Artículo
Received: 17 June 2024
Accepted: 30 July 2024
DOI: https://doi.org/10.15517/rac.v48i2.62467
Resumen: Introducción. La pérdida de suelo es un proceso natural y complejo, el cual se puede potenciar por condiciones climáticas y labores agrícolas como la mecanización. Una forma de suelo (muy poco conocida) se debe al sedimento adherido al producto al momento de la cosecha, el cual se pierde permanentemente de los sembradíos. La cuantificación de este sedimento es un factor adicional a la pérdida de suelo por erosión y los nutrientes que pueden perderse de una parcela. Objetivo. Cuantificar la pérdida de suelo por cosecha del cultivo en dos ciclos de cultivo de cebolla (Allium cepa L.) bajo tres implementos de labranza mecanizada. Materiales y métodos. Se establecieron parcelas (240 m2 cada una) en un diseño de bloques completos al azar, las cuales se sembraron con cebolla. Al momento de la cosecha del cultivo, se recolectó el sedimento adherido a la superficie de los bulbos y se estimaron los valores de pérdida de suelo para las parcelas evaluadas. Se realizaron análisis químicos de fertilidad, utilizando las metodologías KCl-Olsen y C/N total a los sedimentos obtenidos para calcular las pérdidas de nutrimentos y materia orgánica por labores de cosecha. Resultados y discusión. Se cuantificaron cantidades de sedimento entre 594,71 ± 471,93 y 1083,94 ± 78,45 kg ha-1 ciclo-1 que se pierde de los sembradíos de cebolla de forma irreversible. En adición, se pueden perder hasta 3,04 ± 0,27 kg de N, 0,15 ± 0,02 kg de P, y 1,16 ± 0,12 kg de K por hectárea por ciclo de cultivo. Conclusiones. Los resultados obtenidos son pioneros en el estudio de erosión y pérdida de suelo por cosecha del cultivo en Costa Rica, y pueden servir de referencia para futuros estudios de manejo y conservación de suelos.
Palabras clave: Pérdida de suelo por cosecha del cultivo, erosión del suelo, conservación de suelos, labranza mecanizada, materia orgánica, suelos derivados de cenizas volcánicas.
Abstract: Introduction. Soil loss is a natural and complex process that can be exacerbated by climatic conditions and agricultural practices such as tillage. One form of soil loss (which is not well-known) occurs due to sediment adhered to the product at harvest time, which is permanently lost from the fields. Quantifying this sediment is an additional factor to soil loss by erosion and the potential loss of nutrients from farmlands. Objective. To quantify the soil loss due to crop harvesting (SLCH) in two onion (Allium cepa L.) crop cycles under three mechanized tillage implements. Materials and methods. Field plots (240 m2 each) were established following a complete randomized block design, and further planted with onion. Sediment adhered to the surface of the bulbs at the time of harvest was collected, and SLCH values were estimated for the evaluated plots. Fertility analyses (chemical analysis extracted in KCl-Olsen and total C/N) were conducted on the obtained sediments to calculate the loss of nutrients and organic matter due to harvesting activities. Results and discussion. They were quantified sediment values between 594.71 ± 471.93 and 1083.94 ± 78.45 kg ha-1 cycle-1 that are irreversibly lost from the onion fields. Additionally, up to 3.04 ± 0.27 kg of N, 0.15 ± 0.02 kg of P, and 1.16 ± 0.12 kg of K per hectare per cycle can be lost. Conclusions. The results obtained are pioneering in the study of erosion and soil loss due to crop harvesting in Costa Rica and can serve as a reference for future soil management and conservation studies.
Keywords: Soil loss due to crop harvesting (SLCH), soil erosion, soil conservation, mechanized tillage, organic matter, volcanic ash-derived soils.
Introducción
El suelo es un recurso natural fundamental en los agroecosistemas, con múltiples funciones ecológicas dentro de las cuales destacan su rol conectivo con la atmosfera y su influencia sobre la biosfera; su capacidad de almacenamiento de energía y materia; en adición a su papel como un enorme reservorio de carbono (Hillel 1998, Lal 2012, Hartge et al. 2016).
El suelo es recurso de suma importancia a nivel agroecológico y económico, el cual es altamente vulnerable a la degradación y la pérdida irreversible del mismo (Lal 2001, Bertsch 2006), tanto por procesos naturales (como el potencial erosivo de la lluvia, la gravedad y el viento) (Vahrson 1990, Villatoro-Sánchez et al. 2015) como por procesos asociados a factores antrópicos, entre ellos, la labranza mecanizada (Lal 2019). En ese sentido, la labranza mecanizada (producto de sistemas agrícolas de producción intensiva) es un factor de suma importancia debido a su influencia directa sobre la magnitud de la pérdida de suelo que se asocia a los otros factores naturales anteriormente mencionados (Mehuys et al. 2009).
Dichos procesos erosivos ocurren comúnmente en suelos derivados de cenizas volcánicas (Andisoles), en especial en aquellos que se desarrollan en las posiciones de ladera y las cimas de los sitios elevados (Shoji et al. 1993, Alvarado et al. 2001). Estos suelos se extienden a lo largo de los países de Centro América, principalmente los que se localizan en las cercanías de los numerosos volcanes de la región (Alvarado et al. 2001, Alvarado 2022).
De forma general, los Andisoles son descritos en la literatura como suelos resistentes a los procesos erosivos, debido a sus propiedades físicas como altos contenidos de materia orgánica y materiales nano cristalinos, altas porosidades y tasas de infiltración que evitan los flujos erosivos por precipitación pluvial (Shoji et al. 1993, Zehetner y Miller 2006).
Sin embargo, bajo las condiciones climáticas tropicales imperantes en la región Centroamericana (Solano y Villalobos 2001, Alfaro 2002) las tasas de erosión reportadas para los Andisoles (tanto cuantificadas de forma experimental como calculadas con la ecuación universal de pérdida de suelo) pueden llegar a valores de hasta 76 Ton ha-1 año-1 (Lianes et al. 2009, Cerretelli et al. 2023); valores considerados como erosión severa según la clasificación propuesta por FAO (1979). Curiosamente, estas elevadas tasas de erosión incluyen principalmente el poder erosivo de la lluvia como agente causal, sin contemplar otros posibles mecanismos de erosión y remoción del suelo asociados a las actividades agrícolas, entre ellos, erosión por labranza mecanizada y la pérdida de suelo por cosecha del cultivo (Soil loss due to crop harvesting; SLCH).
