Artículo
Potencial hídrico y contenido del agua en el suelo: métodos de análisis disponibles y sus implicaciones en el manejo de los recursos suelo y agua
Review: soil water potential and content: a concise review of their methods of analysis and implications within soil and water management
Potencial hídrico y contenido del agua en el suelo: métodos de análisis disponibles y sus implicaciones en el manejo de los recursos suelo y agua
Agronomía Costarricense, vol. 48, no. 2, pp. 169-200, 2024
Universidad de Costa Rica. Colegio de Ingenieros y Agrónomos. Ministerio de Agricultura y Ganadería
Received: 05 January 2024
Accepted: 24 April 2024
Resumen: Introducción. En la actualidad, los sistemas agropecuarios y forestales se han visto fuertemente afectados por la variabilidad de los fenómenos climáticos, entre ellos El Niño Oscilación Sur (ENOS). Debido a estas circunstancias, un manejo adecuado y eficiente de los recursos naturales como el suelo y agua resulta imperativo para garantizar una producción sostenible. Para ello, el estudio de las variables físicas del suelo, tales como el contenido del agua en el suelo y su correspondiente estado energético (potencial hídrico total) es fundamental. Objetivo. Describir las principales metodologías para la determinación del contenido de agua y el potencial hídrico en el suelo, así como las potenciales implicaciones de la selección de un método en el manejo de los recursos naturales (agua y suelo). Metodología. En la determinación del contenido de agua en el suelo se hizo referencia a los métodos de determinación directa como el análisis gravimétrico y a otras metodologías indirectas que utilizan las propiedades electromagnéticas del suelo para inferir su contenido de agua. En la evaluación y determinación del potencial hídrico se abordaron los métodos que se realizan tanto en condiciones de campo como en el laboratorio. En el caso de las determinaciones en laboratorio se dividieron según el rango de medición desde valores altos de potencial (cercanos al suelo húmedo; tensiones < 0,1 MPa) hasta valores de potencial muy bajos (cercanos al suelo seco; 0,1 - 1,5 MPa de tensión). Análisis. Se contrastaron las distintas metodologías en función de sus fortalezas, limitaciones, así como su potencial uso en sistemas agrícolas. Conclusión. Una adecuada selección de los métodos de análisis para estas dos variables físicas del suelo resulta fundamental para gestionar eficazmente los recursos suelo y agua, generando a su vez un impacto positivo en la productividad y sostenibilidad de los sistemas agrícolas, forestales y los servicios ecosistémicos asociados.
Palabras clave: Física de suelos, hidrología, riego y drenaje, gestión de recursos naturales, metrología.
Abstract: Introduction. Currently, agricultural and forestry systems have been strongly affected by the variability in climatic phenomena such as El Niño Southern Oscillation (ENSO). Due to these circumstances, a proper and efficient management of natural resources like soil and water becomes mandatory to attain sustainability. Therefore, the study of soil physical properties such as soil water content and its corresponding energy state (known as water potential) is fundamental. Objective. To describe the main methodologies employed to determine soil water content and soil water potential, as well as the selection criteria and its possible implications in natural resources (soil and water) management. Methods. Within soil water content, we refer to direct methodologies such as gravimetric measurements, as well as indirect methods based on the assessment of soil electromagnetic properties. Meanwhile, methods to determine soil water potential can be separated as field and laboratory measurement methods. Within the last methods, they can be categorized depending on the range of measurement, being those high-water potential values (close to wet soil state; tension < 0.1 MPa) and low-water potential values (close to dry soil state; 0.1 - 1.5 MPa tension). Analysis. All these aforementioned methodologies were contrasted by their strengths, weaknesses, as well as its potential use within different agricultural systems. Conclusion. A proper choosing of methods for analysis of both soil physical properties becomes fundamental for a proper management of soil and water resources, impacting positively the productivity and sustainability of agriculture and forestry systems, and their associated ecosystemic services.
Keywords: Soil physics, hydrology, irrigation and drainage, natural resources management, metrology.
Introducción
Dentro de los diversos ecosistemas terrestres se destaca al suelo como un recurso natural esencial y un elemento fundamental en el ciclo hidrológico (Hartge et al. 2016). Este cuerpo natural, compuesto de partículas, poroso y heterogéneo se considera una membrana que cubre la superficie del planeta y cumple diversas funciones específicas (Hillel 1998). Entre ellas destacan la interacción con la atmosfera del planeta y sus fenómenos, el almacenamiento de energía, agua, y componentes biogeoquímicos, así como el papel de acervo genético de gran cantidad de especies y un medio de reserva para el carbono (Lal 2012, Hartge et al. 2016).
Dada su naturaleza porosa, los suelos exhiben la capacidad de retener y conducir agua, lo que les confiere una propiedad fundamental para el desarrollo de diversos organismos vivos. Entre dichos organismos, destacan las plantas y su papel crucial en la interacción del continuo suelo-planta-atmósfera (Anderson et al. 2003). En efecto, la vida en el planeta ha sido posible gracias a la presencia del agua y sus características fisicoquímicas particulares, las condiciones de presión y temperatura ambientales (Hillel 1998), en adición a la disponibilidad de un medio como el suelo que almacene, purifique y recicle este líquido.
Sin embargo, la variabilidad climática asociada con fenómenos atmosféricos como El Niño Oscilación Sur (ENOS) ha venido afectando fuertemente a los ecosistemas terrestres, así como a las reservas de agua, la ocurrencia de huracanes y otros eventos climáticos severos (Collins et al. 2010). Uno de los efectos tangibles del fenómeno ENOS es la reducción en la magnitud y la distribución de la precipitación pluvial, lo cual puede generar eventos de déficit hídrico inclusive en regiones donde las condiciones climáticas normales generan superávit hídrico (Muñoz-Jiménez et al. 2019). Esto impacta de forma directa las relaciones masa-volumen de las fracciones sólida, líquida y gaseosa del suelo, afectando su funcionalidad como un hábitat para el crecimiento vegetal (Hartge et al. 2016).
Por todo lo anterior, un manejo apropiado y eficiente de los recursos suelo y agua resulta fundamental para asegurar no solamente una producción sostenible dentro de los sistemas agrícolas y forestales; también para mitigar el potencial impacto de la degradación de los suelos en el país.
Dicha degradación del recurso suelo impacta los servicios ecosistémicos asociados, debido a que el suelo es la matriz en la que ocurren gran cantidad de procesos biológicos, químicos y físicos que tienen implicaciones tanto ambientales como sociales (Powlson et al. 2011). En específico, se requiere un conocimiento sobre el contenido de agua en el suelo asociado con su respectivo valor de energía potencial (potencial hídrico total), las cuales son variables físicas primordiales que se utilizan en el modelado hidrológico, la gestión del agua para uso agrícola y la mayoría de los estudios de suelos (Gardner 1986).
También, la determinación de estas dos variables físicas del suelo permite una mejor comprensión de la dinámica climática global, debido al papel fundamental de la humedad del suelo en el balance hídrico y energético de la superficie de los paisajes, así como su impacto en la distribución y magnitud de las lluvias, la temperatura ambiental y evapotranspiración (Seneviratne et al. 2010). Por lo anterior, el estudio del potencial hídrico y el contenido del agua en el suelo resulta de utilidad en diversidad de investigaciones, como los eventos extremos por inundaciones y sequías, el ciclo del carbono, la estimación del rendimiento de los cultivos, y muchas otras aplicaciones en ciencias exactas y agrarias.
El presente trabajo pretende describir de forma concisa las principales metodologías de análisis empleadas en la determinación del contenido de agua y el potencial hídrico en el suelo, así como las potenciales implicaciones de la selección de un método en el manejo de los recursos naturales (agua y suelo). Para esto se definen los conceptos de contenido y potencial del agua en el suelo, abordando en conjunto las principales metodologías de análisis y determinación empleadas. Además, se contrastan los métodos en función de sus fortalezas y debilidades, en adición a su potencial uso en suelos agrícolas. Por último, se discuten las implicaciones de los resultados obtenidos bajo distintos métodos sobre las decisiones en el manejo del riego agrícola y sus potenciales consecuencias e implicaciones en los sistemas de producción.
Contenido y potencial del agua en el suelo
1. Contenido de agua en el suelo
En física de suelos se estudia el suelo como un sistema heterogéneo, polifásico, compuesto de partículas, disperso, y poroso, con límites definidos y compuestos por tres fases principales: 1) Fase sólida, 2) Fase líquida, y 3) Fase gaseosa (Hillel 1998). Debido al carácter poroso y tridimensional del suelo, el agua se puede almacenar en los espacios vacíos del mismo, los cuales constituyen una red compleja denominada porosidad (Figura 1). También, el agua se puede adsorber a la superficie de las partículas individuales dentro del suelo, cubriendo las superficies de estos elementos de la fase sólida.

Esta capacidad de almacenamiento o retención de agua obedece a dos fuerzas principales: 1) Fuerza de adhesión o fuerzas de atracción entre las moléculas de agua y partículas de suelo debido a cargas electrostáticas, y 2) Fuerzas de cohesión o de atracción entre partículas de agua debido a enlaces del tipo puente de hidrógeno y fuerzas van der Waals (Hillel 1998, Hartge et al. 2016). De forma más precisa, el contenido de agua en el suelo se define como la cantidad de agua presente, ya sea por unidad de masa de suelo seco (g g-1) o bien por unidad de volumen de suelo (cm3 cm-3). Por lo general, esta última expresión del agua en el suelo es preferida debido a su utilidad en los cálculos de hidrología y física de suelos, por ejemplo, las necesidades de riego y drenaje en agricultura (Calvo 2005), o bien en los cálculos dentro de distintos modelos numéricos que permiten la simulación del movimiento de agua y solutos en el suelo (Skaggs et al. 2012, Šimůnek et al. 2016).
Para la medición y determinación del contenido de agua en el suelo, existe una diversidad de metodologías que se clasifican comúnmente en dos categorías: métodos directos e indirectos (Tabla 1). Estos métodos (Figura 2) se describen en detalle a continuación.


