Nota Técnica
Análisis genético de Beauveria y Metarhizium tropicales asociados a insectos en caña de azúcar1
Genetic analysis of tropical Beauveria and Metarhizium associated with sugar cane insects
Análisis genético de Beauveria y Metarhizium tropicales asociados a insectos en caña de azúcar1
Agronomía Mesoamericana, vol. 30, núm. 1, pp. 267-280, 2019
Universidad de Costa Rica

Recepción: 08 Febrero 2018
Aprobación: 13 Agosto 2018
Resumen: Introducción. Los hongos entomopatógenos son importantes biopesticidas que se utilizan para controlar plagas invertebradas en la agricultura. La generación de información genética y sus relaciones geográficas son importantes para estudios de diversidad y para la protección de recursos biológicos. Objetivo. El objetivo de este trabajo fue analizar la diversidad alélica y las relaciones genéticas y geográficas de la colección de hongos entomopatógenos de los géneros Beauveria y Metarhizium del Departamento de Investigación y Extensión de la Caña de Azúcar (DIECA), de la Liga Agrícola Industrial de la Caña de Azúcar (LAICA). Materiales y métodos. El trabajo se llevó a cabo en DIECA y en la Universidad Nacional de Costa Rica, entre los años 2014 y 2015. Un total de catorce aislamientos de Beauveria y trece de Metarhizium fueron aislados de diversos himenópteros y coleópteros de Costa Rica y de Brasil. Se realizaron análisis de relaciones genéticas por medio de marcadores tipo microsatélite (SSR), doce para Beauveria y trece para Metarhizium. Se realizaron pruebas de Mantel para analizar las matrices geográficas y genéticas. Resultados. Todos los cebadores para amplificar SSRs en Beauveria generaron productos, mientras que solo ocho de los trece pares de Metarhizium generaron productos. Varios juegos de cebadores fueron altamente informativos para Beauveria. Solo uno de los pares de cebadores fue moderadamente informativo para los aislamientos de Metarhizium. Cinco pares de cebadores para SSR de Beauveria generaron perfiles genéticos únicos en ocho de los catorce aislamientos (57%). Las relaciones genéticas revelaron dos clados principales entre los aislamientos de Beauveria, donde uno de los clados se dividió en dos grupos. Los aislamientos de Metarhizium estuvieron relacionados estrechamente con la excepción de un aislamiento (MaI12). Un modelo lineal explicó el 26% de la variabilidad de la correlación entre las distancias genéticas y geográficas en los aislamientos de Beauveria. En Metarhizium no se encontró una correlación. Conclusión. Mayor número de marcadores u otro sistema de marcadores serían necesarios para distinguir los aislamientos de la colección, sin embargo, fueron altamente informativos y serán útiles para futuros estudios.
Palabras clave: Coleóptera, Hemíptera, hongos entomopatógenos, microsatélites, Saccharum officinarum.
Abstract: Introduction. Entomopathogenic fungi are used as biopesticides to control invertebrate pests in agriculture. The generation of genetic information and its geographic relationships are important for diversity studies and for the protection of biological resources. Objective. The aim of this study was to analyze the allelic diversity and the genetic and geographic relationships of several isolates of Beauveria and Metarhizium from Departamento de Investigación y Extensión de la Caña de Azúcar (DIECA) of Liga Agrícola Industrial de la Caña de Azúcar (LAICA). Materials and methods. This research was performed in DIECA and Universidad Nacional in 2014 and 2015. Fourteen and thirteen isolates of Beauveria and Metarhizium, respectively, were cultured from various Hymenoptera and Coleoptera insects of Costa Rica and Brazil. The isolates were analyzed using primer pairs that amplified simple sequence repeat (SSR) markers; twelve specific to Beauveria and thirteen specific to Metarhizium. Geographic and genetic correlation matrices were tested using a Mantel test. Results. All Beauveria primer pairs generated products, while only eight of the thirteen Metarhizium pairs generated products. Several sets of Beauveria primers were highly informative, but only one of the pairs was moderately informative in Metarhizium. Five Beauveria primer pairs generated unique genetic profiles in eight of the fourteen isolates (57%). Genetic relationships revealed two major clades among the Beauveria isolates, where one of these clades separated into two smaller groups. Metarhizium isolates were closely related, except for one (Mal12). A linear model explained 26% of the variability of the correlation between the genetic distances and the geographic distances found in Beauveria isolates, however, no relationships were found in Metarhizium isolates. Conclusion. A greater number of markers or different molecular marker technologies would be necessary to distinguish the isolates from the collection. The information in this work is useful for diversity studies and protection of intellectual property. Herein, we also consider search strategies to encounter diverse fungi.