La erosión por labranza mecanizada consiste en la masa de suelo que es removida y transportada por el implemento de labranza (apero) desde un sector del sembradío a otro durante las labores de mecanización y preparación del suelo (Govers et al. 1999). Este tipo de erosión depende en gran medida del valor de la pendiente del terreno y la dirección de la mecanización (es decir si esta se hace de forma perpendicular o paralela o a la pendiente), donde valores elevados de pendiente (15-35%) y con mecanización realizada a favor de la pendiente pueden acarrear cantidades significativas de sedimento (Mehuys et al. 2009). En Andisoles de la zona alta de Cartago, se han reportado tasas de erosión por labranza mecanizada de hasta 250 Ton ha-1 ciclo-1, cuando la mecanización se realiza a favor de pendiente con arado de disco (Tiessen et al. 2010).
Por otro lado, la pérdida de suelo por cosecha del cultivo (SLCH) es probablemente el mecanismo con menor reconocimiento dentro de los estudios de erosión y pérdida de suelo (Kuhwald et al. 2022). SLCH consiste en la pérdida de sedimentos, los cuales salen adheridos a la parte comercial del cultivo y salen de forma irreversible del sitio de siembra (Ruysschaert et al. 2004, Mwango et al. 2015, Oshunsanya et al. 2018, Kuhwald et al. 2022). Este mecanismo puede generar tasas de erosión de hasta 22 Ton ha-1 ciclo-1, y depende en gran medida de la morfología del cultivo, la densidad de siembra y el tipo de suelo en el que se establece el cultivo (Ruysschaert et al. 2004, Han-Qing et al. 2016, Kuhwald et al. 2022).
Los estudios sobre SLCH son bastante escasos (Kuhwald et al. 2022), y la gran mayoría de estos trabajos se centran en la pérdida de sedimentos. Un componente de suma importancia de la remoción de sedimentos que ocurre por este mecanismo es la pérdida irreversible de materia orgánica y elementos esenciales para el crecimiento vegetal que salen del sitio de siembra cada vez que se cosecha el cultivo (Mwango et al. 2015, Han-Qing et al. 2016).
A nivel Centroamericano, no se tienen reportes en la literatura de estudios sobre erosión de suelo que cuantifiquen las pérdidas asociadas a SLCH, y mucho menos las cantidades de nutrimentos y la materia orgánica que se pierden de forma irreversible del sitio de siembra. Para atender esta problemática se planteó la presente investigación, la cual tuvo como objetivo cuantificar la pérdida de suelo por cosecha del cultivo (SLCH) en dos ciclos de cultivo de cebolla (Allium cepa L.) bajo tres implementos de labranza mecanizada en Andisoles de las tierras altas de Cartago, Costa Rica.
Materiales y métodos
Sitio de estudio
El presente estudio se desarrolló en una finca dedicada a la producción de los cultivos de cebolla (Allium cepa L.) y papa (Solanum tuberosum L.) ubicada en el distrito de Tierra Blanca, cantón de Cartago (9°54’20” N; 83°52’24” O) a una elevación de 1973 msnm (Figura 1). Los suelos de la finca se clasificaron dentro del orden de los Andisoles, con un régimen de humedad ústico (Suborden Ustands), comúnmente clasificados dentro del Subgrupo taxonómico Typic Haplustands (Alvarado et al. 2001, Alvarado y Mata 2016).

La pendiente promedio del terreno (medida con un clinómetro Suunto® PM-5) fue de 10%, y el suelo en su horizonte superficial Ap presentó una textura franco-arcillosa, un contenido de materia orgánica promedio de 2,9%, un valor de densidad aparente de 1,13 Mg m-3 y un 52% de espacio poroso total antes del inicio del experimento. Más detalles sobre el sitio experimental se pueden consultar en el trabajo de Marín-Araya y Villatoro-Sánchez (2023).
Mecanización, siembra y manejo del cultivo
El experimento inició en mayo del 2019, cuando se sembró el primer ciclo de cebolla variedad “Álvara” durante el primer semestre del año, mientras que el segundo ciclo se sembró en abril del 2020 manteniendo la misma variedad.
Las parcelas establecidas con el cultivo de la cebolla recibieron tres fertilizaciones con fórmula N - P2O5 - K2O distribuidas según la etapa fenológica: 1) 12-24-12 30 días después del trasplante (ddt), 2) 12-11-18 a los 60 ddt, y 3) 19-4-19 a los 90 ddt, para un total de 173 kg de N, 59 kg P y 164 kg de K por hectárea por ciclo. También se realizaron prácticas de control de malezas mediante la aplicación de herbicidas premergentes: Pendimetalina (2 L ha-1) aplicado 2 días después del trasplante; Linurón (1 kg ha-1) y Oxiflouren (200 mL ha-1) ambos aplicados a los 30 días después del trasplante.
La labranza convencional para el cultivo de la cebolla consistió en un subsolado a 50 cm de profundidad en dirección transversal a la pendiente. Dicho subsolador se compuso de 7 picos, con 320 mm de espaciado entre picos, 1920 mm de largo y un peso de 530 kg, el cual se pasó a una velocidad de avance de 6 km h-1. Posteriormente se utilizó un arado de disco a favor de pendiente, con una velocidad de pase de 10 km h-1, y seguidamente se utilizó el rotador, a favor de pendiente para afinar el suelo. Estas operaciones de labranza fueron realizadas con un tractor Lamborghini® R3.105, con un peso de 4067 kg y una potencia máxima de 102 CV y 2300 rpm. El tractor no usaba ningún tipo de lastre en las llantas, taco de tipo R1 y presión de 40 psi. Finalmente se elaboraron los surcos por medio de un arado de vertedera de tipo universal tirado por un caballo (Figura 1A).
Se establecieron tres tratamientos de labranza mecanizada, donde se mantuvo el subsolado y arado inicial, pero reemplazando el rotador (RD) por una rastra rotativa (RR) o un palín mecánico (PM). Se mantuvo un tratamiento con rotador (el cual sirvió como control) para comparar con la labranza común que desarrolla el productor. Una descripción más detallada sobre los implementos de labranza empleados se puede encontrar en el trabajo realizado por Marín-Araya y Villatoro-Sánchez (2023).