1.1. Métodos directos
Estos métodos se basan en la cuantificación inmediata del agua presente en el suelo, mediante la remoción del agua de la matriz del suelo. Esta remoción o separación del agua normalmente se hace mediante técnicas gravimétricas, que estiman la masa de agua del suelo por diferencia de masa entre el suelo húmedo y el suelo seco posterior a la evaporación del agua (Forsythe 1985, Topp y Ferré 2002).
1.1.1. Gravimetría mediante secado en horno convectivo
El método gravimétrico es bastante simple (Figura 2A). Inicialmente se pesa una muestra de suelo húmedo, luego se calienta a una temperatura de referencia para eliminar el agua hasta que la muestra alcance masa constante y se pesa nuevamente para calcular el cambio de masa. De esta forma, se obtiene la relación entre la masa de agua atribuida a la medida inicial y la masa de suelo total resultante después del secado (Topp y Ferré 2002). Para la determinación del contenido de humedad del suelo, se toman muestras con una masa entre 50 y 100 g de suelo húmedo que se pueden pesar en campo mediante balanzas portátiles, o bien se pueden trasladar al laboratorio mediante bolsas o cilindros con sello hermético para evitar pérdida de agua por evaporación.
Las muestras húmedas se colocan en los recipientes metálicos y se pesan en una balanza granataria para posteriormente colocarlas en el horno convectivo, hasta que las muestras alcancen el peso constante, es decir, que la diferencia entre dos mediciones consecutivas del peso de la muestra no exceda la precisión de la escala (0,05 g). La temperatura de secado puede establecerse según los fines del estudio: 1) Una temperatura de 105 ± 5°C durante 24-48 h, el cual es tiempo suficiente para que las muestras logren un peso constante; 2) Una temperatura de 45° C ± 5°C durante al menos una semana o hasta que alcancen peso constante, lo que evita problemas de precisión en la medición de muestras con materia orgánica que superan el 5%. Transcurrido el tiempo, se colocan en un desecador con silicagel hasta se hayan enfriado a temperatura ambiente (25°C) para volver a pesarlas.
Una vez que las muestras estén secas y a peso constante, se repite el procedimiento de pesado para obtener el valor de peso seco del suelo. Con los pesos obtenidos se calcula el contenido gravimétrico de agua w en el suelo (g g-1) de la siguiente manera:

Donde w corresponde al contenido gravimétrico de agua en el suelo (g g-1), mw es la masa de agua (g), ms es la masa de suelo seco (g), msw es la masa de suelo húmedo (g), mss es la masa del suelo seco (g), y mc es la masa del recipiente de pesado (g).
A partir del parámetro w, y si se conoce el valor de densidad aparente del suelo, o bien si las muestras de suelo fueron recolectadas con un cilindro muestreador de volumen conocido, es posible determinar el contenido volumétrico de agua en el suelo θ mediante la siguiente fórmula:

Donde θ es el contenido volumétrico de agua en el suelo(cm3 cm-3), ρb la densidad aparente del suelo (g cm-3), y ρw la densidad del agua (~1,00 g cm-3). En general, este método directo es ampliamente utilizado por su facilidad en cuanto a procedimiento y equipos necesarios. En adición, se utiliza normalmente como método de referencia para comparar o calibrar otros tipos de mediciones del contenido de agua en el suelo, ya que este procedimiento anteriormente mencionado presenta un límite del error de 0,01% (Gardner 1986, Topp y Ferré 2002).
Sin embargo, este método presenta ciertas debilidades asociadas a la génesis del suelo que se esté evaluando (Tabla 1). Por ejemplo, en suelos cuyo contenido de materia orgánica es mayor al 5% pueden afectar la precisión de la medición debido a la oxidación y volatilización de componentes orgánicos, si no se secan las muestras a la temperatura adecuada. En suelos con un alto contenido de grava u rocas (porosas) se debe considerar el volumen que ocupan en la muestra que se analiza para el ajuste del contenido volumétrico de agua en el suelo (Topp y Ferré 2002).
Otro aspecto por considerar es que este método es considerado como destructivo, ya que el suelo se disturba al tomar la muestra, y se limita a un valor específico de humedad en el continuo tiempo. Lo cual impide observar la posible dinámica intrínseca de esta variable comparado con otras metodologías del tipo indirecto (Hillel 1998, Topp y Ferré 2002).
1.1.2. Gravimetría mediante secado en horno de microondas
Consiste en el mismo principio que el secado por horno de convección, a excepción que el secado de la muestra se genera a través de la energía de microondas que penetra y vaporiza el agua contenida en la muestra de suelo (Figura 2B). Las moléculas de agua contenidas en la muestra de suelo absorben las microondas, generando una vibración que produce calor y su posterior vaporización (Topp y Ferré 2002). Los pasos por seguir para la determinación del contenido de humedad mediante este método son los mismos descritos en la sección anterior, donde se pesan al menos 30 g de la muestra húmeda a la mayor brevedad para luego ponerse a secar por 20 minutos en un horno de microondas convencional (600 - 1000 W de potencia y frecuencia de trabajo de 2.45 GHz) (Topp y Ferré 2002). La muestra se pone en un desecador hasta que se enfríe a temperatura ambiente para determinar la masa de suelo seco, y el posterior cálculo de w mediante la ecuación 1.
Una ventaja de este método es que se puede realizar en un periodo muy corto de tiempo en comparación con el secado en horno convectivo, lo cual puede incrementar el número de muestras a procesar por día. En adición, Gee y Dodson (1981) encontraron una muy buena correlación entre los valores del contenido de agua del suelo obtenidos en ambos métodos de gravimetría para 15 series de suelo. Sin embargo, este método tiene la desventaja que en suelos con alto contenido de materia orgánica, la muestra puede generar combustión y encenderse (Gee y Dodson 1981, Topp y Ferré 2002). Lo cual generaría un error positivo en la determinación, así como potenciales accidentes en el laboratorio. Otra desventaja es que este método no ha sido tan rigurosamente estandarizado como el método de gravimetría por horno convectivo (Topp et al. 2008). Se recomienda el uso de muestras de un máximo de 30 g para garantizar uniformidad de secado, y por razones de seguridad, los recipientes que contienen el suelo deben ser de cerámica o nylon.
1.2. Métodos indirectos
Por otra parte, los métodos indirectos se basan en la medición directa de una propiedad física o química del suelo que varía en función del contenido de agua. Algunos ejemplos de estas propiedades son la constante dieléctrica, la capacidad térmica, el contenido de hidrógeno, y la susceptibilidad magnética. En estos métodos la precisión y exactitud de la medición va a depender del grado de relación entre la propiedad medida, el contenido de agua del suelo y la precisión con que el instrumento mide la propiedad indirecta (por ejemplo, voltaje). A continuación, se describen los métodos más utilizados en estudios sobre la dinámica en el contenido de humedad del suelo (Tabla 1).
1.2.1. Reflectometría del dominio del tiempo (TDR)
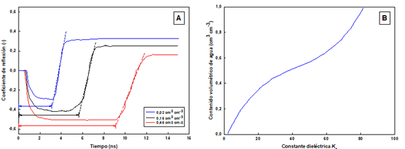
Este método se basa en la medición de la constante dieléctrica del suelo (Figura 3). Esta propiedad describe la capacidad de un material para almacenar energía electrostática y varía según las propiedades de este. Se utiliza la escala dieléctrica que asigna un valor de 1 al aire y de 80 al agua (Figura 3), los cuales se utilizan como referencia para comparar la permitividad eléctrica en distintos materiales, en este caso el suelo (Topp et al. 2000).

La reflectometría del dominio del tiempo (TDR por sus siglas en inglés) utiliza elementos electrónicos que emiten una onda electromagnética (voltaje incidente) la cual recorre el medio y regresa al lugar de origen en un tiempo determinado. El tiempo que tarda dicha onda puede incrementar debido a la presencia del agua en el suelo, la cual difunde la onda en el medio (debido a su alta capacidad dieléctrica) y la retrasa de su curso original, incrementando el tiempo de recorrido (Davis y Chudobiak 1975).
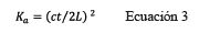
El sensor TDR consta de dos electrodos paralelos que se insertan en el suelo (Figura 2C). La onda transmitida viaja a través de ellos y regresa en un tiempo determinado, en el cual un osciloscopio registra la magnitud de la onda respecto al tiempo (Figura 4A). La amplitud de la onda electromagnética y el tiempo de viaje varían en función de las propiedades del suelo. Para ello, se estima la constante dieléctrica Ka con la información que se obtiene del sensor TDR mediante la siguiente fórmula:

Donde t es el tiempo de recorrido de la señal (s), c es la velocidad de una onda electromagnética viajando en un medio libre (3 x 108 m s-1) y L es la longitud de los electrodos del sensor. Una vez obtenida esta constante dieléctrica, esta se puede relacionar con el contenido volumétrico de agua (θ) mediante una ecuación empírica (Topp et al. 1980):

Esta ecuación genera una curva general de calibración de θ y el valor de Ka (Figura 4B).
Dentro de las ventajas de este método, destacan su carácter no destructivo, lo que permite realizar mediciones in situ en tiempo real con alta precisión. También requiere de bajo mantenimiento y pueden automatizarse debido a su carácter de sensores basado en microprocesador y bajo el protocolo interfaz estándar digital 12 (en inglés SDI-12) en registradores de datos externos (en inglés dataloggers), lo que potencia su uso. Por otro lado, esta técnica es independiente de la textura del suelo, la densidad aparente y la temperatura. Todo esto permite ubicar los sensores a diferentes profundidades y obtener información de la distribución del contenido de humedad en todo el perfil del suelo (Heimovaara y Bouten 1990, Noborio 2001).

