Articles
Evaluación de fertilizantes líquidos con silicio, calcio o magnesio sobre el crecimiento del sorgo en invernadero
Evaluation of silicon, calcium and magnesium in liquid fertilizers on sorghum growth in the greenhouse
Evaluación de fertilizantes líquidos con silicio, calcio o magnesio sobre el crecimiento del sorgo en invernadero
Agronomía Costarricense, vol. 39, núm. 2, pp. 47-60, 2015
Universidad de Costa Rica. Colegio de Ingenieros y Agrónomos. Ministerio de Agricultura y Ganadería
Recepción: 06 Marzo 2015
Aprobación: 04 Mayo 2015
Resumen: Se evaluó el uso de fertilizantes líquidos con Si, Ca o Mg sobre el crecimiento del sorgo (Sorghum bicolor) en un Ultisol bajo invernadero. Se utilizaron 2 silicatos de potasio, carbonato de calcio y óxido de magnesio, todos en líquidos aplicados al suelo en dosis de 2 y 4 ml.pote-1, y un testigo, en un diseño irrestricto al azar con 9 tratamientos y 4 repeticiones. Las variables de crecimiento, evaluadas 45 días después de siembra, fueron peso seco de raíz y de parte aérea. Se realizó un análisis de suelos y de planta al final del ensayo. Las aplicaciones de Ca y de Mg incrementaron de manera significativa el crecimiento y la absorción de nutrimentos del sorgo. El carbonato de calcio promovió los valores más altos de biomasa seca y de absorción de N, P, Ca, S, Cu, Zn, Mn y B. Las fuentes de Si no tuvieron efectos significativos sobre la biomasa del sorgo, a excepción del silicato de K con Ca y Mg en dosis de 4 ml.pote-1, que además produjo un incremento significativo en la absorción de K. El carbonato de calcio y el óxido de magnesio incrementaron significativamente el pH, disminuyeron la acidez y el Al intercambiable, y aumentaron los contenidos de Ca o Mg en el suelo.
Palabras clave: Silicio, calcio, magnesio, fertilizante, sorgo.
Abstract: The effect of liquid fertilizers with Si, Ca or Mg on the growth of sorghum (Sorghum bicolor) was evaluated in an Ultisol under greenhouse conditions. Four liquid fertilizers (two potassium silicates, calcium carbonate and magnesium oxide) were applied into the soil in liquids at doses of 2 and 4 ml.pot-1, plus a control, in a randomized unrestricted design with 9 treatments and 4 replicates. Growth variables, assessed 45 days after sowing, were dry weight of root and aerial parts. Analysis of soil and plant at the end of the test was performed. The application of Ca and Mg significantly increased growth and nutrient uptake of sorghum. Liquid calcium carbonate promoted the highest values of dry biomass and absorption of N, P, Ca, S, Cu, Zn, Mn and B. Si sources had no significant effects on biomass, except for K silicate with Ca and Mg at the dose of 4 ml.pot-1, which also produced a significant increase in K absorption. Calcium carbonate and magnesium oxide significantly increased soil pH and decreased exchangeable acidity and Al, and also increased Ca or Mg content in the soil.
Keywords: Silicon, calcium, magnesium, fertilizer, sorghum.
Introducción
El silicio es el segundo elemento más abundante en la litosfera y representa alrededor del 26% de su peso además es crucial en numerosos procesos bioquímicos y geoquímicos subterráneos, que van desde la química de la erosión del suelo hasta el desarrollo y crecimiento de las plantas así como también es responsable de disminuir la toxicidad de metales para los organismos vivos (Epstein 1994, Prasad y Power 1997, Gérard et ál. 2008).
En el suelo el Si se encuentra en diferentes compuestos: ácido monosilícico (H4SiO4) y como ácido polisilíco o polímero del anterior, asociados con óxidos de hierro, aluminio y manganeso y por último en formas cristalinas y no cristalinas (amorfas), como de silicatos minerales (Epstein 1999).
La esenciabilidad del Si para todas las plantas no ha sido demostrada (Epstein 1999). En gramíneas como arroz el Si se acumula en los tejidos vegetales y juega un papel importante para el crecimiento y productividad y en general para la mayoría de gramíneas. Es absorbido por las plantas como ácido monosilícico llamado también ácido ortosilícico (H4SiO4) (Savant et ál. 1997).