El área de cada repetición (una parcela de 240 m2) fue cubierta por 2 a 3 pases adyacentes del implemento respectivo, la cantidad dependió del ancho de pase de cada uno de los implementos. En este caso, PM solamente necesitó 2 pases, mientras que RR y RD requirió de 3 pases.
Diseño experimental y muestreo
El diseño experimental utilizado en el presente ensayo fue de bloques completos al azar, con tres repeticiones para cada tratamiento de mecanización, con una parcela de 240 m2 como una unidad experimental. Las muestras para cuantificar la pérdida de sedimento como consecuencia de la cosecha del cultivo fueron colectadas al final de cada ciclo del cultivo de la cebolla (en el momento de la cosecha), y consistió en tomar el sedimento pegado alrededor de los bulbos de las cebollas cosechadas (Figura 2). Para esto se cosecharon 12 cebollas a lo largo de 1,25 m lineales, se sacudieron y el sedimento remanente fue colectado en una bolsa con la ayuda de una brocha (Figura 2). En este caso, se tomaron tres puntos al azar por parcela (para un total de 36 cebollas evaluadas) y se confeccionó una muestra compuesta por cada repetición (para un total de 9 muestras compuestas por ciclo). Para cada muestra recolectada, se determinó su peso en campo (g) mediante una balanza granataria portátil, y posteriormente se determinó su porcentaje de humedad gravimétrica (w) siguiendo los lineamientos de Topp y Ferré (2002) en el laboratorio de Recursos Naturales del Centro de Investigaciones Agronómicas de la Universidad de Costa Rica (CIA-UCR).

Las muestras compuestas fueron procesadas en el laboratorio de suelos y foliares del CIA-UCR. Se realizó un análisis químico completo (pH, acidez, Ca, Mg, K, P, Zn, Cu, Fe, Mn) donde se utilizó la solución extractora KCl - Olsen modificado (Díaz-Romeu y Hunter 1978), y se determinó el contenido de nitrógeno y carbono orgánico (CO) mediante un auto analizador de C por combustión seca (Horneck y Miller 1998).
El dato de materia orgánica (MO) se calculó a partir de los valores de C, multiplicando dichos valores por una constante de 1,43 para obtener el resultado de MO.
Adicionalmente, mediante muestras no alteradas (colectadas en cilindros) se determinó la densidad aparente del suelo en cada una de las unidades experimentales siguiendo los lineamientos de Grossman y Reinsch (2002).
Con los datos de peso de muestra en campo (Mw ) y su correspondiente porcentaje de humedad gravimétrica (w), se determinó la masa de sólidos (Ms ) mediante la siguiente ecuación:

Dichos valores de masa de sólidos permitieron calcular la masa de suelo que se pierde por la cosecha de la cebolla, y tomando en cuenta la densidad de plantas y el área de las parcelas, se pudo calcular la tasa de pérdida de sedimentos por ciclo (Ton ha-1 ciclo-1).
También, se calculó la cantidad de elementos (N, P, K, Ca, Mg, Fe, Cu, Zn, Mn) y MO que salen del sitio de siembra como sedimentos adheridos al bulbo, a partir de los valores de obtenidos de análisis químicos y la cantidad de sedimento mediante los siguientes procedimientos:
1) Se transformó la masa de sedimento (kg ha-1) en volumen (L ha-1) con la correspondiente densidad aparente del suelo (Mg m-3 o 1000 kg m-3) mediante la siguiente igualdad:

Esto con el objetivo de facilitar los cálculos, ya que los análisis químicos de suelo que se hacen de rutina en Costa Rica (Corrales et al. 2005) expresan los contenidos de elementos por unidad de volumen (cmol(+) L-1, mg L-1) o bien como un porcentaje total.
2) Si la concentración del elemento fue expresada en cmol(+) L-1 (Ca, Mg, K) se calculó la cantidad del elemento mediante su correspondiente masa equivalente (ME(g) ), que resultó de dividir su masa molar por la carga correspondiente. El cálculo final se realizó de esta forma:

3) Si la concentración (P, Fe, Cu, Zn, Mn) se expresó en unidades de ppm (mg L-1) se calculó la cantidad de elemento mediante la siguiente igualdad:

4) Si la concentración (N, MO) se expresó en unidades de porcentaje (%) se calculó la cantidad de elemento mediante la siguiente igualdad:

Análisis estadístico
Los resultados obtenidos fueron analizados mediante un modelo lineal generalizado (GLM), con una estructura factorial que incluyó los factores: Ciclo de cultivo (C), Implemento de labranza (I) y una interacción entre factores (C x I), con el bloque como factor aleatorio. Para la separación de medias se utilizó el método HSD-Tukey con un p-value<0,05. Se verificaron los supuestos de normalidad y homocedasticidad de varianzas a través de la inspección visual de la distribución de los residuos obtenidos de los modelos ajustados (normal QQ Wally plots y Wally plots) para las variables de respuesta evaluadas siguiendo los lineamientos descritos por Kozak y Piepho (2018).
Todos estos procedimientos anteriores se realizaron mediante el programa estadístico R Studio (R v. 4.0.4, 2021-02-15) “Lost Library Book” (R Studio Team 2015).
Resultados y discusión
Pérdida de suelo por cosecha del cultivo (SLCH) de cebolla en Andisoles
Un componente que se ha estudiado muy poco dentro de los procesos de erosión y pérdida de suelo en es la masa de sedimentos que se sale del suelo por la cosecha de cultivos hortícolas. Los resultados obtenidos para la pérdida de suelo por cosecha del cultivo (SLHC por sus siglas en inglés) en función de los implementos de labranza (Figura 3), muestran una tendencia a la reducción en la cantidad de sedimento con la rastra rotativa (0,60 ±0,47 Ton ha-1), seguida por el palín mecánico (0,87 ± 0,55 Ton ha-1), y el rotador (1,05 ± 0,46 Ton ha-1) siendo el tratamiento que registró mayor cantidad de sedimento adherido al bulbo, sin diferencias significativas entre los tres tratamientos evaluados (Tabla 1; Figura 3).