Sin embargo, presenta algunas desventajas como un alto costo económico comparado a otros sensores. También en suelos con valores altos de conductividad eléctrica o en suelos salinos puede afectar significativamente las mediciones (Sun et al. 2000). De igual forma, se recomienda realizar una calibración de los sensores para cada sitio debido a la heterogeneidad inherente del suelo (Mittelbach et al. 2012, Topp y Ferré 2002).
1.2.2. Reflectometría de frecuencia del dominio (FDR)
Esta técnica se basa en el mismo principio del TDR, el cual relaciona la constante dieléctrica del suelo y el contenido volumétrico de agua en el suelo. En este caso, la constante dieléctrica está en función de la frecuencia máxima de resonancia que alcanza una onda electromagnética, considerando el tiempo que tarda en emitirse y reflejarse a través de una línea de transmisión conectada al sensor instalado en el suelo (Susha et al. 2014).
El sensor FDR conforma una matriz con los electrodos metálicos y el suelo, el cual actúa como un elemento dieléctrico. Un generador emite una onda electromagnética a través de un cable coaxial que se dirige a los electrodos del sensor FDR instalado (Figura 2D). La frecuencia máxima de resonancia va a depender del tiempo que tarda la onda en viajar desde el inicio hasta el final del electrodo del sensor y su retorno, lo cual está relacionado con el contenido de agua en el suelo (Minet et al. 2010, Veldkamp y O'Brien 2000).
Dentro de las ventajas del FDR destaca la recopilación de datos en un amplio rango de frecuencia aumentando el contenido de información en comparación al análisis del dominio del tiempo (Seyfried et al. 2005). Otra ventaja es que el costo inicial de estos instrumentos es relativamente más bajo que el de TDR (Susha et al. 2014). Sin embargo, para configurar un sistema FDR se pueden requerir numerosas calibraciones, una gran cantidad de parámetros a determinar y varias suposiciones sobre la resistencia de circulación de corriente sobre la línea de transmisión y la sonda FDR (Heimovaara et al. 2004, Shuai et al. 2009). Estas calibraciones generalmente se estiman en condiciones controladas de laboratorio, por lo que pueden verse afectadas en el campo por las propiedades intrínsecas de cada tipo de suelo, así como por variaciones de temperatura y salinidad (Sevostianova et al. 2015). En adición, la sonda FDR presenta una alta sensibilidad en la medición del contenido volumétrico de agua en suelos relativamente secos, por lo que se requiere una frecuente calibración durante su implementación (Rao y Singh 2011).
1.2.3. Sensores basados en capacitancia
En este método se usa la capacidad dieléctrica del suelo para estimar el contenido de agua. Estos sensores (Figura 2 E y F) se basan en la propiedad del agua que le permite almacenar una carga eléctrica. Por lo anterior, lo sensores se conforman de un oscilador, dos electrodos o cilindros metálicos que forman un capacitor utilizando el suelo como dieléctrico para formar un circuito que detecta los cambios en el contenido de humedad según las frecuencias de oscilación en que opera el sensor. De forma que, cuando el suelo se humedece, la capacidad dieléctrica aumenta debido a la presencia de agua, lo que provoca un cambio en la capacitancia de los sensores (Chernyak 1964, Campbell 1990, Gardner et al. 1998, Starr y Paltineanu 2002).
Estos sensores pueden automatizarse, proporcionando mediciones continuas y en tiempo real de la humedad del suelo, lo que permite un mejor manejo del riego y la optimización de los recursos hídricos (Bogena et al. 2007). Estos mismos se han utilizado ampliamente en la agricultura y la investigación del suelo debido a su precisión, bajo costo y facilidad de uso. Por ejemplo, el uso de sensores genéricos acoplados a un microprocesador Arduino® resulta muy económico en comparación con otros métodos. Sin embargo, debido a su bajo costo y carácter comercial, no son muy robustos ni resistentes a condiciones de campo, por lo que tienden a fallar o dañarse con facilidad (Figura 2F). Pese a ello, se encuentran en el mercado dispositivos basados en capacitancia del suelo, mucho más robustos y confiables como los Teros 10 (Figura 2E) los cuales permiten su acople a dataloggers, con grandes redes de detección sin perder precisión.
En adición, como cualquier otro sensor se deben calibrar para obtener mediciones precisas, ya que la capacidad dieléctrica del suelo puede verse afectada por factores como texturas gruesas, arcillas expansivas del tipo 2:1, alto contenido de materia orgánica o suelos salinos (Paltineanu y Starr 1997).
2. Potencial hídrico del agua en el suelo
En la sección anterior, nos referimos al contenido del agua en el suelo y la diversidad de métodos para su cuantificación y evaluación. Si bien es cierto este dato es de suma importancia, por sí mismo resulta insuficiente para un adecuado manejo del recurso agua y suelo en los agroecosistemas, ya que no nos permite una comparación directa entre suelos distintos, o bien entre paisajes o ecosistemas diferentes (Radcliffe y Šimůnek 2018).
Sin embargo, si al contenido de agua en el suelo le adicionamos su correspondiente estado de energía, incrementamos el detalle de la información y nos permite evaluar dicho contenido de agua desde una perspectiva más completa y global, incluyendo la posibilidad de comparar estas cantidades de agua en el suelo con valores de contenido de agua en mantos acuíferos, en plantas y árboles, así como en la misma atmósfera (Radcliffe y Šimůnek 2018).
Para poder entender la importancia del nivel de energía del agua, nos referiremos al concepto de energía como la capacidad de los cuerpos para realizar un trabajo, y bajo dos formas principales: 1) energía cinética que es producto del movimiento de un cuerpo, y 2) energía potencial que es producto de la posición de un cuerpo en un campo de fuerzas. Debido a que el movimiento del agua en el suelo se considera muy lento (normalmente 0,1 m h-1), el componente de energía cinética se considera despreciable (Hillel 1998, Or et al. 2023). Por lo tanto, el componente de energía potencial adquiere mayor importancia y se vuelve fundamental para la determinación del estado energético y movimiento del agua en el suelo.
El potencial hídrico total en el suelo (𝜓t ) se define como la diferencia de energía potencial del agua en el suelo con respecto a la energía potencial del agua en su estado estándar, es decir, cuando su potencial arbitrariamente asignado es cero (Buckingham 1907). Para estimar 𝜓t se deben considerar distintos componentes activos, los cuales varían en función del contenido de agua en el suelo (Jury y Horton 2004, Radcliffe y Šimůnek 2018, Luo et al. 2022).
Por ejemplo, si el suelo está en condiciones de saturación, este potencial se estima según la siguiente ecuación:

Donde 𝜓z es el potencial gravitacional, 𝜓p es el potencial de presión hidrostática, y 𝜓s es el potencial de los solutos del suelo (Radcliffe y Šimůnek 2018). Este último término resulta de importancia en suelos salinos, o suelos bajo aplicaciones frecuentes de sales (Luo et al. 2022).
Por otro lado, si el suelo se encuentra en estado no saturado, 𝜓t se calcula mediante la siguiente ecuación:

Donde 𝜓m es el potencial matricial y 𝜓a es el potencial del aire.
El potencial del agua en el suelo se representa como una medida de energía por unidad de agua. Por tanto, puede expresarse como energía por unidad de peso (J kg-1) o como energía por unidad de volumen de agua (J m-3).
De esta forma, la energía por unidad de peso suele expresarse como una carga hidráulica (H) ejercida por una columna de agua a una determinada altura y la energía por unidad de volumen se define en términos de presión (𝜓). Comparando ambas unidades se establece que una columna de agua de 10 metros de altura es equivalente a 0,1 MPa (1 bar de presión). Al considerar el potencial hídrico como la energía por unidad de peso (carga hidráulica) que se requiere para transferir el agua en el suelo a su estado estándar se expresa en números negativos, lo que en ocasiones resulta confuso, por lo cual se utilizan los términos de succión o tensión para representar el potencial hídrico en números positivos (Bittelli 2010).
2.1. Curva de retención de humedad del suelo
Al relacionar el potencial del agua en el suelo (𝜓) con su respectivo contenido volumétrico (θ) se determina la curva de retención de humedad que permite conocer la cantidad de agua que un suelo puede almacenar a un valor específico de potencial (Or et al. 2002). Esto es de especial interés para estimar el contenido de agua en el suelo que condiciona el desarrollo óptimo de las plantas, según su facilidad de aprovechamiento conocido como agua útil (Forsythe 1985, Letey 1985, da Silva et al. 1994, da Silva y Kay 1997).
Comúnmente, el agua útil para las plantas se estima como la diferencia entre el contenido de agua retenido entre dos valores específicos de potencial hídrico en el suelo, cuya denominación ha trascendido al uso de dos términos habituales (da Silva et al. 1994): 1) Contenido de agua a capacidad de campo (CC) (tensión = 0,03 MPa) y 2) Contenido de agua a punto de marchitez permanente (PMP) (tensión = 1,5 MPa).
Un aspecto importante para considerar es que estos valores de potencial correspondientes a estos dos puntos (CC y PMP) tienen un carácter arbitrario que facilita el cálculo del agua útil. Por ejemplo, Romano y Santini (2002) mencionan que el valor de potencial hídrico a CC varía según la textura del suelo, donde un valor tensión de 0,01 MPa correlaciona muy bien con suelos arenosos, 0,035 MPa con suelos franco-limosos, y 0,05 MPa con suelos arcillosos. Los mismos autores también se refieren al valor de tensión de 1,5 MPa como un valor promedio de potencial para describir el momento en el cual la planta se marchita de forma irreversible (PMP). Dicho valor fue determinado por Richards y Weaver (1943) para la marchitez de plantas de girasol enanas, consideradas como un buen cultivo indicador general, bajo el supuesto que cualquier planta se marchita al llegar a este valor (Briggs y Shantz 1912).
La evaluación y medición del potencial del agua en el suelo se basa en el principio del equilibrio hidráulico teóricamente alcanzado por la fase líquida o fase de vapor del agua retenida en el suelo y el dispositivo de medición o en el ambiente con un valor nominal de potencial. Cabe destacar que no existe una única técnica capaz de medir el potencial hídrico en todo el rango (entre el suelo saturado y el suelo seco), por lo que es necesario el uso de varias técnicas independientes que se ejecutan tanto bajo condiciones de campo (Tabla 2) como en el laboratorio (Tabla 3).


2.2. Métodos para la evaluación y determinación del potencial hídrico bajo condiciones de campo
2.2.1. Piezómetros
Los piezómetros consisten en la perforación de pozos de un diámetro relativamente pequeño en el suelo (lo suficiente para que no genere capilaridad), donde se inserta una tubería con un extremo abierto sobre la superficie y otro extremo con perforaciones ubicado por debajo del nivel freático (Kirkham 1946). En este método, el componente estimado es el potencial 𝜓p o la presión ejercida por la altura de una columna de agua que se extiende desde el nivel freático hasta un punto de referencia en el suelo, normalmente su superficie (Amoozegar 2002).
El nivel freático o tabla de agua representa la zona saturada del suelo donde el agua subterránea fluctúa según los gradientes de carga hidráulica. En este punto, el potencial 𝜓p es lo suficientemente alto para permitir el ingreso del agua en la tubería del piezómetro según los cambios en el nivel freático (Reeve 1986). De esta forma, el sistema hidráulico se equilibra cuando la presión hidrostática iguala la presión atmosférica, que equivale al flujo de agua que ingresa a la tubería y se eleva a la misma altura del nivel freático (Young 2002). La elevación del nivel freático dentro del piezómetro se puede determinar utilizando técnicas de medición manuales o automatizadas mediante transductores de presión diferenciales acoplados a dataloggers (Figura 5A) (Or et al. 2023). El uso de piezómetros se ha utilizado ampliamente para la determinación del nivel del agua, el gradiente hidráulico y la calidad del agua en una variedad de entornos hidrogeológicos (Young 2002, Salama et al. 1993).