Keywords: Coleoptera, entomopathogenic fungi, Hemiptera, microsatellites, Saccharum officinarum.
Introducción
El uso de hongos entomopatógenos en la agricultura como biopesticidas para plagas invertebradas, ha tomado un rol importante dentro de los programas de manejo agronómico (Keswani et al., 2016). Cuando se realizan ensayos en campo, bajo estructuras de ambiente controlado o de manera in vitro, la investigación está dirigida a entender el comportamiento de las poblaciones, tanto del artrópodo como del hongo o de los hongos controladores utilizados y su relación directa con otros factores externos que intervienen en el proceso de parasitismo del hongo sobre la plaga. Sin embargo, es de suma importancia entender las relaciones de las características geográficas y genéticas que existen en los hongos controladores.
Tradicionalmente, las características micro y macroscópicas han sido los criterios utilizados para la diferenciación de hongos entomopatógenos. Además, las características registradas a nivel de campo, tales como ubicación geográfica, condiciones climáticas, hábitat, sistema de cultivo y propiedades del suelo, son factores que inciden en la caracterización de cepas (Sánchez-Peña et al., 2011; Toledo et al., 2013).
En la actualidad, investigadores han obtenido una mayor información acerca de los controladores biológicos, mediante técnicas moleculares que analizan los perfiles genéticos que permiten elaborar dendrogramas para revelar sus relaciones genéticas de manera más objetiva. Las empresas interesadas en biopesticidas buscan la protección de propiedad intelectual. Asimismo, muchos países ricos en diversidad están protegiendo sus recursos biológicos por medio de leyes estrictas. Esto enfatiza la importancia de entender las relaciones genéticas y la diversidad alélica particular de aislamientos entomopatógenos.
Una manera efectiva de caracterizar la diversidad para la protección de recursos biológicos, es por medio de marcadores moleculares. En Metarhizium y Beauveria se han aplicado marcadores moleculares tipo amplificación aleatoria de ADN polimórfico (RAPD, por sus siglas en inglés), y repetición de secuencias discretas (SSR, por sus siglas en inglés) o microsatélites (Castrillo et al., 2003; Rehner y Buckley, 2003; Aquino-De-Muro et al., 2005; Becerra-Velásquez et al., 2007; Freed et al., 2011; Zhang et al., 2016). Aunque cualquiera de estos sistemas de marcadores es efectivo para caracterización, los RAPD, ISSR y AFLP amplifican numerosos segmentos desconocidos y, rara vez, generan perfiles genéticos exclusivos a un individuo. Sin embargo, los SSR son segmentos del genoma conservados a nivel de género (y en algunos casos a nivel de familia) en organismos eucariontes, y se encuentran en el genoma nuclear y citoplásmico (FitzSimmons et al., 1995; Decroocq et al., 2003; Barbará et al., 2007; Hu et al., 2009). También, los SSR son segmentos de ADN con secuencia conocida y son sumamente informativos cuando se revelan varios SSR, puesto que generan perfiles casi exclusivos a un solo individuo; una probabilidad de 10-15 de repetirse en dos individuos no relacionados de manera aleatoria (Carracedo y Sánzhez-Diz, 2005). Esto hace a los SSR particularmente útiles para la protección de recursos genéticos, así como la caracterización genética. Cebadores para amplificar SSRs en Beauveria han sido diseñados a partir de un aislamiento de B. bassiana de la Costa de Marfil, y sus motivos repetitivos son simples de dos o tres nucleótidos (Rehner y Buckley, 2003; Meyling et al., 2012). Métodos similares también han sido utilizados para diseñar cebadores que amplifiquen SSRs en Metarhizium, basados en un aislamiento de M. anisopliae (cepa ARSEF 7524) por Oulevey et al. (2009), pero sus motivos repetitivos son complejos.