Una posible causa de esta tendencia fue un problema biótico que se presentó en un sector de la plantación. Debido al diseño del ensayo, una repetición con la rastra rotativa y otra repetición con el palín mecánico coincidieron con un sector donde las plantas presentaron clorosis, un crecimiento reducido y mortalidad (Figura 4). Esta condición afectó el tamaño de los bulbos y de forma indirecta, la cantidad de sedimento colectado en dichas unidades experimentales, en concordancia con lo reportado por Isabirye et al. (2007) donde menores rendimientos del camote (Ipomoea batatas L.) representaron menores cantidades de sedimentos perdidos como SLCH.

En el segundo ciclo de cultivo, la menor cantidad de sedimento colectado se obtuvo con el palín mecánico (0,94 ± 0,23 Ton ha-1), seguido por la rastra rotativa (0,99 ± 0,26 Ton ha-1) y el rotador (1,08 ± 0,08 Ton ha-1). Tampoco se presentaron diferencias significativas entre los implementos de labranza (p > 0,05) para este ciclo de cultivo (Tabla 1; Figura 3).
En un estudio realizado en las tierras altas de Tanzania (1400-1600 msnm), Mwango et al. (2015) reportaron pérdidas de sedimentos por la cosecha de cebolla de hasta 3,0 Ton ha-1 ciclo-1 cultivadas en Entisoles y Ultisoles, mientras que Antoneli et al. (2021) obtuvieron valores de 3,35 Ton ha-1 ciclo-1 en Ultisoles de las montañas de Papuã en Paraná, Brasil. Todos estos valores mencionados fueron superiores a los máximos obtenidos en el presente estudio (1,05-1,08 Ton ha-1 ciclo-1) en los Andisoles de Tierra Blanca de Cartago. Estas diferencias se deben probablemente a un menor contenido de arcilla en texturas francas o franco arenosas características de los Andisoles (Alvarado et al. 2001), las cuales exhiben una menor expresión de las fuerzas de adhesión y cohesión de las partículas del suelo (Nanzyo et al. 1993), y por ende una menor cantidad de sedimento adherido al bulbo de la cebolla en comparación con suelos de texturas arcillosas (Antoneli et al. 2021).
Aunque no se encontró diferencias significativas entre los implementos de labranza evaluados, los valores obtenidos de SLCH fueron similares a los resultados de otros trabajos en donde la labranza y el cultivo presentan un efecto importante sobre la cantidad final de sedimento perdido por labores de cosecha, incluyendo el sedimento adherido al producto (Ruysschaert et al. 2004, 2006, y 2007, Thomaz y Bereze 2021, Kuhwald et al. 2022).
Una mayor alteración del suelo por labranza mecanizada podría tener un efecto en la cantidad de sedimento adherido al bulbo de la cebolla, el cual se podría atribuir a dos posibles causas: 1) un incremento en la densidad de los pelos radicales, y 2) un aumento en el rendimiento del cultivo (Oshunsanya et al. 2018). En ese sentido, la labranza modifica la estructura del suelo e incrementa la porosidad al separar los agregados, creando espacios que facilitan el crecimiento y desarrollo radicular (Büchi et al. 2017). Dicho incremento en la cantidad de raíces permite una mayor cantidad de partículas de suelo adheridas al cultivo (Oshunsanya et al. 2018); lo cual no se vio reflejado en los resultados obtenidos en presente estudio.
Pérdida de nutrimentos por la cosecha del cultivo de cebolla
Uno de los mayores impactos de la erosión del suelo es la pérdida irreversible de elementos esenciales para el crecimiento vegetal (Bertsch 1995, Alewell et al. 2020). Los sedimentos que salen del sembradío llevan consigo una cantidad importante de nutrimentos, los cuales pueden encontrarse en distintas formas: 1) nutrimentos intercambiables (adsorbidos a las partículas coloides) y 2) nutrimentos en cantidades totales (en este caso, las intercambiables y no intercambiables).
Los valores obtenidos para N, P, y K se detallan en la Figura 5. No se encontró diferencias significativas asociadas a los factores Ciclo (C), Implemento (I), o su interacción (C x I) para los contenidos de N, mientras que los elementos P y K presentaron diferencias asociadas solamente al factor C (Tabla 2; p-value <0,05). Estas diferencias se pudieron asociar con la variabilidad en la temperatura, la evapotranspiración y la precipitación pluvial en ambos ciclos de cultivo, donde observó un incremento en la magnitud de las lluvias durante los meses de mayo, junio y septiembre del segundo ciclo de cultivo (Figura 6), lo cual pudo haber tenido un efecto en el crecimiento de la cebolla y la dinámica de los elementos en el suelo, lo que de forma indirecta podría afectar la cantidad de sedimento adherido al bulbo.
En un ciclo de cultivo de cebolla, se pueden perder hasta 3,04 ± 0,27 kg de N, 0,15 ± 0,02 kg de P, y 1,16 ± 0,12 kg de K por hectárea (Figura 5). Un aspecto importante para considerar es la naturaleza de dichas cantidades, donde el N corresponde a una cantidad total, mientras que el P y K corresponden solamente a la fracción intercambiable (extraída con KCl-Olsen; Bertsch et al. 2005), por lo que las pérdidas de P y K como SLCH podrían ser significativamente mayores.



Al respecto, Fallas-Corrales (2013) encontró contenidos totales de P en cinco Andisoles de Costa Rica entre 760 - 2009 mg kg-1 P, lo que podría representar una pérdida total entre 1,48 - 3,93 kg ha-1 ciclo-1 de P (10 - 26 veces más que los obtenidos en el presente estudio) si se considera en el cálculo los valores máximos de sedimentos obtenidos en las parcelas de cebolla evaluadas en ambos ciclos. De forma similar al P, las cantidades de K que se podrían perder como sedimentos durante la cosecha de cebolla podrían ser hasta 3 - 8 veces mayores (3,07 - 9,58 kg ha-1 ciclo-1 de K, si consideramos los contenidos totales de K en los Andisoles, como los reportados por Molina et al. (1986) para seis Andepts de Costa Rica (actualmente Andisoles) los cuales variaron entre 1575 - 4250 mg k kg-1.
