six Sigma y Lean Thinking, podría ser una forma de atender lo sucedido.10-13
Un aumento en la varianza se traduce en mayor peso de eventos extremos, tanto hacia mayor como hacia menor mortalidad. Al identificar variaciones en el proceso de atención ligados a una menor mortalidad, existe la posibilidad de modificar el proceso en esta dirección.
Con respecto a la correlación entre los fallecimientos y la cantidad de atenciones, si bien es cierto es baja, llama la atención que es negativa, es decir, cuanto mayor sea la cantidad de atenciones, menor es la cantidad absoluta de fallecimientos. Este hallazgo permite considerar como posible justificación, la naturaleza de un servicio de emergencia como sistema complejo adaptativo. Potencialmente, podría considerarse que, al aumentar la cantidad de atenciones, el sistema entra en otro “macroestado”, con mayor eficiencia en los procesos generando una atención más oportuna, logrando potencialmente de esta forma una disminución de los fallecimientos.
Esta hipótesis quedaría por demostrarse, sin embargo, de ser sustentable, abre un camino a nuevas opciones para la gestión de los servicios de emergencias. Lo que sí debe establecerse es que una ingeniería de procesos debe tomar en cuenta la potencial naturaleza sistémica compleja adaptativa de un servicio de emergencias, por lo cual, la implementación de procesos mecánicos podría no coincidir con la naturaleza del servicio y generar resultados indeseables.
La correlación entre las hora-paciente y las defunciones es baja, por lo cual la argumentación del aumento de la carga de demanda sobre el servicio como factor causante del aumento de las defunciones no es viable. En este punto debe considerarse que no había un aumento en la cantidad de atenciones con el tiempo, es decir, los meses de mayor demanda representada en horas pacientes están intercaladas con meses de menor demanda, con la misma disponibilidad de recursos.
Este hallazgo es sorprendente, ya que, habitualmente, se correlaciona la mortalidad con el grado de plétora de un servicio de emergencias,14 lo cual, según los datos obtenidos, no es el caso observado en este análisis. No obstante, contar con un pronóstico de la consulta en forma diaria podría ayudar a reorganizar los recursos y así poder ofrecer una mejor cobertura de las demandas individuales.15, 16
Otro hallazgo importante es la distribución de tiempo de estancia en el servicio antes de fallecer. Tradicionalmente, se han dividido los fallecimientos en dos categorías:
los fallecimientos tempranos durante las primeras 6 horas, siendo su principal causa de muerte el síndrome cardiovascular y los fallecimientos tardíos, después de las primeras 6 horas, causado, primordialmente, por sepsis y falla respiratoria.17 En este caso, se encontró una distribución de Poisson sin una diferenciación entre dos grupos por tiempo de estancia. De querer justificar la subdivisión en dos grupos basado por tiempo de estancia en el servicio, se debería encontrar distribuciones bimodales con dos puntos máximos., Sin embargo, la distribución encontrada tiene un solo máximo, por lo cual, hablar de dos subpoblaciones claramente definidas por tiempo de estancia en el servicio antes del fallecimiento es difícil de justificar.
A parte del análisis de procesos utilizando metodologías ampliamente empleadas en la industria, también pueden considerarse algunas otras implementaciones como el uso de escalas de riesgo dentro de la clasificación.
Se han mencionado en la literatura varias escalas utilizables en el triage, con el fin de predecir la mortalidad de los pacientes, por ejemplo, la escala MEWS y la escala TREWS, siendo esta última aparentemente de mayor utilidad.18 De la misma forma, incluir modelos de aprendizaje automático en el Triage podría seleccionar pacientes con mayor riesgo para fallecimientos tempranos.19
El estudio no logró determinar algunos factores de riesgo de aumento de mortalidad en el servicio de emergencias analizado, susceptibles a intervención por parte de la gestión del servicio, como lo es una prolongada espera a ser hospitalizado20 o un tiempo prolongado de estancia en el servicio.21
El estudio es indicativo de una correlación entre la implementación del CTAS y el aumento en los fallecimientos. Así mismo, como posible explicación, puede especularse la distorsión que potencialmente genera la implementación de un proceso mecánico en un sistema complejo adaptativo. Finalmente, no existe una correlación significativa entre la cantidad de defunciones ni con la cantidad de atenciones ni con la demanda cuantificada como hora-pacientes.