Se considera el Si como un elemento benéfico para las plantas y está relacionado con una mejor resistencia al ataque de plagas y enfermedades (Epstein 1999). El Si disminuye los efectos adversos de la toxicidad de metales en el suelo como el Al, Fe y Mn (Filho et ál. 2000).
El Si aumenta la resistencia mecánica de las plantas al volcamiento y reduce los efectos adversos del estrés hídrico al mejorar la eficiencia en el consumo de agua de las plantas (Filho et ál. 2000).
La deficiencia de Si es más común en suelos ácidos muy meteorizados como Ultisoles y Oxisoles, debido a que durante el proceso de formación de estos suelos se pierde Si por lixiviación (Epstein 1999). El Si puede aplicarse al suelo principalmente por silicatos de Ca o Mg en polvo, los cuales tienen también efecto de enmienda que neutralizan la acidez y a su vez suben el pH ( Alcarde y Rodella 2003).
Otros problemas asociados a suelos ácidos incluye la presencia de altos contenidos de Al intercambiable y deficiencias de Ca y Mg, que limitan el crecimiento de muchos cultivos (Espinosa y Molina 1999).
El manejo de la acidez del suelo constituye un proceso integral, debido a que la acidez involucra muchos factores, tanto químicos como físicos (Molina 2001). El encalado constituye la forma más simplificada y efectiva de corregir este problema. Se basa en la aplicación de sales básicas que neutralicen la acidez causada por el Al e H presente en el suelo; sin embargo se debe considerar aspectos importantes como la fuente del material encalante, la época, la dosis y el método de aplicación (Molina 1998). Esta práctica estimula el crecimiento de la planta porque reduce toxicidades del Al y Mn, e incrementa la disponibilidad de nutrimentos como el Ca, N y Mo (Curtin y Syers 2002), además disminuye la pérdida por lixiviación de minerales en la solución del suelo, debido a que se incrementa el pH y reduce la solubilidad de los mismos (Taiz y Zeiger 2002).
Las deficiencias de Ca y Mg en suelos ácidos usualmente son corregidas con enmiendas sólidas como carbonatos de Ca y/o Mg (Espinosa y Molina 1999), o con fertilizantes como el nitrato de calcio y el sulfato de magnesio (Molina 2001).
Las enmiendas líquidas también se utilizan para el control de la acidez del suelo y el suministro de Ca y/o Mg. Estos productos están constituidos de carbonatos u óxidos de Ca y/o Mg que se mantienen en forma líquida a través de una suspensión con el uso de algunos coadyuvantes como las arcillas atapulgita y bentonita, y un agente dispersante (Barber 1984, Peters et ál. 1996). El uso de enmiendas líquidas para la corrección de estos problemas se ha evaluado debido a las ventajas que estas presentan. Un estudio reciente de Valerio y Molina (2012) mostró que hubo respuesta significativa en rendimiento de arroz en granza a la aplicación de una enmienda líquida en dosis de 8 l.ha-1, asperjado sobre las plantas y el suelo a los 8 días de germinado el cultivo.
Los silicatos han demostrado tener efecto positivo sobre la restauración de la fertilidad de los suelos a través del tiempo al elevar la capacidad de intercambio catiónico, mejorar el contenido de Ca, P, Mg y otros elementos (Furcal 2012). Los silicatos pueden actuar sobre la acidez del suelo a través de distintos mecanismos (ácidos silícicos, coloides, polímeros de silicio, y complejos de alumino silicatos), en tanto que las enmiendas tradicionales como carbonato de calcio y dolomita sólo poseen un mecanismo; además dichas enmiendas pueden causar fijación de P, y transformar el P disponible en formas no asimilables; por lo que los silicatos pueden constituir una importante opción para la corrección de toxicidad de Al sin afectar la movilización de otros nutrientes (Peñafiel 2009).
Recientemente han llegado al país nuevos fertilizantes líquidos para corregir problemas de Si, Ca y Mg, y que tienen también un efecto de enmienda en el suelo debido a la naturaleza química de sus componentes. La información sobre el uso de estos productos es muy escasa por lo que el objetivo de este trabajo fue evaluar el efecto de varios fertilizantes líquidos con Si, Ca y Mg en el crecimiento de sorgo bajo condiciones de invernadero.