Los resultados obtenidos para el Ca y el Mg se detallan en la Figura 7. No se encontraron diferencias significativas asociadas al implemento de labranza, el ciclo de cultivo o su interacción para el Ca, mientras que en el caso del Mg se observó diferencias significativas asociadas al factor ciclo de cultivo (Tabla 2; p-value <0,05). Se encontró valores máximos de pérdida de nutrimentos por cosecha para estos dos elementos de hasta 2,28 ± 0,07 kg de Ca y 0,33 ± 0,02 kg de Mg por hectárea por ciclo.

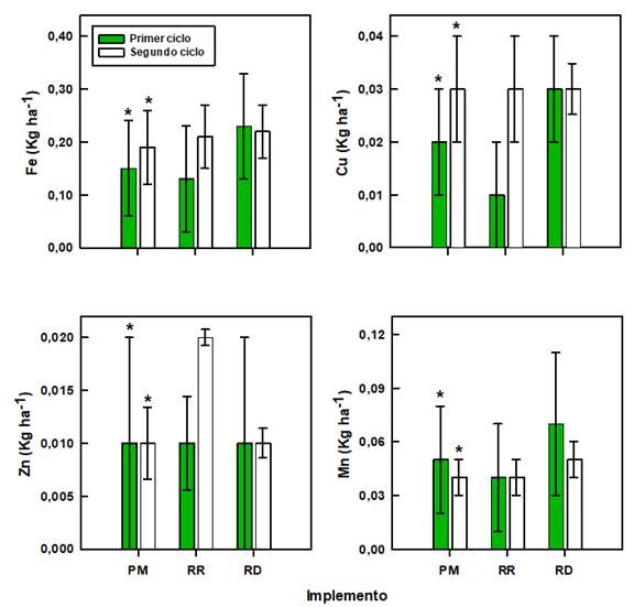
Finalmente, las cantidades de Fe, Cu, Zn y Mn que se pierden por labores de cosecha se resumen en la Figura 8. No se encontraron diferencias significativas asociadas al implemento de labranza, el ciclo de cultivo o su interacción para los cuatro microelementos (Tabla 3; p-value >0,05). Se encontró valores máximos de pérdida de hasta 0,23 ± 0,10 kg de Fe, 0,03 ± 0,01 kg de Cu, 0,02 ± 0,01 kg de Zn y 0,07 ± 0,04 kg de Mn por hectárea por ciclo de cultivo de la cebolla. Dichos valores resultaron significativamente más bajos comparación con los obtenidos para el N, K, y Ca (Figuras 5 y 7). Sin embargo, estas cantidades representan la fracción intercambiable de los elementos en el suelo (Bertsch et al. 2005), por lo que es esperar que la pérdida total sea aún mayor.


Pérdida de materia orgánica por labores de cosecha del cultivo de cebolla
Comúnmente, la pérdida de suelo por procesos erosivos (naturales y antrópicos) se asocia con la pérdida de la capa más fértil que es capaz de sustentar la producción agrícola. Sin embargo, un componente normalmente olvidado en los estudios de erosión y pérdida de suelo es el contenido de materia orgánica (MO) que se pierde por estos fenómenos, promovido en gran medida por la conversión de ecosistemas a agroecosistemas (Lal 2019).
En el presente estudio, se cuantificó las pérdidas totales de la materia orgánica que salen del sembradío por la cosecha. Las cantidades de materia orgánica obtenidos se detallan en la Figura 9. No se encontró diferencias significativas asociadas a los dos factores evaluados y su interacción (Tabla 4; p-value > 0,05).


En un ciclo de cebolla se puede perder valores de MO entre 20,43 ± 16,61 y 39,06 ± 4,21 kg de materia orgánica por hectárea (Figura 9), donde dichos valores representan respectivamente 0,02 y 0,04% de la MO total cuantificada en los primeros 20 cm de profundidad de este suelo. Pese a que estas cantidades se pudiesen considerar como muy bajas, dicha pérdida repercute no solamente en la pérdida de materia total del suelo, sino también en el componente fertilidad de suelo (Bertsch 1995), así como en propiedades físicas como el desarrollo y estabilidad de los agregados estructurales del suelo, su porosidad y subsecuentes fenómenos de retención y conducción de agua, así como la aireación del suelo (Hartge et al. 2016).
Muchos de los estudios sobre pérdida de suelo por cosecha del cultivo (SLCH) se enfocan en la pérdida de masa como sedimentos que salen adheridos al cultivo (Ruysschaert et al. 2007, Mwango et al. 2015, Oshunsanya et al. 2018, Antoneli et al. 2021, Thomaz y Bereze 2021, Kuhwald et al. 2022), sin contemplar la posible salida no solamente de nutrimentos sino de materia orgánica de los sitios de siembra y sus implicaciones en la calidad y salud del suelo, por lo cual no se tienen valores de comparación con los obtenidos en el presente estudio.
Sin embargo, las pérdidas de carbono orgánico del suelo (SOC) por procesos erosivos son considerables, alcanzando valores globales de hasta 5,7 Pg año-1 (5,7 x 1015 g año-1) los cuales contribuyen de forma significativa tanto a la degradación del suelo como a las emisiones de CO2 a la atmósfera (Lal 2019).
Un aspecto importante por considerar es el papel de la materia orgánica en la génesis de los Andisoles, donde la interacción entre la materia orgánica y minerales nano cristalinos como la alofana, imogolita y ferrihidrita produce complejos órgano-minerales resistentes a la degradación y descomposición, lo que resulta en la estabilización de dicha materia orgánica (Shoji et al. 1993, Buol et al. 2011). Por tanto, la pérdida de estos materiales orgánicos (sujeta a cambios en otros factores formadores como el clima) podría repercutir en los procesos pedogenéticos y la evolución del suelo hacia taxones más alterados como Inceptisoles, Alfisoles, Ultisoles y Oxisoles (Shoji et al. 1993), reduciendo gradualmente la capacidad potencial de producción hortícola en las tierras altas de Cartago.
Implicaciones del SLCH en el manejo y conservación del recurso suelo en Costa Rica
Los Andisoles son el tercer grupo taxonómico más abundante a nivel nacional, con una cobertura del 15,9% de la superficie del país (Mata et al. 2020). Debido a sus propiedades física particulares (texturas francas, baja densidad aparente) son suelos muy fáciles de mecanizar, lo cual incrementa la susceptibilidad a la pérdida por erosión hídrica y eólica (Buol et al. 2011). Aparte del poder erosivo de la lluvia (Vahrson 1990), la erosión por labranza es un fenómeno de suma importancia en suelos derivados de cenizas volcánicas, con un potencial de remoción del suelo considerable (hasta 192 kg m-1) en sitios cuya pendiente se encuentre entre 5 - 35% (Mehuys et al. 2009).
