Artículo
Recepción: 16 Diciembre 2021
Aprobación: 25 Mayo 2022
DOI: https://doi.org/10.15517/rac.v46i2.52051
Resumen: Introducción. Los cultivos de cobertura compiten en sus etapas iniciales de crecimiento con las malezas, por lo que en áreas donde predominan malezas de muy rápido crecimiento es necesaria la aplicación de herbicidas para controlarlas mientras la cobertura se establece. Objetivo. Evaluar la tolerancia de las leguminosas Mucuna pruriens (L) DC cv. preta, M. pruriens cv. cinza, Vigna radiata (L.) Wilczek, Pueraria phaseoloides (Roxb) Benth. y Crotalaria spectabilis Roth a herbicidas preemergentes y posemergentes. Materiales y métodos. Se realizaron 2 estudios en un invernadero de la Universidad de Costa Rica, situado en Alajuela, Costa Rica. En el primer experimento se evaluaron los herbicidas posemergentes cletodim, fluazifop-p-butil, fomesafen y bentazon, en el 2012 y se repitió en el 2013. El segundo experimento se realizó 2 veces en el 2014 para evaluar los herbicidas preemergentes pendimetalina, oxifluorfen, alachlor y linuron. Se evaluó la altura, el grado de daño y el peso seco de las plantas sembradas en potes de 1,5 litros. El diseño experimental utilizado fue completamente aleatorio. Resultados. Todas las especies evaluadas, con excepción de P. phaseoloides, resultaron tolerantes a bentazon, cletodim y fluazifop-p-butil. Estas especies también mostraron tolerancia a alaclor, linuron y pendimetalina. P. phaseoloides fue tolerante a fomesafen y fluazifop-p-butil, pero resultó moderadamente afectado por los herbicidas preemergentes. Solamente las plantas aplicadas con oxifluorfen y fomesafen evidenciaron una reducción significativa del peso seco, con excepción de las plantas de P. phaseoloides aplicadas con fomesafen. Conclusión. Las leguminosas evaluadas resultaron tolerantes a la mayoría de los herbicidas aplicados para control de monocotiledóneas y dicotiledóneas.
Palabras clave: Cultivos de cobertura, manejo de malezas, abonos verdes, coberturas vivas.
Abstract: Introduction. Cover crops compete during their initial growth stages with weeds, therefore in areas where the predominant weeds are fast growers it is necessary to spray herbicides to control those plants while the cover gets established. Objetive. To evaluate the tolerance of the legumes Mucuna pruriens (L) DC cv. preta, M. pruriens cv. cinza, Vigna radiata (L.) Wilczek, Pueraria phaseoloides (Roxb) Benth. and Crotalaria spectabilis Roth to pre- and postemergence herbicides. Materials and methods. Two studies were carried out in a greenhouse of the University of Costa Rica, located in Alajuela, Costa Rica. The first experiment evaluated the postemergence herbicides clethodim, fluazifop-p-butyl, fomesafen and bentazon in 2012 and was repeated in 2013. The second experiment was performed twice in 2014 to evaluate the postemergence herbicides pendimethalin, oxyfluorfen, alachlor and linuron. Plant height, injury index and dry weight of plants sowed in 1.5 liters pots was assessed. The experimental design was completely randomized. Results. All the evaluated species, except for P. phaseoloides, were tolerant to bentazon, cletodim and fluazifop-p-butil. These species were also tolerant to alachlor, linuron, and pendimethalin. P. phaseoloides was tolerant to fomesafen and fluazifop-p-butyl, but resulted moderately affected by the preemergent herbicides. Only plants treated with oxyfluorfen and fomesafen showed a significant dry weight reduction, except for P. phaseoloides plants sprayed with fomesafen. Conclusion. The evaluated legumes were tolerant to the majority of the sprayed herbicides for the control of both dicotyledonous and monocotyledonous weeds.
Keywords: Cover crops, weed management, green manures, living mulches.
Introducción
La siembra de cultivos de cobertura en rotación o en asocio con el cultivo principal es una práctica agrícola con múltiples beneficios, entre ellos el manejo de malezas (Hodgdon et al. 2016, Wayman et al. 2015), prevención de erosión del suelo (Plaza-Bonilla et al. 2015), manejo de organismos fitopatógenos (Claudius-Cole et al. 2014, Cullen y Holm 2013), aporte de nutrientes e incorporación de materia orgánica (Jani et al. 2016, Martins et al. 2015). Según el sitio donde se establecen estas coberturas es necesario darles cuidados propios de cualquier cultivo, tales como el control de malezas en sus estadíos iniciales mientras logran cubrir adecuadamente el suelo. En áreas con una alta densidad de especies de plantas perjudiciales o en presencia de especies de crecimiento muy agresivo es deseable contar con herbicidas que controlen las malezas y no dañen a las coberturas. La información sobre la tolerancia de los cultivos de cobertura a esos productos es muy escasa en la literatura internacional, y los estudios que existen se refieren a la selección de esas sustancias para eliminar las coberturas antes de sembrar el cultivo principal (Bressanin et al. 2015).