Algunos autores han podido relacionar la especificidad del hospedero a nivel de orden a cepas de Metarhizium exclusivamente de origen tropical (St Leger et al., 1992; Bridge et al., 1997; Leal et al., 1997), sin embargo, estudios recientes no han encontrado ningún tipo de correlación entre la especie hospedera y especies o genotipos de Metarhizium (Bischoff et al., 2009; Freed et al., 2011; Bautista-Glavez et al., 2012). Al analizar aislamientos de Metarhizium de origen panameño, tampoco se encontró correlación con la diferenciación genética de los aislamientos y su ubicación geográfica, ni hubo especificidad con el hospedero (Hughes et al., 2004). Esto concuerda con estudios de diversidad genética y geográfica de Metarhizium en China (Zhang et al., 2016), México (Hernández-Domínguez et al., 2016), y otras partes del mundo (Bischoff et al., 2009; Nishi et al., 2011), y la mayoría de estos estudios apoyan una hipótesis de, o sugieren que hay, diversificación por tipo de hábitat.
Para la protección de propiedad intelectual y el conocimiento de la diversidad genética de los hongos entomopatógenos, el objetivo de este trabajo fue analizar la diversidad alélica y las relaciones genéticas y geográficas de la colección de aislamientos de Beauveria y Metarhizium del Departamento de Investigación y Extensión de la Caña de Azúcar (DIECA) de la Liga Agrícola Industrial de la Caña de Azúcar (LAICA).
Materiales y Métodos
Aislamientos
Se analizaron trece aislamientos de Metarhizium y catorce de Beauveria de la micoteca de DIECA, de LAICA, Costa Rica, entre los años 2014 y 2015. La mayoría de los aislamientos de Metarhizium provinieron de insectos recolectados en plantaciones de caña de azúcar en diferentes regiones de Costa Rica (Cuadro 1). Los aislamientos de Beauveria se obtuvieron de diferentes insectos de diversos cultivos. En algunos casos los aislamientos del hongo entomopatógeno fueron originarias de estaciones de investigación de Brasil (Cuadro 1). Algunos aislamientos se inocularon sobre insectos de interés para realizar un proceso de revigorización de la actividad patogénica del hongo. Los aislamientos se mantuvieron en placas de agar papa dextrosa (PDA).

Table 1.Beauveria (DB1 to DB14) and Metarhizium (DM1 to DM12 and Ma12) isolate codes, geographic origin and insect hosts. Isolates provided by Departamento de Investigación y Extensión de la Caña de Azúcar (DIECA) of Liga Agrícola Industrial de la Caña de Azúcar (LAICA), Costa Rica. 2014-2015.
Análisis de microsatélites
Todos los análisis de marcadores moleculares se realizaron en la Escuela de Ciencias Agrarias de la Universidad Nacional de Costa Rica. ADN genómico total se extrajo siguiendo el protocolo descrito por Castle et al. (1998) con modificaciones. La calidad y cantidad del ADN se cuantificó en un gel de agarosa al 0,8%, que se corrió a 90V por 30 min en buffer TBE (tris-ácido bórico-EDTA). El ADN se tiñó con tinción para ácidos nucleicos a 1 ul/100 ul de buffer de carga durante la corrida. La imagen se digitalizó con un fotodocumentador digital de geles. Se seleccionaron doce pares de cebadores para marcadores tipo SSR en Beauveria (Rehner y Buckley, 2003; Meyling et al., 2012) y catorce en Metarhizium (Oulevey et al., 2009), para un análisis preliminar en una submuestra de cada género. Todos los pares de cebadores de Beauveria amplificaron, sin embargo, seis de los pares de cebadores de Metarhizium no generaron productos. Por lo tanto, ocho pares de cebadores fueron utilizados para el análisis de diversidad.
Las reacciones en cadena de la polimerasa (PCR, por sus siglas en inglés) se realizaron en un microtubo a un volumen final de 10 µl y siguiendo el protocolo modificado por medio del cebador M13 para marcaje universal (Schuelke, 2000). Cada reacción estuvo compuesta por: buffer para Taq polimerasa a 1X, dNTP a 0,2 mM, MgCl2 a 2,5 mM, 0,2 pmol del cebador sentido, 1,0 pmol del cebador antisentido, 0,8 pmol del cebador M13 marcado con un fluorocromo específico para un analizador de ADN automatizado y 60 ng de ADN plantilla. Las reacciones se realizaron en un termociclador de 96 pozos con los siguientes programas de amplificación: (1) para la amplificación del microsatélite, se realizó una desnaturalización inicial de 95 °C por 5 min, quince ciclos a 95 °C por 30 s, 30 s a la temperatura de hibridación del marcador molecular, y una extensión a 72 °C por 1 min; (2) para la incorporación del cebador M13 fluorocromado, se realizaron veinticinco ciclos a 95 °C por 30 s, 50 °C por 30 s y a 72 °C por 1 min, y una extensión final a 72 °C por 5 min. Los productos de PCR se desnaturalizaron en formamida al 99% por 5 min a 95 °C, después se tomaron 0,5 µl de la reacción y se cargaron en un gel de poliacrilamida al 8% en buffer TBE. Los geles fueron digitalizados en un analizador de ADN automatizado, donde los fragmentos fueron separados con una corriente eléctrica de 2000 V por 2 h.
