Artículo
Crotalaria spectabilis Roth como cobertura en café (Coffea arabica L) para el manejo de malezas*
Crotalaria spectabilis Roth as a cover crop in coffee (Coffea arabica) and weed control
Crotalaria spectabilis Roth como cobertura en café (Coffea arabica L) para el manejo de malezas*
Agronomía Costarricense, vol. 46, núm. 2, pp. 85-100, 2022
Universidad de Costa Rica. Colegio de Ingenieros y Agrónomos. Ministerio de Agricultura y Ganadería
Recepción: 16 Diciembre 2021
Aprobación: 18 Mayo 2022
Resumen: Introducción. El establecimiento de cultivos de cobertura como Crotalaria spectabilis es una práctica agroecológica con múltiples beneficios agronómicos y ambientales. Objetivos. Evaluar el efecto de 3 métodos de siembra de C. spectabilis en café en el control de malezas, acúmulo de nitrógeno y fijación de carbono. Además, determinar el periodo de espera entre el control de malezas y la siembra de C. spectabilis, y la tolerancia de C. spectabilis a herbicidas post emergentes. Materiales y métodos. El primer experimento se realizó en Orosi, Costa Rica, en el 2017. C. spectabilis fue sembrada mediante 3 métodos en medio de las hileras de siembra del café. El segundo experimento se realizó en un invernadero en Alajuela, en el 2018. Se aplicó glifosato, glufosinato de amonio y diquat sobre potes llenos con suelo. Luego de 0, 4 y 8 días se sembró C. spectabilis con y sin cobertura de suelo. En el tercer experimento se sembraron en potes semillas de C. spectabilis; cuando las plantas tenían 2, 3 y 4 hojas verdaderas se aplicó fluazifop-p-butil, cletodim y bentazona, asimismo las mezclas fluazifop-p-butil + bentazona y cletodim + bentazona. Resultados. En Orosi, todos los tratamientos lograron una reducción de cobertura de malezas menor al 26%, en comparación con el testigo. La tasa de crecimiento relativo de C. spectabilis fue baja y similar en las 3 metodologías de siembra. La acumulación de nitrógeno y la absorción de CO2 fue mayor en el tratamiento de hileras tapadas (81,46 kg.ha-1 N y 6,20 t.ha-1 CO2, respectivamente). En invernadero, no se observó un efecto negativo de ningún herbicida sobre la germinación ni el crecimiento de C. spectabilis. Conclusión. Debido a la competencia con las malezas, no fue posible establecer C. spectabilis como cobertura en café, sin embargo el uso de los herbicidas evaluados en invernadero permitieron controlar las malezas.
Palabras clave: Manejo integrado de malezas, abonos verdes, cultivos de cobertura, herbicidas pre y posemergentes.
Abstract: Introduction. The establishment of cover crops like C. spectabilis is an agroecological practice with multiple agronomic and environmental benefits. Objectives. To evaluate the effect of 3 C. spectabilis planting methods in coffee on weed control, nitrogen accumulation, and carbon fixation. Also, to determine the period between weed control and C. spectabilis sowing, and the tolerance of C. spectabilis to postemergence herbicides. Materials and methods. The first experiment was carried out in Orosi, Costa Rica, in 2017. C. spectabilis was planted in between coffee planting rows using three methods. The second experiment was carried out in a greenhouse in Alajuela, in 2018. Herbicides glhyphosate, glufosinate ammonium, and diquat were sprayed over pots filled with soil. C. spectabilis was planted 0, 4 and 8 days after spraying, both covered with soil and without cover. For the third experiment C. spectabilis was planted in pots, and when the plants had 2, 3, and 4 leaves, the herbicides fluazifop-p-butyl, clethodim, and bentazon, and the mixes fluazifop-p-butil + bentazon and clethodim + bentazon were sprayed. Results. In Orosi, weed cover was reduced in all treatments by less than 26%, compared to the control. C. spectabilis relative growth rate was low and similar in the 3 planting methods. Nitrogen accumulation and carbon absorption was highest in the covered rows (81.46 kg.ha-1 N and 6.20 t.ha-1 CO2, respectively). In the greenhouse, no negative effect on seed germination or plant growth of C. spectabilis was observed by any treatment. Conclusion. Due to weed competition, it was not possible to establish C. spectabilis as a cover crop in coffee, however herbicides evaluated in a greenhouse could potentially control those weeds.
Keywords: Integrated weed management, green manure, cover crops, pre and post emergence herbicides.
Introducción
Las malezas son plantas que interfieren directa o indirectamente con el cultivo, que causan disminuciones en los rendimientos obtenidos por los sistemas agrícolas (Salazar e Hincapié 2005). Por este motivo se implementan programas de control principalmente sintéticos, que representan altos costos de inversión y que pueden llegar a ser perjudiciales para el medio ambiente. En el cultivo de café el uso de herbicidas para el control de malezas es una práctica que se implementa año con año y representa un porcentaje importante de los costos de inversión (Sánchez y Gamboa 2004). En fincas de café de Costa Rica, por ejemplo, el control de malezas representó alrededor de un 13% del total de los costos del paquete tecnológico durante la cosecha 2018-2019 (ICAFE 2019).
Los cultivos de cobertura son una alternativa para el manejo de malezas en plantaciones de café de siembras nuevas porque evitan o limitan el crecimiento de malezas sobre el suelo al restringir el espacio de crecimiento de otras especies que compiten por agua, luz y nutrientes (Recalde et al. 2015). Además, favorecen el ambiente microbiano del suelo, evitan o minimizan la erosión, mantienen la humedad del suelo y aportan nutrientes (Meschede et al. 2007).
En las fincas cafetaleras también se debe invertir en la fertilización del café para abastecer sus requisitos nutricionales. El nitrógeno es el elemento cuya dosis de aplicación recomendada es la más alta en el cultivo. La fertilización con este elemento se considera muy importante para el desarrollo vegetativo de las plantas de café y comúnmente es considerado como de mayor impacto en la producción. La dosis de aplicación varía entre los 150 y 350 kg.ha-1 (Molina 2001, Chaves 2008, Bertsch 2009). Consecuentemente, el establecimiento y posterior corta de cultivos de cobertura puede ser utilizado como abono verde; estas son prácticas comunes en producción agroecológica de café. El uso de plantas de la familia Fabaceae, también llamadas leguminosas, en asocio con el cultivo permite complementar la fertilización al impulsar la fijación biológica de nitrógeno debido a su asociación simbiótica con microorganismos del suelo, como por ejemplo diversas especies del género Rhizobium (Guzmán y Alonso 2008, Silva et al. 2013).
