Nota técnica
Análisis espacial de varianza como alternativa de evaluación de ensayos de progenies forestales
Spatial variance analysis as an alternative for assessment of forest progeny tests
Análisis espacial de varianza como alternativa de evaluación de ensayos de progenies forestales
Agronomía Costarricense, vol. 40, núm. 2, pp. 87-105, 2016
Universidad de Costa Rica. Colegio de Ingenieros y Agrónomos. Ministerio de Agricultura y Ganadería
Recepción: 09 Marzo 2016
Aprobación: 06 Julio 2016
Resumen: El uso del diseño en bloques y la aleatorización de las diferentes progenies en cada uno de los bloques puede ser insuficiente para el control local de la variación dentro del área del ensayo. La presencia de micro-sitios dispersos influyen en el crecimiento de los individuos, incidiendo de forma importante sobre los resultados del análisis de varianza convencional. El presente trabajo propone y describe una metodología de análisis para ensayos de progenie en la investigación forestal, que compara varios procedimientos de análisis espacial de varianzas con referencia a incorporar o no el efecto de bloque y el modelado de la tendencia superficial sobre datos registrados provenientes de un ensayo de Progenies de Pachira quinata (Jacq.) W.S. Alverson por un periodo de 3 años de evaluación. Se estableció un protocolo de análisis que incluye diagnóstico de correlación de los residuales, modelado de la estructura de correlación-variación y un análisis de varianza espacial. Se demostró la existencia de residuales o errores experimentales que no cumplen el supuesto de independencia, requisito fundamental para realizar un análisis de la varianza basado en diseño. El modelo con mejor ajuste fue aquel que capturó la variación superficial mediante el polinómico cúbico con el modelado de los errores correlacionados (modelo geoestadístico esférico). Las pruebas de medias de progenies estimadas por el modelo espacial con tendencia polinómica arrojó un ordenamiento diferente a las pruebas de medias estimadas bajo el análisis basado en diseño en bloques.
Palabras clave: Ensayos de progenies, análisis espacial de varianza, geoestadística, modelos lineales mixtos, Pachira quinata.
Abstract: The use of block design and randomization of different progenies in each block may be insufficient for local variation control within trial area. The presence of dispersed micro-sites influences the growth of individuals, significantly impacting conventional variance analysis results. The present study proposes and describes a methodology of analysis for progeny test in forest research, comparing various spatial variance analysis methods with reference to incorporating or not incorporating the block effect and the modeling of surface trend on data recorded from a trial of Pachira quinata (Jacq.) WS Alverson progenies over a period of 3 years. A protocol analysis was established which includes diagnosis of residual correlation, modeling of the structure of correlation-variation and a spatial variance analysis. The existence of residual or experimental errors, that do not meet the fundamental requirement of independence assumption in order to do an analysis of variance based on design, was demonstrated. The best-fit model was the one that captured the surface variation using the cubic polynomial with the modeling of correlated errors (spherical geostatistical model). Progeny test means estimated by the spatial model with polynomial trend showed a different order of the test means estimated under the analysis based on block design.
Keywords: Progeny trials, spatial analysis of variance, geostatistical analysis, mixed linear models, Pachira quinata.
Introducción
Históricamente se ha demostrado que el uso de diseños de experimentos y la implementación de sus respectivos modelos lineales en ensayos de mejoramiento genético de especies forestales llevados a cabo en campo, han permitido arreglar adecuadamente las unidades experimentales, al considerar la posible variación de sitio y la estimación de parámetros estadísticos con cierta precisión (por ejemplo, efectos de tratamientos, error experimental, parámetros genéticos, etc.). Sin embargo, aun con el uso de diseños complejos como los cíclicos, bloques incompletos y alfas, por ejemplo, es posible que exista una discordancia entre la delimitación de las unidades experimentales y los patrones de variación espacial en el sitio (Williams y Matheson 1994). Esta discordancia podría ser debida a las superficies extensas donde se establecen dichos ensayos, lo que implica un elevado número y tamaño considerable de las unidades experimentales a evaluar, asimismo la naturaleza de los terrenos utilizados que habitualmente pueden ser irregulares y forzosamente, heterogéneos.
La existencia de esta variabilidad del sitio en ensayos de campo y su posible corrección o modelado se reconocen desde los trabajos pioneros en investigación agrícola de principios del siglo 20 (Papadakis 1937). Tales variaciones fueron denominadas “errores del suelo” y pueden ser clasificados en términos generales, en 3 tipos. Primero, la variación espacialmente de tipo continua donde el patrón de variación de los errores experimentales es similar a ciertos atributos del suelo y/o a efectos microclimáticos que ocurren sobre el sitio del ensayo. Este puede ser una variabilidad espacial de tendencia local o de parches. En esos casos, es posible encontrar micro-sitios dispersos sobre el área así como en algunas parcelas se pueden presentar micro sitios ricos en nutrientes (Saenz-Romero et al. 2001). La segunda variación espacial es de tipo discontinua, la cual podría ser el producto tanto del efecto del manejo cultural del ensayo como de errores en las mediciones de los atributos de los árboles. Y el tercero, una variación de tipo aleatoria reflejada a nivel microambiental (Dutkowski et al. 2002) como aquella variación que puede ocurrir bajo el dosel o alrededores de la base de los árboles dentro de la parcela.
Cuando la heterogeneidad espacial está presente sobre el área del ensayo de campo, las estimaciones de los valores resultantes para los diferentes atributos registrados en los árboles pudieran presentar correlaciones espaciales, los cuales infingieran uno de los supuestos restrictivos en el análisis de la varianza de un modelo lineal que es la independencia de los residuales. Los efectos de la correlación espacial afectan tanto a la estimación de los componentes de la varianza como a la predicción de los valores de mejora y a la precisión de estas predicciones. La gravedad de estos efectos varía en función de la intensidad y escala del patrón espacial en relación con el tamaño de los bloques del diseño experimental (De la Mata et al. 2008). Por tal razón, si el tamaño resultante de los bloques es mayor que la escala de la estructura espacial de los datos, los bloques no son homogéneos y las conclusiones del análisis podrían ser erróneas. El número, tamaño y distribución de los bloques son aspectos claves del diseño del experimento que deberían ajustarse en función del patrón espacial de los datos (Zas 2006).
Hasta ahora se han propuesto varios análisis estadísticos para modelar las variaciones tanto locales como globales dentro de los ensayos forestales (Mora y Ramírez 2000). Uno de ellos es el análisis de superficies de tendencia, el cual ajusta un polinomio en función de la ubicación o coordenadas espaciales x-y de las unidades experimentales (Thomson 1986). Otra técnica, sugerida por Papadakis (1937), propone estimar una covariable asociada con los residuales del modelo lineal sin el efecto de bloques promediándolos de acuerdo con la ubicación de cada parcela y sus vecinos: lados izquierdo, derecho, enfrente y detrás de la unidad experimental o árbol de referencia (Wright 1978, Correll y Anderson 1983). Recientemente, se ha intentado modelar sólo la variación local o errores experimentales, independientemente del diseño del experimento, con modelos geoestadísticos o con combinación de análisis de tendencia (Saenz-Romero et al. 2001, Joyce et al. 2002, Gezan et al. 2006, Funda et al. 2007).
El presente estudio compara varios procedimientos de análisis espacial de varianzas en referencia a incorporar o no el efecto de bloque y el modelado de la tendencia superficial sobre datos registrados en el tiempo provenientes de un ensayo de Progenies de Pachira quinata (Jacq.) W.S. Alverson. Se presenta un protocolo de análisis que incluye diagnóstico de correlación de los residuales, modelado de la estructura de correlación- variación y un análisis de varianza espacial.
Materiales y métodos
Los datos del presente estudio provienen de las evaluaciones realizadas sobre el ensayo de progenies Pachira quinata (Jacq.) W.S. Alverson, establecido en agosto del 2005 y ubicado en la Estación Experimental El IREL, municipio Cruz Paredes, Estado Barinas, Venezuela (Latitud Norte 8°46’; Longitud Oeste 70°25’), a 170 msnm (Figura 1). La precipitación promedio anual de 1500 mm y temperatura media de 27,1°C (Ramírez et al. 2008). Para el análisis de los datos, fueron utilizados registros de la altura total medidos en 2007, 2009 y 2011 y diámetro a la altura de pecho solo en 2011.

El ensayo de progenies fue establecido bajo un diseño en bloques completamente aleatorizados con 3 bloques; dentro de cada bloque se ubicaron parcelas lineales de 5 árboles distanciadas a 3,5 m x 3,0 m. La densidad inicial fue de 690 árboles (Figura 2). El diseño genético original fue en dialelo completo (Ramírez et al. 2014), cada uno de los clones actuó como receptor de polen (madre) y donante de polen (padre), sin embargo, debido a problemas en la producción de plantas en vivero, solo se pudieron establecer 46 de los 64 cruces realizados, que se derivó en un diseño en dialelo incompleto (Cuadro 1). El criterio de selección para el cruce fue determinado a partir de la información preliminar sobre variación en características de frutos y semillas de un grupo de 33 clones. Una vez realizada dicha selección, se procedió al reconocimiento del estado fenológico (presencia y cantidad de flores), identificación, preselección y ubicación de los ramets de los clones seleccionados en el diseño genético.


Diagnóstico de la correlación espacial de los residuales o errores experimentales
Los análisis de varianza espacial y convencional se realizaron para la altura total medidos en 2007, 2009 y 2011 y diámetro a la altura de pecho solo en 2011. Para cada variable y año, se aplicó como base el siguiente modelo lineal:

Dónde: µ es la media general, representa el efecto de la i-ésima progenie y
corresponde a la variación no explicada por el modelo o residuales (errores experimentales). Para verificar sí los residuales (errores experimentales) no son espacialmente independientes entre sí, se utilizaron los residuales y se modeló la estructura de variación espacial (∑) para cada caso. Los residuales o errores experimentales son asumidos a tener una distribución normal, con media cero y matriz de variación espacial, como se muestra a continuación:

A partir de los residuales (errores experimentales) estimados por medio del modelo lineal mostrado en (1) y la posición espacial relativa de cada árbol dentro de cada parcela en sus coordenadas georreferenciadas (xi+ h ; xi ), fueron estimadas las semivarianzas de acuerdo con la siguiente ecuación:

El cual e(xi + h) y e(xi) son los residuales observados en las posiciones (xi+ h) y xi , respectivamente; h es la distancia entre posiciones de los árboles, y N(h) denota el par de residuales separados por la distancia h. Es importante destacar que la estimación de las semivarianzas se realizó sobre los residuales del modelo lineal básico como se describió anteriormente, y no directamente a partir de las variables medidas en cada árbol (por ejemplo, Altura total o Diámetro a la altura de pecho), debido a que los efectos de los tratamientos así como la tendencia de la variación podrían enmascarar la función de correlación espacial que subyace en los mismos residuales (Hu y Spilke 2010). Una vez estimadas las semivarianzas de los residuales éstos fueron mostrados sobre un gráfico de dispersión en función de las distancias de separación entre árboles. Este gráfico es denominado semivariograma (Cassel et al. 2000). Un total de 4 semivariogramas fueron estimados para los residuales generados de los modelos lineales derivados para la altura total 2007, 2009 y 2011 y diámetro a la altura de pecho solo en 2011.
Ajuste de modelos lineales
Una vez verificada la existencia de una estructura de residuales y su correlación espacial, se observa en los semivariogramas, cada una de las variables mencionadas que fueron analizadas con los criterios espaciales de varianza según los modelos lineales mostrados en el Cuadro 2, un total de 8. Estos se dividieron en 2 grupos, aquellos modelos que consideren el efecto bloques y su interacción con progenies y los que no lo incluyen. En cada grupo se intentó modelar la estructura de correlación espacial de acuerdo con los siguientes métodos:

i) Método de Papadakis
Esta metodología implica crear una nueva variable basada en los residuales o errores experimentales calculados a partir del modelo (1) como se muestra a continuación,

Donde la co-variable se obtiene de la siguiente forma,

Para aquellas parcelas o árboles ubicados en los bordes o esquinas, los Xkl se obtienen con el promedio de los 2 o 3 residuales vecinos. Papadakis (1937) había propuesto que para un ensayo bajo un diseño en bloques no era necesario incluir el efecto de este en el modelo, puesto que su particular co-variable solo era necesaria para realizar el control de la variación local dentro del ensayo.
ii) Método de análisis de tendencia
El objetivo del análisis de tendencia fue modelar los residuales o errores experimentales a lo largo y ancho del ensayo a través de un modelo polinómico.

En este caso, f y C representan la ubicación de cada uno de los árboles dentro del área del ensayo de acuerdo con la posición de referencia como filas y columnas, respectivamente. Fueron ajustados polinomios de orden 1, 2 y 3 (Cuadro 2).
iii) Método de errores correlacionados
A excepción del modelo ajustado por el método Papadakis, la estructura de variación o correlación espacial de los residuales fueron modelados. Para ello, se probaron varios modelos espaciales con la finalidad de determinar aquel que mejor se ajusta a la micro-variación o distribución de los residuales sobre el terreno del ensayo. Los modelos empleados fueron:
Modelo Lineal:

Modelo esférico:

Modelo Exponencial:

Modelo Gaussiano:

En general, este cálculo condujo al ajuste de un total de 15 modelos lineales de los cuales 7 fueron sin el efecto de bloques y los 8 restantes con el efecto de bloques. De acuerdo con los modelos de semivariograma estimados se compararon los parámetros del alcance (distancia máxima de correlación espacial entre datos vecinos, m) obtenidos para los datos de altura en los 3 años de registro.
Criterio para la selección del mejor modelo
Debido a la complejidad en la estructura de los residuales y el número de parámetros diferentes ajustados en todos los modelos lineales (e.g., incluso aquellos necesarios para estimar estructuras de covarianzas y/o en modelos geoestadísticos en los residuales), las comparaciones no pueden ser realizadas por medio del coeficiente de determinación o cuadrados medios de los residuales (Brownie et al. 1993). Ante esta complejidad lo adecuado es utilizar un estadístico denominado el criterio de información de Akaike (1974), en adelante AIC, el cual se expresa de la siguiente manera,

con p = número de parámetros del modelo y n = número de observaciones. Un buen modelo será aquel que posea valores de AIC más pequeño entre todos los modelos ajustados (Pinheiro y Bates 2000).
Finalmente se compararon las medias de las progenies, con la prueba ajustada de Tukey solo para los datos del 2011; esto permitió comparar los ordenamientos de medias arrojados por el mejor modelo espacial y el modelo lineal basado en el diseño en bloques al 5% de significancia. Todos los análisis fueron realizados a través del software libre R (R Development Core Team 2016) en especial las librerías gstat para el análisis geoestadístico (Pebesma 2004), nlme para el ajuste de los modelos lineales mixtos (Pinheiro y Bates 2000) y lsmeans para las comparaciones de medias ajustadas con la prueba de medias de Tukey (Lenght 2016).
Resultados y discusión
Diagnóstico de la correlación espacial con geoestadística
La sobrevivencia de los árboles dentro del ensayo fue 93,91%, 85,21% y 80,86% para las mediciones del 2007, 2009 y 2011; respectivamente. Por tal razón, el ajuste de los modelos lineales para los análisis de varianza espacial fueron estimados a través del método de estimación máxima verosimilitud restringida (Pinheiro y Bates 2000). En la Figura 3, se observan las distribuciones de los residuales o errores experimentales de los datos analizados para la altura total 2007, 2009 y 2011, así como para los residuales de variable DAP solo en 2011 pueden observarse los parches que se forman para aquellos valores altos (tonos grises) y bajos (tonos negros) en los residuales cuyos patrones no están agrupados en torno a la orientación de los bloques (Figura 2), aspecto que indica la posibilidad de que los residuales estén espacialmente correlacionados. Esta situación prevé que el arreglo de los bloques no absorbe la estructura espacial mostrada en cada caso (Figura 3) y la posibilidad de sobre estimar los errores estándares usados para la comparación entre medias de las diferentes progenies y trayendo como consecuencia la no existencia de diferencias estadísticas (Zas 2006).

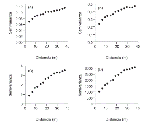
En un semivariograma, donde los valores serían aproximadamente iguales independientemente de la distancia de separación entre las unidades de observación (árboles) se considera que los residuales tienen distribución aleatoria o independiente entre sí. Sin embargo, esto no ocurrió en este estudio; en cada conjunto de residuales analizados se observó cómo los valores de las semivarianzas se incrementan conforme la distancia de separación entre árboles se hace cada vez mayor (Figura 4). Esto indica 2 cosas: i) que la correlación espacial se da aproximadamente a distancias superiores a los 30 m de separación entre árboles y ii) el tamaño promedio de los parches de valores similares en altura o DAP es aproximadamente de unos 30 m. Más adelante se describirán las estimaciones de estos alcances o distancias máximas de correlación espacial para cada conjunto de datos analizados, por medio del método de los errores correlacionados con y sin el efecto de los bloques.

Comparación de modelos espaciales sin el efecto del bloque
En el Cuadro 3 se presentan los resultados del criterio de información de Akaike (1974) (AIC) correspondientes a las corridas de los modelos. Para la estimación de los valores AIC no se consideró el efecto del bloque previamente establecido en el diseño del ensayo.

En 2007, se pudo demostrar que el método de Papadakis no fue capaz de tomar en cuenta la variación espacial de los datos de altura total y la variación local considerada en la covariable no fue suficiente. En cambio, cuando se modela la variación local, la variación a lo largo y ancho del área del ensayo y la correlación espacial de los residuales o errores experimentales, se evidencia la superioridad de estos ajustes al de Papadakis (valores de AIC < 400).
El modelo con mejor valor AIC (337,54) fue el polinómico cúbico con el ajuste del modelo geoestadístico esférico en los residuales. Este mismo modelo fue el mejor para los datos de altura analizados para 2009 (AIC < 1000) y 2011 (AIC < 1700); destacándose siempre el modelo de tendencia polinomial de 3er grado con residuales correlacionados. Del mismo modo, ese mismo modelo fue el más adecuado para considerar la variación local y la tendencia de los datos de diámetro a la altura de pecho.
Comparación de modelos espaciales con el efecto del bloque
Cuando se considera el efecto bloques dentro del modelo lineal y sus variantes de tendencia polinomial, se demuestra que al incorporar el modelado de la variación local junto a la tendencia espacial se logra un mejor ajuste de la data cuando se compara con el modelo lineal clásico del diseño en bloques (Cuadro 4). Se observó que para la medición del 2007, el modelo de tendencia polinómico de orden 2 con errores correlacionados fue el que presentó mejor valor AIC (418,24). Sin embargo, para los datos analizados en 2009 y 2011, de nuevo el modelo de tendencia superficial polinómico cúbico con residuales correlacionados espacialmente, fue el de mejor ajuste e igual conclusión se observa para la variable Diámetro a la altura de pecho (DAP).

De manera general, los modelos que no consideraron el efecto del bloque en su análisis, lograron capturar mejor la variación de los residuales o errores experimentales de los datos de altura total y DAP en los individuos de Pachira quinata cuyos valores del criterio de información de Akaike (1974) fueron los más bajos. Por lo que se puede asumir que la estructuración previa del bloque puede no ser tan importante a la hora de hacer los análisis de varianza espacial correspondientes y demostrar así lo sugerido hace muchos años por Papadakis (1937).
Otro resultado relevante fue el que se pudo apreciar en 2009 y 2011 para la variable altura, en estos años de medición el modelo de tendencia superficial polinómico cúbico con ajuste esférico resultó ser el mejor. Tal como lo indicó Zas et al. (2008), el modelo lineal inicial sin el efecto de bloques, determina una estructura espacial no aleatoria que fácilmente puede ser modelada, si se consideran los patrones en gradiente hasta patrones parcheados, donde los primeros son más frecuentes a edades tempranas de especies forestales.
Estimación de los alcances o tamaños de los parches de errores experimentales
Cuando se utilizaron modelos espaciales o geoestadísticos para modelar la estructura de los residuales o errores experimentales, entre los parámetros estimados en dichos modelos se encuentra el llamado alcance o rango (Plant 2012). Este parámetro estima el tamaño promedio de los parches de altos o bajos valores de una variable dentro de su entorno espacial y además, la distancia máxima de correlación espacial entre unidades de observación. De esta manera, en aquellos modelos donde se pudo modelar la estructura espacial de los residuales también se logró estimar los valores del alcance (Cuadros 3 y 4). En la Figura 5, se muestran los alcances para la variable altura, registrados por los modelos espaciales seleccionados para los datos registrados en 2007, 2009 y 2011, con o sin la existencia del efecto bloque. Los alcances mostrados por los modelos espaciales que no consideraron el bloque, son claramente superiores que los que si tomaron en cuenta la estructura del control local. Cuando se incluye el efecto del bloque dentro del modelo, la distancia en la que se pierde la dependencia espacial es menor que cuando dicho efecto no se considera. En otras palabras, el bloque supedita el análisis a la superficie del mismo y por ende disminuye la dependencia espacial de los valores pero no lo suficiente como para garantizar el supuesto de un análisis de varianza convencional de errores experimentales independientes.

Para el caso del modelo que no incluye el efecto del bloque, se puede observar una disminución desde la medición de 2007 a 2009, de 18 m. Dicho descenso, se debe a la pérdida de dependencia espacial atribuido al crecimiento inicial de los individuos, la cual, en las primeras etapas de vida, es acelerado. Posteriormente, de 2009 a 2011, se observó un ligero aumento de 3 m, que sugiere la estandarización del crecimiento en altura. Como se sabe, el modelo polinómico cúbico con errores correlacionados bajo la función esférica, fue el seleccionado para los 3 años de medición.
El análisis de varianza espacial versus el análisis de varianza convencional en ensayos forestales de progenies
Con el fin de analizar cómo se comportaron las progenies individualmente, y apreciar si hubo diferencias significativas entre un análisis y otro, se examinaron los resultados a través de una comparación de medias para las variables altura y diámetro. Medias que fueron estimadas de acuerdo con el modelo lineal espacial usado.
En los Cuadros 5 y 6, se contrastan las medias estimadas a partir del modelo convencional bajo un diseño en bloques versus las derivadas de los modelos espaciales seleccionados por el AIC.
En el Cuadro 5, en la columna A, se pueden observar en los primeros 10 puestos las progenies 49, 1, 50, 6, 45, 26, 54, 31, 4 y 19. Por otro lado, en el análisis espacial (Columna B), las progenies 13, 10, 1, 17, 45, 20, 12, 9, 50 y 45 se posicionan en los primeros 10 puestos. Sólo las progenies 1, 45 y 50, tienen presencia en ambos rankeos, el resto de las progenies observadas son distintas, lo que manifiesta diferencias significativas en el ordenamiento de las progenies.

Tal como se hizo para la variable altura, se comparó la correspondencia de ésta en función de las medias generadas para diámetro del 2011. En el Cuadro 6 se muestran las medias ordenadas para los análisis convencional y espacial para diámetro a la altura de pecho. En la columna A, aparecen la progenies 17, 49, 6, 33, 45, 50, 26, 4, 54 y 20, como las mejores 10 progenies. En concordancia con la variable altura, solo las progenies 45, 50 y 20 aparecen nuevamente, lo que nos indica que no existe una dependencia entre el crecimiento diametral y la altura, según el análisis convencional. En la columna B, aparecen en los primeros 10 puestos, las progenies 17, 20, 13, 10, 4, 1, 9, 33, 2 y 40.

Contrariamente al análisis convencional, el análisis espacial si muestra una correlación entre el crecimiento diametral y la altura. La progenie 17 salió favorecida en ambos análisis como la de mejor desempeño hasta el momento.
Estos resultados muestran que a pesar de que se diseñe un ensayo forestal bajo un diseño de experimento que persiga controlar la variación local en una sola dirección dentro del terreno (p.e., diseño en bloques completos), este no es suficiente para lograr que los errores experimentales o residuales sean independientes espacialmente entre sí. Además, se corre el riesgo de tomar decisiones erróneas en la selección del mejor o mejores progenies en los programas de mejora forestal.
Conclusiones
Se determinó que en este ensayo para los primeros años de crecimiento de los árboles la correlación espacial se da aproximadamente a distancias superiores a los 30 m de separación entre individuos. También, se estimó que el tamaño promedio de los parches de valores altos y bajos en altura total disminuyó desde 40 hasta unos 25 m de acuerdo con la estimación de los modelos espaciales esféricos en los residuales o errores experimentales cuando no se toma en cuenta el efecto de bloques como fuente de variación dentro de los modelos con errores correlacionados. En contraste, si se considera el efecto de bloques dentro del modelo lineal para el análisis de la varianza con el modelado de los errores espacialmente correlacionados estos parches son en promedio de menor tamaño y se incrementan conforme avanza el crecimiento de los árboles.
Dada la presencia de errores espacialmente correlacionados, los modelos lineales con ajuste de estructuras espaciales que no consideran el bloque, y modelan la tendencia superficial de los residuales fueron los de mejor ajuste significativo de acuerdo con el criterio de información de Akaike (1974).
El modelo lineal convencional, al no considerar en su modelo el componente espacial, tiende a sobrestimar los valores de las medias de las progenies, aspecto que incide en la estimación de la expresión de los efectos no aditivos de la progenie de un cruce particular. Esto sin duda afecta la valoración de las relaciones intra e intergénicas resultantes de los cruces ya que posiblemente afectan la precisión de los resultados. El análisis espacial de varianzas estima medias que reordenan las progenies del ensayo.
Los análisis estadísticos que toman en cuenta la variación y dependencia espacial de los datos, confirman la necesidad de considerarlos seriamente como parte de la rutina del análisis de ensayos de campos con fines de mejoramiento y selección genética de árboles. Sin embargo, un análisis espacial de los datos no exime la necesidad de establecer los ensayos bajo diseños experimentales adecuados que eviten que el efecto de los tratamientos se confunda con el efecto ambiental.
A pesar de haber establecido 5 individuos por progenie en cada bloque, y dada la alta sobrevivencia de árboles hasta el 2011 (poco más de un 80%), se pudo comparar el desempeño de las progenies bajo el modelado de la estructura espacial de los residuales a lo largo y ancho del área experimental.
Se recomienda el uso de análisis varianza de ensayos de progenies forestales basado en el modelado de sus efectos fijos y aleatorios, más que en un análisis de la varianza basado en un diseño en bloques
Literatura citada
Akaike, H. 1974. A new look at the statistical model identification. IEEE Transactions on Automatic Control 19(6):716-723.
Brownie, C; Bowman, D; Buerton, J. 1993. Estimating spatial variation in analysis of data from yield trials: a comparison of methods. Agronomy Journal 85:1244-1253.
Cassel, DK; Wendroth, O; Nielsen, DR. 2000. Assessing spatial variability in an agricultural experiment station field: opportunity arising from spatial dependence. Agronomy Journal 92:706-714.
Correll, L; Anderson, B. 1983. Removal of intervarietal competition effects in forestry varietal trials. Silvae Genetica 32(5-6):162-165.
De La Mata, R; Zas, R; Merlo, E. 2008. Control de la auto correlación espacial mediante diseños experimentales y métodos de análisis espacial en ensayos de progenie de Pinus pinaster. Cuadernos de La Sociedad Española de Ciencias Forestales 24:33-38.
Dutkowski, W; Costa, J; Gilmour, A; Lopez, G. 2002. Spatial analysis methods for forest genetic trials. Canadian Journal of Forest Research 32:2201-2214.
Funda, M; Lstibůrek, J; Klapště, I; Permedlova, J; Kobliha, A. 2007. Addressing spatial variability in provenance experiments exemplified in two trials with black spruce. Journal of Forest Science 53:47-56.
Gezan, S; White, T; Huber, D. 2006. Comparison of experimental designs for clonal forestry using simulated data. Forest Science 52:108-116.
Hu, X; Spilke, J. 2009. Comparison of various spatial models for the analysis of cultivar trials. New Zealand Journal of Agricultural Research 52:277-287.
Joyce, D; Ford, R; Fu, Y. 2002. Spatial patterns of tree height variations in a black spruce farmfield progeny test and neighbors-adjusted estimations of Genetic parameters. Silvae Genetica 51:13-18.
Lenth, RV. 2016. Least-Squares Means: The R Package lsmeans. Journal of Statistical Software 69:1-33.
Magnussen, S. 1994. A method to adjust simultaneously for spatial microsite and competition effects. Canadian Journal of Forest Research 24:985-995.
Mora, A; Ramírez, G. 2000. Consideraciones Prácticas sobre el Análisis Estadístico Espacial de Experimentos Forestales de campos. Revista Forestal Venezolana 44(2):21-28.
Papadakis, S. 1937. Méthode statistique pour des expériences sur champ. Thessalonike: Institut d’Amélioration des Plantes à Salonique.1937. Boletin 23. 30 p.
Pebesma, E. 2004. Multivariable geostatistics in S: the gstat package. Computers & Geosciences 30:683-691.
Pinheiro, JC; Bates, DM. 2000. Mixed-effects models in S and S-plus. Springer-Verlag, New York, USA. 528 p.
Plant, R. 2012. Spatial data analysis in ecology and agriculture using R. Boca Raton, FL, USA. CRC Press. 648 p.
R Development Core Team. 2016. R: A language and environment for statistical computing. R Foundation for Statistical Computing. Vienna, Austria. Disponible en http://www.R-project.org
Ramírez, N; Valera, L; Briceño, H. 2014. Sistema reproductivo de Pachira quinata (Jacq.) W. Alverson (Malvaceae: Bombacaceae). Memorias del Instituto de Biología Experimental 7:129-132.
Ramírez, N; Valera, L; Garay, V; Briceño, H; Quijada, M; Moret, Y; Montilla, J. 2008. Eficiencia Reproductiva de Clones de Pachira quinata (Jacq.) W. Alverson (Bombacaceae) Bajo Condiciones de Cultivo. Acta Botánica de Venezuela 31 (2):367-386.
Saenz-Romero, C; Nordheim, E; Guries, R; Crump, P. 2001. A Case Study of a Provenance/Progeny test using Trend Analysis with Correlated Errors and SAS Proc Mixed. Silvae Genetica 50:3-4.
Thomson, J. 1986. Trend surface analysis of spatial patterns of tree size, microsite effects, and competitive stress. Canadian Journal of Forest Research 16:279-282.
Williams, E; Matheson, A. 1994. Experimental design and analysis for use in tree improvement. Commonwealth Scientific and Industrial Research Organization, East Melbourne, Australia. 174 p.
Wright, J. 1978. An analysis method to improve statistical efficiency of a randomized complete block design. Silvae Genetica 27(1):12-14.
Zas, R. 2006. Consecuencias de la estructura espacial de los datos en el diseño y análisis de experimentos en campo. Revista Científica y Técnica de Ecología y Medio Ambiente 15:107-114.
Zas, R; Martíns, P; De La Mata, R. 2008. Autocorrelación Espacial: Un Problema Común…Mente Olvidado. Cuadernos de La Sociedad Española de Ciencias Forestales 24:139-145.
Notas de autor
Autor para correspondencia. Correo electrónico: armora@earth.ac.cr