En las aplicaciones agrícolas se utiliza para el diseño de sistemas de drenaje, análisis del movimiento de solutos, monitoreo de la contaminación de aguas subterráneas, medición de potenciales de oxidación-reducción y la definición de regímenes de humedad del suelo (Ghassemi et al. 1988, MacFarlane et al. 1983, Vepraskas et al. 2006). Dentro de sus desventajas (Tabla 2) destacan el potencial costo de su instalación, no es un método práctico para suelos rocosos por la dificultad de perforación y es susceptible a cambios en la temperatura y presión atmosférica (Rasmussen y Crawford 1997).
2.2.2. Tensiómetros
Este método se basa en el uso de dispositivos llamados tensiómetros (Figura 5B). Estos se conforman de tres elementos básicos conectados entre sí: 1) una copa porosa de cerámica, 2) un capilar saturado con agua (reservorio), y 3) un manómetro de tensión o transductor de presión (Young y Sisson 2002). Su principio de funcionamiento se basa en el movimiento del agua entre el reservorio del tensiómetro y el agua presente en el suelo como respuesta al gradiente del potencial matricial del suelo (𝜓m ), también conocido como succión matricial (Papendick y Campbell 1981).
Este componente cuantifica el efecto de la capilaridad y adsorción sobre la energía del agua en el suelo y el agua estándar en condiciones no saturadas. De esta forma, el equilibrio hidráulico se alcanza cuando el potencial del agua en el suelo y dentro del tensiómetro se igualan (Richards 1965). Este método presenta ventajas (Tabla 2) como la medición directa del potencial, no es afectado por la salinidad, facilidad de uso e instalación, bajo costo, y posibilidad de automatización al reemplazar los manómetros por transductores de presión y acoplarlos con dataloggers para obtener lecturas continuas (Sisson et al. 2002).
Dentro de las desventajas de este método (Tabla 2), destaca su limitación a potenciales entre 0 y 0,1 MPa (0 y 1 bar), ya que valores por encima de este hacen que el tensiómetro cavite y pierda la tensión. De igual forma, las dimensiones y características del tensiómetro pueden limitar el rango de medición utilizable conocido como presión de burbujeo (Cassel yKlute 1986, Tamari et al. 1993).
Dependiendo de la posición del tensiómetro durante su instalación, o bien la posición del manómetro o traductor de presión, la lectura del tensiómetro se debe ajustar por la diferencia de altura entre este y la copa cerámica mediante la siguiente ecuación:

Donde 𝜓manómetro es el potencial de lectura en el manómetro del tensiómetro (kPa o cbar), ρw es la densidad del agua (~1,00 g cm-3), g es la constante de gravedad (98,0 cm s-2) y L es la distancia entre el manómetro y la copa cerámica (cm).
2.2.3. Sensores dieléctricos de potencial
Este método se basa en el uso de sensores más complejos (Figura 5C), cuya composición consiste en un sensor de capacitancia (mencionados con anterioridad), ubicado en medio de dos placas de cerámica porosa con propiedades hídricas conocidas y sujetadas por dos placas metálicas (Or et al. 2023). El sensor dieléctrico, se equilibra con el contenido de humedad del suelo y dicho contenido se determina mediante el sensor de capacitancia. Las mediciones del potencial del agua se obtienen a partir de curvas de calibración basadas en la relación del contenido de agua y el potencial hídrico de las placas de cerámica porosa (Bittelli 2010, Or et al. 2023).
La primera aplicación de esta técnica fue propuesta por Or y Wraith (1999) quienes encontraron resultados consistentes en la determinación del potencial matricial en cuatro suelos. Actualmente existen versiones comerciales como el Teros 21 desarrollado por METER Group® (METER Group, Inc., Pullman, WA, USA). Este sensor permite determinar el potencial matricial y temperatura en condiciones de campo con alta precisión. Es muy sencillo de usar, costo accesible, tiene un amplio rango de medición de potencial que va desde saturación hasta suelo secado al aire y puede integrarse a un datalogger, ofreciendo mediciones continuas (METER 2023). Una limitante para el uso de este sensor en suelos que presentan una salinidad elevada (valores de conductividad eléctrica (EC) > 8 dS m-1). En general, los sensores dieléctricos son métodos indirectos de medición por lo que se recomienda su calibración en cada sitio de medición. En este método, un cuidado importante a tener es asegurar buen contacto entre la cerámica y el suelo circundante para evitar problemas de mediciones.
2.3. Métodos de evaluación y determinación del potencial hídrico bajo condiciones de laboratorio
Anteriormente se describieron los métodos para la determinación y evaluación in situ del potencial hídrico en el suelo o en la capa freática. Sin embargo, debido a costos y logística asociados a estos anteriores (Tabla 2), se vuelve necesario el muestreo y el uso de métodos de análisis en laboratorio. Los análisis destinados a evaluar o determinar el potencial hídrico en el suelo pueden ser clasificados en función de los valores nominales de potencial que se deseen evaluar. En la presente revisión, dichos rangos se han definido en función de los métodos a describir donde los valores menores a 0,1 MPa constituyen el rango de baja tensión en la curva de retención de humedad (Tabla 3) y los valores comprendidos entre 0,1 y 1,5 MPa o superiores se designan como rango de alta tensión (Hillel 1998, Or et al. 2002).
2.4. Métodos empleados en el rango de baja tensión (0 - 0,1 MPa)
Estos métodos se basan en el equilibrio hidráulico del agua en el suelo a un valor nominal de potencial del agua en el suelo. Dicho equilibrio se logra mediante la aplicación de presión en ambientes confinados semi cerrados, o bien el uso de la tensión (presión negativa). Debido a que los valores de potencial evaluados son altos, se requiere de una muestra de suelo no alterada. A continuación, se describen los métodos más comúnmente utilizados.
2.4.1. Celdas de presión (Tempe cells)
En este método (Figura 5D), se somete una muestra no alterada de suelo (previamente saturada) a una presión de valor conocido (potencial) en un medio semi hermético (una celda), con el objetivo de alcanzar el equilibrio hidráulico a ese valor entre el agua y el suelo. El agua que no está en equilibrio se drena fuera de la celda. El diseño de estas celdas de presión (conocidas como “Tempe cells”) comprende tres elementos: el conjunto de tapa superior e inferior, el cilindro muestreador y una placa de cerámica porosa, la cual permite el paso del agua, pero no del aire (SoilMoisture 1995).
La tapa superior de la celda de presión se conecta a una fuente de presión de aire y por medio de reguladores se controla con precisión la carga de presión aplicada, mientras que la tapa inferior sostiene la placa porosa y drena el agua. Antes de realizar la medición, la muestra de suelo contenida en el cilindro y la placa de cerámica porosa se saturan por 24 h y luego se sellan con el conjunto de tapas (Tuller et al. 2004). Una vez ensamblado el cilindro con el conjunto de tapas y la placa cerámica en la celda (Figura 5D), se aplica la presión que representa el valor de 𝜓m .
La muestra se mantiene presurizada hasta que deje de drenar la válvula de salida de la tapa inferior, indicando el punto donde se alcanza el equilibrio hidráulico. Posteriormente, se determina por gravimetría el contenido de humedad asociado a ese valor nominal de 𝜓m . Esta técnica ofrece determinaciones muy precisas en el rango de baja tensión del potencial hídrico cercanas a saturación y el hecho de realizarse con muestras no alteradas representa muy bien las condiciones de campo que regulan el estado de energía del agua en el suelo (Hillel 1998, Or et al. 2002). Sin embargo, su capacidad limitada de una muestra puede ser un factor desfavorable para mediciones de rutina (Dane y Hopmans 2002).
2.4.2. Método de evaporación
El método de evaporación (Figura 6) fue propuesto por Gardner y Miklich (1962), y consiste en someter una muestra de suelo a experimentos de evaporación del agua, donde se registra la pérdida de peso y el cambio en el potencial matricial en intervalos de tiempo consecutivos. Con estos valores y técnicas de modelado inverso como la propuesta por Wind (1968), es posible estimar la retención de humedad y la conductividad hidráulica no saturada del suelo. Para esto se requiere una muestra de suelo no alterada recolectada en un cilindro. Dicha muestra se satura, y posteriormente se coloca sobre una balanza granataria (Figura 6A) y a la cual se le introducen mini tensiómetros (Figura 6B) a diferentes alturas para determinar y registrar las diferencias de potencial matricial. Al mismo tiempo, se registra el cambio de peso producto de la perdida de agua en el suelo por evaporación, que ocurre desde el límite superior del cilindro (Halbertsma y Veerman 1994, Peters y Durner 2008).

Cada mini tensiómetro es acoplado a un transductor de presión y junto a la balanza granataria se registran los datos en una computadora o se puede automatizar al integrarlo a un datalogger para el posterior análisis de datos. Para inducir la evaporación se puede utilizar las condiciones naturales de laboratorio o por medio de un ventilador para acelerar la salida del agua en la superficie de la muestra de suelo. El experimento concluye una vez que se alcanzan valores muy bajos de potencial matricial (> 0,01 MPa ~ 1000 cm H2O) asociados al límite de resolución de los mini tensiómetros (Hopmans et al. 2002). Luego se lleva la muestra a un horno de secado para determinar su humedad gravimétrica y con la densidad aparente obtener el valor de humedad volumétrica asociado a cada cambio de peso en la muestra de suelo.
Este método destaca por su simplicidad y precisión (Tabla 3). En adición, se puede implementar con equipos estándar de física del suelo, como una balanza, tensiómetros, horno de secado, un reloj y una computadora son suficientes para realizar el análisis. Otra ventaja es el tiempo de determinación que puede tardar entre unos pocos días para suelos de texturas gruesas y algunas semanas para suelos de texturas finas (Halbertsma y Veerman 1994). Entre las limitaciones, la cantidad de muestras a procesar se reduce a una sola y se asume la homogeneidad de las propiedades hidráulicas para una sola muestra. Por otra parte, la selección de los intervalos de tiempo de mediciones debe ser adecuada para minimizar errores y no se recomienda la extrapolación de datos más allá del rango de medición de los tensiómetros porque se puede incurrir en un alto nivel de incertidumbre (Halbertsma y Veerman 1994, Šimůnek et al. 1998).
2.4.3. Columnas de agua colgantes
La técnica de columnas de agua colgantes consiste en colocar una muestra de suelo saturada sobre una cámara con una placa porosa de cerámica conectada a través de un tubo flexible a un depósito de agua abierto a la atmósfera (Figura 7A). La columna se crea mediante el contacto hidráulico entre el agua contenida en el suelo y el agua en el depósito ubicado a una menor elevación, lo que genera que el agua fluya desde la muestra hacia el depósito hasta alcanzar el equilibrio hidráulico. Los componentes considerados en esta técnica corresponden al 𝜓z que retiene el agua en la muestra de suelo y el 𝜓z representado por la diferencia de elevación entre la muestra de suelo y el depósito agua (Radcliffe y Šimůnek 2018).