La producción de café emite altas cantidades de carbono que se dan principalmente producto de la fertilización nitrogenada y durante la fase de beneficiado, las cuales afectan el ambiente al incidir directamente en la emisión de gases de efecto invernadero (Segura y Andrade 2012). En los últimos años se han iniciado esfuerzos por parte de gobiernos, además de instituciones públicas y empresas privadas, mediante los cuales se busca incentivar a las empresas agrícolas a implementar medidas que reduzcan y compensen las emisiones de carbono y alcancen la mención de carbono neutral. Las empresas que demuestren neutralidad de carbono recibirán una certificación que les permitirá acceder a mejores mercados por destacarse en la mitigación del calentamiento climático y la protección de la biosfera (ICAFE 2015).
Con la utilización de coberturas en el cultivo de café se podría encontrar una compensación para las emisiones de carbono, pues el tejido de las plantas de cobertura se convierte en biomasa potencial para el secuestro temporal de carbono. Al descomponerse el tejido de la cobertura se aumenta el contenido de carbono orgánico en el suelo (Martins et al. 2015), sin embargo, la mayor parte del carbono vuelve a la atmósfera una vez que estas plantas son cortadas. Cuando los residuos de la planta de cobertura son incorporados, las fracciones de carbono orgánico en el suelo aumentarán significativamente más que cuando se les deja sobre la superficie (Wang et al. 2015). Hu et al. (2016), por su parte, mencionan que se presenta un mayor aporte de carbono orgánico al suelo por parte del sistema radical que de la parte aérea, esto precisamente por su condición de encontrarse bajo el suelo.
Diferentes especies del género Crotalaria se han convertido en plantas promisorias para su utilización como cobertura viva en el cultivo de café. Su uso busca implementarse de modo que resulte efectivo en el manejo de malezas y además favorezca las características físicas y de fertilidad del suelo (Jiménez et al. 2005a). Además, la producción de biomasa por parte de Crotalaria spectabilis puede ser importante para la fijación de carbono temporal cuando se tome en cuenta la población total de plantas por hectárea.
Uno de los puntos críticos para la implementación de un sistema de Crotalaria spectabilis como cobertura en entrecalles del cultivo de café es la siembra. Para ello se deben considerar una serie de aspectos que aseguren la realización efectiva del establecimiento de la cobertura. Entre esos aspectos se encuentra un adecuado control inicial que asegure que días después de la siembra las plántulas de C. spectabilis se desarrollarán en un escenario libre de interferencia. Además del control inicial, en zonas cafetaleras ubicadas a más de 1200 msnm se debe también realizar control de malezas varias semanas después de la siembra de la semilla, debido a que le crecimiento de las malezas es más rápido que el de C. spectabilis en sus estados iniciales.
El objetivo de este trabajo fue evaluar el efecto de 3 distintos métodos de siembra de C. spectabilis en el control de malezas, el acúmulo de nitrógeno y la fijación de carbono. Sin embargo, debido a que la competencia con las malezas en campo y el difícil terreno dificultaron el establecimiento adecuado de la cobertura, se realizaron 2 experimentos posteriores en invernadero para determinar (1) el momento adecuado para realizar la siembra de la semilla de C. spectabilis después del control inicial de las malezas del sitio con herbicida, sin que se presente afectación en la germinación y (2) el efecto de herbicidas posemergentes sobre plantas de C. spectabilis en diferentes estados de desarrollo, con la finalidad de facilitar el establecimiento de futuras siembras de esta especie.
Materiales y métodos
Como parte de este estudio se realizaron 3 experimentos. Entre agosto y diciembre del 2017 se llevó a cabo un experimento en una finca cafetalera en Orosi, Cartago, Costa Rica, para evaluar 3 metodologías de siembra de C. spectabilis (Wolf Seeds, Brasil, germinación 78%). Luego, de diciembre 2017 a marzo del 2018, se realizaron 2 experimentos en un invernadero de la Estación Experimental Agrícola Fabio Baudrit Moreno (EEAFBM), Universidad de Costa Rica, en Alajuela, Costa Rica, para determinar el efecto de diferentes herbicidas en la germinación o crecimiento de C. spectabilis.
Experimento 1. Evaluación de 3 metodologías de siembra de C. spectabilis en lote cafetalero
Sitio experimental. El trabajo fue llevado a cabo en una finca cafetalera de Orosi, de Cartago, en temporada lluviosa. El área experimental fue de 3000 m2 en un lote ubicado en las coordenadas geográficas 9°47’53’’N y 83’50’29’’O, a 1200 msnm y con una pendiente del 49%, sin presencia de terrazas.
Las plantas de café eran del híbrido H15, de 2 años de edad, sembradas a 2 m entre hileras y 1,5 m entre plantas (densidad de 3333 plantas.ha-1), sin sombra. El control de malezas previo a la siembra de la cobertura se realizó con glifosato (712 g i.a ha-1) aplicado con un equipo del tipo mechero, que no realiza aspersión. Trece días después de la aplicación se realizó la siembra de los tratamientos.
Descripción de los tratamientos. Los 3 métodos de siembra de C. spectabilis entre hileras de café fueron (1) siembra en 3 hileras o surcos tapadas con suelo luego de la siembra, (2) siembra en 3 hileras o surcos sin tapar y (3) siembra al voleo con un aplicador dorsal de granulados de mochila, accionado manualmente por el operario (sembradora). El cuarto tratamiento fue un testigo con libre crecimiento de malezas.
El primer tratamiento se sembró de forma manual, para lo cual se calibró un uso de semilla de aproximadamente 15 kg.ha-1 o 60 semillas por metro lineal, según experiencias preliminares realizadas por los autores. Las hileras se realizaron con una herramienta manual, espaciadas 50 cm entre sí, con una profundidad cercana a 1-1,5 cm en cada surco o hilera, y luego se taparon con suelo.
El segundo tratamiento se sembró con una herramienta confeccionada con reglas de madera en forma de cruz invertida, de 1,60 m de largo y 1 m de ancho. Se fijaron en la sección paralela al suelo 3 recipientes, separados 50 cm entre ellos, con agujeros de tamaño tal que se pudiera dispensar 60 semillas por metro lineal o 15 kg.ha-1 (Figura 1A). No se realizó surco previo a la colocación de la semilla, la cual fue distribuida sin ser tapada en disposición de 3 hileras sobre el suelo.
La siembra al voleo con sembradora se realizó con dispensador dorsal de granos de la marca Guarany (Figura 1B). La densidad de siembra utilizada con la sembradora fue de alrededor 12 kg.ha-1 o 75 semillas m-2. La sembradora fue regulada en su nivel 1 (agujero de salida más pequeño) y se caminó a una velocidad de 0,4 m.s-1 en las entrecalles de café.
A los 64 días después de la siembra (dds), debido al lento establecimiento de C. spectabilis en todos los tratamientos, se realizó una corta alta con cuchillo de las malezas que superaron en altura a esta leguminosa, para favorecer su crecimiento.