Las especies pertenecientes a la familia Fabaceae, comúnmente llamadas leguminosas y que son utilizadas como coberturas, son potencialmente benéficas para el agroecosistema, principalmente por su rápido crecimiento y su capacidad de fijar nitrógeno atmosférico, el cual estará disponible para el cultivo una vez que se incorpore y descomponga la materia orgánica (Favero et al. 2000). Algunas de las principales leguminosas de cobertura que se han establecido en Mesoamérica en las últimas décadas incluyen a la mucuna o frijol terciopelo (Mucuna pruriens), el cual se siembra en laderas o terrenos de baja fertilidad para mejorar las condiciones del suelo, o en rotación con cultivos anuales para disminuir el banco de semillas de malezas (Buckles et al. 2002). El kudzu (Pueraria phaseoloides) se siembra extensivamente en plantaciones jóvenes de palma aceitera para el control de malezas (Sancho y Cervantes 1997). La vigna o rabiza (Vigna radiata) se ha cultivado como un frijol comestible, pero su rusticidad rápido crecimiento y cubrimiento del suelo indica su potencial como leguminosa de cobertura. La crotalaria (Crotalaria spectabilis) se ha establecido en plantaciones de papaya y café para el aporte de nitrógeno, control de malezas y de nematodos (Mendonca et al. 2017).
Debido a que las coberturas no son consideradas por el agricultor como un cultivo, y más bien son establecidas sin insumos externos como fertilizantes o herbicidas, existe poca información sobre estos últimos, selectivos a estas especies. Por esta razón, el objetivo de este estudio fue evaluar la susceptibilidad de las leguminosas Mucuna pruriens (L) DC cv. preta, M. pruriens (L) DC cv. cinza, Vigna radiata (L.) Wilczek, Pueraria phaseoloides (Roxb) Benth. y Crotalaria spectabilis Roth a herbicidas preemergentes y postemergentes .
Materiales y métodos
Se realizaron 2 estudios, uno con herbicidas preemergentes y otro posemergentes, en un invernadero en la Estación Experimental Agrícola Fabio Baudrit Moreno (EEAFBM), Universidad de Costa Rica, situado en Alajuela (840 msnm), Costa Rica. Las semillas utilizadas de M. pruriens cultivares preta (mucuna negra) y cinza (mucuna gris), así como C. spectabilis fueron compradas a la empresa Wolf Seeds (Brasil). Se decidió evaluar 2 cultivares de mucuna que la empresa productora reporta como de distinto crecimiento. La semilla de Vigna radiata fue comprada a la empresa Servicios Científicos Agropecuarios (SCA, Costa Rica) y multiplicada en la EEAFBM. La semilla de P. phaseoloides fue comprada a la empresa Palma Tica. Todas las semillas fueron adquiridas en el 2012 y guardadas en cámara fría a 4ºC, hasta 2 semanas antes de su siembra.
Herbicidas preemergentes. El experimento se llevó a cabo en el primer semestre del 2014 (época seca) y se repitió en el segundo semestre de ese año (época lluviosa). Se sembraron 5 semillas de cada una de las leguminosas en suelo franco-arcilloso, proveniente de la EEAFBM, contenido en potes plásticos de 1,5 litros de capacidad. El suelo se esterilizó previamente con vapor de agua según la metodología descrita por Castillo-Luna y Gómez-Gómez (2016). Se dejaron sólo 3 plantas por pote cuando las plantas mostraron su primera hoja verdadera, con el fin de minimizar la competencia interespecífica.