Por lo tanto, la tensión generada por el 𝜓m en la muestra de suelo provoca una disminución del contenido de humedad que se compensa con un mayor 𝜓g debido a la diferencia de elevación respecto al depósito. De esta forma, la longitud efectiva de la columna corresponde a la carga de presión o potencial matricial y el contenido de humedad asociado a ese punto se va a determinar por gravimetría, una vez que se alcance el equilibrio entre el potencial del agua en el suelo y la columna (Klute 1986).
Esta técnica es bastante simple y permite obtener valores de potencial hídrico muy cercano al estado saturado, los cuales son críticos para describir el comportamiento de agua en la matriz del suelo. No requiere el uso de compresores ni reguladores de presión y su diseño es fácil de replicar. Sin embargo, su capacidad de medición se ve limitada a una sola muestra y a la elevación que se puede alcanzar en un laboratorio, en adición a que puede ocurrir evaporación del agua durante la medición por lo que se deben realizar correcciones (Dane y Hopmans 2002).
2.4.4. Mesa de tensión o caja de arena
La mesa de tensión (Figura 7B) consiste en un recipiente que contiene varias capas de materiales finos y muy finos (arena, caolín o yeso) que funcionan como barrera porosa donde se colocan muestras de suelo no alteradas y previamente saturadas (Stakman et al. 1969). Este método trabaja con el mismo principio de las columnas colgantes donde se establece una diferencia de 𝜓m según la diferencia de elevación entre el agua contenida en la muestra de suelo y un reservorio, la cual se logra mediante una manguera flexible, o a través de una bomba de vacío que genera una tensión equivalente a dicha diferencia de elevación.
El contacto hidráulico entre el agua en las muestras de suelo y el reservorio ocurre a través de las capas de arena o caolín que se saturan previamente y actúan como barrera porosa. Por medio del desnivel entre la caja y el reservorio o bien la tensión generada por la bomba de vacío, se establece un nivel de tensión en función de una altura establecida con respecto al límite inferior de la muestra no alterada (Lima y da Silva 2008).
Para que la tensión ocurra, el recipiente se aísla de la presión atmosférica al cubrirlo con una tapa (Figura 7B) y se abre la salida del reservorio de agua conectado a final de la manguera (Lima y da Silva 2008, Townend et al. 2001). El equilibrio hidráulico va a depender de la altura de las muestras y las propiedades del suelo. Para determinar si dicho equilibrio se ha alcanzado, se pesan las muestras de suelo en dos ocasiones sin que cambie la masa en 0,1 g, o bien en función del tiempo según el nivel de tensión aplicado, el cual puede variar de 2 a 25 días según la textura de la muestra de suelo (Topp y Zebchuk 1979, Ball y Hunter 1988).
Entre las principales ventajas (Tabla 3) destacan el establecimiento del potencial del agua con valores entre saturación 0 MPa (0 cm H2O) y 0,02 MPa (200 cm H2O), con capacidad para procesar una gran cantidad de muestras, hasta 40 muestras dependiendo de las dimensiones del recipiente. Es de fácil operación y su configuración es sencilla, además de ser independiente de fuentes de energía como electricidad o baterías. El equipo completo se puede conseguir comercialmente con valores de operación de hasta 0,05 MPa (500 cm H2O) (Eijkelkamp 2016, Eijkelkamp 2022), o bien diseñarse a un bajo costo según las necesidades de investigación (Lima y da Silva 2008).
Sin embargo, debe revisarse periódicamente para asegurar que no ocurra una entrada de aire al sistema porque la formación de burbujas entre las capas de arena o caolín van a afectar el contacto hidráulico, por lo que se recomienda el uso de agua desgasificada, la cual puede ser hervida o tratada con N2. Otra limitación puede ser el extenso tiempo requerido para que las muestras alcancen el equilibrio (Ball y Hunter 1988, Romano et al. 2002).
2.5. Métodos empleados en el rango de alta tensión (0,1 - 1,5 MPa)
Un factor común en los métodos empleados en el rango de alta tensión del suelo es el uso de muestras alteradas (homogenizadas a fracción tierra fina o < 2 mm). La retención de agua en el suelo a valores de potencial menores de 0,1 MPa (rango de baja tensión) está influenciada principalmente por la estructura del suelo y la distribución natural del tamaño de los poros (Hillel 1998, Or et al. 2002), por lo que se recomienda el uso de muestras no alteradas. Por el contrario, se prefieren muestras de suelo alteradas en la determinación del potencial entre 0,1 y 1,5 MPa (rango de alta tensión), ya que la retención de agua a esos valores de potencial está más asociada a la adsorción del agua en la superficie de las partículas del suelo (Or et al. 2002, Luo et al. 2022). Los métodos que describiremos a continuación difieren en la determinación de los valores de potencial, ya que uno mide directamente el valor del potencial del agua, y el otro se basa en la aplicación de valores nominales.
2.5.1. Ollas de presión
De forma similar a los métodos en el rango de baja tensión de la curva, este método utiliza aplicaciones de valores nominales de potencial y un posterior equilibrio hidráulico. Dicho método consiste en el uso de platos cerámicos porosos saturados donde se colocan muestras de suelo saturadas que se introducen en ollas de presión (Figura 7C) y se les aplica diferentes valores nominales de carga de presión (Dane y Hopmans 2002).
El potencial 𝜓m es el componente considerado en este método, el cual se equipara al potencial 𝜓p aplicado sobre las muestras de suelo una vez se alcance el equilibrio. Dicha carga de presión ejercida sobre las muestras va a desplazar el agua del suelo fuera de las ollas a través de los platos cerámicos porosos hasta alcanzar el equilibrio hidráulico del agua en el suelo (Or et al. 2002). Luego, se retiran las muestras de suelo de las ollas, se determina el contenido de agua mediante gravimetría y con estos datos, se puede conocer la retención de humedad del suelo.
Este método se consideró como el estándar en la determinación de la retención de humedad (Tabla 3), ya que desde su establecimiento en los años 1940’s ha sido empleado y validado por laboratorios de distintas latitudes (Richards y Fireman 1943), en un rango de medición que va de 0,001 a 1,5 MPa según los fabricantes (SoilMoisture 2008, SoilMoisture 2015). Tiene la ventaja que se pueden someter hasta 80 muestras de forma simultánea a un mismo valor nominal de potencial.
Sin embargo, se han reportado errores asociados a potenciales hídricos por debajo de 0,5 MPa de tensión asociados con un pobre contacto entre el suelo y la placa porosa del plato(Gee et al. 2002). También, presenta problemas asociados con la dispersión de la muestra de suelo durante la evaluación (Bittelli y Flury 2009, Cresswell et al. 2008). En adición, el equipo es bastante costoso en general, al igual que sus repuestos y accesorios.
2.5.2. Potenciometría de punto de rocío
Distinto de la metodología anteriormente descrita, este método determina directamente el valor de potencial de una muestra de suelo, mediante un dispositivo electrónico denominado potenciómetro (Figura 7D). Originalmente fue desarrollado por Decagon Devices, Inc. (Decagon 2007) y entre los modelos disponibles, el más reciente es el WP4C Dewpoint potentiaMeter® (METER 2021).
Este dispositivo mide la actividad del agua (Aw ) para calcular el potencial 𝜓t (MPa) en una muestra de suelo (Rawlins y Campbell 1986, Gee et al. 1992) según la siguiente ecuación:

Donde R es la contante del gas ideal (8,31 J °K-1 mol-1), T es la temperatura de la muestra (°K), Mw es la masa molecular del agua (0,018 kg mo1-1), p es la presión de vapor del aire (MPa) en equilibrio con la fase líquida, y p0 es la presión de vapor saturado del agua (MPa) de la fase líquida al valor de temperatura de la muestra (T).
Su medición se basa en equilibrar en una cámara sellada el agua en fase líquida de una muestra de suelo, con el agua en fase de vapor que se encuentra en el aire sobre la muestra (Gee et al. 1992). En el punto de equilibrio se registra la temperatura del punto de rocío del aire y la temperatura de la muestra.
La temperatura de punto de rocío se determina con un sensor óptico, que detecta el momento en que el agua en fase de vapor presente en el aire de la cámara sellada se condensa hasta formar rocío sobre un espejo de acero inoxidable enfriado y para medir la temperatura de la muestra se utiliza un termómetro infrarrojo (Gee et al. 1992). Con estos valores se calcula la humedad relativa del aire en equilibrio con la muestra y por medio de la ecuación de Kelvin se deriva el potencial hídrico (Campbell et al. 2007) de la siguiente forma:

Donde es (Td ) es la presión de vapor del aire (MPa) al valor de la temperatura del punto de rocío (°K), y es (Ts ) es la presión de vapor en saturación (MPa) al valor de temperatura de la muestra del suelo (°K).
En general, este dispositivo permite realizar mediciones rápidas (menos de 5 minutos) y muy precisas hasta valores muy negativos de potenciales hídricos (alta tensión), y se pueden registrar los datos de forma manual o automáticamente por medio de una computadora. Tiene como ventaja un proceso de calibración rápido, mediante soluciones salinas con un potencial conocido. Sin embargo, su precisión puede disminuir a valores de potencial hídrico cercanos a cero, y por efecto de la salinidad del suelo (Scanlon et al. 2002). Pese a esto, esta metodología ha venido ganando terreno como el método de referencia para el análisis del potencial del agua en el suelo (Bittelli y Flury 2009, Bittelli 2010, Solone et al. 2012).
3. Selección del método y sus implicaciones en el manejo de los sistemas de producción
3.1. Criterios de selección de la metodología
Al evaluar las metodologías anteriormente mencionadas para su posterior selección y uso, se debe considerar: 1) la variable en estudio (contenido o potencial de agua en el suelo), 2) el alcance de la variable (investigación, criterios de riego, drenaje, o conservación del suelo), 3) alcance de la metodología (datos continuos o puntuales), 4) la precisión del método, 5) la logística asociada (calibración, transporte del equipo, mantenimiento, conocimiento técnico), 6) la versatilidad del método (mediciones a múltiples profundidades en el suelo), 7) el respaldo científico de la metodología y, 8) su costo económico. Estos criterios se sintetizan en las Tablas 1, 2 y 3 para comparar entre los métodos descritos en el presente trabajo.
Un componente importante en los métodos directos de determinación del contenido de agua en el suelo es el equipo disponible en el laboratorio. En estos métodos, las dos mayores fuentes de variabilidad son: 1) la precisión y la incertidumbre de las balanzas, y 2) el tiempo de secado y las condiciones de recirculación de aire dentro del horno (Topp y Ferré 2002). A esto se le debe sumar el uso de desecadores para enfriar apropiadamente la muestra de suelo y evitar daños en la balanza por cambios en la temperatura de la muestra y potencial reabsorción de agua por higroscopía (Hillel 1998). Una vez controlados estos dos aspectos anteriores (mediante rutinas de calibración y monitoreo), el método directo se considera como un método estándar de referencia para otros métodos indirectos (Tabla 1).
Un aspecto fundamental por considerar en los métodos indirectos del contenido de agua en el suelo es la incertidumbre asociada al dispositivo o el sensor empleado, más aún si este se está utilizando como una herramienta de decisión para el manejo del riego en condiciones de campo (Sharma et al. 2021a). A esto se le suma el efecto del tipo del suelo sobre la calibración de fábrica del sensor y sus resultados, lo que implica la necesidad de una calibración específica en el sitio y posterior validación contra valores obtenidos con otros métodos directos (Sharma et al. 2021b). Esta calibración incrementa el desempeño de los sensores de un 31% hasta un 89%. En la literatura (Bittelli 2011, Kukal et al. 2019) se encuentran guías de asistencia para la selección de estos sensores como herramientas de decisión en el manejo del riego, donde se evalúan factores como el costo económico, facilidad de operación, precisión y desempeño de forma similar a los criterios disponibles en la Tabla 1.
Para los métodos de medición y determinación del potencial hídrico en el suelo, existe gran cantidad de recursos bibliográficos donde se comparan las distintas metodologías disponibles (Campbell 1988, Dane y Hopmans 2002, Durner y Or 2006, Bittelli 2010), estableciendo pautas similares a las mencionadas en las Tablas 2 y 3 para la selección del método más adecuado en función de las condiciones de campos y laboratorio. Un aspecto muy importante para considerar es el ámbito de valores de potencial que se desee monitorear o determinar. Por ejemplo, bajo potenciales entre 0 y 0,1 MPa se podrían utilizar tanto tensiómetros y sensores dieléctricos en campo, como columnas colgantes o mesas de tensión mediante muestras no alteradas (Dane y Hopmans 2002). Mientras que en un ámbito de potenciales más bajos (0,1 - 1,5 MPa), los métodos de laboratorio se vuelven una mejor opción debido al abundante respaldo científico disponible en la literatura (Bittelli 2010).
3.2. Implicaciones en el manejo del agua y suelo en sistemas de producción
La demanda de agua del sector agrícola representa 69% de las extracciones mundiales, la cual es destinada para las tierras de riego que generan alrededor del 40% de la producción mundial de productos agrícolas (UNESCO 2020). Actualmente, los sistemas de producción agrícola y forestal enfrentan grandes retos asociados con la variabilidad en los fenómenos climáticos, los cuales afectan de forma directa la disponibilidad de las lluvias y la dinámica de la temperatura (Muñoz-Jiménez et al. 2019). Esto genera cambios drásticos en la dinámica del agua en el suelo y su contribución a la atmósfera y el ciclo del agua (Heitman et al. 2023).
Por lo tanto, mejorar la gestión del recurso hídrico en la agricultura es fundamental para encontrar una respuesta adaptativa a estos desafíos (Pereira 2017). Una alternativa para incrementar la adaptabilidad de estos sistemas a los cambios en los fenómenos atmosféricos es el monitoreo y determinación del contenido y el potencial del agua en el suelo mediante el uso de sensores, recopilando información en el campo necesaria para la toma de decisiones sobre la fertilización (como la identificación de condiciones de humedad óptima del suelo para aplicación de los fertilizantes) y el riego de precisión permitiendo hacer un uso más racional del agua y el suelo (Bitelli 2010, Kukal et al. 2019, Lu et al. 2022). Este tipo de enfoques resaltan la importancia de la conservación del suelo al emplear prácticas que reducen la erosión y escorrentía de la capa superior mejorando la infiltración y retención de humedad del suelo (Ingrao et al. 2023).
Considerando lo anterior, las curvas de retención de humedad del suelo son herramientas fundamentales no solamente para la determinación del agua aprovechable por las plantas y las necesidades de riego y drenaje (Figura 8), sino también en la solución numérica de ecuaciones fundamentales como la ecuación de Richards y la ecuación de la advección-dispersión (Radcliffe y Šimůnek 2018, Solone et al. 2012, Bittelli y Flury 2009). Con esta información, es posible realizar el modelado de fenómenos como la dinámica del agua (Figura 9) y/o solutos en el suelo a partir de variables como precipitación pluvial y la evaporación (Šimůnek et al. 2016).