Diseño experimental. Se utilizó un diseño experimental de bloques completos al azar, para lo cual se consideró la pendiente del lote. Se establecieron 5 bloques y 4 tratamientos. Cada unidad experimental fue de 15 m de largo por 10 m de ancho (150 m2) e incluyó 4 entrecalles.
Variables evaluadas
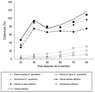
Porcentaje de cobertura. Se determinó el porcentaje de cobertura de C. spectabilis, y de malezas de hoja ancha, familia Poaceae (poáceas) y familia Cyperaceae (ciperáceas) con un cuadrante de 1 m2 colocado en 5 puntos en cada unidad experimental. Las evaluaciones se realizaron a los 23, 36, 49, 65, 79 y 93 días después de establecidos los tratamientos.
Tasa de crecimiento relativo. Se realizaron muestreos destructivos al azar de 8 plantas de C. spectabilis, dentro de cada unidad experimental, en cada una de las fechas indicadas en la variable anterior. Las plantas se dividieron por tejidos (hoja, tallo, raíz), se colocaron de forma separada en bolsas de papel, se secaron en una estufa a 55°C durante 5 días y se determinó el peso seco por planta.
Se calculó la tasa de crecimiento relativo según Di Benedetto y Tognetti (2016):

TCR = tasa de crecimiento relativo
ln = logaritmo natural
PS1 = peso seco de las muestras en t1 (g)
PS2 = peso seco de las muestras en t2 (g)
T1 = momento de muestreo 1 (días después de la siembra)
T2 = momento de muestreo 2 (DDS)
Absorción de nitrógeno y de carbono. Se tomaron muestras compuestas de tallos, hojas y raíces de C. spectabilis a los 93 DDS por cada tratamiento. Estas muestras fueron llevadas al Laboratorio de Suelos y Foliares del Centro de Investigaciones Agronómicas de la Universidad de Costa Rica, donde se realizó un análisis de carbono-nitrógeno para determinar el porcentaje de cada uno de estos elementos contenidos en estos tejidos.
El contenido de nitrógeno se calculó según la fórmula (Jiménez et al. 2005b):

PS = peso seco por planta (g.planta-1)
[N] = tenor de nitrógeno por planta (g.g-1 N)
DP = densidad de plantas (planta.m-2)
fc = factor de conversión (10)
El cálculo de absorción de carbono se realizó según Carvajal et al. (2014). Se consideró el peso seco por planta, la concentración de carbono en la materia seca y la densidad de plantas por hectárea para estimar el carbono total expresado en toneladas por hectárea. Además, se multiplicó el valor del carbono total por un factor de conversión correspondiente a 3,667, que se obtuvo de la división de la masa molar del CO2 (44) entre la masa molar del carbono (12), y se estimó la captación de CO2 en las unidades de toneladas por hectárea.