Se evaluó la tolerancia de las leguminosas M. pruriens cv. preta, P. phaseoloides (kudzú), V. radiata (vigna) y C. spectabilis (crotalaria) a los preemergentes pendimetalina (1000 g i.a./ha), oxifluorfen (600 g i.a./ha), alaclor (1920 g i.a./ha) y linuron (450 g i.a./ha). Previo a la aplicación se humedeció el suelo en los potes por capilaridad para asegurar una condición de humedad uniforme. La aplicación del oxifluorfen se realizó una semana antes de la siembra según la recomendación de la empresa distribuidora para evitar una posible fitotoxicidad al cultivo. Los demás herbicidas se aplicaron el mismo día de la siembra de las leguminosas. Se utilizó un equipo de aplicación de mochila con boquilla de abanico plano TeeJet 8002, presión de 2 kg.cm-2 y volumen de aplicación de 300 litros por hectárea. Se sembró también un tratamiento control de cada leguminosa sin aplicación de herbicidas. Se utilizó un diseño experimental irrestricto al azar, con 4 repeticiones.
Se evaluó semanalmente, a partir de los 7 días después de la aplicación (dda), el grado de daño a cada planta con una escala de 0-10 (0=sin daño, 10=planta muerta; 1-3 leve, 4-6 moderado, 7-9 severo) descrita por Camper (1986), y la altura de cada planta. Debido a sus diferencias en crecimiento, las plantas se cortaron a los 21, 42, 42 y 36 días después de la siembra (dds) de M. pruriens, P. phaseoloides, C. spectabilis y V. radiata, respectivamente. Las plantas se secaron en un horno a 65ºC durante 72 horas y luego se determinó el peso seco promedio por planta.
Para el análisis de la altura de planta se utilizó como variable respuesta el área bajo la curva de la altura promedio de las plantas de cada pote (ABC altura). Para el grado de daño se calculó un promedio del daño de las plantas de cada pote y para el peso seco se calculó el peso seco total de las plantas de cada pote y se dividió entre el número de plantas.
El modelo utilizado para el análisis del peso seco y ABC altura fue el correspondiente a un arreglo factorial de 2 factores, época a 2 niveles y herbicida a 5 niveles, por separado para cada una de las leguminosas. Para efectos del análisis del peso seco y del cálculo de potencias de prueba para esta variable se consideró relevante una diferencia de 0,5 gramos para todas las leguminosas.
Para el análisis de la tendencia del daño provocado por los herbicidas se realizó, para cada leguminosa por separado, un análisis para mediciones repetidas (MANOVA) con prueba de esfericidad y prueba de Greenhouse-Geiser para la significancia de los efectos en los casos en que no se cumple el supuesto de esfericidad, para determinar si la tendencia lineal del daño es la misma para cada una de las sustancias y en cada una de las 2 épocas. También se realizó un análisis de variancia a los 7, 21 y 36 días después de la aplicación. Este enfoque permitió estudiar comparativamente el cambio del daño en cada periodo. Se analizó la tendencia cuadrática para P. phaseoloides por cuanto el comportamiento de los datos muestrales sugirió este tipo de tendencia.
Para la separación de medias en los casos en que procedía hacerlo se utilizó la prueba de Tukey con un nivel de significancia del 5%. El mismo nivel de significancia se utilizó para las pruebas de los efectos de los factores.
Herbicidas posemergentes. El experimento se llevó a cabo de octubre a diciembre del 2012, y se repitió de agosto a setiembre del 2013. Se utilizó suelo franco-arcilloso proveniente de la EEAFBM y se esterilizó con vapor de agua, con la metodología descrita por Castillo-Luna y Gómez-Gómez (2016). Se llenaron con suelo potes de 1,5 litros de capacidad y se sembraron 5 semillas de cada una de las leguminosas M. pruriens cv. preta, M. pruriens cv. cinza, P. phaseoloides, V. radiata y C. spectabilis. Cuando las plantas mostraron la primera hoja verdadera se dejaron sólo 3 plantas por pote con la finalidad de minimizar la competencia interespecífica.
Se aplicaron los herbicidas posemergentes cletodim (180 g i.a./ha), fluazifop-p-butil (175 g i.a./ha), fomesafen (99 g i.a./ha) y bentazón (960 g i.a./ha) cuando la vigna, el kudzú y las 2 mucunas tenían la segunda hoja trifoliada desarrollada y cuando la crotalaria tenía 6 hojas verdaderas. Se determinó este momento de aplicación, a partir del cultivo del frijol como referencia, en el cual las aplicaciones se deben hacer después de este estado de desarrollo para evitar fitotoxicidad. Se calculó un volumen de aplicación de 300 l.ha-1, y se utilizó un equipo de aplicación de espalda con una boquilla Tee Jet 8002. Además, se incluyó un tratamiento control sin aplicación de herbicida.