Materiales y métodos
Se tomó aproximadamente 40 kg de suelo en los primeros 20 cm de profundidad en un Ultisol de pH<5,5 y acidez intercambiable >0,5 cmol(+).l-1, ubicado en Paraíso, Cartago. El suelo se desmenuzó manualmente y se secó al aire por un período mínimo de 48 horas. Luego se pasó a través de un tamiz de 2mm y se mezcló para obtener el mayor grado de homogeneidad posible en sus características químicas y físicas. Se realizó un análisis químico de suelos con los procedimientos de Díaz y Hunter (1978), y el resultado se presenta en el Cuadro 1.

Se escogieron 4 fertilizantes líquidos en 2 dosis cada uno, para aplicarlos al suelo antes de la siembra de plantas de sorgo en condiciones de invernadero. Los fertilizantes fueron un silicato de potasio con Ca y S, silicato de potasio, carbonato de calcio y óxido de magnesio. En el Cuadro 2 se presenta la composición química de los fertilizantes utilizados.

El suelo se colocó en potes de 400 ml y los tratamientos se aplicaron al suelo según la dosis indicada para cada uno. El tratamiento consistió en aplicar una lámina de riego de 200 ml de agua, en la cual se adicionó un volumen del fertilizante según el tratamiento. Se utilizaron dosis de 2 y 4 ml.pote-1, diluidos en 200 ml de agua. Las dosis recomendadas por los fabricantes de estos productos para aplicaciones al suelo oscilan entre 5 y 20 l.ha-1 y generalmente se aplican dirigidos a la zona de raíces del cultivo, usualmente en "drench" o en la banda de fertilización en el caso de cultivos perennes, al cubrir sólo una pequeña área de la hectárea.
Una semana después de aplicados los tratamientos en los potes, se sembraron 20 semillas por pote de sorgo forrajero (Sorghum bicolor), que se utilizó como planta indicadora debido su rápido crecimiento en invernadero. El riego del cultivo se realizó por capilaridad, mediante un recipiente de plástico en la que se introdujo el pote, el cual tenía agujeros en el fondo. El recipiente contenía agua desionizada con 50 mg.l-1 de N y NH4NO3 como fuente, de acuerdo con lo propuesto por Cabalceta y Molina (2006) y Molina y Bornemisza (2006). Se agregó una dosis de 50 mg.l-1 de P a todos los tratamientos, a los 8 días después de la germinación, con fosfato diamónico como fuente.
Diseño experimental
El ensayo se realizó en el invernadero de suelos del Centro de Investigaciones Agronómicas en San Pedro, Montes de Oca, a través de un diseño experimental Irrestricto al Azar, con 9 tratamientos y 4 repeticiones.
Los tratamientos que se aplicaron fueron los siguientes:
T: Testigo sin enmienda
E 2 ml.pote-1: Silicato de K con Ca y S, 2 ml por pote.
E 4 ml.pote-1: Silicato de K con Ca y S, 4 ml por pote.
SK 2 ml.pote-1: Silicato de K, 2 ml por pote.
SK 4 ml.pote-1: Silicato de K, 4 ml por pote.
CO3 2 ml.pote-1: Carbonato de calcio, 2 ml por pote.
CO3 4 ml.pote-1: Carbonato de calcio, 4 ml por pote.
MgO 2 ml.pote-1: Óxido de magnesio, 2 ml por pote.
MgO 4 ml.pote-1: Óxido de magnesio, 4 ml por pote.
Variables de crecimiento
Las variables evaluadas fueron: peso de biomasa fresca y seca de raíces y parte aérea recolectado a los 44 días después de la siembra. Las plantas fueron cosechadas a los 44 días después de la siembra y se separaron en raíces y parte aérea, y se les determinó el peso seco después de secar las muestras en estufa a 80oC durante 48 horas.
Variables del suelo y absorción de nutrimentos
Se realizó un análisis químico de suelo de cada tratamiento al final del ensayo, en el Laboratorio de Suelos y Foliares del Centro de Investigaciones Agronómicas, de acuerdo con los procedimientos de Díaz y Hunter (1978).
Adicionalmente se hicieron análisis de pH en agua, acidez y Al intercambiable extraíbles con KCl a los 6, 12, 18, 32 y 44 días después de la siembra del sorgo, en muestras de suelo recolectadas de potes adicionales sin sembrar que se establecieron en cada tratamiento, en un experimento paralelo. Esto se hizo con el objeto de evitar la remoción de suelo de los potes sembrados con sorgo y que pudiera alterar el crecimiento de las plantas en cada pote. Se hizo un análisis químico de la biomasa seca de la parte área de la planta, para la determinación de N, P, Ca, Mg, K, S, Fe, Cu, Zn, Mn, y B, por medio del método de digestión del material vegetal con HNO3, y el análisis de los nutrimentos por medio de Espectroscopía de Emisión Atómica (ICP), a través de los procedimientos establecidos por Díaz y Hunter (1978).