Para generar estas curvas de retención de humedad, se deben seleccionar los métodos más adecuados según el rango de potenciales en la curva, donde para los valores altos de potencial del agua en el suelo (0-0,1MPa) se prefiere la mesa de succión o columnas colgantes (Dane y Hopmans 2002), el método de evaporación (Peters y Durner 2008), mientras que en los potenciales bajos (0,1-1,5MPa), las ollas de presión han sido más comúnmente utilizadas (Dane y Hopmans 2002). Actualmente se está recomendado el uso de potenciometría de punto de rocío como alternativa a las ollas de presión (Bittelli y Flury 2009), ya que las ollas de presión pueden presentar problemas asociados a dispersión de las muestras y un mal contacto entre el plato poroso y el suelo.
Lo anterior, puede generar errores significativos en la interacción entre el contenido de agua y su potencial correspondiente (Figura 8), lo que repercute en el cálculo del balance hídrico del suelo (Solone et al. 2012). Estos errores podrían generar sub o sobre estimación de las necesidades del riego en sistemas de producción agrícola, cuyo efecto directo podría tener consecuencias drásticas en distritos de riego (Kaune et al. 2017), así como serias implicaciones socioeconómicas debido al costo incremental del agua en estas regiones.
Por otro lado, el uso de los tensiómetros y su facilidad de automatización han permitido no solamente el monitoreo del potencial hídrico, sino también la sistematización de los eventos de riego y la optimización del recurso agua en cultivos agrícolas y forestales de importancia económica como el olivo Olea europaea L. (Aziz et al. 2022), o el álamo blanco chino Populus tomentosa Carr (Jiao et al. 2021) en ambientes con déficit hídrico.
De forma similar, el uso de sensores del tipo TDR, FDR o de capacitancia para medir el contenido de humedad del suelo (Figura 9) como herramienta de decisión para el riego ha venido en aumento en países como Estados Unidos, donde grandes extensiones agrícolas han implementado el uso de estos dispositivos (Kukal et al. 2019). Dichos sensores de humedad también han sido utilizados para la calibración y validación de modelos hidrológicos como HYDRUS 2D (Šimůnek et al. 2016, Camacho et al. 2023), los cuales podrían utilizarse como herramientas de predicción de la dinámica y el contenido de agua en el suelo ante escenarios adversos (Figura 9)
También, el monitoreo del potencial de presión mediante técnicas piezométricas permite no solamente evaluar este componente del potencial de agua, sino también el cálculo de la conductividad hidráulica saturada (Ks ) (Amoozegar 2002), el monitoreo del nivel freático del suelo (Figura 10), y sus posibles efectos sobre el crecimiento de las plantas. Estos datos son necesarios para la solución de las ecuaciones de drenaje interno mediante programas de cómputo especializados como DRAINMOD (Skaggs et al. 2012), que permiten la estimación de las necesidades de drenaje y su efecto en el rendimiento de cultivos de importancia agrícola.
Conclusiones
En el presente trabajo se describió las metodologías para el análisis y la determinación del potencial hídrico y contenido del agua en el suelo, las cuales han sido ampliamente estudiadas, empleadas y validadas en múltiples trabajos sobre física de suelo, pedología e hidrología. Dichas metodologías fueron resumidas, comparadas y contrastadas según sus ventajas y limitaciones. Esto ofrece una serie de pautas para facilitar al lector la elección de la metodología más apropiada para la determinación del potencial y contenido de agua en el suelo en función de sus objetivos y necesidades.
En el panorama actual, las variaciones en los fenómenos atmosféricos y su impacto directo sobre los sistemas de producción agrícola y forestal requieren de un manejo técnico e integrado de los recursos suelo y agua con miras a la producción sostenible. Dicho manejo ha de incluir el monitoreo y determinación de las variables contenido y potencial del agua en el suelo, las cuales son clave para el manejo del riego y drenaje en sistemas de producción agrícola.
Las aplicaciones potenciales de las metodologías descritas en el presente trabajo podrían representar una herramienta de gran utilidad para la optimización de los recursos en estos sistemas productivos. Por ejemplo, el desarrollo de estudios de modelizado hidrológico, calibración y validación de modelos numéricos y sus implicaciones en el manejo del agua y el drenaje en sistemas agrícolas y forestales requieren de información fidedigna en materia de las variables físicas del suelo, por lo que la selección del método de análisis resulta fundamental.
Agradecimientos
Se agradece profundamente a la Ing. Agr. Lucía Cordero Vásquez por su colaboración con el diseño e ilustración de las Figuras.
Literatura citada
Amoozegar, A. 2002. 3.4. 3.5 Piezometer Method (Saturated Zone). In Dane, JH; Topp, CG (eds.). Methods of soil analysis: Part 4. Physical Methods, 5.4. Madison, Wisconsin, USA, SSSA. p. 870-877.
Anderson, MC; Kustas, WP; Norman, JM. 2003. Upscaling and downscaling-A regional view of the soil-plant-atmosphere continuum. Agronomy Journal 95(6):1408-1423.
Aziz, M; Khan, M; Anjum, N; Sultan, M; Shamshiri, RR; Ibrahim, SM; Balasundram, SK; Aleem, M. 2022. Scientific irrigation scheduling for sustainable production in olive groves. Agriculture 12(4):564.
Ball, BC; Hunter, R. 1988. The determination of water release characteristics of soil cores at low suctions. Geoderma 43(2-3):195-212.
Bittelli, M. 2010. Measuring soil water potential for water management in agriculture: A review. Sustainability 2(5):1226-1251.
Bittelli, M. 2011. Measuring soil water content: A review. HortTechnology 21(3):293-300.
Bittelli, M; Flury, M. 2009. Errors in water retention curves determined with pressure plates. Soil Science Society of America Journal 73(5):1453-1460.
Bogena, HR; Huisman, JA; Oberdörster, C; Vereecken, H. 2007. Evaluation of a low-cost soil water content sensor for wireless network applications. Journal of Hydrology 344(1-2):32-42.
Briggs, LJ; Shantz, HL. 1912. The wilting coefficient for different plants and its indirect determination. Bull. 230. USDA Bur. Plant Ind., Washington, DC. 18 p.
Buckingham, E. 1907. Studies on the movement of soil moisture. U.S. Department of Agriculture. Bureau of Soils. Bull. (38).
Calvo, LR. 2005. Métodos de riego: un enfoque práctico para el diseño. Costa Rica, Asociación Costarricense de la Ciencia del Suelo. 168 p.
Camacho, ME; Faúndez-Urbina, CA; Amoozegar, A; Gannon, TW; Heitman, JL; Leon, RG. 2023. Subsurface Lateral Solute Transport in Turfgrass. Agronomy 13(3):903.
Campbell, GS; Smith, DM; Teare, BL. 2007. Application of a dew point method to obtain the soil water characteristic. In Experimental unsaturated soil mechanics. Berlin, Heidelberg, Springer. p. 71-77.
Campbell, GS. 1988. Soil water potential measurement: An overview. Irrigation Science 9:265-273.
Campbell, JE. 1990. Dielectric properties and influence of conductivity in soils at one to fifty megahertz. Soil Science Society of America Journal 54(2):332-341.
Cassel, DK; Klute, A. 1986. Water potential: tensiometry. In Klute, A (ed.). Methods of soil analysis: Part 1. Physical and Mineralogical Methods, 5.1. 2 ed. Madison, Wisconsin, USA, SSSA Book Series. p. 563-596.
Chernyak, GY. 1964. Dielectric methods for investigating moist soils. In Ogil’vi, NA (ed.). Works ofthe All-Union Research Institute of Hydrology and Engineering Geology. New Ser. Nº. 5. Israel Program for Scientific Translations, Jerusalem, Israel. sp.
Collins, M; An, SI; Cai, W; Ganachaud, A; Guilyardi, E; Jin, FF; Jochum, M; Lengaigne, M; Power, S; Timmermann, A; Vecchi, G; Wittenberg, A. 2010. The impact of global warming on the tropical Pacific Ocean and El Niño. Nature Geoscience 3(6):391-397.
Cresswell, HP; Green, TW; McKenzie, NJ. 2008. The adequacy of pressure plate apparatus for determining soil water retention. Soil Science Society of America Journal 72(1):41-49.
da Silva, AP; Kay, BD; Perfect, E. 1994. Characterization of the least limiting water range of soils. Soil Science Society of America Journal 58(6):1775-1781.
da Silva, AP; Kay, BD. 1997. Estimating the least limiting water range of soils from properties and management. Soil Science Society of America Journal 61(3):877-883.
Dane, JH; Hopmans, JW. 2002. Laboratory. In Dane, JH; Topp, CG (eds.). Methods of soil analysis: Part 4. Physical Methods, 5.4. Madison, Wisconsin, USA, SSSA . p. 675-720.
Davis, JL; Chudobiak, WJ. 1975. In situ meter for measuring relative permittivity of soils. Geological Survey of Canada Paper 75-1A:75-79.
Decagon Devices, Inc. 2007. WP4 Dewpoint PotentiaMeter, Operator's manual, for models WP4 and WP4-T. Version 5. Decagon Devices, Pullman, WA.
Diprose, MF. 2001. Some considerations when using a microwave oven as a laboratory research tool. Plant and Soil 229:271-280.
Dixon, C; Blakeslee, A; Mills, M; Sheng, W; Jones, SB. 2023. Automated hanging water column for characterizing water retention and hysteresis of coarse-textured porous media. Technical note. Soil Science Society of America Journal 1-11.