Se generó una matriz binaria de presencia y ausencia de fragmentos con el programa de libre acceso CrossChecker (Buntjer y Otsen, 1999). Un análisis de distancias genéticas y pruebas de Mantel de correlación se realizaron por medio del programa de macros en Excel, GenAlEx 6 (Peakall y Smouse, 2006). El contenido de la información polimórfica (PIC, por sus siglas en inglés) se calculó según Shete et al. (2000) y Botstein et al. (1980). Las distancias genéticas se transformaron en dendrogramas con el algoritmo de UPGMA en SplitsTree. Los gráficos de las pruebas de Mantel fueron generados en el programa estadístico R (R-Core-Team, 2016).
Resultados
Análisis de microsatélites
Los doce pares de cebadores para amplificar microsatélites en Beauveria generaron un producto de PCR en al menos una de las muestras de ADN extraídos a partir de los aislamientos (Cuadro 2). Sin embargo, de los trece pares de cebadores para amplificar microsatélites en Metarhizium, ocho pares generaron un producto en al menos una de las muestras de ADN (Cuadro 2). El par de cebadores que reveló la mayor cantidad de alelos fue Ba06 (seis alelos), seguido por los pares Ba02, Ba08, y Ba17 (Cuadro 2; Figura 1). Sin embargo, el par más informativo fue Ba02 (PIC = 0,63). En total, estos cuatro juegos generaron veintiún alelos distinguibles. A pesar de tener un valor menor a 0,50 (PIC = 0,37), el par de cebadores Ba16 generó alelos que permitieron diferenciar varios aislamientos. Aun considerando todos los pares de cebadores de Beauveria, no fue posible generar perfiles genéticos únicos para cada aislamiento. Ocho de los quince aislamientos analizados tuvieron perfiles genéticos únicos, mientras que los siete restantes compartieron perfiles con uno o dos de los otros aislamientos (DB1, DB2, DB3, DB5, DB6, DB7, y DB9).

Table 2. Beauveria and Metarhizium microsatellite molecular markers (SSR) tested in polymerase chain reactions using genomic DNA extracted from a fungal library of the Departamento de Investigación y Extensión de la Caña de Azúcar (DIECA) of Liga Agrícola Industrial de la Caña de Azúcar (LAICA), Costa Rica, 2014-2015.

Figure 1. Genetic relationships among fourteen Beauveria isolates from Costa Rica and Brazil analyzed with twelve primer pairs to amplify microsatellites (SSR). Nei genetic distances were used to generate a dendrogram by UPGMA. A Beauveria bassiana isolate from the National University of Costa Rica’s fungal collection was used as a reference positive control. Costa Rica. 2014-2015.
Para Metarhizium, aparte de no generar productos de PCR al aplicar ciertos pares de cebadores, aquellos cebadores que amplificaron productos generaron máximo tres alelos, a pesar de su complejidad de repeticiones en tándem (Cuadro 2). Todos los cebadores no obtuvieron valores PIC mayores a 0,25, excepto Ma2060.
Relaciones genéticas y geográficas
Los aislamientos de Beauveria presentaron una diversificación de dos clados principales notablemente separados, donde uno de estos se separó en dos grupos similares (Figura 1). La separación de estos dos clados principales fue marcada, con una distancia genética de Nei de 2,525 entre los aislamientos más distantes de ambos clados (DB3 vs. DB14). Cada uno de los clados principales presentó poca diversidad dentro de sí, con la excepción de un clado con una subdivisión, aún cuando esta separación de dos subgrupos presentó poca diversidad (Figura 1). A pesar de que los aislamientos fueron extraídos a partir de hospederos diversos, no se encontraron tendencias o agrupamientos basados en el hospedero. Los aislamientos DB12 y DB14 se obtuvieron en Brasil, sin embargo, estuvieron relacionados genéticamente con otro aislamiento encontrado en Costa Rica (DB4).