En el presente trabajo se determinaron cantidades significativas de suelo removido del sembradío por cosecha de cebolla (entre 0,59 ± 0,47 y 1,08 ± 0,078 Ton ha-1 ciclo-1), las cuales podrían representar un aporte importante a las actuales tasas de erosión reportadas para Andisoles de la zona alta de Cartago, las cuales varían entre 0,7 y 14 Ton ha-1 ciclo-1 (Castillo 2012) considerándose como erosión ligera a moderada según la clasificación propuesta por FAO (1979). No obstante, en esta región se han obtenido tasas elevadas de erosión pluvial, superiores a 50 Ton ha-1 año-1 (Lianes et al. 2009), y valoraciones de erosión moderadas a severas (Ramírez et al. 2008). Sin embargo, dichas tasas no incluyen ni el aporte de la erosión por labranza mecanizada (Mehuys et al. 2009, Tiessen et al. 2010) o el sedimento exportado por la cosecha del cultivo de la cebolla (Antoneli et al. 2021).
Los resultados de SLCH obtenidos en el presente estudio son pioneros no solamente en Costa Rica, sino también a un nivel regional más amplio (América Central y el Caribe), en los cuales se cuantifica no solamente la pérdida de sedimento adherido al bulbo de la cebolla, sino también la pérdida de materia orgánica y elementos esenciales que se pierden de forma irreversible del sembradío; una información novedosa y útil en comparación con los estudios tradicionales de SLCH (Oshunsanya et al. 2018, Antoneli et al. 2021, Thomaz y Bereze 2021, Kuhwald et al. 2022).
Estos valores tienen serias implicaciones en el potencial agrícola de los Andisoles, ya que la pérdida de sedimentos por procesos erosivos no solamente genera una pérdida de la masa de la capa arable, sino también la salida irreversible de enormes cantidades de nutrimentos tanto adicionados como fertilizante como los contenidos naturales en el suelo, visibilizando la problemática de los procesos de erosión en la degradación del suelo y sus implicaciones en la agricultura y el medio ambiente (Lal 2001). Esto anterior resulta de suma importancia para el manejo de los Andisoles, ya que estos suelos que cubre una gran cantidad del paisaje agrícola del territorio Centroamericano (Buol et al. 2011, Alvarado 2022).
En adición a las prácticas recomendadas para el manejo y conservación del suelo en la zona alta de Cartago (Ramírez et al. 2008, Lianes et al. 2009, Mehuys et al. 2009), se debe explorar soluciones para evitar la salida del sedimento de la finca por la cosecha del cultivo. Por ejemplo, evaluar la factibilidad del lavado del bulbo in situ previo al secado de la cebolla, impidiendo que los sedimentos salgan del sitio de siembra.
Esto anterior representa una gran ventada de oportunidad para el desarrollo de estudios sobre erosión por SLCH, en adición a estudios más complejos que involucren el aporte de la erosividad de la lluvia (Vahrson 1990) o la pérdida de suelo por labranza mecanizada (Mehuys et al. 2009, Marín-Araya 2022), los cuales no solamente visibilicen esta problemática sobre la degradación de los suelos en la zona alta de Cartago, sino también desarrollen soluciones prácticas para la mitigación de esta problemática, incluyendo a otros cultivos de importancia hortícola en la región como la papa (Solanum tuberosum L.) y la zanahoria (Daucus carota subsp. Sativus Hoffm.).
En adición, se debería considerar otras posibles estrategias de manejo y conservación de suelos, como la rotación de cultivos con especies de la familia Poaceae. Estos sistemas de rotación han demostrado tener efectos positivos en las propiedades físicas del suelo, mejorando la estructuración e incrementando el contenido de carbono y otros nutrimentos esenciales (Zani et al. 2020), así como la mitigación de la erosión de suelos en sistemas agrícolas (Boincean y Dent 2019).
Conclusiones
Bajo las condiciones agroclimáticas de las tierras altas de Cartago, se pueden perder cantidades de sedimentos (adheridos al bulbo) de entre 0,6 y 1,1 Ton ha-1 en un ciclo de cultivo de cebolla, de forma indiferente del implemento de labranza que se utilice para preparar el terreno previo a la siembra del cultivo. Dichas cantidades podrían incrementar si se realiza más de dos ciclos de producción de cebolla por año.
En esos sedimentos que salen por cosecha del cultivo (SLCH), se pueden perder macronutrientes, microelementos, y materia orgánica (MO) los cuales salen del sitio de siembra de forma irreversible. En el caso del N y el K, pueden salir respectivamente cantidades de hasta 3 y 1,2 kg ha-1 ciclo-1, y la salida de MO puede llegar a valores de 39 kg ha-1 ciclo-1.
Un aspecto importante para la interpretación de estas cantidades perdidas es la naturaleza del análisis químico de laboratorio que se realizó al sedimento, ya que si se solamente se analiza cantidades intercambiables (con soluciones extractoras KCl-Olsen o Mehlich III), las pérdidas de nutrimentos por cosecha del cultivo pueden ser considerablemente más grandes (hasta 10 veces mayores).
Se recomienda continuar con este tipo de estudios sobre SLCH no solamente en el cultivo de cebolla, sino también en otros cultivos hortícolas como la papa y la zanahoria, explorando otras metodologías de análisis químico que permitan cuantificar las cantidades totales de elementos en los sedimentos colectados.
Agradecimientos
A Don Roberto Aragón Sánchez y al Ing. Agr. Roberto Aragón Soto por la colaboración para hacer posible la ejecución del proyecto y por ayudar con los diferentes implementos.
Literatura citada
Alewell, C; Ringeval, B, Ballabio, C; Robinson, DA; Panagos, P; Borrelli, P. 2020. Global phosphorus shortage will be aggravated by soil erosion. Nature Communications 11(1):4546.
Alfaro, EJ. 2002. Some characteristics of the annual precipitation cycle in Central America and their relationships with its surrounding tropical oceans. Tópicos Meteorológicos y Oceanográficos 9(2):88-103.