El diseño experimental fue irrestricto al azar con 4 repeticiones. El grado de daño ocasionado por los herbicidas a las leguminosas se evaluó semanalmente durante las siguientes 4 semanas después de la aplicación con una escala de 0 a 10 (0=sin daño, 10=planta muerta; 1-3 leve, 4-6 moderado, 7-9 severo) descrita por Camper (1986). El peso seco por planta se determinó al final del experimento (30 dds). Las plantas cortadas se secaron durante 72 h en una estufa a 65°C y posteriormente se pesaron.
El modelo estadístico utilizado para el análisis del peso seco fue el correspondiente a un arreglo factorial de 2 factores, experimento (época) a 2 niveles y herbicida a 4 niveles, por separado para cada una de las leguminosas. Para efectos del análisis y del cálculo de potencias de prueba para esta variable se consideró relevante una diferencia de 0,5 gramos. Se realizó un análisis de contrastes a la variable peso seco, entre el testigo y el conjunto de herbicidas aplicados, disponibles para malezas de hoja angosta vs. los que controlan hojas anchas, y entre los 2 herbicidas que controlan sólo malezas de hoja ancha.
El análisis de la tendencia del daño provocado por cada producto se realizó por separado para cada leguminosa. Se escogió un análisis para mediciones repetidas para determinar si la tendencia lineal del daño fue la misma para cada uno de los herbicidas y en cada una de las 2 épocas evaluadas. También se realizó un análisis de varianza para cada uno de los momentos o tiempo de medición. Este enfoque permitió estudiar comparativamente el cambio de la variable grado de daño en cada semana y facilitó la identificación de tendencias no lineales en forma sencilla.
La separación de medias, en los casos en que procedía hacerlo, se realizó mediante la prueba de Tukey con un nivel de significancia del 5%. El mismo nivel de significancia se utilizó para las pruebas de los efectos de los factores principales (herbicidas y experimento). El análisis estadístico de ambos estudios se realizó con el programa JMP versión 15 de SAS Institute.
Resultados
Herbicidas preemergentes. V. radiata. Los efectos “herbicida” y “herbicida x época” resultaron no significativos (p=0,2230 y p=0,3855, respectivamente) para la variable área bajo la curva de la altura por planta (ABC altura). Solamente se dio una diferencia significativa en el efecto simple “época” (p<0,0001). Los promedios fueron 380 para la época 1 y 859 para la época 2, es decir, las plantas crecieron mucho más durante la estación lluviosa en el sitio donde se realizaron los experimentos.
De igual manera que para el área bajo la curva, los efectos “herbicida” y “herbicida x época” resultaron no significativos (p=0,5569 y p= 0,4774) para la variable peso seco. La potencia de la prueba para una diferencia mínima a detectar de 0,5 gramos fue de 0,9749. Solamente se dio una diferencia significativa en el efecto simple “época” (p<0,0001). Los promedios fueron 1,32 para la época 1 y 3,18 para la época 2, es decir, la acumulación de biomasa fue mayor durante la época lluviosa, sin importar el tratamiento.
El análisis de la variable grado de daño produjo una interacción “tiempo x herbicida x época” significativa (p=0,0021 en la prueba de Greenhouse-Geiser), por lo que se realizó un análisis por separado para cada una de las épocas. En el análisis de la época 1 la interacción “tiempo x herbicida” resultó significativa (p=0,0299), lo mismo que en la época 2 (p=0,0293).
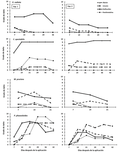
Tanto la significancia de la interacción triple como la de las interacciones dobles en cada una de las épocas es provocada por la tendencia del daño cuando se aplicó oxifluorfen (Figura 1). La magnitud del daño provocado por este herbicida fue mayor y durante un periodo mayor en el primer experimento. Por su parte el alaclor y el linurón no produjeron un daño importante a las plantas de V. radiata. Las plantas aplicadas con pendimetalina no mostraron ningún síntoma de daño.

M. pruriens. El efecto de los herbicidas sobre el área bajo la curva de la altura por planta fue significativamente diferente en cada una de las épocas (interacción época x herbicida = p<0,0001). La interacción se dio porque en la época 1 el oxifluorfen mostró promedio inferior a los demás, mientras que en la época 2 no hubo diferencia alguna significativa entre los promedios (Tabla 1). La menor ABC altura de las plantas aplicadas con oxifluorfen indican un efecto fitotóxico que afectó el crecimiento de la leguminosa.

Los productos no generaron efecto alguno sobre el peso seco promedio de mucuna (p=0,3670 para la interacción época x herbicida; p=0,7885 para el efecto simple herbicida). Se determinó un menor peso seco de las plantas en la época seca en comparación con la época lluviosa (1,38 g y 1,67 g, respectivamente).