Durner, W; Or, D. 2006. Soil Water Potential Measurement. In Anderson, MG; McDonnell, JJ (eds.). Encyclopedia of Hydrological Sciences, Chapter 73. John Wiley & Sons, Ltd. p. 1089-1102.
Eijkelkamp, Equipment. 2016. Sand / Kaolin Box. User Manual, Royal Eijkelkamp (en línea). Consultado 21 ago. 2023. Disponible en https://www.royaleijkelkamp.com/media/nkpftyf4/manual-sand-kaolin-box.pdf
Eijkelkamp, Equipment. 2022. Sandbox for pF-determination. User Manual, Royal Eijkelkamp (en línea). Consultado 21 ago. 2023. Disponible en https://www.royaleijkelkamp.com/media/ny1lqhyr/m-0801e-sandbox-for-pf-determination.pdf
Forsythe, WM. 1985. Manual de laboratorio de física de suelos. San José, Costa Rica. IICA. 212 p.
Gardner, CMK; Dean, TJ; Cooper, JD. 1998. Soil water content measurement with a high-frequency capacitance sensor. Journal of Agricultural Engineering Research 71(4):395-403.
Gardner, WH. 1986. Water content. In Klute, A. (ed.). Methods of soil analysis: Part 1. Physical and Mineralogical Methods, 5.1. 2 ed. Madison, Wisconsin, USA, SSSA Book Series. p. 493-544.
Gardner, WR; Miklich, FJ. 1962. Unsaturated conductivity and diffusivity measurements by a constant flux method. Soil Science 93(4):271-274.
Gee, GW; Campbell, MD; Campbell, GS; Campbell, JH. 1992. Rapid measurement of low soil water potentials using a water activity meter. Soil Science Society of America Journal 56(4):1068-1070.
Gee, GW; Dodson, ME. 1981. Soil Water Content by Microwave Drying: A Routing Procedure. Soil Science Society of America Journal 45(6):1234-1237.
Gee, GW; Ward, AL; Zhang, ZF; Campbell, GS; Mathison, J. 2002. The influence of hydraulic nonequilibrium on pressure plate data. Vadose Zone Journal 1(1):172-178.
Ghassemi, F; Thomas, GA; Jakeman, AJ. 1988. Effect of groundwater interception and irrigation on salinity and piezometric levels of an aquifer. Hydrological processes 2(4):369-382.
Gubiani, PI; Reichert, JM; Campbell, C; Reinert, DJ; Gelain, NS. 2013. Assessing Errors and Accuracy in Dew‐Point Potentiometer and Pressure Plate Extractor Meaurements. Soil Science Society of America Journal 77(1):19-24.
Halbertsma, JM; Veerman, GJ. 1994. A new calculation procedure and simple set-up for the evaporation method to determine soil hydraulic functions. Wageningen, the Netherlands: DLO Winand Staring Centre. sp.
Hardie, M. 2020. Review of novel and emerging proximal soil moisture sensors for use in agriculture. Sensors 20(23):6934.
Hartge, KH; Horn, R; Horton, R; Bachmann, J; Peth, S. 2016. Essential Soil Physics. Stuttgart, Germany, Schweizerbart Science Publisher. 391 p.
Heimovaara, TJ; Bouten, W. 1990. A computer‐controlled 36‐channel time domain reflectometry system for monitoring soil water contents. Water Resources Research 26(10):2311-2316.
Heimovaara, TJ; Huisman, JA; Vrugt, JA; Bouten, W. 2004. Obtaining the spatial distribution of water content along a TDR probe using the SCEM-UA Bayesian inverse modeling scheme. Vadose Zone Journal 3(4):1128-1145.
Heitman, JL; Kool, D; Carvalho, HD. 2023. Soil management considerations for water resiliency in a changing climate. Agronomy Journal 115(5):2127-2139.
Hillel, D. 1998. Environmental soil physics. San Diego, CA., Academic Press. 771 p.
Hopmans, JW; Šimůnek, J; Romano, N; Durner, W. 2002. Inverse Methods. In Dane, JH; Topp, CG (eds.). Methods of soil analysis: Part 4. Physical Methods, 5.4. Madison, Wisconsin, USA, SSSA . p. 963-1008.
Ingrao, C; Strippoli, R; Lagioia, G; Huisingh, D. 2023. Water scarcity in agriculture: An overview of causes, impacts, and approaches for reducing the risks. Heliyon 9(8):18507. DOI: doi: 10.1016/j.heliyon. 2023.e18507
Jiao, M; Yang, W; Hu, W; Clothier, B; Zou, S; Li, D; Di, N; Liu, J; Lui, J; Duan, J; Xi, B. 2021. The optimal tensiometer installation position for scheduling border irrigation in Populus tomentosa plantations. Agricultural Water Management 253:106922.
Jury, WA; Horton, R. 2004. Soil physics. Hoboken, New Jersey, John Wiley & Sons. 384 p.
Kaune, A; Werner, M; Rodríguez, E; Karimi, P; De Fraiture, C. 2017. A novel tool to assess available hydrological information and the occurrence of sub-optimal water allocation decisions in large irrigation districts. Agricultural Water Management 191:229-238.
Kirkham, D. 1946. Proposed method for field measurement of permeability of soil below the water table. Soil Science Society of America Journal 10(C):58-68.
Klute, A. 1986. Water retention: laboratory methods. In Klute, A (ed.). Methods of soil analysis: Part 1. Physical and Mineralogical Methods, 5.1. 2 ed. Madison, Wisconsin, USA, SSSA Book Series. p. 635-662.
Kramarenko, VV; Nikitenkov, AN; Matveenko, IA; Molokov, VY;Vasilenko, YS. 2016. Determination of water content in clay and organic soil using microwave oven. In IOP Conference Series: Earth and Environmental Science 43(1):012029.
Kukal, MS; Irmak, S; Sharma, K. 2019. Development and application of a performance and operational feasibility guide to facilitate adoption of soil moisture sensors. Sustainability 12(1):321.
Lal, R. 2012. Climate change and soil degradation mitigation by sustainable management of soils and other natural resources. Agricultural Research 1:199-212.
Letey, J. 1985. Relationship between soil physical properties and crop production. Adv. Soil Sci 1:277-294.
Lima, HVD; da Silva, ÁP. 2008. Mesa de tensão com areia: procedimentos para montagem e validação. Revista Brasileira de Ciência do Solo 32:2209-2214.
Lu, Y; Liu, M; Li, C; Liu, X; Cao, C; Li, X; Kan, Z. 2022. Precision fertilization and irrigation: Progress and applications. AgriEngineering 4(3):626-655.
Luo, S; Lu, N; Zhang, C; Likos, W. 2022. Soil water potential: A historical perspective and recent breakthroughs. Vadose Zone Journal 21(4):e20203. DOI: https://doi.org/10.1002/vzj2.20203
MacFarlane, DS; Cherry, JA; Gillham, RW; Sudicky, EA. 1983. Migration of contaminants in groundwater at a landfill: A case study: 1. Groundwater flow and plume delineation. Journal of Hydrology 63(1-2):1-29.
METER, Group Inc. 2021. WP4C Soil Water Potential Lab Instrument. Manual Web (en línea). Consultado 21 ago. 2023. Disponible en https://library.metergroup.com/Manuals/20588_WP4C_Manual_Web.pdf
METER, Group Inc. 2023. TEROS 21 Gen 2 Soil Water Potential Sensor. Manual Web (en línea). Consultado 21 ago. 2023. Disponible en https://library.metergroup.com/Manuals/20854_TEROS21_Gen2_Manual_Web.pdf
Minet, J; Lambot, S; Delaide, G; Huisman, JA; Vereecken, H; Vanclooster, M. 2010. A generalized frequency domain reflectometry modeling technique for soil electrical properties determination. Vadose Zone Journal 9(4):1063-1072.
Mittelbach, H; Lehner, I; Seneviratne, SI. 2012. Comparison of four soil moisture sensor types under field conditions in Switzerland. Journal of Hydrology 430:39-49.
Muñoz, R. 2004. Field Devices for Monitoring Soil Water Content. Department of Agricultural and Biological Engineering, Florida Cooperative Extension Service, Institute of Food and Agricultural Sciences, IFAS/TREC, University of Florida, BUL343/AE266. sp.
Muñoz-Jiménez, R; Giraldo‐Osorio, JD; Brenes‐Torres, A; Avendaño‐Flores, I; Nauditt, A; Hidalgo‐León, HG., Birkel, C. 2019. Spatial and temporal patterns, trends and teleconnection of cumulative rainfall deficits across Central America. International Journal of Climatology 39(4):1940-1953.
Noborio, K. 2001. Measurement of soil water content and electrical conductivity by time domain reflectometry: a review. Computers and electronics in agriculture 31(3):213-237.
Or, D; Tuller, M; Wraith, JM. 2023. Water potential In Goss, MJ; Oliver, M (eds.). Encyclopedia of Soils in the Environment 2 ed. Academic Press. p. 159-167.
Or, D; Wraith, JM. 1999. A new soil metric potential sensor based on time domain reflectometry. Water Resources Research 35(11):3399-3407.
Or, D; Wraith, JM; Warrick, AW. 2002. Soil water content and water potential relationships. In Warrick, AW (ed.). Soil physics companion. Boca Ratón, FL., USA, CRC Press. p. 49-84.
Paltineanu, IC; Starr, JL. 1997. Real‐time soil water dynamics using multisensor capacitance probes: Laboratory calibration. Soil Science Society of America Journal 61(6):1576-1585.
Papendick, RI; Campbell, GS. 1981. Theory and measurement of water potential. Water potential relations in soil microbiology 9:1-22.
Parker, N; Patrignani, A. 2022. Revisiting laboratory methods for measuring soil water retention curves. Soil Science Society of America Journal 84(2):417-424.
Pereira, LS. 2017. Water, agriculture and food: challenges and issues. Water Resources Management 31(10):2985-2999.
Peters, A; Durner, W. 2008. Simplified evaporation method for determining soil hydraulic properties. Journal of Hydrology 356(1-2):147-162.
Powlson, DS; Gregory, PJ; Whalley, WR; Quinton, JN; Hopkins, DW; Whitmore, AP; Goulding, KW. 2011. Soil management in relation to sustainable agriculture and ecosystem services. Food policy 36:S72-S87.
Radcliffe, DE; Šimůnek, J. 2018. Soil physics with HYDRUS: Modeling and applications. Boca Ratón, FL., USA, CRC Press . 388 p.
Rao, BH; Singh, DN. 2011. Moisture content determination by TDR and capacitance techniques: a comparative study. International Journal of Earth Sciences and Engineering 4(6):132-137.