Alvarado, A. 2022. Suelos de Centroamérica. San José, Costa Rica, Editoriales Universidades Públicas Costarricenses. 362 p.
Alvarado, A; Bertsch, F; Bornemisza, E; Cabalceta, G; Forsythe, W; Henríquez, C; Mata RA; Molina, E; Salas, R. 2001. Suelos derivados de cenizas volcánicas (Andisoles) de Costa Rica. San José, Costa Rica, Asociación Costarricense de la Ciencia del Suelo y Centro de Investigaciones Agronómicas-Universidad de Costa Rica. 111 p.
Alvarado, A; Mata, R. 2016. Soils of Costa Rica: an agroecological approach. Chapter 4. In Kappelle M (ed.). Costa Rican Ecosystems. Chicago, USA, University of Chicago Press. p. 64-93.
Antoneli, V; de Paula, EC; Bednarz, JA; Rodrigo-Comino, J; Cerdà, A; Pulido, M. 2021. Soil and water losses along the cultivation cycle of onion in Irati, Brazil. Catena 204:105439.
Bertsch, F. 1995. La fertilidad de los suelos y su manejo. San José, Costa Rica, Asociación Costarricense de la Ciencia del Suelo. 164 p.
Bertsch, F. 2006. El recurso tierra en Costa Rica. Agronomía Costarricense 30(1):133-156.
Bertsch, F; Bejarano, JA; Corrales, M. 2005. Correlación entre las soluciones extractoras KCl-Olsen modificado y Mehlich 3, usadas en los laboratorios de suelos de Costa Rica. Agronomía Costarricense 29(3):137-142.
Boincean, B; Dent, D. 2019. Crop Rotation. In Farming the Black Earth. Springer, Cham, Switzerland. DOI: https://doi.org/10.1007/978-3-030-22533-9_5
Büchi, L; Wendling, M; Amossé, C; Jeangros, B; Sina, S; Charles, R. 2017. Long and short term changes in crop yield and soil properties induced by the reduction of soil tillage in a long term experiment in Switzerland. Soil and Tillage Research 174:120-129. DOI: https://doi.org/10.1016/j.still.2017.07.002
Buol, SW; Southard, RJ; Graham, RC; McDaniel, PA. 2011. Soil genesis and classification. 6 ed. Chichester, UK, John Wiley & Sons. p. 543.
Castillo, M. 2012. Determinación y cuantificación de la tasa de erosión en un ciclo del cultivo de papa en la zona de Pacayas de Alvarado, Cartago. Tesis Lic. Sede Regional de Turrialba, Universidad de Costa Rica, Turrialba, Costa Rica. 111 p.
Cerretelli, S; Castellanos, E; González-Mollinedo, S; Lopez, E; Ospina, A; Haggar, J. 2023. A scenario modelling approach to assess management impacts on soil erosion in coffee systems in Central America. Catena 228:107182.
Corrales, M; Bertsch, F; Bejarano, JA. 2005. Los laboratorios de análisis de suelos y foliares en Costa Rica: Informe del comité de laboratorios de análisis de suelos, plantas y aguas. Agronomía Costarricense 29(3):125-135.
Díaz-Romeu, R; Hunter, A. 1978. Metodología de muestreo de suelo, análisis químico de suelos y tejido vegetal y de investigación en invernadero. Turrialba, Costa Rica, CATIE. 61 p.
Fallas-Corrales, RA. 2013. Avaliação e calibração de extratores de fósforo em três diferentes ordens de solo da Costa Rica. Tesis M.Sc. Piracicaba, Brasil, Universidade de Sao Paulo. 100 p.
FAO (Food and Agriculture Organization). 1979. A provisional methodology for soil degradation assessment. Rome, Italy. s. p.
Govers, G; Lobb, D; Quine, T. 1999. Tillage erosion and translocation: emergence of a new paradigm in soil erosion research. Soil and Tillage Research 51:167-174.
Grossman, RB; Reinsch, TG. 2002. 2.1 Bulk Density and Linear Extensibility. In Dane, JH; Topp, GC (eds.). Methods of soil analysis, part 4 - physical methods. Madison, Wisconsin, USA, Soil Science Society of America. p. 201-228. DOI: https://doi.org/10.2136/sssabookser5.4.c9
Han-Qing, YU; Li, Y; Zhou, N; Chappell, A; Li, X-Y; Poesen, J. 2016. Soil nutrient loss due to tuber crop harvesting and its environmental impact in the North China Plain. Journal of Integrative Agriculture 15(7):1612-1624.
Hartge, KH; Horn, R; Horton, R; Bachmann, J; Peth, S. 2016. Essential soil physics. An introduction to soil processes, structure, and mechanics. Stuttgart, Germany, Schweizerbart Science Publishers. s. p.
Hillel, D. 1998. Environmental soil physics. San Diego, CA, Academic Press. 771 p.
Horneck, DA; Miller, RO. 1998. Determination of total nitrogen in plant tissue. In Kalra, YP (ed.). Handbook of reference methods for plant analysis. Boca Raton, FL, Soil and Plant Analysis Council Inc. and CRC Press. p. 75-83.
Isabirye, M; Ruysschaert, G; Poesen, J; Magunda, MK; Deckers, J. 2007. Soil losses due to cassava and sweet potato harvesting: a case study from low input traditional agriculture. Soil and Tillage Research 92(1-2):96-103.
Kozak, M; Piepho, HP. 2018. What's normal anyway? Residual plots are more telling than significance tests when checking ANOVA assumptions. Journal of Agronomy and Crop Science 204(1):86-98. DOI: https://doi.org/10.1111/jac.12220
Kuhwald, M; Busche, F; Saggau, P; Duttmann, R. 2022. Is soil loss due to crop harvesting the most disregarded soil erosion process? A review of harvest erosion. Soil and Tillage Research 215:105213. DOI: https://doi.org/10.1016/j.still.2021.105213
Lal, R. 2001. Soil degradation by erosion. Land Degradation & Development 12(6):519-539.
Lal, R. 2012. Climate change and soil degradation mitigation by sustainable management of soils and other natural resources. Agricultural Research 1:199-212.