Con los resultados de este análisis y los datos de peso seco se calculó la absorción de nutrimentos en la biomasa aérea.
Análisis estadístico
Mediante el uso del paquete estadístico InfoStat(r), se realizó el análisis de varianza "ANDEVA" para todas las variables, y se utilizó la prueba de LDS Fisher para separar las medias en las variables que presentaron diferencias mínimas significativas con p<0,05.
Resultados y discusión
Biomasa del sorgo
Se presentaron diferencias significativas (p<0,05) en la producción de biomasa (peso seco de raíz y parte aérea) del sorgo cultivado en el Ultisol, como respuesta a la aplicación de los fertilizantes (Figura 1).

El carbonato de calcio en la dosis más elevada (CO3 4 ml.pote-1) presentó la mayor producción de biomasa seca de sorgo y con diferencias significativas con respecto al testigo sin fertilizante y al resto de tratamientos. Este mismo tratamiento presentó mayor biomasa de raíces que aérea, probablemente debido a que el suelo era muy ácido y deficiente en Ca, lo que causaría un mayor estímulo en el crecimiento de las raíces del sorgo.
Con la variable biomasa de la parte área, el carbonato de calcio líquido en dosis de 2 ml.pote-1, y las dosis más altas de silicato de K con Ca y S (E 4 ml.pote-1) y óxido de magnesio líquido (MgO 4 ml.pote-1), presentaron diferencias significativas con respecto al testigo. En el caso de biomasa de raíz, con excepción de los 2 tratamientos de carbonato de calcio líquido, el resto de tratamientos no presentaron diferencias significativas con respecto al testigo.
Los fertilizantes que contienen Ca y Mg (CO3, MgO y E) presentaron mayor biomasa que el silicato de K (SK), lo que probablemente se puede explicar por la deficiencia que presentaba el suelo de estos 2 nutrimentos (Cuadro 1), y por el efecto neutralizante de acidez de suelo que presentaron estos fertilizantes (Espinosa y Molina 1999, Alcarde y Rodella 2003).
Los resultados anteriores concuerdan con los reportados por Soratto y Crusciol (2008), donde encontraron incrementos en los contenidos de materia seca del arroz producto de la aplicación de diferentes dosis de enmiendas con Ca y Mg. Resultados similares fueron obtenidos por Tang et ál. (2003) y Tang et ál. (2001). Valerio y Molina (2012) encontraron respuesta significativa en el rendimiento de arroz con la aplicación de carbonato de calcio líquido en dosis de 8 l.ha-1 en un suelo ácido de Los Chiles, Costa Rica.
Dentro de los tratamientos a base de silicio, la dosis más elevada del silicato de K con Ca y S (E 4 ml.pote-1) fue estadísticamente superior al silicato de K solo (SK) en la producción de biomasa aérea (Figura 1). El silicato de K no presentó diferencias significativas con respecto al testigo, probablemente por no tener Ca ni Mg, lo que demuestra la esenciabilidad de estos 2 nutrimentos con respecto al Si, elemento que todavía no se considera esencial para las plantas (Epstein 1999).
Como se discutirá en la siguiente sección, el incremento de la biomasa por la aplicación de los fertilizantes líquidos coincidió también con el efecto que tuvieron éstos en la acidez del suelo. Para otras especies de la familia de las gramíneas se ha reportado correlaciones negativas entre la acidez del suelo y la biomasa vegetal. Sidari et ál. (2004) encontraron en pasto Kikuyo (Pennisetum clandestinum) un efecto negativo sobre el desarrollo de la planta asociado al Al en el suelo el cual causó una disminución en la calidad nutricional del pasto forrajero. Furtini et ál. (1999) encontraron respuesta al encalado por parte de especies maderables nativas de la sabana brasileña. Explican esto como un incremento en la producción de materia seca total. Tang et ál. (2003), encontraron que la aplicación de cal aumentó desde 44 a 70% la biomasa en la parte aérea del trigo.