A pesar de la poca diversidad alélica en los aislamientos de Metarhizium, se logró definir grupos relacionados. Se lograron separar tres grandes clados de aislamientos, pero hubo poca variación dentro de cada clado (Figura 2). El aislamiento Mal12 fue el más diverso comparado con todos los demás. Los aislamientos Mal12 y DM7 fueron los más distantes, con una distancia genética de Nei de 2,013. Mal12 se aisló a partir de mosca blanca (Bemisia tabaci) de la familia Aleyrodidae, mientras que los demás aislamientos se extrajeron a partir de Zulia vilior y Aeneolamia albofasciata, ambos en Cercopidae, más un aislamiento extraído a partir de Saccharosydne saccharivora (Delphacidae). El aislamiento DM10 fue obtenido de Brasil, pero fue genéticamente similar a los demás aislamientos de Costa Rica.

Figure 2. Genetic relationships among thirteen isolates of Metarhizium from Costa Rica and Brazil analyzed with eight microsatellite (SSR) primer pairs. Nei genetic distances were used to generate a dendrogram by UPGMA. A Metarhizium anisopliae isolate from the National Universiy of Costa Rica’s fungal collection was used as a positive control. Costa Rica. 2014-2015.
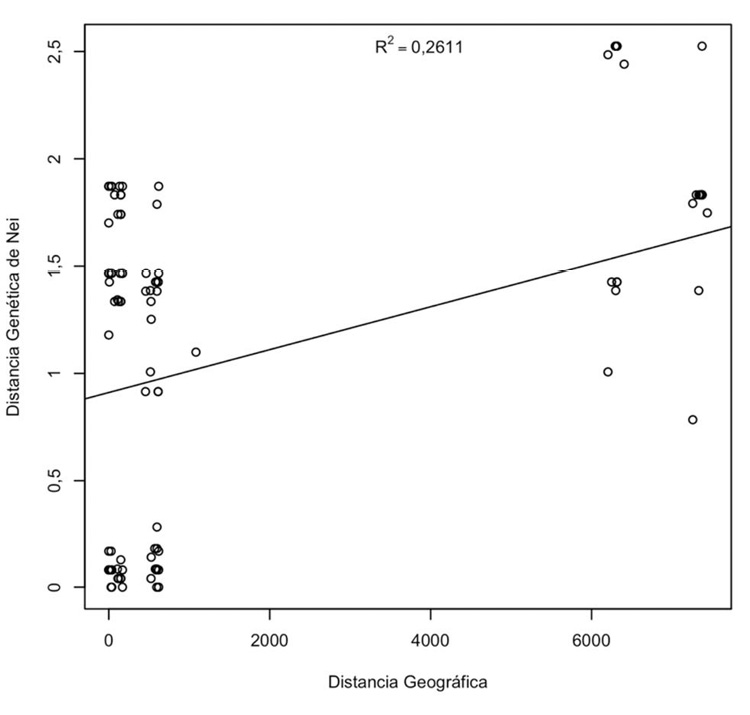
Las distancias genéticas tuvieron una correlación positiva con las distancias geográficas (Cuadro 1) para los aislamientos Beauveria (Figura 3; p=0,020). Conforme la distancia geográfica incrementó, la distancia genética se incrementó también. Sin embargo, este modelo solo explica el 26% de la variabilidad (y =0,0001x+0,9108). Las distancias genéticas y geográficas de los aislamientos de Metarhizium no tuvieron una correlación significativa (Figura 4; p=0,630).

Figure 3. Mantel test graph of the Euclidean distance matrices of the geographical and genetic distances for Beauveria isolates. Genetic relationships were analyzed using 12 microsatellite (SSR) primer pairs. Significant correlation (Rxy=0.511, p=0.020), Costa Rica. 2014-2015.

Figure 4. Mantel test graph of the Euclidean distance matrices of the geographical and genetic distances for Metarhizium isolates. Genetic relationships were analyzed using eight microsatellite (SSR) primer pairs. Non-significant correlation (Rxy=-0,076; p=0,630), Costa Rica. 2014-2015.