PS = peso seco por planta (g.planta-1)
[C] = tenor de carbono por planta (g.g-1 C)
DP = densidad de plantas (planta.m-2)
fc = factor de conversión (1/100)

MM CO2 = masa molar del CO2 (44)
MM C = masa molar del Carbono (12)
Análisis estadístico. Se calculó el área bajo la curva (ABC) según el método descrito por Navarro (2012) para las variables porcentaje de cobertura de C. spectabilis y de malezas totales, así como los valores de tasa de crecimiento relativo. Además, se comparó puntualmente los valores para la absorción de CO2 y el contenido de nitrógeno. Fue utilizado el programa JMP (SAS Institute) para realizar un análisis de la varianza (ANOVA) para cada uno de los factores anteriores. Cuando el ANOVA fue significativo se realizaron comparaciones de medias mediante la prueba de Tukey con un nivel de significancia del 5%.
Experimento 2. Evaluación en invernadero del efecto de la aplicación de herbicidas en la germinación y crecimiento de C. spectabilis
Al considerar que la siembra de C. spectabilis como cultivo de cobertura, debe realizarse lo antes posible luego del control de las malezas del sitio con los herbicidas usuales en café; se evaluó qué tan pronto se podría hacer la siembra sin afectar la germinación o crecimiento de las plantas de C. spectabilis.
Descripción de los tratamientos. Se evaluaron 3 herbicidas postemergentes no selectivos: glifosato (0,525 g i.a. l-1), glufosinato de amonio (300 g i.a. ha-1) y diquat (400 g i.a. ha-1), los cuales son de uso frecuente en plantaciones de café. Los herbicidas fueron aplicados separadamente sobre potes de 3 litros de capacidad con suelo. Se sembraron 20 semillas por pote de C. spectabilis en 3 momentos distintos, a los 0, 4 y 8 días después de la aplicación (DDA) de los herbicidas, además de un testigo sin aplicación de herbicidas. Se incluyó además el factor tipo de siembra: semillas tapadas con suelo distribuidas en 2 hileras en el pote y semillas sin tapar distribuidas sobre la superficie del suelo.
Diseño experimental. Se utilizó un diseño experimental irrestricto al azar, con un arreglo factorial de 3 factores: herbicida a 4 niveles, momento de siembra a 3 niveles y tipo de siembra a 2 niveles. Para cada tratamiento se contó con 5 repeticiones.
Variables evaluadas. Se determinó la proporción de germinación por pote a los 21 DDA y el peso seco por planta a los 52 DDS. Las muestras se secaron en una estufa a 55ºC por 72 horas y luego se pesaron.
Análisis estadístico. Se utilizó regresión logística para el análisis de la proporción de germinación. En los casos en que los resultados del análisis lo ameritaron, se evaluaron razones de ventaja para identificar diferencias entre tratamientos (Hosmer y Lemeshow 2000).
Se realizó un análisis de varianza para la variable peso seco y comparación entre promedios de tratamientos mediante la prueba de Tukey, con un nivel de significancia del 5%.
Experimento 3. Efecto de herbicidas postemergentes sobre plantas de C. spectabilis en diferentes estados de desarrollo en invernadero
Descripción de los tratamientos. Se sembraron en potes de 3 litros de capacidad 10 semillas de C. spectabilis, unos días después se realizó raleo de plantas hasta dejar únicamente 2 plantas por pote para minimizar la competencia intraespecífica. Se utilizó suelo proveniente de un lote agrícola de la EEAFBM. Se evaluaron los herbicidas fluazifop-p-butyl (187,6 g i.a. ha-1) para el control de malezas de la familia Poaceae, bentazona (3,6 g i.a. ha-1) para control de malezas de hoja ancha y cletodim (1,8 g i.a. ha-1) para control de poáceas, así como las mezclas fluazifop-p-butyl + bentazona y cletodim + bentazona. La aplicación de los herbicidas se realizó en plantas de C. spectabilis de diferentes etapas fenológicas: 2, 3 y 4 hojas. Como tratamiento testigo se utilizó el crecimiento de plantas de C. spectabilis sin aplicación alguna de herbicidas.
Diseño experimental. Se utilizó un diseño experimental irrestricto al azar con un arreglo factorial de 2 factores: herbicida en 6 niveles y número de hojas en 3 niveles, con 5 repeticiones.
Variables evaluadas. Se estimó el grado de daño provocado por la aplicación de los diferentes tratamientos, con una escala de 1-9, donde 1= planta sana y 9= planta muerta (Tabla 1).
Se realizó un muestreo destructivo de plantas para la determinación de peso seco por planta a los 60 DDS. Las muestras se secaron en una estufa a 55ºC por 72 horas y luego se pesaron.

Resultados
Experimento 1. Evaluación de 3 diferentes metodologías de siembra de C. spectabilis en lote cafetalero
Porcentaje de cobertura. Los porcentajes de cobertura de C. spectabilis en las 3 metodologías de siembra nunca fueron lo suficientemente altos como para superar y por lo tanto disminuir el porcentaje de cobertura total de malezas en los diferentes tratamientos (Figura 2).