No hubo una respuesta evidente en crecimiento de biomasa a la aplicación de Si, si bien la dosis más elevada de silicato de K con Ca y Mg (E 4 ml.pote-1) presentó mayor biomasa aérea que el testigo y los tratamientos del otro silicato de K, probablemente debido a la presencia de 7% de Ca en este fertilizante (Cuadro 2). Hodson y Sangster (1993) encontraron incrementos en la biomasa radical y aérea del sorgo mediante la aplicación de Si en soluciones con elevados niveles de Al. Rahman et ál. (1998) y Rahman et ál. (1999) también reportaron respuesta a la aplicación de Si en cultivares de arroz susceptibles al aluminio, tanto a nivel de invernadero como en cultivo de tejidos.
Efecto de los fertilizantes líquidos en la fertilidad del suelo
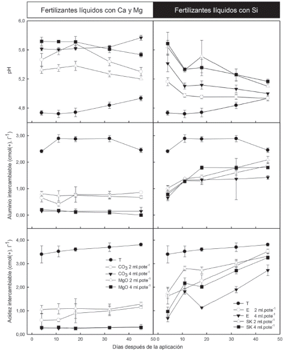
Las muestras de suelo para análisis de pH, Acidez intercambiable y Al intercambiable se tomaron de potes que recibieron los mismos tratamientos y manejo pero sin sembrarse de sorgo, en un experimento paralelo cuyos resultados se presentan en la Figura 2.

La aplicación de los fertilizantes mejoraron los parámetros de fertilidad del suelo. El pH se incrementó, y la acidez y Al intercambiable disminuyeron con las aplicaciones de los fertilizantes (Figura 2). Los tratamientos de carbonato de calcio y óxido de magnesio presentaron mayor efecto en aumentar el pH y reducir la acidez intercambiable.
El incremento del pH fue muy rápido con ambos fertilizantes, con la dosis de 4 ml.pote-1 el pH se incrementó en una unidad, esto es, de 4,7 a 5,7 en el muestreo realizado a los 6 días después de aplicar los fertilizantes (Figura 2). El efecto se mantuvo hasta los 44 días después de aplicados con el carbonato de calcio y disminuyó levemente con el óxido de magnesio. La dosis de 2 ml.pote-1 de ambos fertilizantes también subió el pH del suelo aunque en menor magnitud y su efecto residual fue inferior. Los 2 silicatos subieron muy rápido el pH en función de la dosis aplicada hasta los 18 días después de la aplicación, pero su efecto residual fue inferior que las fuentes de Ca y Mg.
El carbonato de calcio y óxido de magnesio en dosis de 4 ml.pote-1 presentaron los valores más bajos de acidez y Al intercambiable (menos de 1 cmol(+).l-1) y su efecto residual se mantuvo a lo largo de los 44 días del experimento. La dosis más baja de estos 2 materiales presentaron una tendencia similar pero los valores de acidez y Al intercambiable obtenidos fueron estadísticamente más elevados. El efecto residual del carbonato de calcio y óxido de magnesio sobre la acidez intercambiable fue superior a los silicatos, ya que presentaron bajos valores de acidez y Al a lo largo de los 44 días de la evaluación (Figura 2).
El mayor efecto de neutralización de la acidez del suelo por los fertilizantes líquidos está relacionado con la naturaleza química y física de la fuente. El carbonato de calcio es un material micronizado de partículas de malla 625 mesh que le permite tener una reacción química casi inmediata en el suelo debido a su alto grado de fineza. (Suplidora Verde 2014). El óxido de magnesio también es micronizado (0,4 micras), y es bien conocido de su buen efecto sobre la acidez del suelo debido a que presenta el equivalente químico más alto entre los materiales con efecto de enmienda (Alcarde 1992, Molina 1998, Espinosa y Molina 1999). El carbonato y el óxido en dosis de 4 ml.pote-1 presentaron el mayor grado de neutralización de la acidez y Al intercambiable en este estudio.
Ribeiro et ál. (1986) en ensayos con silicatos cálcicos en el cultivo de sorgo, encontraron que la aplicación de una dosis equivalente a 3,7 t.ha-1 neutralizó el Al en solución, en forma similar a los resultados encontrados en el presente trabajo. Epstein (1999) menciona los resultados de varios trabajos relacionados con interacción del Al y Si, concluyendo que la formación de complejos inertes entre el Al y Si es la causa de la reducción de la toxicidad de los compuestos de Al en el suelo. Matichenkov (2008), indicó que el posible mecanismo del Si en la reducción de la toxicidad de Al en el suelo se debe a la formación de complejos silicatos hidro-aluminosos no tóxicos, por lo que disminuye la concentración de Al libre en el medio.