Rasmussen, TC; Crawford, LA. 1997. Identifying and removing barometric pressure effects in confined and unconfined aquifers. Groundwater 35(3):502-511.
Rawlins, SL; Campbell, GS. 1986. Water potential: Thermocouple psychrometry. In Klute, A (ed.). Methods of soil analysis: Part 1. Physical and Mineralogical Methods, 5.1. 2 ed. Madison, Wisconsin, USA, SSSABook Series. p. 597-618.
Reeve, RC. 1986. Water potential: piezometry. In Klute, A (ed.). Methods of soil analysis: Part 1. Physical and Mineralogical Methods, 5.1. 2 ed. Madison, Wisconsin, USA, SSSA Book Series. p. 545-561.
Richards, LA; Fireman, M. 1943. Pressure-plate apparatus for measuring moisture sorption and transmission by soils. Soil Science 56(6):395-404.
Richards, LA; Weaver, L.R. 1943. Fifteen-atmosphere percentages as related to the permanent wilting percentage. Soil Science 56(5):331-340.
Richards, SJ. 1965. Soil suction measurements with tensiometers. Methods of Soil Analysis: Part 1 Physical and Mineralogical Properties, Including Statistics of Measurement and Sampling 9. p. 153-163.
Romano, N; Hopmans, JW; Dane, JH. 2002. 3.3. 2.6 Suction table. In Dane, JH; Topp, CG (eds.). Methods of soil analysis: Part 4. Physical Methods, 5.4. Madison, Wisconsin, USA, SSSA . p. 692-698.
Romano, N; Santini, A. 2002. Water retention and storage: Field. InDane, JH; Topp, CG . (eds.). Methods of soil analysis: Part 4. Physical Methods, 5.4. Madison, Wisconsin, USA, SSSA . p. 721-738.
Salama, RB; Farrington, P; Bartle, GA; Watson, GD. 1993. Distribution of recharge and discharge areas in a first-order catchment as interpreted from water level patterns. Journal of Hydrology 143(3-4):259-277.
Scanlon, BR; Andraski, BJ; Bilskie, J. 2002. 3.2. 4 Miscellaneous methods for measuring matric or water potential. In Dane, JH; Topp, CG (eds.). Methods of soil analysis: Part 4. Physical Methods, 5.4. Madison, Wisconsin, USA, SSSA . p. 643-670.
Schmugge, TJ; Jackson, TJ; McKim, HL. 1980. Survey of methods for soil moisture determination. Water Resources Research 16(6):961-979.
Seneviratne, SI; Corti, T; Davin, EL; Hirschi, M; Jaeger, EB; Lehner, I; Orlowsky, B; Teuling, AJ. 2010. Investigating soil moisture-climate interactions in a changing climate: A review. Earth-Science Reviews 99(3-4):125-161.
Sevostianova, E; Deb, S; Serena, M; Van Leeuwen, D; Leinauer, B. 2015. Accuracy of two electromagnetic soil water content sensors in saline soils. Soil Science Society of America Journal 79(6):1752-1759.
Seyfried, MS; Grant, LE; Du, E; Humes, K. 2005. Dielectric Loss and Calibration of the Hydra Probe Soil Water Sensor. Vadose Zone Journal 4(4):1070-1079.
Sharma, K; Irmak, S; Kukal, MS. 2021a. Propagation of soil moisture sensing uncertainty into estimation of total soil water, evapotranspiration and irrigation decision-making. Agricultural Water Management 243:106454.
Sharma, K; Irmak, S; Kukal, MS; Vuran, MC; Jhala, AJ; Qiao, X. 2021b. Evaluation of soil moisture sensing technologies in silt loam and loamy sand soils: Assessment of performance, temperature sensitivity, and site-And sensor-specific calibration functions. Transactions of the ASABE 64(4):1123-1139.
Shuai, X; Wendroth, O; Lu, C; Ray, C. 2009. Reducing the complexity of inverse analysis of time domain reflectometry waveforms. Soil Science Society of America Journal 73(1):28-36.
Šimůnek, J; van Genuchten, MT; Šejna, M. 2016. Recent Developments and Applications of the HYDRUS Computer Software Packages. Vadose Zone Journal 15(7):1-25.
Šimůnek, J; van Genuchten, MT; Wendroth, O. 1998. Parameter estimation analysis of the evaporation method for determining soil hydraulic properties. Soil Science Society of America Journal 62(4):894-905.
Sisson, JB; Gee, GW; Hubbell, JM; Bratton, WL; Ritter, JC; Ward, AL; Caldwell, TG. 2002. Advances in tensiometry for long‐term monitoring of soil water pressures. Vadose Zone Journal 1(2):310-315.
Skaggs, RW; Youssef, MA; Chescheir, GM. 2012. DRAINMOD: Model use, calibration, and validation. Transactions of the ASABE 55(4):1509-1522.
SoilMoisture, Equipment Corp. 1995. Tempe Pressure Cell, 1400-1405. Operation Instructions. Santa Barbara, CA 93105 USA.
SoilMoisture, Equipment Corp. 2008. 1600 5 Bar Pressure Plate Extractor Operating Instructions. Santa Barbara, CA 93105 USA.
SoilMoisture, Equipment Corp. 2015. 1500 F2 15 Bar Pressure Plate Extractor. Operating Instructions. Santa Barbara, CA 93105 USA .
Solone, R; Bittelli, M; Tomei, F; Morari, F. 2012. Errors in water retention curves determined with pressure plates: Effects on the soil water balance. Journal of Hydrology 470:65-74.
Stakman, WP; Valk, GA; Van der Harst, GG. 1969. Determination of soil moisture retention curves. I. Sand box apparatus. Range pF 0 to 2.7. Wageningen, Netherlands, Institute for Land and Water Management Research. p. 1-19.
Starr, JL; Paltineanu, IC. 2002. Methods for measurement of soil water content: Capacitance devices. In Dane, JH; Topp, CG (eds.). Methods of soil analysis: Part 4. Physical Methods, 5.4. Madison, Wisconsin, USA, SSSA . p. 463-474.
Sun, ZJ; Young, GD; McFarlane, RA; Chambers, B.M. 2000. The effect of soil electrical conductivity on moisture determination using time-domain reflectometry in sandy soil. Canadian Journal of Soil Science 80(1):13-22.
Susha, SL; Singh, DN; Baghini, MS. 2014. A critical review of soil moisture measurement. Measurement 54:92-105.
Tamari, S; Gaudu, JC; Simonneau, T. 1993. Tensiometric measurement and metastable state of water under tension. Soil Science 156 (3):149-155.
Topp, GC; Davis, JL; Annan, AP. 1980. Electromagnetic determination of soil water content: Measurements in coaxial transmission lines. Water Resources Research 16(3):574-582.
Topp, GC; Parkin, GW; Ferré, TPA. 2008. Chapter 70: Soil Water Content. In Carter, MR; Gregorich, EG (eds.). Soil Sampling and Methods of Analysis, 2 ed. Boca Ratón, FL., USA, CRC Press . p. 939-961.
Topp, GC; Zebchuk, W. 1979. The determination of soil-water desorption curves for soil cores. Canadian Journal of Soil Science 59(1):19-26.
Topp, GC; Zegelin, S; White, I. 2000. Impacts of the real and imaginary components of relative permittivity on time domain reflectometry measurements in soils. Soil Science Society of America Journal 64(4):1244-1252.
Topp, CG; Ferré, P. 2002. The soil solution phase. In Dane, JH; Topp, CG (eds.). Methods of soil analysis: Part 4. Physical Methods, 5.4. Madison, Wisconsin, USA, SSSA . p. 417-545.
Townend, J; Reeve MJ; Carter, A. 2001. Water release characteristics. In Smith KA; Mullins C (eds.). Soil and environmental analysis: physical methods, 2 ed. New York, NY., Marcel Dekker. p. 95-140.
Tuller, M; Or, D; Hillel, D. 2004. Retention of water in soil and the soil water characteristic curve. Encyclopedia of Soils in the Environment 4:278-289.
UNESCO. 2020. Informe mundial de las Naciones Unidas sobre el desarrollo de los Recursos Hídricos 2020: Agua y Cambio Climático. UNESCO, Paris, France. 20 p. (en línea). Consultado 21 ago. 2023. Disponible en https://unesdoc.unesco.org/ark:/48223/pf0000373611.locale=es
van den Elsen, HGM; Ritsema, CJ; Seeger, M; Keesstra, SD. 2014. Averaging performance of capacitance and time domain reflectometry sensors in nonuniform wetted sand profiles. Vadose Zone Journal 13(12):1-13.
van Lier, QDJ; Pinheiro, EAR; Inforsato, L. 2019. Hydrostatic equilibrium between soil samples and pressure plates used in soil water retention determination: consequences of a questionable assumption. Revista Brasileira de Ciência do Solo 43:e0190014.
Vanapalli, SK; Nicotera, MV; Sharma, RS. 2008. Axis translation and negative water column techniques for suction control. In Tarantino, A; Romero, E; Cui, YJ (eds.). Laboratory and field testing of unsaturated soils. Springer, Dordrecht. DOI: https://doi.org/10.1007/978-1-4020-8819-3_4
Veldkamp, E; O'Brien, JJ. 2000. Calibration of a frequency domain reflectometry sensor for humid tropical soils of volcanic origin. Soil Science Society of America Journal 64(5):1549-1553.
Vepraskas, MJ; Richardson, JL; Tandarich, JP. 2006. Dynamics of redoximorphic feature formation under controlled ponding in a created riverine wetland. Wetlands 26(2):486-496.
Walker, JP; Willgoose, GR; Kalma, JD. 2004. In situ measurement of soil moisture: a comparison of techniques. Journal of Hydrology 293(1-4):85-99.
Wind, GP. 1968. Capillary conductivity data estimated by a simple method. In Rijtema, PE; Wassink, H (eds.). Water in the unsaturated zone. Proceedings of the Wageningen Symposium, IASH Gentbrugge/ Unesco, Paris. p. 181-191.
Young, MH. 2002. Piezometry. In Dane, JH; Topp, CG (eds.). Methods of soil analysis: Part 4 Physical Methods, 5.4. Madison, Wisconsin, USA, SSSA . p. 547-573.
Young, MH; Sisson, JB. 2002. Tensiometry. In Dane, JH; Topp, CG (eds.). Methods of soil analysis: Part 4 Physical Methods, 5.4. Madison, Wisconsin, USA, SSSA . p. 575-608.
Yu, S; Xu, Q; Cheng, X; Xiang, Y; Zhu, Y; Yan, X; Cheng, Q. 2021. In-situ determination of soil water retention curves in heterogeneous soil profiles with a novel dielectric tube sensor for measuring soil matric potential and water content. Journal of Hydrology 603:126829