En la evaluación de los 35 DDS sucedió un error de muestreo y se sobreestimó el porcentaje de cobertura de la maleza; sin embargo, el error fue constante en todos los tratamientos. A los 65 DDS se observó un descenso en el porcentaje total de maleza en los tratamientos hileras tapadas y sembradora con respecto a la evaluación anterior, esto se explica por la corta alta de malezas que se realizó una semana antes.
El análisis de varianza de la variable área bajo la curva (ABC) del porcentaje de cobertura de C. spectabilis en los 3 métodos de siembra indicó diferencias significativas entre tratamientos (p=0,0029), así como el ABC del porcentaje de cobertura de las malezas entre los 4 tratamientos (p=0,0023). En el tratamiento de siembra en hileras tapadas se determinó una mayor ABC del porcentaje de cobertura de Crotalaria spectabilis en comparación con las otras 2 metodologías de siembra, lo cual coincide con una menor ABC del porcentaje de cobertura de las malezas en ese tratamiento (Tabla 2). Cuando la semilla de Crotalaria spectabilis no se tapó, tanto en los tratamientos hileras sin tapar como sembradora, no se observaron diferencias significativas en el ABC del porcentaje de cobertura de la leguminosa ni de las malezas (Tabla 2).

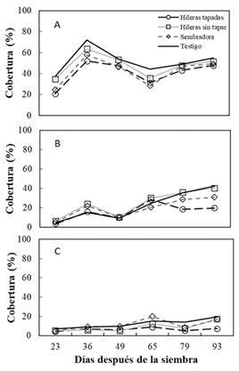
Los análisis de varianza del ABC del porcentaje de cobertura de malezas de la familia Poaceae (p=0,3862), familia Cyperaceae (p=0,2677) y del tipo de malezas hojas anchas (p=0,3382) no mostraron diferencias significativas entre los promedios de los tratamientos (Figura 3).

Tasa de crecimiento relativo. El comportamiento de la tasa de crecimiento relativo para cada uno de los tratamientos fue similar a lo largo del tiempo (Figura 4), no se encontraron diferencias significativas entre ellos (p=0,8008). La tasa de crecimiento relativo más alta en las 3 metodologías de siembra en esta muestra se presentó en el periodo comprendido entre los 36 y 49 días después de la siembra.

Contenido de nitrógeno y CO2 . El factor método de siembra en el ANOVA fue significativo (p=0,0111). La absorción de CO2 en las plantas del tratamiento donde se tapó la semilla a la siembra fue significativamente mayor a la absorción de CO2 por parte de las plantas en aquellos tratamientos donde la semilla se dejó sobre la superficie del suelo (Tabla 3). Por su parte, la absorción de CO2 en los 2 tratamientos donde la semilla no se tapó fue similar (Tabla 3).

Acumulación de nitrógeno. La acumulación de nitrógeno por parte de las plantas de C. spectabilis en los 3 métodos de siembra fue significativamente diferente (p=0,0166). La acumulación de Nitrógeno fue mayor en plantas sembradas en hileras tapadas y en plantas sembradas con la sembradora (Tabla 4).

Experimento 2. Evaluación en invernadero de aplicación de herbicidas y posterior siembra de C. spectabilis
Porcentaje de germinación. La interacción triple herbicida x tipo de siembra x momento de siembra resultó no significativa (p=0,5606). No hubo un efecto en el porcentaje de germinación de C. spectabilis por parte de los herbicidas aplicados en los diferentes momentos de siembra después de la aplicación (Tabla 5). Sin embargo, sí existió una significancia en la comparación por el factor tipo de siembra (p<0,0001). Respecto a la frecuencia de germinación, las semillas tapadas resultaron con una razón de ventaja de 9 a 1 sobre las semillas sembradas sin tapar.

Materia seca por planta. Ninguna de las comparaciones resultó con diferencias significativas en el peso seco por planta (Tabla 6).

Grado de daño. La interacción herbicida x estado de desarrollo de las plantas (2, 3 y 4 hojas) al momento de aplicación resultó no significativa para la variable grado de daño (p=0,3155). Esta interacción no significativa implica que la relación del grado de daño en los diferentes estados de crecimiento es exactamente la misma para cada uno de los herbicidas aplicados (Figura 5).