Los fertilizantes con Ca y Mg presentaron valores de pH superiores estadísticamente de los obtenidos por los silicatos, las dosis más elevadas mantuvieron alto el pH durante el período de evaluación, mientras que las dosis más bajas decrecieron paulatinamente a partir de los 18 días hasta alcanzar valores cercanos a 5,2. (Figura 2).
La acidez intercambiable y la saturación de acidez disminuyeron en forma significativa con la aplicación de los fertilizantes líquidos, al ser las dosis más altas de carbonato de calcio y óxido de magnesio los más efectivos al cabo de 45 días de aplicados los productos. El silicato de K con Ca y S (E) fue estadísticamente superior al otro silicato en reducir la acidez y Al intercambiable, y el % de saturación de acidez, probablemente debido a la presencia de Ca que ayudó a disminuir la saturación de Al del complejo de intercambio catiónico (Cuadro 3).

Los fertilizantes con Ca y/o Mg incrementaron el contenido de estos elementos en el suelo (Cuadro 3). El carbonato de calcio 4 ml.pote-1 presentó el nivel más alto de Ca al final del experimento, con diferencias significativas con respecto al resto de tratamientos. El óxido de magnesio obtuvo el mismo resultado con el Mg. Existe abundante evidencia del efecto que tienen las enmiendas sólidas a base de carbonato y óxido en incrementar los contenidos de Ca y/o Mg en el (Molina y Rojas 2005, Salas et ál. 1996, Sorrato y Crusciol 2008, y Furtini et ál. 1999, Ritchey y Snuffer 2002), aunque es muy escasa la información disponible con respecto a los materiales líquidos como en el presente estudio.
El silicato de K con Ca y S también aumentó el Ca en el suelo con diferencias significativas en relación con el testigo, pero su efecto fue inferior al carbonato de calcio. Los silicatos aumentaron la concentración de K en forma significativa con el resto de tratamientos, y los tratamientos de SK alcanzaron los valores más altos debido a su mayor concentración de K.
El Fe también presentó una ligera disminución con la aplicación de los fertilizantes líquidos, y el valor más bajo de este elemento se obtuvo con el óxido de magnesio en dosis de 4 ml.pote-1.
Efecto de la aplicación de las enmiendas líquidas sobre la absorción de nutrimentos del sorgo
La absorción de nutrimentos estuvo relacionada con la producción de biomasa, al aumentar el peso seco del sorgo también se incrementó la absorción (Cuadro 4). El carbonato de calcio produjo la biomasa más alta (Figura 1) y también presentó los valores más altos de absorción de N, P, Ca y S, así como de Cu, Zn, Mn y B, los cuales presentaron diferencias significativas (p<0,05) con el resto de tratamientos. En el caso del Ca, era de esperar que estos tratamientos presentaran la absorción más alta debido a su alto contenido de Ca. La absorción de nutrimentos fue favorecida por la aplicación de carbonato de calcio debido al efecto combinado de disminución de la acidez del suelo y al aporte de Ca como nutrimento, tal y como lo indican Espinosa y Molina (1999) y Molina y Rojas (2005).

Hubo un incremento en la absorción de Mg y Cu en los tratamientos de óxido de magnesio. Este resultado se presentó debido a que es una fuente de Mg. Resultados similares fueron encontrados por Molina y Rojas (2005) al aplicar una enmienda con Mg en el cultivo de naranja.
El testigo presentó los valores más bajos de absorción de la mayoría de nutrimentos, principalmente Ca y Mg, sin embargo, no presentó diferencias significativas con los tratamientos de fertilizantes con Si, con excepción del K y Fe. La baja producción de materia seca en el testigo fue una de las causas de su menor absorción de nutrimentos, debido al efecto tóxico del Al. Baligar et ál. (1993), encontraron una correlación negativa entre el Al en el suelo y la absorción de nutrimentos en la parte aérea de plantas de sorgo.
Al respecto, Sorrato y Crusciol (2008) encontraron un incremento en el contenido de Ca, Mg y Mn en la hoja bandera del arroz, debido a la aplicación de enmienda. También encontraron un incremento en la absorción de K y S en las hojas del frijol cuando se aplicó cal dolomita. La aplicación de enmiendas a base de Ca afectó la absorción de Mg. Al respecto, Juo y Uzu (1977) indican que en Ultisoles, la aplicación de enmiendas cálcicas como CaCO3 y Ca(OH)2 podría disminuir la absorción de Mg debido a un desbalance catiónico generado en el suelo, y al incremento del pH, el cual influencia la solubilidad del mismo. Tan et ál. (1992), encontraron respuesta en producción de materia seca con la aplicación de cal, pero si la enmienda no tenía Mg, el cultivo presentó deficiencias del elemento debido al antagonismo con Ca.