El grado de daño provocado por las distintas sustancias fue significativamente diferente en cada época (p=0,0256). Se analizaron por tanto los efectos herbicida y tiempo por separado para cada una de las épocas. En la época 1 la tendencia del daño provocado por linuron y oxifluorfen fue lineal y decreciente, mientras que el daño provocado por pendimetalina y alaclor creció hasta el día 14 y luego decreció (Figura 1). En general, el daño provocado por linuron y pendimetalina fue muy leve y las plantas se recuperaron luego de 21 días. En la época 2 la tendencia decreciente se dio por igual para todos, pero el grado de daño promedio provocado por el oxifluorfen fue significativamente mayor (Figura 1).
C. spectabilis. El efecto de las sustancias sobre el área bajo la curva de la altura por planta fue significativamente diferente en cada una de las épocas (época x herbicida, p=0,0044). En la época seca el ABC de la altura fue significativamente menor en las plantas aplicadas con pendimetalina y oxifluorfen en comparación con los demás tratamientos y el testigo. En el experimento realizado en época lluviosa, sólo el ABC de altura de las plantas aplicadas con oxifluorfen fue significativamente diferente al testigo y los demás tratamientos (Tabla 2).

La interacción época x herbicida del peso seco de la parte aérea fue significativa. El peso seco de las plantas aplicadas con oxifluorfen fue significativamente menor que el peso de las plantas de los demás tratamientos, en ambas épocas. El efecto negativo del oxifluorfen fue mayor en la época lluviosa (Tabla 3).

Se determinaron diferencias en el grado de daño de los herbicidas según la época de realización del experimento (p=0,0004). En la época seca, el grado de daño causado por oxifluorfen y pendimetalina fue significativamente mayor que en los demás tratamientos, mientras que en la época lluviosa sólo el grado de daño causado por oxifluorfen fue mayor al del resto de tratamientos (Figura 1). El oxifluorfen dañó severamente a las plantas de C. spectabilis, mientras que el grado de daño provocado por linuron y alaclor fue muy leve, en ambas épocas.
P. phaseoloides. La interacción época x herbicida no resultó significativa en la variable área bajo la curva de la altura por planta (p=0,0924), por lo que se analizaron los datos de ambos experimentos juntos. El ABC de la altura de plantas de kudzu fue menor cuando se aplicó linuron y pendimetalina (Tabla 4).

No se presentaron diferencias significativas en el peso seco aéreo entre tratamientos. El crecimiento de las plantas de P. phaseoloides fue significativamente mayor (p=0,0004) en la época lluviosa en comparación con la época seca (0,66 g y 0,31 g, respectivamente).
Se observaron diferencias en el grado de daño entre épocas, pero no se determinaron diferencias significativas entre herbicidas aplicados. En general, todos provocaron un daño de moderado a severo en el primer experimento, mientras que el daño generado en el segundo experimento fue de leve a moderado y disminuyó de manera importante a partir del día 14 después de la aplicación, con excepción de las plantas tratadas con oxifluorfen (Figura 1).
Herbicidas posemergentes. V. radiata. Se encontraron diferencias significativas en el grado de daño causado en plantas de vigna. La interacción triple tiempo x experimento x herbicida resultó no significativa (p=0,1242), lo cual indicó que la tendencia del daño en cada uno se dio por igual en los 2 experimentos. La interacción tiempo x herbicida resultó significativa (p=0,008), lo que explica que al menos uno de los herbicidas presentó una tendencia diferente al resto.
El fomesafen provocó un daño significativamente superior en las plantas de vigna en comparación con los demás herbicidas (Figura 2). Este daño se consideró moderado-alto, los síntomas se presentaron como una quema de hojas, similar al efecto que este provocó en el frijol común, pero las plantas no murieron. Las pruebas de separación de medias de Tukey en cada uno de los días de observación indicaron que los promedios de daño de los otros 3 herbicidas no fueron significativamente diferentes entre sí. El daño provocado por cletodim, fluazifop-p-butil y bentazon fue leve y disminuyó en el tiempo.

La interacción herbicida x experimento resultó significativa (p=0,0003) para la variable peso seco, por lo que se analizó de manera separada para cada experimento. No se determinaron diferencias significativas en el peso seco de las leguminosas en el primer experimento al realizar la prueba de Tukey de separación de medias, pero sí se determinó un menor peso seco de las plantas aplicadas con fomesafen en el segundo experimento (Tabla 5). La potencia de prueba (1-β) obtenida para detectar una diferencia de 0,5 gramos en las comparaciones no significativas fue de 1,0000.