Discusión
Análisis de microsatélites
Este estudio reporta alelos de peso molecular que serán útiles para otros estudios de diversidad en el trópico, aunque principalmente para Beauveria. Los cebadores para amplificar microsatélites en ADN de Beauveria desarrollados por Rehner y Buckley (2003) y Meyling et al. (2009; 2012) lograron amplificar los SSR de al menos uno de los aislamientos de Beauveria. A pesar de que Oulevey et al. (2009) realizaron un método similar a Meyling et al. (2009), la amplificación de productos de PCR con el uso de ADN de los aislamientos de este estudio no fue exitosa para varios pares de cebadores. Esto implica que hay segmentos no complementarios con los cebadores en el ADN de aislamientos de Metarhizium, que impidió la hibridación del cebador o que la adición del cebador universal M13 para marcar los productos interfirió en la amplificación. Sin embargo, el método M13 de Schuelke (2000) fue exitoso en las reacciones de PCR para todos las pares de cebadores de Beauveria, lo que sugiere que el ADN de los aislamientos de Metarhizium contiene segmentos no complementarios a los cebadores. Otros autores también han notado la pobre diversidad alélica de microsatélites en aislamientos de Metarhizium originarios de países de Asía y Europa (Freed et al., 2011), y de Chile (Becerra-Velásquez et al., 2007), a pesar de contener secuencias repetidas complejas, donde se esperaría observar diversidad alélica.
Los pares de cebadores de los marcadores Ba02, Ba06, Ba08 y Ba17, serían útiles para la protección de recursos biológicos y para estudios de diversidad, ya que generaron veintiún alelos diferentes en los aislamientos de este estudio y se asociaron a un valor PIC mayor a 0,60. Si se considera también el par de cebadores del marcador Ba15 (PIC = 0,58), se podrían generar hasta veinticuatro alelos diferentes. Para propósitos de identificar cada aislamiento de este estudio, se podrían utilizar los cebadores de los marcadores B02, B06, B08, Ba16 y Ba17. Sin embargo, no se podría distinguir entre los aislamientos DB1 y DB6; DB2, DB3 y DB7; y entre DB5 y DB9. Esta limitante, en parte, se debe a la naturaleza haploide de Beauveria, puesto que se puede asociar un solo alelo por locus por aislamiento. También es necesario considerar la naturaleza mitospórica del hongo, en otras palabras, es posible encontrar aislamientos genéticamente idénticos. Por lo tanto, es necesario evaluar un mayor número de marcadores para lograr una identificación a nivel de aislamiento y así, considerar otros métodos para descartar aislamientos repetidos de la colección.
Esta diversidad alélica no se observó para aquellos marcadores reportados por Oulevey et al. (2009). Solo uno de los pares de cebadores superó un valor PIC de 0,25, lo cual es considerado poco informativo (Botstein et al., 1980). Otros pares de cebadores se tendrían que evaluar para objetivos similares de protección de material biológico y de análisis de diversidad de Metarhizium, al menos para el caso de estos aislamientos tropicales. Para lograr mejorar este tipo de aplicación es necesario un análisis de prueba de un mayor número de marcadores tipo SSR o aplicar otra tecnología de marcadores como polimorfismo de nucleótido único (SNP, por sus siglas en inglés), ya que se ha encontrado una diversidad alélica pobre por medio de SSR por varios autores, incluyendo este estudio.
Relaciones genéticas y geográficas
Con base en solo dos clados principales en los aislamientos de Beauveria y considerando que cada clado fue genéticamente distante, los grupos no presentaron tendencias ni correlaciones genéticas con el insecto hospedero. Esto refleja principalmente la naturaleza cosmopolita de Beauveria y sugiere que la especificidad de hospedero de Beauveria es una característica poligénica (Meyling y Eilenberg, 2007). Similarmente, Garrido-Jurado et al. (2011) no encontraron correlaciones con la diversidad genética de 53 aislamientos españoles de B. bassiana y el hospedero de origen. La diversidad de los aislamientos de Beauveria se puede explicar por barreras o componentes geográficos, pero solo explica parcialmente la variabilidad (26%). Se especula que esto es porque dos aislamientos provenientes de Brasil formaron uno de los clados (DB12 y DB14), con la excepción de DB4. Si se considerara que, las distancias entre sitios muestreados dentro de Costa Rica fueron relativamente cortas, sería necesario muestrear sitios intermedios entre Costa Rica y Brasil para establecer un modelo con mayor R cuadrado y así, sustentar una hipótesis que mejor explique la variabilidad genética de los aislamientos por sus ubicaciones geográficas.