Ritchey y Snuffer (2002), evaluaron la recuperación de una pastura mediante el uso de enmiendas cálcicas y dolomíticas y su efecto en el contenido foliar de nutrimentos. Durante el proceso de recuperación, el contenido de Ca y Mg foliar fue proporcional a la saturación de estos elementos en el suelo, posterior a la aplicación de las enmiendas.
Referencias
ALCARDE, J.C. 1992. Corretivos da acidez dos solos: características e interpretaçoes técnicas. ANDA, Sao Paulo, Brasil. Boletim técnico Nº. 6. 26 p.
ALCARDE, J.A., RODELLA, A.A. 2003. Qualidade e legislação de fertilizantes e corretivos, pp. 291-334. In: N. Curi, J.J., Marques, L.R.G., Guilherme, J.M. De-Lima, A.S. Lopes, and V.H., Alvares (eds.). Tópicos em Ciência do Solo. Viçosa: Sociedade Brasileira de Ciência do Solo.
BALIGAR, B., SCHAFFERT, R., DOS SANTOS, H., PITTA, G., BAHIA, A . 1993. Soil aluminum effects on uptake, influx, and transport of nutrients in sorghum genotypes. Plant and Soil 150:271-277.
BARBER, S . 1984. Liming materials and practices, pp. 171-209. In: F. Adams (ed.). Soil Acidity and Liming. ASA, Wisconsin.
CABALCETA, G., MOLINA, E . 2006. Niveles críticos de nutrimentos en suelos de Costa Rica utilizando la solución extractora Mehlich 3. Agronomía Costarricense 30(2):31-44.
CURTIN, D., SYERS, J.K. 2002. Lime-induced changes in indices of soil phosphate availability. Soil Science Society of America Journal 65:147-152.
DÍAZ, R., HUNTER, A . 1978. Metodología de muestreo de suelos, análisis químico de suelos y tejido vegetal e investigación en invernadero. CATIE, Turrialba, Costa Rica. 68 p.
EPSTEIN, E . 1994. The anomaly of silicon in plant biology. Proc. Natl. Acad. Sci. 91:11-117.
EPSTEIN, E . 1999. Silicon. Annual Review Plant Physiol. Plant Mol. Biol 50: 641-664.
ESPINOSA, J., MOLINA, E . 1999. Acidez y encalado de los suelos. INPOFOS, Quito, Ecuador. 42 p.
FILHO, M., SNYDER, G., PRABHU, A., DATNOFF, L., KORNDORFER, G. 2000. Importancia do silicio para a cultura do arroz. Informacoes Agronómicas (IPNI) 89:1-8.
FURCAL, P. 2012. Efecto del silicio en la fertilidad del suelo, en la incidencia de enfermedades y el rendimiento del cultivo de arroz (Oryza sativa) var. CR 4477. Informe final de proyecto de Investigación, Instituto Tecnológico de Costa Rica. Consultado el 4 de julio de 2013. Disponible en Disponible en http://repositoriotec.tec.ac.cr/bitstream/handle/2238/2855/Informe_Final.pdf?sequence=1&isAllowed=y
FURTINI, A. E., VILELA, A., RIBEIRO, F., RIBEIRO, I. 1999. Liming effects on growth of native woody species from brazilian savannah. Pesq. Agropec. Bras. 34(5):829-837.
GÉRARD, F., MAYER, K., HODSON, M., RANGER, J. 2008. Modelling the biogeochemical cycle of silicon in soils: Application to a temperate forest ecosystem. Acta Geochimica Cosmochimica 72:741-758.
HODSON, M.J., SANGSTER, A.G. 1993. The interaction between silicon and aluminum in Sorghum bicolor (L.) Moench: Growth analisys and X-ray microanalisis. Annals of Botany 72:389-400.
JUO, A., UZU, F. 1977. Liming and nutrient interactions in two Ultisols from southern Nigeria. Plant and Soil47:419-430.
MATICHENKOV, V. 2008. Deficiencia y funcionalidad del sílice en suelos, Cosechas y Alimentos, pp. 431-438. II Conferencia Internacional sobre EcoBiología del Suelo y el Compost. 26-29 Noviembre, Tenerife, España.