La prueba de contrastes resultó significativa solamente en el segundo experimento (Tabla 5). Las diferencias detectadas estuvieron relacionadas con el menor peso seco observado en las plantas aplicadas con fomesafen.

C. spectabilis. Se realizó un análisis para cada experimento por separado debido a que la interacción triple herbicida x experimento x tiempo fue significativa (p=0,0009). En ambos experimentos el fluazifop-p-butil ocasionó el menor daño con una tendencia nula al crecimiento (Figura 3). La interacción con el factor experimento fue provocada por el comportamiento diferente del bentazón y el cletodim. Pruebas de Tukey sustentaron que en el primer experimento el cletodim resultó más dañino, mientras que en el segundo experimento ambos ocasionaron el mismo daño. En los 2 experimentos el herbicida que causó significativamente el mayor daño fue el fomesafen.

El daño causado por los herbicidas para control de hoja angosta, fluazifop-p-butil y cletodim, fue un leve amarillamiento de las hojas durante los primeros 7 días después de la aplicación.
Al igual que con vigna, la interacción entre experimento y herbicida resultó significativa (p<0,0001) para la variable peso seco por planta. En ambos experimentos la prueba de contrastes indicó un menor peso seco de las plantas aplicadas con fomesafen en comparación con aquellas aplicadas con bentazon (Tabla 6). Asimismo, en el segundo experimento el peso seco en el tratamiento con fluazifop-p-butil fue menor al peso seco del tratamiento con cletodim, pero ninguno de los 2 fue diferente del promedio del testigo (Tabla 6).

P. phaseoloides. En el análisis del grado de daño la interacción época x experimento x herbicida resultó significativa (p<0,0001). En el primer experimento no hubo diferencias significativas en los promedios para ninguno de los momentos de medición. Las aplicaciones causaron un grado de daño leve que disminuyó con el tiempo. En el segundo experimento se determinó un significativo mayor grado de daño, según prueba Tukey, causado por el bentazón y el cletodim, en comparación con fomesafen y fluazifop-p-butil. El daño ocasionado por los primeros herbicidas mencionados, catalogado como moderado, también disminuyó con el tiempo, de forma más acentuada que en el primer experimento (Figura 4).

La comparación entre herbicidas (p=0,0903) y la interacción herbicidas x experimento (p=0,1727) resultaron no significativas para la variable peso seco por planta. Solamente resultó significativa (p<0,001) la comparación de los promedios globales de los 2 experimentos: 0,28 g en el primer experimento y 0,96 en el segundo (Tabla 7), lo cual indicó mayor crecimiento de las plantas en la época en la que se realizó el segundo experimento.

M. pruriens. No se encontraron diferencias significativas (p=0,5504) en el grado de daño entre cultivares de mucuna ni entre experimentos, sólo en las tendencias de los herbicidas evaluados (p<0,0001). El cletodim y el fluazifop-p-butil no causaron daño a las plantas de mucuna, mientras que el daño del bentazon fue leve al inicio y disminuyó rápidamente en el tiempo. El fomesafen causó un daño moderado-alto según la escala utilizada (Figura 5).

La interacción especie x herbicidas resultó significativa (p=0,009) para la variable peso seco de las plantas de mucuna evaluadas. El peso de las plantas de M. pruriens cv. cinza fue menor cuando se les aplicó fomesafen y bentazon en comparación con el peso del testigo, según prueba de Tukey (Tabla 8). Por su parte, las plantas de M. pruriens cv. preta crecieron menos en comparación con el testigo cuando se les aplicó fomesafen, según prueba de contrastes (Tabla 8).

Discusión
Los resultados obtenidos en estos estudios permitieron determinar que las leguminosas de cobertura evaluadas, son tolerantes a varios herbicidas pre y posemergentes. Esto indica que sería posible controlar múltiples especies de malezas al establecer estas coberturas vivas en varias condiciones agrícolas.
V. radiata fue tolerante a 3 herbicidas preemergentes, pendimentalina, alaclor y linuron, y a 3 posemergentes, bentazon, fluazifop-p-butil y cletodim. El grado de daño observado luego de la aplicación preemergente fue muy leve, y no afectó el crecimiento de las plantas. La tolerancia de V. radiata a fluazifop-p-butil también fue reportada en estudios realizados en India con variedades comestibles (Balyan y Malik 1989).