Se ha demostrado, en otros estudios, que las distancias geográficas influyen sobre las distancias genéticas de aislamientos provenientes de Brasil y EEUU (Fernandes et al., 2009). Secuenciación de genomas completos mitocondriales y las regiones variables intergénicas (ITS1-5.8s-ITS2) de 76 aislamientos, revelaron que la variabilidad genética de B. bassiana s.l. estuvo fuertemente correlacionada a factores climáticos (Ghikas et al., 2010). Otros estudios también han encontrado este hallazgo en B. bassiana (Wang et al., 2003; Hadapad et al., 2006; Garrido-Jurado et al., 2011). Los resultados de este estudio concordarían con una hipótesis de correlación geográfica o climática con la diferenciación genética en Beauveria, sin embargo, solo se demostró a nivel de género.
La prueba de Mantel no tuvo significación para la correlación de las relaciones genéticas con las distancias geográficas en Metarhizium. Fue difícil establecer correlación entre el hospedero y las relaciones genéticas, puesto que hubo tres especies de insectos hospederos de Hemíptera. Sin embargo, Mal12 fue el único aislamiento encontrado en una familia hospedera diferente (Aleyrodidae). Estos hallazgos reflejaron la naturaleza generalista reportada para Metarhizium (Bischoff et al., 2009; Freed et al., 2011; Bautista-Glavez et al., 2012).
Los resultados obtenidos implican enfocar nuevas búsquedas de aislamientos de Beauveria en diferentes hábitats o ecosistemas, y esperar que la distancia geográfica incida sobre su diversidad. Para el caso de Metarhizium, el panorama aún no queda claro, pero la literatura sugiere diversificación debido al ambiente. En ambos géneros de hongos no se puede esperar, en general, especificidad del genotipo o especie del hospedero.
Conclusiones
Las relaciones genéticas de los aislamientos de Beauveria y Metarhizium de la colección de LAICA-DIECA se conforma por dos a tres grandes grupos genéticos, donde podrían existir accesiones genéticamente idénticas dentro de cada grupo. Mayor número de marcadores SSR serían necesarios para distinguir los aislamientos de Beauveria, mientras que otra tecnología de marcadores moleculares tendría que ser implementada en Metarhizium para entender mejor las relaciones genéticas y para identificar aislamientos. Las distancias geográficas explican, parcialmente, la diversidad genética de los aislamientos de Beauveria, no así para el caso de los aislamientos de Metarhizium. Varios marcadores tipo SSR de Beauveria fueron altamente informativos y lograron distinguir 57% de los aislamientos de la colección.
Literatura citada
Aquino-De-Muro, M., S. Elliott, D. Moore, B.L. Parker, M. Skinner, W. Reid, and M. El-Bouhssini. 2005. Molecular characterisation of Beauveria bassiana isolates obtained from overwintering sites of Sunn Pests (Eurygaster and Aelia species). Mycol. Res. 109:294-306. doi:10.1017/S0953756204001832
Barbará, T., C. Palma-Silva, G.M. Paggi, F. Bered, M.F. Fay, and C. Lexer. 2007. Cross-species transfer of nuclear microsatellite markers: potential and limitations. Mol. Ecol. 16:3759-3767. doi:10.1111/j.1365-294X.2007.03439.x
Bautista-Glavez, A., J.F. Barrera, E. Payró-de-la-Cruz, S. Salgado-García, J. Gómez-Ruiz, and J.F. Gomez-Leyva. 2012. Genetic characterisation of Metarhizium anisopliae (Metchnikoff) Sorokin isolates from sugarcane fields and their pathogenicity against Aeneolamia postica (Walker) (Hemiptera: Cercopidae). Univ. Cienc. 28:217-229.
Becerra-Velásquez, V., M. Paredes-Cárcamo, C. Rojo-Meriño, A. France-Iglesias, and J. Franco-Durán. 2007. Intraspecific differentiation of Chilean isolates of the entomopathogenic fungi Metarhizium anisopliae var. anisopliae as revealed by RAPD, SSR and ITS markers. Genet. Mol. Biol. 30:89-99. doi:10.1590/S1415-47572007000100017
Bischoff, J.F., S.A. Rehner, and R.A. Humber. 2009. A multilocus phylogeny of the Metarhizium anisopliae lineage. Mycologia 101:512-530. doi:10.3852/07-202
Botstein, D., R.L. White, M. Skolnick, and R.W. Davis. 1980. Construction of a genetic linkage map in man using restriction fragment length polymorphisms. Am. J. Hum. Genet. 32:314-331.