La comparación entre los niveles del factor herbicida resultó significativa (p<0,0001), sin embargo, esta significancia puede ser considerada como irrelevante desde el punto de vista agronómico, pues al comparar los valores de grado de daño (Figura 5) se encuentra que todos son bajos en la escala de grado de daño utilizada.
Materia seca por planta. La interacción herbicida x estado de desarrollo en el momento de realizar la aplicación resultó no significativa (p=0,1688). Esta interacción no significativa implica que la materia seca por planta fue similar en los 3 estados de desarrollo en que se encontraba la planta cuando se aplicaron los herbicidas.
Al analizar individualmente cada factor, no se determinaron diferencias significativas entre herbicidas (p=0,0576) ni estados de desarrollo (p=0,2896) en la producción de materia seca por planta de C. spectabilis.
Discusión
Al comparar el porcentaje de cobertura de C. spectabilis y las malezas presentes en cada uno de los tratamientos se observó que las plantas de C. spectabilis no lograron la cobertura suficiente para afectar el crecimiento de malezas. Si bien al sembrar el cultivo de cobertura en hileras tapadas y con sembradora se logró reducir la cobertura de las malezas en un 26% y 13%, respectivamente, con respecto al testigo, la cobertura de las malezas en estas parcelas 93 días después de la siembra fue elevada, un 75% y 97%, respectivamente.
El bajo porcentaje de cobertura de C. spectabilis se debió a varios factores. Primero, la germinación de la semilla fue muy baja pues tanto la semilla tapada como la dispersada al voleo y sin tapar, tuvieron un porcentaje de germinación de entre 18% y 24% en los 3 tratamientos, por lo que luego de 93 DDS la densidad de plantas fue de 27, 11 y 18 plantas por metro cuadrado en los tratamientos hileras tapadas, hileras sin tapar y sembradora, respectivamente. Estas cantidades de plantas por metro cuadrado son muy bajas para poder asegurar un cierre efectivo y en el momento oportuno del cultivo cobertura (Uchino et al. 2011). Cho et al. (2015) encontraron que al sembrar Crotalaria juncea a mayor densidad se aumentó la supresión de malezas. Las densidades que utilizaron fueron de 11 kg.ha-1, 28 kg.ha-1 y 45 kg.ha-1. Al igual que en este estudio, se demostró que una mayor densidad de siembra provoca un incremento en la biomasa que cubre el suelo y por lo tanto una disminución en el crecimiento de malezas (Tripathi et al. 2013, Cho et al. 2015). Sin embargo, debe considerarse también el costo de la semilla del cultivo de cobertura al decidir la densidad de siembra.
En segundo lugar, la tasa de crecimiento relativa de C. spectabilis en el sitio de estudio fue más lenta que en sitios ubicados a menor altitud. En un estudio realizado en Alajuela, Costa Rica, a 840 msnm, se observó que el máximo periodo de crecimiento de esta especie sucedió entre los 28 y 35 DDS (Girardi 2020), mientras que en Orosi, a 1200 msnm, esto sucedió entre los 36 y 49 DDS. En tercer lugar, este lento crecimiento significó una menor producción de biomasa, en comparación con la biomasa producida en zona baja.
Las observaciones sugieren que C. spectabilis puede crecer más rápido y producir más biomasa en un corto plazo en zonas del país con temperaturas más elevadas y elevaciones por debajo de los 1000 msnm. Orosi difiere en comparación con estas zonas pues presenta temperaturas más bajas, principalmente durante la noche. Además, la radiación fue probablemente menor por estar ubicado el lote en la ladera de una colina. Al respecto, Di Benedetto y Tognetti (2016) mencionan que entre los factores climáticos que mayor efecto tienen sobre la tasa de crecimiento relativo de las plantas se encuentran la temperatura, la radiación y la concentración de CO2.
El aporte potencial de nitrógeno de la biomasa de C. spectabilis, por otro lado, fue de hasta 81,46 kg.ha-1 N en el tratamiento hileras tapadas. Esta cantidad representa un potencial aporte de nitrógeno que puede llegar a ser aprovechado en cierto porcentaje por las plantas del cultivo de café (Puiatti et al. 2015, Silva et al. 2013, Rodrigues et al. 2012, Recalde et al. 2015, Soares et al. 2014). En un sistema intercalado de café con C. spectabilisDos Santos et al. (2006) reportaron acumulaciones de nitrógeno de 39,2 kg.ha1 en la parte foliar de la planta, con una densidad promedio de 10 plantas por metro cuadrado. En 2 estudios preliminares (datos no publicados) en Guácimo y Orosi, Costa Rica, los autores determinaron que al aumentar la densidad de plantas se logra acumular hasta 181 kg.ha-1 N (55 plantas m-2) y 240 kg.ha-1 N (80 plantas m-2), respectivamente.
Los 3 componentes del cálculo de la acumulación de Nitrógeno y CO2 por parte de C. spectabilis son la materia seca por planta, la concentración (tenor) de N o de CO2 en los diferentes tejidos de la planta y la densidad de plantas. Se determinó que la diferencia entre metodologías de siembra en el acúmulo de nitrógeno y CO2 se debió únicamente a la densidad de plantas por metro cuadrado, densidad que fue mayor en el tratamiento hileras tapadas.
Para lograr una densidad de plantas y posterior cobertura del suelo adecuadas, así como abundante biomasa del cultivo de cobertura, será necesario aplicar herbicidas para controlar las malezas del sitio y sembrar C. spectabilis lo antes posible. Cuando se aplicaron en invernadero glifosato, glufosinato de amonio y diquat para simular, no se observó un efecto negativo sobre el porcentaje de germinación ni en el peso seco de C. spectabilis por parte de ninguno de ellos, aun cuando se realizó la siembra el mismo día que se aplicó. Esto implica que es posible sembrar la semilla el mismo día que se realice la aplicación para el control inicial de malezas. Se determinó, además, que cuando la semilla fue tapada con suelo tuvo una ventaja considerable en la germinación en comparación con la siembra de la semilla sin tapar, pero esto no causó diferencia en el peso seco de las plantas a los 93 DDS. Estos resultados concuerdan con lo reportado por Braz et al. (2016) para el control de malezas antes de la siembra de C. spectabilis en Brasil, y con estudios de Timossi et al. (2011) con C. juncea sembrada tapada con suelo o al voleo.
Los herbicidas evaluados para controlar las malezas en post emergencia causaron un daño muy leve a C. spectabilis, daño que desapareció a los pocos días. Las plantas afectadas por cletodim mostraron corrugaciones en sus brotes y los bordes de las hojas más nuevas. Por su parte las plantas afectadas por el herbicida bentazona mostraron puntos necróticos distribuidos en el haz de las hojas. La sintomatología del grado de daño causado por las mezclas fluazifop-p-butil+bentazona y cletodim+bentazona fue muy similar al provocado por el herbicida bentazona individualmente, por lo que probablemente el efecto causado por estos tratamientos se debió principalmente a la acción de este herbicida. De Carvalho et al. (2017), Braz et al. (2015) y Braz et al. (2016) encontraron también que los herbicidas bentazona y cletodim causan daño fitotóxico bajo en C. spectabilis al aplicarlos sobre plantas con una hoja, 3 hojas y 4 hojas verdaderas, respectivamente.
No se determinaron diferencias significativas en el peso seco por planta entre tratamientos. Esto demuestra que a pesar de que visualmente se observaron daños muy leves en algunas hojas después de la aplicación, este efecto fue temporal y no alteró el crecimiento de las plantas de C. spectabilis. Estos resultados son similares a los reportados por Gómez y González (datos sin publicar) para el uso de los herbicidas fluazifop-p-butil, cletodim y bentazona. Por su parte, de Carvalho et al. (2017), Braz et al. (2015) y Braz et al. (2016) encontraron que el bentazona en diferentes dosis puede reducir levemente la producción de biomasa seca por planta de C. spectabilis, pero concluyen que es un herbicida selectivo para la cobertura.
Conclusiones
De las 3 metodologías de siembra evaluadas en Orosi, el tratamiento hileras tapadas facilitó una mayor cobertura de C. spectabilis. Sin embargo, la cobertura lograda no fue suficiente para suprimir el crecimiento y establecimiento de las malezas del sitio, debido a la baja germinación de la semilla, lento crecimiento de las plántulas y por lo tanto deficiente establecimiento de las plantas de la cobertura.
Para lograr tal objetivo, es necesario controlar las malezas adecuadamente antes de la siembra del cultivo de cobertura, con herbicidas como glifosato, glufosinato de amonio y diquat, y luego sembrar C. spectabilis tan pronto como sea posible, incluso el mismo día de la aplicación.
Una vez que C. spectabilis ha emergido, es posible controlar tanto malezas de hoja ancha como especies de las familias Poaceae y Cyperaceae con los herbicidas post emergentes cletodim, fluazifop-p-butil y bentazona, ya sea en aplicaciones separadas o en mezcla, desde estados tempranos de desarrollo de C. spectabilis. La germinación, emergencia y establecimiento de C. spectabilis dependerá también de otros factores bióticos y abióticos que también deben manejarse.
Aún cuando la cobertura de C. spectabilis lograda en este estudio no fue satisfactoria, el aporte potencial de nitrógeno de la biomasa de esta especie fue de hasta 81,46 kg.ha-1 N en el tratamiento hileras tapadas.
Literatura citada
Bertsch, F. 2009. Absorción de nutrientes por los cultivos. San José, Costa Rica, Asociación Costarricense de la Ciencia del Suelo. 308 p.
Braz, GP; Oliveira, RS; Constantin, J; Takano, HK; Chase, CA; Fornazza, FGF; Raimondi, RT. 2015. Selection of herbicides targeting the use in crop systems cultivated with showy Crotalaria. Planta Daninha 33(3):521-534.
Braz, GP; Oliveira, RS; Constantin, J; Takano, HK; Godinho, FB. 2016. Selectivity of herbicides applied in post-emergence of showy Crotalaria. Revista Caatinga 29(4):918-926.
Camper, N. 1986. Research methods in weed science. 3a edición. Illinois, Estados Unidos, Southern Weed Science Society. s.p.
Carvajal, M; Mota, C; Alcaraz, C; Iglesias, M; Martínez, M. 2014. Investigación sobre la absorción de CO2 por los cultivos más representativos de la Región de Murcia. Murcia, España, Consejo Superior de Investigaciones Científicas. 41 p.
Chaves, V. 2008. Preguntas frecuentes relacionadas con el Nitrógeno. Revista Informativa del Instituto del Café de Costa Rica. 16 p.
Cho, AH; Chase, CA; Treadwell, DD; Koenig, RL; Morris, JB; Morales-Payan, JP. 2015. Apical dominance and planting density effects on weed suppression by Sunn Hemp (Crotalaria juncea L.). HortScience 50(2):263-267.
de Carvalho Dias, R; Mendes, KF; Gonçalves, CG; Melo, CA; Teixeira, MFF; Silva, DV; Reis, MR. 2017. Seletividade inicial de herbicidas aplicados em pós-emergência da crotalária. Revista Brasileira de Herbicidas 16(1):76-83.
Di Benedetto, A; Tognetti, J. 2016. Técnicas de análisis de crecimiento de plantas: su aplicación a cultivos intensivos. Revista de investigaciones agropecuarias 42(3):258-282.
Dos Santos, M; Rodrigues, B; Ribeiro, J. 2006. Cultivo de Crotalaria spectabilis intercalada ao café Arábica plantado em diferentes espaçamentos sob manejo orgânico. Embrapa Agrobiologia, Seropédica, Brasil. 21 p.
Girardi, J. 2020. Evaluation of different species of cover crops as a sustainable strategy for weed management and soil fertility preservation in high quality coffee plantation (Coffea arabica) in Costa Rica. Tesis de Maestría, Universidad de Pisa, Pisa, Italia. 127 p.
Guzmán, GI; Alonso, AM. 2008. Buenas prácticas en producción ecológica: uso de abonos verdes. Madrid, España, Ministerio de Medio Ambiente y Medio Rural y Marino. 22 p.
Hosmer, D; Lemeshow, S. 2000. Applied logistic regression. 2 ed. Nueva York, Estados Unidos, John Wiley & Sons INC. 375 p.
Hu, YL; Zeng, DH; Ma, XQ; Chang, SX. 2016. Root rather than leaf litter input drives soil carbon sequestration after afforestation on a marginal cropland. Forest Ecology and Management 362:38-45.
ICAFE (Instituto del café de Costa Rica). 2015. Informe sobre la actividad cafetalera de Costa Rica. Heredia, Costa Rica. 62 p.
ICAFE (Instituto del café de Costa Rica). 2019. Costos de producción agrícola de café fruta cosecha 2018-2019. Heredia, Costa Rica. 5 p.
Jiménez, AM; Farfan, F; Morales, C. 2005a. Biomasa seca y contenido de nutrientes de Cajanus cajan, Crotalaria juncea y Tephrosia candida empleadas como abonos verdes en cafetales. Cenicafé 56(2):93-109.
Jiménez, AM; Farfan, F; Morales, C. 2005b. Descomposición y transferencia de nutrientes de Cajanus cajan, Crotalaria juncea y Tephrosia candida como abonos verdes en cafetales. Cenicafé 56(3):216-236.
Martins, BH; Araujo-Junior, CF; Miyazawa, M; Vieira, KM; Milori, DM. 2015. Soil organic matter quality and weed diversity in coffee plantation area submitted to weed control and cover crops management. Soil and Tillage Research 153:169-174.
Meschede, DK. 2007. Avaliação de diferentes coberturas na supressão de plantas daninhas no cerrado. Planta Daninha 25(3):465-471.
Molina, E. 2001. Manejo de suelos y fertilización en café. In Fertilidad de suelos y manejo de la nutrición de cultivos en Costa Rica. Centro de Investigaciones Agronómicas, Universidad de Costa Rica. 139 p.
Navarro, JR. 2012. La técnica del área bajo la curva. Centro de Investigaciones en Protección de Cultivos. San José, Costa Rica, Universidad de Costa Rica. 6 p.
Puiatti, M; de Oliveira, NLC; Cecon, PR; da Silva Bhering, A. 2015. Consorciação de Taro e Crotalária Manejada com corte rente ao solo e poda na altura do dosel. Ceres 62(3):275-283.
Recalde, KMG; Carneiro, LF; Carneiro, DNM; Felisberto, G; Nascimento, JS; Padovan, MP. 2015. Weed suppression by green manure in an agroecological systems. Revista Ceres 62(6):546-552.
Rodrigues, GB; Sá, MED; Valério Filho, WV; Buzetti, S; Bertolin, DC; Pina, TP. 2012. Matéria e nutrientes da parte aérea de adubos verdes em cultivos exclusivo e consorciado. Revista Ceres 59(3):380-385.
Salazar, LF; Hincapié, E. 2005. Arvenses de mayor interferencia en los cafetales. Centro Nacional de Investigaciones de Café (Cenicafé) 333:1-12.
Sánchez, L; Gamboa, E. 2004. Control de malezas con herbicidas y métodos mecánicos en plantaciones jóvenes de café. Bioagro 16(2):133-136.
Segura, MA; Andrade, HJ. 2012. Huella de carbono en cadenas productivas de café (Coffea arabica L.) con diferentes estándares de certificación en Costa Rica. Revista Luna Azul (35):60-77.
Silva, J; Rodrigues, M; Bastos L; Silva, R; Prieto, H. 2013. Nitrogen fertilization of coffee: organic compost and Crotalaria juncea L. Revista Ceres 60(6):842-851.
Soares J; Ribeiro, R; Vaz, F; Lang, D; De Sá, E. 2014. Produção de fitomassa e acúmulo de nutrientes por espécies utilizadas na adubão verde. Revista Ceres 61(5):732-739.
Timossi, PC; Wisintainer, C; Santos, BJD; Pereira, VA; Porto, VS. 2011. Supressão de plantas daninhas e produção de sementes de Crotalária, em função de métodos de semeadura. Pesquisa Agropecuária Tropical 41(4):525-530.
Tripathi, MK; Chaudhary, B; Singh, SR; Bh, HR. 2013. Growth and yield of Sunnhemp (Crotalaria juncea L.) as influenced by spacing and topping practices. African journal of agricultural research 8(28):3744-3749.
Uchino, H; Iwama, K; Jitsuyama, Y; Ichiyama, K; Sugiura, E; Yudate, T. 2011. Stable characteristics of cover crops for weed suppression in organic farming systems. Plant Production Science 14(1):75-85.
Wang, W; Lai, DYF; Wang, C; Pan, T; Zeng, C. 2015. Effects of rice straw incorporation on active soil organic carbon pools in a subtropical paddy field. Soil and Tillage Research 152:8-16.
Notas