C. spectabilis toleró la aplicación de los preemergentes linuron y alaclor, y mostró un daño leve luego de la aplicación de pendimentalina, sin embargo, no hubo afectación en el peso seco de estas plantas. Es necesario por tanto realizar pruebas en campo para descartar un posible efecto fitotóxico de la pendimetalina antes de considerar su uso en siembras de esta leguminosa. Las aplicaciones de los posemergentes bentazon, cletodim y fluazifop-p-butil provocaron un daño leve y las plantas se recuperaron rápidamente luego de siete días, lo que se evidenció al no afectarse el peso seco y concuerda con lo reportado por Silva et al. (2018). La tolerancia de C. spectabilis al cletodim fue también observada en estudios realizados en Brasil, donde se sembró en asocio con café (Braz et al. 2015).
Las plantas de M. pruriens mostraron un daño moderado durante los primeros 7 días después de la aplicación del preemergente oxifluorfen, pero se recuperaron rápidamente y su peso no fue diferente al de las plantas de los demás tratamientos preemergentes. Esta especie fue por tanto la única que toleró de manera moderada el efecto de este herbicida. Aún así, con el linurón y el pendimetalina, se observó un grado de daño sumamente leve en plantas de M. pruriens y su posible uso debería considerarse antes que oxifluorfen. Los posemergentes bentazon, cletodim y fluazifop-p-butil no causaron daño importante a M. pruriens ni afectaron su crecimiento. El fomesafen, por su parte, no fue tolerado por esta leguminosa en aplicación posemergente, aunque las plantas no murieron y se observó el inicio de rebrote de hojas. En comparación, Silva et al. (2018) determinaron la tolerancia de varias especies de mucuna a imazapic y clomazone.
El daño de los preemergentes en plantas de P. phaseoloides fue mayor, en comparación con las otras especies de leguminosas. Si bien el daño observado fue menor en el segundo experimento, casi todos los herbicidas provocaron un daño moderado o severo. Antes de optar por el uso de los preemergentes en siembras de kudzu, se recomienda evaluar su selectividad en campo, en áreas pequeñas. Adicionalmente, se observó un daño moderado del posemergente bentazon, contrario a lo observado en las otras especies evaluadas. Los herbicidas posemergentes que provocaron el menor daño en el kudzu fueron por tanto fomesafen, fluazifop-p-butil y cletodim. De manera similar, Carmona (1991) encontró buena tolerancia de P. phaseoloides a lactofen y fomesafen aplicados para el control de malezas de hoja ancha en plantaciones de palma aceitera.
Por otro lado, al realizar el estudio en 2 épocas del año, seca y lluviosa, se determinaron diferencias en el crecimiento de las especies de leguminosas. En la época lluviosa vigna y kudzu produjeron mayor biomasa, mientras que lo contario ocurrió con las plantas de mucuna. No consideramos que este fuera un efecto de la aplicación de los herbicidas, ni de diferencias en la humedad del suelo, sino de otros factores que no fueron medidos, tales como radiación, temperatura del aire y humedad relativa. También es posible que la semilla utilizada haya perdido algo de vigor mientras estuvo almacenada.
La tolerancia del linuron en preemergencia y del bentazon en posemergencia por parte de todas las leguminosas evaluadas, con excepción del kudzu, permitiría el control de varias especies de malezas de hoja ancha (Abdallah et al. 2021, Piekarczyk et al. 2020). De forma similar, la aplicación de pendimetalina en preemergencia y el cletodim o el fluazifop butil en posemergencia, tolerados por todas las leguminosas, con excepción también del kudzu, haría posible el control de múltiples especies de gramíneas (Poaceae) (Abdallah et al. 2021, Soltani et al. 2020).
Conclusiones
Las especies de leguminosas de cobertura evaluadas fueron tolerantes a la mayoría de los herbicidas observadas, los cuales se podrían emplear para el control de malezas en áreas donde el establecimiento de las leguminosas de cobertura resulte particularmente complejo, debido a la alta densidad y la competencia de las malezas del sitio.
Literatura citada
Abdallah, IS; Abdelgawad, KF; El-Mogy, MM; El-Sawy, MB; Mahmoud, HA; Fahmy, MA. 2021. Weed control, growth, nodulation, quality and storability of peas as affected by pre-and postemergence herbicides. Horticulturae 7(9):307.
Balyan, R; Malik, R. 1989. Control of horse purslane (Trianthema portulacastrum) and barnyardgrass (Echinochloa crus-galli) in mung bean (Vigna radiata). Weed Science 37:695-699.
Braz, GB; Oliveira, RS; Constantin, J; Takano, HK; Chase, CA; Fornazza, FG; Raimondi, RT. 2015. Selection of herbicides targeting the use in crop systems cultivated with showy crotalaria. Planta Daninha 33(3):521-534.
Bressanin, FN; Giancotti, PRF; Neto, NJ; do Amaral, CL; da Alves, PL. 2015. Efficacy of herbicides solo in pre and post-emergence to control velvet bean. Revista Brasileira de Ciências Agrárias 10(3):426-431.
Buckles, D; Triomphe, B; Sain, G. 2002. Los Cultivos de Cobertura en la Agricultura de Laderas: Innovación de los Agricultores con Mucuna. Canada: Centro Internacional de Investigaciones para el Desarrollo (CIID), Centro Internacional de Mejoramiento de Maíz y Trigo (CIMMY). Turrialba, Costa Rica, Centro Agronómico Tropical de Investigación y Enseñanza (CATIE). 207 p.
Camper, N. 1986. Research Methods in Weed Science . 3a ed. Illinois, United States, Southern Weed Science Society. 420 p.
Carmona, A. 1991. Flex (fomesafen) and Cobra (lactofen): two products with potential for broadleaf weed control for leguminous covers in oil palm plantations. ASD Technical Bulletin. p. 1-5.
Castillo-Luna, MP; Gómez-Gómez, R. 2016. Efecto de la esterilización del suelo con vapor de agua sobre semillas de malezas”. Agronomía Mesoamerica 27:1-5.
Claudius-Cole, AO; Fawole, B; Asiedu, R; Coyne, DL. 2014. Management of Meloidogyne incognita in yam-based cropping systems with cover crops. Crop Protection 63:97-102.
Cullen, EM; Holm, KM. 2013. Aligning insect IPM programs with a cropping systems perspective: cover crops and cultural pest control in Wisconsin organic corn and soybean. Agroecology and Sustainable Food Systems 37(5):550-577.
Favero, C; Jucksch, I; Costa, LM; Alvarenga, RC; Neves, JCL. 2000. Crescimento e acúmulo de nutrientes por plantas espontáneas e por leguminosas utilizadas para adubacao verde. Revista Brasileira de Ciencia do Solo 24(1):171-177.
Hodgdon, EA; Warren, ND; Smith, RG; Sideman, RG. 2016. In-season and carry-over effects of cover crops on productivity and weed suppression. Agronomy Journal 108(4):1624-1635.
Jani, AD; Grossman, J; Smyth, TJ; Hu, S. 2016. Winter legume cover-crop root decomposition and N release dynamics under disking and roller-crimping termination approaches. Renewable Agriculture and Food Systems 31(03):214-229.
Martins, BH; Araujo-Junior, CF; Miyazawa, M; Vieira, KM; Milori, MBP. 2015. Soil organic matter quality and weed diversity in coffee plantation area submitted to weed control and cover crops management. Soil and Tillage Research 153:169-174.
Mendonca, EdS; Lima, PCd; Guimaraes, GP; Moura, WdM; Andrade, FV. 2017. Biological nitrogen fixation by legumes and N uptake by coffee plants. Revista Brasileira de Ciencia do Solo 41:1-10.
Piekarczyk, M; Wenda-Piesik, A; GaÅ, L; Kotwica, K. . 2020. Weed control in legumes with reduced doses of linuron and clomazone. Acta Scientiarum Polonorum Agricultura 19(3):157-164.
Plaza-Bonilla, D; Nolot, JM; Raffaillac, D; Justes, E. 2015. Cover crops mitigate nitrate leaching in cropping systems including grain legumes: field evidence and model simulations. Agriculture, Ecosystems & Environment 212:1-12.
Sancho, F; Cervantes, C. 1997. El uso de plantas de cobertura en sistemas de producción de cultivos perennes y anuales en Costa Rica. Agronomía Costarricense 21(1):111-120.
Silva, HAC; Malardo, MR; Monquero, PA; Da Silva, PV. 2018. Differential tolerance of crotalaria species to herbicides. Comunicata Scientiae 8(3):414-423.
Soltani, N; Shropshire, C; Sikkema, PH. 2020. Weed management in white beans with soil-applied grass herbicides plus halosulfuron. American Journal of Plant Sciences 11(12):1998-2011.
Wayman, S; Cogger, C; Benedict, C; Collins, D; Burke, I; Bary, A. 2015. Cover crop effects on light, nitrogen, and weeds in organic reduced tillage. Agroecology and Sustainable Food Systems 39(6):647-665.
Notas