Lal, R. 2019. Accelerated soil erosion as a source of atmospheric CO2. Soil and Tillage Research 188:35-40. DOI: https://doi.org/10.1016/j.still.2018.02.001
Lianes, E; Marchamalo, M; Roldán, M. 2009. Evaluación del factor C de la RUSLE para el manejo de coberturas vegetales en el control de la erosión en la cuenca del río Birrís, Costa Rica. Agronomía Costarricense 33(2):217-235. DOI: https://doi.org/10.15517/rac.v33i2.6722
Marín-Araya, S. 2022. Valoración de la erosión en el suelo mediante fotogrametría bajo el uso de tres implementos de labranza en cebolla, Tierra Blanca de Cartago. Tesis M.Sc. Programa de Posgrado en Ciencias Agrícolas y Recursos Naturales con énfasis en Suelos. Costa Rica, Universidad de Costa Rica. 118 p.
Marín-Araya, S; Villatoro-Sánchez, M. 2023. Efecto de tres implementos de labranza sobre propiedades físicas de un suelo Andisol en Tierra Blanca, Cartago. Agronomía Costarricense 47(2):95-110. DOI: http://dx.doi.org/10.15517/rac.v47i2.56135
Mata, R; Rosales, A; Sandoval, D; Vindas E; Alemán, B. 2020 Mapa de suelos de Costa Rica (Ordenes) Centro de Investigaciones Agronómicas. Universidad de Costa Rica. Escala 1:200.000. San José, Costa Rica.
Mehuys, GR; Tiessen, KH; Villatoro, M; Sancho, F; Lobb, DA. 2009. Erosión por labranza con arado de disco en suelos volcánicos de ladera en Costa Rica. Agronomía Costarricense 33(2):205-215.
Molina, E; Bertsch, F; Cordero, A; Alvarado, A. 1986. Potasio en Andepts de Costa Rica. I. Formas en el suelo. Turrialba 36(3):281-288.
Mwango, SB; Msanya, BM; Mtakwa, PW; Kimaro, DN; Deckers, J; Poesen, J; Lilanga, S; Sanga, R; Mujib, A. 2015. Soil Loss due to Crop Harvesting in Usambara Mountains, Tanzania: The Case of Carrot, Onion and Potato. International Journal of Plant & Soil Science 4(1):18-28. DOI: https://doi.org/10.9734/IJPSS/2015/12479
Nanzyo, M; Shoji, S; Dahlgren, R. 1993. Physical characteristics of volcanic ash soils. In Shoji, S; Nanzyo, M; Dahlgren, SR (eds.). Volcanic ash soils: Genesis, properties and utilization. Developments in Soil Science (21). Amsterdam, The Netherlands. Elsevier. p. 189-208.
Oshunsanya, S; Yu, H; Li, Y. 2018. Soil loss due to root crop harvesting increases with tillage operations. Soil & Tillage Research 181:93-101. DOI: https://doi.org/10.1016/j.still.2018.04.003
R Studio Team. 2015. R Studio: Integrated Development for R. Boston: R Studio. Consultado 23 mar. 2024. Disponible en Inc. http://www.rstudio.com
Ramírez, L; Alvarado, A; Pujol, R; Brenes, LG. 2008. Caracterización física de la cuenca media del Río Reventado, Cartago, Costa Rica. Agronomía Costarricense 32(2):73-92.
Ruysschaert, G; Poesen, J; Verstraeten, G; Govers, G. 2004. Soil loss due to crop harvesting: Signficance and determining factors. Progress in Physical Geography 28(4):467-4501. DOI: https://doi.org/10.1191/0309133304pp421oa
Ruysschaert, G; Poesen, J; Verstraeten, G; Govers, G. 2006. Soil losses due to mechanized potato harvesting. Soil and Tillage Research 86(1):52-72. DOI: https://doi.org/10.1016/j.still.2005.02.016
Ruysschaert, G; Poesen, J; Verstraeten, G; Govers, G. 2007. Soil loss due to harvesting of various crop types in contrasting agro-ecological environments. Agriculture, ecosystems & environment 120(2-4):153-165. DOI: https://doi.org/10.1016/j.agee.2006.08.012
Shoji, S; Dahlgren, R; Nanzyo, M. 1993. Genesis of volcanic ash soils. In Shoji, S; Nanzyo, M; Dahlgren, SR (eds.). Volcanic ash soils: Genesis, properties and utilization. Developments in Soil Science (21). Amsterdam, The Netherlands, Elsevier. p. 37-72.
Solano, J; Villalobos, R. 2001. Aspectos fisiográficos aplicados a un bosquejo de regionalización geográfico climático de Costa Rica. Tópicos Meteorológicos y Oceanográficos 8(1):26-39.
Thomaz, EL; Bereze, J. 2021. Soil loss due to crop harvest in Southern Brazil: effect of potato morphology. Plant and Soil 468(1):67-76. DOI: https://doi.org/10.1007/s11104-021-05114-5
Tiessen, KHD; Sancho, F; Lobb, DA; Mehuys, GR. 2010. Assessment of tillage translocation and erosion by the disk plow on steepland Andisols in Costa Rica. Journal of Soil and Water Conservation 65(5):316-328.
Topp, G; Ferré, P. 2002. The soil solution phase. In Dane, JH; Topp, C (eds.). Methods of soil analysis: Part 4 Physical Methods, 5.4. SSSA, Madison, Wisconsin. p. 417-545.
Vahrson, WG. 1990. El potencial erosivo de la lluvia en Costa Rica. Agronomía Costarricense 14(1):15-24.
Villatoro-Sánchez, M; Le Bissonnais, Y; Moussa, R; Rapidel, B. 2015. Temporal dynamics of runoff and soil loss on a plot scale under a coffee plantation on steep soil (Ultisol), Costa Rica. Journal of Hydrology 523:409-426. DOI: https://doi.org/10.1016/j.jhydrol.2015.01.058
Zani, CF; Gowing, J; Abbott, GD; Taylor, JA; Lopez‐Capel, E; Cooper, J. 2020. Grazed temporary grass‐clover leys in crop rotations can have a positive impact on soil quality under both conventional and organic agricultural systems. European Journal of Soil Science 72(4):1513-1529. DOI: https://doi.org/10.1111/ejss.13002
Zehetner, F; Miller, WP. 2006. Erodibility and runoff-infiltration characteristics of volcanic ash soils along an altitudinal climosequence in the Ecuadorian Andes. Catena 65(3):201-213. DOI: https://doi.org/10.1016/j.catena.2005.10.003