Referencias
Tam HL, Chung SF, Lou CK. A review of triage accuracy and future direction. BMC Emergency Medicine. 2018 Dec;18:1-7. DOI: 10.1186/s12873-018-0215-0
Zachariasse JM, van der Hagen V, Seiger N, Mackway-Jones K, van Veen M, Moll HA. Performance of triage systems in emergency care: a systematic review and meta-analysis. BMJ open. 2019 May 1;9(5):e026471. DOI: 10.1136/bmjopen-2018-026471
Ebrahimi M, Mirhaghi A, Najafi Z, Shafaee H, Hamechizfahm M. Are pediatric triage systems reliable in the emergency department? Emerg Med Int. 2020 ; 2020:1-8. DOI: 10.1155/2020/9825730
Eid WN, Borie HM. Comparing accuracy of manual triage with electronic triage system. Am J Nurs Res. 2021; 9:71-75. DOI:10.12691/ajnr-9-3-1
McLeod SL, McCarron J, Ahmed T, Grewal K, Mittmann N, Scott S, et al. Interrater reliability, accuracy, and triage time pre-and post-implementation of a real-time electronic triage decisionsupport tool. Ann Emerg Med. 2020; 75: 524-531. DOI: 10.1016/j. annemergmed.2019.07.048
Cao A, Messak K, Hu G, Tsang M. Impact of Emergency Department Triage on Timely ECG Acquisition. Can J Cardiol. 2021; 37:S79-S80. DOI: 10.1016/j.cjca.2021.07.160
Hinson, JS, Martínez DA, Cabral S, George K, Whalen M, Hansoti B, et al. Triage performance in emergency medicine: a systematicreview. Emerg Med J. 2019; 74:140-152. DOI: 10.1016/j. annemergmed.2018.09.022
Schmitz G. Resultados cuantitativos de la implementación de la Escala Canadiense de Triaje y Severidad en el servicio de emergencias de un hospital nacional. Acta méd. costarric. 2016; 58:110-114. DOi: 10.51481/amc.v58i3.930
Di-Leo G, Sardanelli F. Statistical significance: p value, 0.05 threshold, and applications to radiomics-reasons for a conservative approach. Eur Radiol Exp. 2020; 4:1-8. DOI: 10.1186/s41747-020-0145-y
Holden D, Smart D. Adding value to the patient experience in emergency medicine: What features of the emergency department visit are most important to patients? Ann Emerg Med. 2002; 11:3-8. DOI: 10.1046/j.1442-2026.1999.03114.x
Naik T, Duroseau Y, Zehtabchi S, Rinnert S, Payne R, McKenzie M, et al. A Structured approach to transforming a large public hospital emergency department via lean methodologies. J Healthc Qual. 2011; 34:86-97. DOI: 10.1111/j.1945-1474.2011.00181.x
Dickson EW, Singh S, Cheung DS, Wyatt CC, Nugent AS. Application of lean manufacturing techniques in the emergency department. J Emerg Med. 2009; 37:177-182. DOI: 10.1016/j.jemermed.2007.11.108
Efe B, Efe ÖF. An application of value analysis for lean healthcare management in an emergency department. Int J Comput Intell Syst. 2016; 9:689-697. DOI: 10.1080/18756891.2016.1204117
Artymiak J. LibreOffice Calc Functions and Formulas Tips. USA: devGuide.net, Limited; 2011.
Sun Y, Heng BH, Seow YT, Seow E. Forecasting daily attendances at an emergency department to aid resource planning. BMC Emerg Med. 2009; 9:1-9. DOI: 10.1186/1471-227X-9-1
Hoot, NR, Zhou C, Jones I, Aronsky D. Measuring and forecasting emergency department crowding in real time. Ann Emerg Med. 2007; 49:747-755. DOI: 10.1016/j.annemergmed.2007.01.017
Valli G, Galati E, De-Marco F, Bucci C, Fratini P, Cennamo E, et al. In-hospital mortality in the emergency department: clinical and etiological differences between early and late deaths among patients awaiting admission. Clin Exp Emerg Med. 2021; 8:325. DOI: 10.15441/ceem.21.020
Lee SB, Kim D H, Kim T, Kang C, Lee SH, Jeong J H, et al. Emergency Department Triage Early Warning Score (TREWS) predicts inhospital mortality in the emergency department. Am J Emerg Med. 2020; 38:203-210. DOI: 10.1016/j.ajem.2019.02.004
Klug M, Barash Y, Bechler S, Resheff YS, Tron T, Ironi A, et al. A gradient boosting machine learning model for predicting early mortality in the emergency department triage: devising a ninepoint triage score. J Gen Intern Med. 2020; 35:220-227. DOI: 10.1007/s11606-019-05512-7
Jones S, Moulton C, Swift S, Molyneux P, Black S, Mason N, et al. Association between delays to patient admission from the emergency department and all-cause 30-day mortality. Emerg Med J. 2022; 39: 168-173. DOI: 10.1136/emermed-2021-211572
Wessman T, Ärnlöv J, Carlsson AC, Ekelund U, Wändell P, Melander O, et al. The association between length of stay in the emergency department and short-term mortality. Intern Emerg Med. 2022; 17: 233-240. DOI: 10.1007/s11739-021-02783-z
Abreviaturas:
Conflicto de interés:
Fuentes de apoyo: