Nota técnica
Resistencia mecánica del suelo a la penetración de raíces y forma de la raíz reservante de la batata a partir del descriptor de Huamán
Soil mechanical resistance to root penetration and shape of the reserve root of sweet potato from the Huaman descriptor
Resistencia mecánica del suelo a la penetración de raíces y forma de la raíz reservante de la batata a partir del descriptor de Huamán
Agronomía Costarricense, vol. 40, núm. 2, pp. 147-159, 2016
Universidad de Costa Rica. Colegio de Ingenieros y Agrónomos. Ministerio de Agricultura y Ganadería
Recepción: 16 Noviembre 2015
Aprobación: 28 Junio 2016
Resumen: Se estableció un ensayo para determinar la influencia de la resistencia mecánica a la penetración de raíces (RP), en un suelo afectado por la labranza y por la distancia de siembra, sobre la forma de la raíz reservante del cultivo batata (Ipomoea batatas (L.) Lamb). El diseño del experimento se basó en un arreglo en franjas, donde los sistemas de labranza (SL) fueron asignados a las parcelas grandes y las densidades de siembra (DS) a las franjas. Los SL consistieron en: 1) labranza vertical profunda con cincel y 3 pases de rastra (LC); 2) profunda con arado de disco y 3 pases de rastra (LA); 3) media con 3 pases de rastra de disco (LCo); y 4) mínima con un pase de rastra de disco (LM). Con 4 profundidades de trabajo de 18, 23, 12 y 7 cm, respectivamente. Las DS fueron de 0,25 cm (D1) y 0,15 cm (D2) en la hilera. La RP fue superior en los estratos del suelo a profundidades de 5 a 15 y 15 a 25 cm en los tratamientos de LM, (44 y 37%, respectivamente), respecto al promedio observado en el resto de los tratamientos en los estratos mencionados. Hubo escasa diferenciación entre los sistemas de labranza media y profunda (LCo, LC, LA) para RP. Se encontraron formas redondeadas preferiblemente en los tratamientos de LA; elíptica y redonda, elíptica bajo LC; y redonda y redonda elíptica en LCo y LM. No se observó una mayor restricción del crecimiento longitudinal de la raíz del cultivo en el suelo con mayor dureza bajo los tratamientos de LM. Esto en parte explicado a partir de los valores no limitantes a la penetración de raíces (< 2 MPa) del suelo en los diferentes tratamientos.
Palabras clave: Forma, raíz reservante, labranza, densidades de siembra.
Abstract: A study was carried out in order to evaluate the influence of mechanical resistance to root penetration (PR), in a soil affected by tillage and seeding distance, on the shape of the reserve root of a sweet potato crop (Ipomoea batatas (L.) Lamb). Experimental design was based on a strip plot arrangement, where big lots were assigned to tillage systems (TS) and seeding density (SD) to strips. The TS consisted of: 1) deep vertical tillage with chisel (CT); 2) tillage with disc plow (DT); 3) conventional tillage with 3 harrow passes (CoT); and 4) minimum tillage with one harrow pass (MT). With 4 tillage working depths of 18, 23, 12 y 7 cm, respectively. The SD were of 0.25 cm (D1) and 0.15 cm (D2) on the crop row. RP average was higher at deeper soil layers for MT treatments (5-15, 15-25 cm) by 44 and 37%, with respect to that observed at same soil layers in the rest of tillage systems. There was scant difference between medium and deep tillage systems (CoT, CT, DT) for PR. The shape of the reserve root was variable, a rounded shape found mostly in MT treatments, contrary to that expected considering the greater restriction to longitudinal root growth on soils with higher strength under MT. This partly explained by the non-restrictive values to soil root penetration (< 2 MPa) found for the different treatments.
Keywords: Shape, tillage, reserve root, seeding density.
Introducción
En Venezuela el cultivo de la batata se produce tradicionalmente de forma manual y mecanizada en pequeñas y medianas explotaciones agrícolas, con la utilización de niveles bajos de aplicación tecnológica que impiden una producción masiva y generan un bajo consumo en comparación con otros rubros dentro de las raíces y tubérculos (Ortega y Marcano 2000). La preferencia de los consumidores por este rubro, está dirigida a productos frescos de tamaños pequeños a medianos con formas regulares, que permiten utilizarlo como una unidad de consumo muy similar a la empleada para la papa (Solanum tuberosum L.). De manera análoga, la agroindustria demanda el suministro de formas y tamaños regulares que aumenten el rendimiento de la materia prima en la fabricación de los denominados snacks o prefritos (García y Pacheco 2008). La poca valoración que se le tiene a este rubro en el país, amerita de mejores prácticas de manejo, equipos y tecnología que permitan desarrollar una adecuada producción y suplencia de las necesidades alimentarias (Madriz 2000). El efecto de la incorporación de nuevos sistemas de labranza, se evidencia a partir de variaciones en las propiedades físicas y mecánicas del suelo que se asocian a cambios en el contenido de la materia orgánica (Chatterjee y Lal 2009). En el cultivo de la batata, el efecto de la labranza se refleja tanto en la concentración de nutrientes, longitud de los bejucos, área foliar y peso de la raíz (Agbede y Adekiya 2009) como en la tendencia a presentar raíces reservantes con determinadas formas (Rós et al. 2012), entre otros cambios importantes de la calidad postcosecha y comercial del cultivo. Los efectos vinculados a las características morfológicas de las raíces absorbentes de la mayoría de los cultivos se basan en las limitaciones mecánicas del suelo a la elongación y consecuente acortamiento de las raíces debido a procesos de degradación física del suelo ocasionados por la labranza (Hajabbasi 2001). De manera similar, en cultivos de raíces tuberosas, el aumento de la densidad aparente y resistencia mecánica a la penetración se relaciona directamente con la presencia de formas más redondeadas de la raíz de reserva (Rós et al. 2012) y con la reducción del rendimiento del cultivo (Rós et al. 2013, Abrougui et al. 2014). La hipótesis de este trabajo se basa en la posibilidad de inducir variaciones en las dimensiones y formas de la raíz, atribuible a alteraciones de la resistencia mecánica a la penetración de raíces, tanto por efecto de la labranza mínima (Agbede 2006, Abrougui et al. 2014) como a través del acortamiento de la distancia entre plantas del cultivo (Flores-López et al. 2009). Se presume el efecto directo de la labranza mínima sobre una mayor dureza del suelo, e indirecto de una mayor competencia en el cultivo sobre la menor humedad resultante del suelo y aumento de la resistencia mecánica, cuya relación inversa entre estas últimas variables fue referida por Jorajuria 2004. El incremento de la resistencia mecánica a la penetración de raíces hasta valores referidos como limitantes (> 2MPa) (Tormena et al. 1999) conduciría a la obtención de formas más redondeadas y tamaños regulares de la raíz reservante que promuevan la calidad postcosecha del cultivo. Dada la necesidad de evaluar estos efectos en el cultivo de batata, se planteó en este trabajo caracterizar la resistencia mecánica a la penetración bajo distintos sistemas de labranza y densidades de siembra y, determinar la influencia de esta variable sobre la forma de la raíz reservante del cultivo batata.
Materiales y métodos
Ubicación del ensayo
El ensayo se llevó a cabo en el campo experimental de la Sección de Mecanización Agrícola del Instituto de Ingeniería Agrícola de la Facultad de Agronomía, Universidad Central de Venezuela, en Maracay estado Aragua en el ciclo lluvioso del 2014. Sus coordenadas son latitud 10°15’6’’ N y longitud 67°36’5’’ O, a una altitud de 436 msnm. Además, se encuentra bajo un clima de bosque seco tropical, que registra una temperatura media anual de 25,5°C, una estación seca bien definida de 5-6 meses y una precipitación promedio anual de 834 mm (INE 2011). El suelo presenta texturas franco arenosa, franco limosa y franca con una pendiente plana cercana a 1%.
Diseño experimental
El trabajo de investigación consistió en un ensayo de tratamientos bajo un diseño experimental con arreglo en franjas, para lo cual se consideraron los factores sistemas de labranza (3) y densidad de siembra (2) en el cultivo de la batata (Ipomoea batatas (L.) Lamb). El área general de ensayo presentó 555 m2 subdividido en parcelas grandes representadas por sistemas de labranza mecanizada del suelo ubicados en el sentido de la mayor longitud del lote. Dentro de las parcelas grandes, se establecieron en franjas las distintas densidades de siembra del cultivo con 3 repeticiones. Los sistemas de labranza consistieron en labranza vertical profunda con cincel (LC), profunda con arado de disco (LA), media con rastra de disco (LCo) y mínima con rastra de disco (LM). Se utilizaron un arado de cincel + 3 pases de rastra (LC); un arado de disco + 3 pases de rastra (LA); 3 pases de rastra (LCo) y un pase de rastra (LM) con 4 profundidades de trabajo de 18, 23, 12 y 7 cm, respectivamente. Las densidades de siembra correspondieron a 48 500 plantas. ha-1 (D1) y 81 000 plantas.ha-1 (D2). Las distancias de siembra fueron de 0,25 cm (D1) y 0,15 cm (D2) en la hilera y de 0,825 m entre la hilera de plantas en camellones. Las parcelas grandes de labranza con una dimensión de 24 m x 6 m, fueron divididas en franjas para un número de 6 unidades experimentales.parcela-1. Las unidades experimentales de tratamiento de la combinación sistema de labranza-densidad de siembra (L-Ds) presentaron una dimensión aproximada de 24 m2. El número de hilos en cada unidad experimental fue de 7 con una longitud de 4 m, aproximadamente. Se utilizó la variedad cubana INIVIT B5, caracterizada por ser una raíz comestible de forma redonda a redonda elíptica voluminosa, corteza morada y pulpa amarillo claro (crema) con sabor dulce y agradable.
Muestreo y determinaciones en el suelo y cultivo
Se realizaron mediciones de resistencia mecánica a la penetración de raíces (RP, MPa) con un penetrómetro ASAE de punta cónica 30º a diferentes profundidades del suelo (2,5; 5; 8; 12 y 18 cm) en distintos días después de la siembra (dds) del cultivo (32, 60, 98, 126, 146 y 150 dds). La humedad gravimétrica del suelo (w, kg.kg-1) se midió en los mismos dds que RP en los estratos de 0-5, 5-15 y 15-25 cm del suelo. Se tomaron muestras de suelo disturbado en distintos estratos de profundidad del suelo (0-5, 5-15, 15-25 cm) por triplicado, para determinar la distribución del tamaño de partículas (DTP, kg.kg-100), con el método del hidrómetro (Gee y Bauder 1986). La forma de la raíz (FR) que consistió en los tipos curvada, ovada, largo elíptica, redondeada, elíptica, redonda elíptica y obovada se determinó mediante comparación de las imágenes de “forma de la raíz” con el descriptor de batata de Huamán (1992) y en el cálculo del porcentaje de las distintas formas encontradas en la fase final del cultivo. El tamaño de la raíz reservante se determinó por medio del método de Huamán (1992) y su verificación a partir de las ecuaciones propuestas por Echeverría y Rangel (1992). La información se analizó estadísticamente por el método de mediciones repetidas para RP y w (cada estrato analizado por separado/densidad de siembra) y mediante el análisis no paramétrico de Friedman para FR. Se ejecutaron pruebas de Tukey para comparación de medias a p≤0,05. Se usó el paquete IBM SPSS statistics 22.0 y Statistix versión 10.
Resultados y discusión
Resistencia a la penetración de raíces y humedad del suelo
Los suelos del área bajo estudio presentaron texturas franco limosa y franco limosa/franco arenosa, con una alta fracción de arena muy fina más limo (61 a 74% ±3,52) y muy baja fracción de arcilla, arena media y gruesa a nivel de los distintos estratos de profundidad (0-5, 5-15, 15-25 cm).
El efecto de la labranza, se manifestó a partir del incremento significativo (p<0,05) de RP en el sistema de labranza mínima a través del pefil (0-25 cm) y del estrato más profundo (15-25 cm) para RP y no significativo para w (Cuadro 1).

La RP fue superior en los estratos del suelo a las profundidades de 5 a 15 y 15 a 25 cm en los tratamientos de LM (44 y 37%, respectivamente), respecto al promedio observado en el resto de los tratamientos en los estratos mencionados (Figura 1). La RP en los sistemas de labranza media y profunda (LC, LA, LCo) no se diferenció significativamente en estos estratos (p>0,05).

De manera similar, la RP fue ligeramente superior (8-12%) en los estratos del suelo de 5-15 y 15-25 cm bajo la labranza mínima con la mayor densidad de siembra del cultivo (D2), respecto a la menor densidad (D1) en este sistema. La RP varió con la profundidad del suelo, que fue superior en el estrato de 15-25 cm (67%) respecto al de 5-15 cm, y en este superior al estrato superficial de 0-5 cm (82%). No se mostró el mismo efecto de la densidad de siembra e interacciones de los factores sobre la variable RP.
Las Figuras 2, 3 y 4 muestran la variación de RP en función del tiempo a distintas profundidades del suelo. Se pudo notar que a los 32 dds, el sistema LCo registró los menores valores con la profundidad, independientemente de las densidades de siembra. A los 60 dds, la respuesta de RP fue menor en LC por la mayor penetración y circulación de agua en el suelo; intermedio para LCo y LA y superior para LM. A los 98 dds la RP fue más baja en LA, seguido de LC y LCo, y por último LM. Se mostró una tendencia similar a la anterior en las fechas posteriores (126, 146 y 150 dds).



De lo anterior se determina, que el sistema de labranza convencional (LCo) presentó efectos temporales (hasta los 32 dds) beneficiosos sobre RP a partir de la mayor penetración y circulación de agua en el suelo. De manera similar, los sistemas de labranza profunda (LA, LC) favorecieron la menor dureza del suelo y un menor grado de limitaciones a la penetración de raíces pero con mayor persistencia en el ciclo del cultivo. Lo observado en suelos labrados (profunda y media), obedece a la mayor reserva de agua en profundidad asociada a una alta aireación del suelo, que limita la compactación y disminuye la resistencia a la penetración y densidad aparente del suelo (Abrougui et al. 2014).
El efecto de la descompactación por LCo observado en época temprana después de la siembra del cultivo, pudo influir en la escasa diferencia encontrada para RP en este sistema, respecto a los sistemas de labranza profunda (LA, LC).
Así también, la precipitación frecuente y abundante (864 mm, 91% del total) durante el ciclo del cultivo, condujo a enmascarar la gama de efectos de la labranza entre media a profunda (LA, LC, LCo) a nivel subsuperficial (especialmente 15-25 cm) sobre RP, que se muestra más evidente en periodos secos (Ingaramo 2003).
Así también, la precipitación frecuente y abundante (864 mm, 91% del total) durante el ciclo del cultivo, condujo a enmascarar la gama de efectos de la labranza entre media profunda (LA, LC, LCo) a nivel subsuperficial (especialmente 15-25 cm) sobre RP, que se muestra más evidente en periodos secos (Ingaramo 2003).
Lo señalado en cuanto a la incidencia de precipitación, podría demostrarse a partir de la respuesta de la humedad en los distintos estratos del suelo, que siguió el orden LM≤LA=LC=LCo (Figura 5), no encontrándose diferencias significativas (p<0,05) entre los sistemas de labranza bajo ambas densidades de siembra (Cuadro 1).

Las variaciones de RP con la profundidad hasta valores máximos de 1,73 y 1,66 MPa a los 22,5 cm de profundidad en las fechas más secas de medición (32 y 60 dds) (Figura 2) muestra correspondencia con la w significativamente menor (p<0,05) a los 60 dds (0,07 -0,24 kg.kg-1). La w fue más alta a los 98 dds (0,23-0,30 kg.kg-1) bajo los distintos tratamientos.
Forma y tamaño de la raíz reservante de batata y relación con la resistencia mecánica a la penetración de raíces
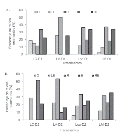
La Figura 6, muestra los porcentajes de las distintas formas de raíces de batata encontradas (ovada, largo elíptica, redondeada, elíptica y redonda elíptica) en los tratamientos del ensayo. No se detectaron diferencias significativas con Friedman (p>0,05) entre los porcentajes de las distintas formas en los tratamientos, lo que significa que las distintas formas de la raíz de batata se presentaron en un porcentaje similar en los distintos tratamientos.

La forma redondeada fue la más encontrada seguida por la forma redonda elíptica y elíptica. Al respecto, se observa que la forma de la raíz más encontrada fue elíptica y redonda elíptica bajo el sistema LC y ambas densidades de siembra, mientras que bajo LA predominó la forma redondeada, también de manera semejante en ambas densidades. La forma redondeada, conjuntamente con la redonda elíptica, predominaron en los sistemas LCo y LM sin mayores diferencias entre los porcentajes de ambas formas.
En relación con las formas más encontradas, se determinó de acuerdo con el índice de curvatura, que la decisión subjetiva de comparación con las ilustraciones del descriptor de Ipomoea batatas (Huamán 1992), se corresponden a las indicadas para cada sistema de labranza en estudio, ya que el índice de curvatura para cada caso fue superior a 0,5. Las forma redondeada predominante en LA muestra el menor crecimien- crecimiento longitudinal conjuntamente con una to longitudinal de la raíz, contrariamente a las restricción del diámetro mayor (parte ecuatorial) formas redonda elíptica y elípticas encontradas en de la raíz (Figura 7), ello verificado a partir de las LC. Las últimas formas reflejan una tendencia al ecuaciones de Echeverría y Rangel 1992.

La longitud y el diámetro de estas raíces tuberosas en sus distintas formas, se ubicaron en los intervalos de 15,26 a 6,7 y 11,14 a 4,13 cm, respectivamente. Lo encontrado no es coincidente con la restricción en la elongación de la raíz reservante de la batata observada en sistemas de labranza que conllevaron a un aumento de la densidad aparente y resistencia a la penetración del suelo (Sajjapongse y Roan 1982). Esta última condición estructural del suelo favorece el crecimiento perimetral de la raíz reservante y la disminución de la relación longitud/diámetro de la raíz, obteniéndose raíces de reserva más redondeadas (Rós et al. 2012).
De manera similar, una mayor densidad aparente del suelo también puede provocar un aumento de la resistencia mecánica al crecimiento de raíces del ñame (Discorea alata L.) que perjudica la absorción de nutrientes y agua por la planta que conlleva al menor crecimiento de su longitud y de los órganos subterráneos de reserva (Agbede 2006). Los tubérculos de papa se observan mayoritariamente grandes bajo labranza profunda (30 cm) con arado de disco, atribuido al efecto directo del descenso de la densidad aparente y resistencia a la penetración de raíces en la fase temprana (60 dds) sobre la mayor absorción de agua y nutrientes e indirecto sobre la acumulación de los órganos de reserva (Abrougui et al. 2014).
A pesar que RP fue mayor en los tratamientos de LM (entre 0,84 y 1,47 MPa) a nivel de los estratos 5-15 y 15-25cm del suelo para ambas densidades de siembra (Figura 1), lo mismo no representó una significativa limitación al crecimiento longitudinal de la raíz reservante (p>0,05). Por el contrario, la raíz en LM presentó una forma más alargada (redonda elípticas y elípticas) reduciéndose la proporción de la forma redondeada, en comparación a LA. En los tratamientos de LA, la forma redondeada prevaleció (50%), aunque se esperaba un crecimiento longitudinal mayor de la raíz reservante, atribuible a los RP menores en los estratos sub superficiales del suelo bajo este sistema (entre 0,55 y 0,98 MPa). En LC la raíz reservante se presentó mayoritariamente alargada (Figura 7) y contrasta con la respuesta en LA, a pesar de presentar ambos sistemas valores similares de RP (LC: entre 0,62 y 1,11 MPa). Por otra parte, el acortamiento de la distancia entre plantas (D2) no produjo un efecto diferencial sobre los porcentajes de formas encontradas de la raíz a partir de una disminución significativa de la humedad del suelo y por ende de la resistencia mecánica a la penetración en los tratamientos.
La ausencia de diferenciación de las formas y tamaños en función de las restricciones de RP en los tratamientos, obedecen al valor no restrictivo de RP (< 2 MPa) de los estratos más profundos del suelo al crecimiento de raíces, observado de manera general en la época de rápido engrosamiento de la raíz reservante (a partir de los 98 días). Durante esta época y posterior a ella la RP alcanzó un máximo de 1,67 MPa a los 126 dds a la profundidad de 22,5 cm (Figura 3) y promedios entre 0,55 y 1,47 MPa en los estratos de mayor profundidad a partir de los 5 cm (Figura 1). Contrariamente, valores de RP equivalentes a 2 MPa dentro de los 15 cm de profundidad en el suelo, limitaron el crecimiento longitudinal de la raíz reservante de la batata lo que permite la diferenciación de los sistemas de labranza reducida, vegetación natural y convencional (Rós et al. 2012). Otros autores (Lal 1994, Tormena et al. 1999) refieren valores críticos ≥ 2 MPa como limitantes para el desarrollo de las raíces absorbentes, asociado a una alta densidad aparente. En tal sentido, Hossne (2004), también mostró que después de los 2,343 MPa de resistencia del suelo el crecimiento radical es detenido con gran rapidez, para este valor el crecimiento radicular fue de un 20,78%, y para 2,5 MPa el crecimiento se paralizó por completo. La respuesta de RP se asocia a la alta humedad del suelo presente en las distintas épocas de medición, derivado de una alta precipitación en el ciclo del cultivo (862 mm) que incide en el descenso de RP y la poca diferenciación de la humedad del suelo en los tratamientos (Figura 5).
Conclusiones
La resistencia mecánica del suelo a la penetración de raíces, no se encontró asociada a la forma de la raíz reservante del cultivo bajo los sistemas de labranza y densidades de siembra, debido a la poca diferenciación de RP entre los sistemas de labranza mínima, media y profunda bajo las distintas densidades de siembra del cultivo. También se atribuye a los valores no restrictivos de resistencia mecánica (<2 MPa) de los estratos más profundos del suelo en la época de engrosamiento de la raíz reservante (a partir de los 98 días) y a la alta precipitación en el ciclo del cultivo con incidencias sobre RP (al disminuir los valores) y sobre el cultivo, al propiciar el desbalance agua-aire del suelo. Esto último pudo influir en la variación de la respuesta del genotipo de la variedad cubana en la forma y tamaño encontrados al compararlo con las características intrínsecas de estas variables. Se recomiendan investigaciones relacionadas a mediano plazo que incluyan otros ambientes edafoclimáticos y sus interacciones con el manejo agronómico.
Agradecimiento
Se agradece el financiamiento otorgado por el Consejo de Desarrollo Científico y Humanístico (CDCH) de la UCV, a través del proyecto N°. PG-7499-09
Literatura citada
Abrougui, K; Chehaibi, S; Boukhalfa, HH; Chenini, I; Douh, B; Nemri, M. 2014. Soil Bulk Density and Potato Tuber Yield as Influenced by Tillage Systems and Working Depths. Greener Journal of Agricultural Sciences 4(2):46-51.
Agbede, TM. 2006. Effect of tillage on soil properties and yam yield on an Alfisol in southwestern Nigeria. Soil & Tillage Research 86:1-8.
Agbede, TM; Adekiya, AO. 2009. Tillage effects on soil properties and performance of sweet potato on an Alfisol in Southwestern Nigeria. Eur. J. Sustain. Agric. 3:561-568.
Chatterjee, A; Lal, R. 2009. On farm assessment of tillage impact on soil carbon and associated soil quality parameters. Soil & Tillage Research 104(2):270-277.
Echeverría, H; Rangel, O. 1992. Caracterización físicomecánica de algunos productos hortofrutícolas. In Dávila, R; Echeverría, H (eds.). Taller de transferencia de manejo y tecnología postcosecha. Jornadas técnicas de Ingeniería Agrícola, Universidad Central de Venezuela, Venezuela. p. 10-20.