MOLINA, E . 1998. Encalado para la corrección de la acidez del suelo. Asociación Costarricense de la Ciencia del Suelo, San José, Costa Rica. 45 p.
MOLINA, E . 2001. Manejo de la, Acidez y encalado de los suelos pp. 28-41. In: G. Meléndez y E. Molina (eds.). Memorias Seminario de Suelos y Manejo de la Nutrición de Cultivos en Costa Rica. Laboratorio de Suelos, CIA-UCR, San José, Costa Rica.
MOLINA, E., BORNEMISZA, E . 2006. Nivel crítico de zinc en suelos de Costa Rica. Agronomía Costarricense30(2):44-59.
MOLINA, E., ROJAS, A . 2005. Efecto del encalado en el cultivo de naranja valencia en la Zona Norte de Costa Rica. Agronomía Costarricense29(3):81-95.
PEÑAFIEL, M . 2009. Efecto de la aplicación edáfica del silicio en diferentes dosis, en el cultivo de la papa china (Colacasia esculenta) en combinación con dos niveles de abono orgánico. Tesis de Ingeniería Agronómica. Escuela de Ciencias Agropecuarias, Escuela Politécnica del Ejército, Ecuador. 160 p.
PETERS, J.B., KELLING, K.A., SCHULTE, E.E. 1996. Choosing between liming materials. University of Wisconsin, Extension Cooperative Publication A3671, Madison. 4 p.
PRASAD, R., POWER, J. 1997. Soil fertility management for sustainable agriculture. Editorial CRC, USA. 384 p.
RAHMAN, M.T., KAWAMURA, K., KOYAMA, H., HARA, T. 1998. Varietal differences in the growth of rice plants in response to aluminum and silicon. Soil Science and Plant Nutrition 44(3):423-431.
RAHMAN, M.T., KOYAMA, H., HARA, T. 1999. Effect of aluminum and silicon in solution on the growth of rice (Oryza sativa L.) suspension cells. Soil Science and Plant Nutrition44(3):693-700.
RIBEIRO, A.C., FIRME, D.J., MATTOS, A.C.M. 1986. Avaliação da eficiência de uma escória de aciaria como corretivo da acidez do solo. Revista Ceres 33:242-246.
RITCHEY, K.D., SNUFFER, D. 2002. Limestone, gypsum, and magnesium oxide influence on restoration of an abandoned appalachian pasture. Agronomy Journal 94:830-839.
SALAS, R., MOLINA, E., BOULDIN, D. 1996. Lime response of tanier in an Ultisol of Costa Rica. Comm. Soil Sci.Plant Anal. 27(9/10):2477-2484.
SAVANT, N., SNYDER, G., DATNOFF, L. 1997. Silicon management and sustainable rice production. Advances in Agonomy 58:151-199.
SIDARI, M., PANUCCIO, M., MUSCOLO, A . 2004. Influence of acidity on growth and biochemistry of Pennisetum clandestinum. Biologia Plantarum 48(1):133-136.
SORATTO, P., CRUSCIOL, C. 2008. Dolomite and phosphogypsum surface application effects on annual crops nutrition and yield. Agronomy Journal100:261-270.
SUPLIDORA VERDE. 2014. Ficha técnica Cal 56. Consultado el 30-03-2104. Disponible en Disponible en http://www.suplidoraverde.com/detalle_prod.php?cat=7
TAN, K., KELTJENS, W., FINDENEGG, G. 1992. Acid soil damage in sorghum genotypes: role of magnesium deficiency and root impairment. Plant and Soil139:149-155.
TANG, C., DIATLOFF, E., RENGEL, Z., McGANN, B. 2001. Growth response to subsurface soil acidity of wheat genotypes differing in aluminum tolerance. Plant and Soil236:1-10.
TANG, C., RENGEL, Z., DIATLOFF, E., GAZEY, C. 2003. Responses of wheat and barley to liming on a sandy soil with subsoil acidity. Field Crops Reserch 80:235-244.
TAIZ, L., ZEIGER, E . 2002. Plant Physiology. 3 ed. Sinauer Associates, Sunderland, Inglaterra. pp. 76-80.
VALERIO, J.M., MOLINA, E . 2012. Evaluación de una fuente de enmienda líquida en el rendimiento de arroz en un Ultisol de la Zona Norte de Costa Rica. Agronomía Costarricense36(1):89-96.