Flores-López, R; Sánchez-Del Castillo, F; Rodríguez-Pérez, J. E; Colinas-León, MT; Mora-Aguilar, R; Lozoya-Saldaña, H. 2009. Densidad de población en cultivo hidropónico para la producción de tubérculo-semilla de papa (Solanum tuberosum L.). Revista Chapingo Serie Horticultura 15(3):251-258.
García, A; Pacheco, E. 2008. Caracterización postcosecha del apio criollo cultivado en el municipio Tovar, estado Mérida-Venezuela, Rev. Agronomía Tropical 58(4):409-416.
Gee, R; Bauder, P. 1986. Particle size In Klute, A (ed.). Methods of soil analysis. Madison, WI. Part 1. 2 ed. Agron. Monogr. Nº. 9. ASA y SSSA. p. 443-446.
Hajabbasi, M. 2001. Tillage Effects on Soil Compactness and wheat Root morphology. J. Agric. Sci. Technol. 3:67-77.
Hossne, A. 2004. Evaluación terramecánica del crecimiento radical en un suelo ultisol de sabana del Estado Monagas, Venezuela. Revista Científica UDO Agrícola 4(1):42-52.
Huamán, Z. 1992. Descriptores de la batata. Centro Internacional de la Papa. Lima, Perú, 52p.
INE (Instituto Nacional de Estadística, Venezuela). 2011. Informe geoambiental 2011 (en línea). Instituto Nacional de Estadística, Aragua, Venezuela. Consultado 7 nov. 2015. Disponible en Disponible en http://www.ine.gov.ve/documentos/Ambiental/PrincIndicadores/pdf/Informe_Geoambiental_Aragua.pdf
Ingaramo, OE. 2003. Indicadores físicos de la degradación del suelo (en línea). Tesis Doctoral. La Coruña, España. Consultado 5 set. 2015. Disponible en Disponible en http://ruc.udc.es/handle/2183/1132
Jorajuria, D. 2004. La resistencia a la penetración como parámetro mecánico del suelo. In Filgueira, R; Micucci, F. (eds.). Metodologías físicas para la investigación del suelo: penetrometría e infiltrometría. La Plata, Argentina, EDULP. p. 43-53.
Lal, R. 1994. Methods and guidelines for assessing sustainable use of soil and water resources in the tropics. USDA Soil Conservation Service Technical Ohio. Ohio, USA. 78 p. Monograph Nº. 21.
Madriz, P. 2000. Usos o destinos actuales o potenciales de las raíces y tubérculos en Venezuela. In Memorias del Primer Seminario Venezolano sobre Plantas Agámicas Tropicales, Maracay: Centro de Investigaciones de Plantas Agámicas Tropicales, Universidad Central De Venezuela. Venezuela. p. 145-154.
Ortega, E; Marcano, J. 2000. Fortalezas del proceso productivo de la batata, (en línea). Revista FONAIAP Divulga Nº. 66. Consultado 10 nov. 2015. Disponible en Disponible en http://sian.inia.gob.ve/repositorio/revistas_tec/FonaiapDivulga/fd66/texto/batata.htm
Rós, AB; Tavares Filho, J; Barbosa, GMC. 2012. Propriedades físicas de solo e crescimento de Batata-doce em diferentes sistemas de preparo. R. Bras. Ci. Solo 37:242-250.
Rós, AB; Tavares Filho, J; Barbosa, GMC. 2013. Produtividade da cultura da batata-doce em diferentes sistemas de preparo do solo. Bragantia, Campinas 72(2):140-145.
Sajjapongse, A; Roan, YC. 1982. Physical factors affecting root yield of sweet potato (Ipomoea batatas (L.) Lamb. In Villareal, L; Griggs, TD (eds.). Sweet potato: proceedings of the first international symposium, Asian Vegetable Research and Development Centre. Shanhua, Taiwan. p. 203-208.
Tormena, CA; Da silva, AP; LibardI, PL. 1999. Soil physical quality of a Brazilian Oxisol under two tillage systems using the least limiting water range approach. Soil & Tillage Research 52:223-232.
Notas de autor
Autora para correspondencia. Correo electrónico: maiby.perez@ucv.ve