Bridge, P.D., C. Prior, J. Sagbohan, C.J. Lomer, M. Carey, and A. Buddie. 1997. Molecular characterization of isolates of Metarhizium from locusts and grasshoppers. Biodivers. Conserv. 6:177-189. doi:10.1023/A:1018387918686
Buntjer, J.B., and M. Otsen. 1999. Cross checker provides computer-assisted marker interpretation. J. Agric. Genomics 4:1-6.
Carracedo, A., and P. Sánchez-Diz. 2005. Forensic DNA typing technologies. In: A. Carracedo, editor, Forensic DNA typing protocols. Humana Press, Totowa, NJ, USA. p. 1-11.
Castle, A., D. Speranzini, N. Rghei, G. Alm, D. Rinker, and J. Bissett. 1998. Morphological and molecular identification of Trichoderma isolates on North American mushroom farms. Appl. Environ. Microb. 64:133-137.
Castrillo, L.A., J.D. Vandenberg, and S.P. Wraight. 2003. Strain-specific detection of introduced Beauveria bassiana in agricultural fields by use of sequence-characterized amplified region markers. J. Invertebr. Pathol. 82(2):75-83. doi:10.1016/S0022-2011(02)00190-8
Decroocq, V., M.G. Fave, L. Hagen, and L. Bordenave. 2003. Development and transferability of apricot and grape EST microsatellite markers across taxa. Theor. Appl. Genet. 106:912-922. doi:10.1007/s00122-002-1158-z
Fernandes, É.K., Á.M. Moraes, R.S. Pacheco, D.E. Rangel, M.P. Miller, V.R. Bittencourt, and D.W. Roberts. 2009. Genetic diversity among Brazilian isolates of Beauveria bassiana: Comparisons with non-Brazilian isolates and other Beauveria species. J. Appl. Microbiol. 107:760-774. doi:10.1111/j.1365-2672.2009.04258.x
FitzSimmons, N.N., C. Moritz, and S.S. Moore. 1995. Conservation and dynamics of microsatellite loci over 300 million years of marine turtle evolution. Mol. Biol. Evol. 12:432-440. doi:10.1093/oxfordjournals.molbev.a040218
Freed, S., F.L. Jin, and S.X. Ren. 2011. Determination of genetic variability among the isolates of Metarhizium anisopliae var. anisopliae from different geographical origins. World J. Microbiol. Biotechnol. 27:359-370. doi:10.1007/s11274-010-0466-8
Garrido-Jurado, I., M. Márquez, A. Ortiz-Urquiza, C. Santiago-Álvarez, E.A. Iturriaga, E. Quesada-Moraga, E. Monte, and R. Hermosa. 2011. Genetic analyses place most Spanish isolates of Beauveria bassiana in a molecular group with word-wide distribution. BMC Microbiol. 11:84. doi:10.1186/1471-2180-11-84
Ghikas, D.V., V.N. Kouvelis, and M.A. Typas. 2010. Phylogenetic and biogeographic implications inferred by mitochondrial intergenic region analyses and ITS1-5.8S-ITS2 of the entomopathogenic fungi Beauveria bassiana and B. brongniartii. BMC Microbiol. 10:174. doi:10.1186/1471-2180-10-174
Hadapad, A., A. Reineke, and C.P. Zebitz. 2006. Genetic variability among Beauveria brongniartii (Saccardo) Petch isolates from various geographical and host origins based on AFLP analysis. Mitt. Dtsch. Ges. Allg. Angew. Ent. 15:71-76.
Hernández-Domínguez, C., A.W. Guzmán-Franco, M.G. Carrillo-Benítez, R. Alatorre-Rosas, E. Rodríguez-Leyva, and J.A. Villanueva-Jiménez. 2016. Specific diversity of Metarhizium isolates infecting Aeneolamia spp. (Hemiptera: Cercopidae) in sugarcane plantations. Neotrop. Entomol. 45:80-87. doi:10.1007/s13744-015-0337-y
Hu, J.B., X.Y. Zhou, and J.W. Li. 2009. Development of novel chloroplast microsatellite markers for Cucumis from sequence database. Biol. Plant 53:793-796. doi:10.1007/s10535-009-0146-4
Hughes, W.O.H., L. Thomsen, J. Eilenberg, and J.J. Boomsma. 2004. Diversity of entomopathogenic fungi near leaf-cutting ant nests in a neotropical forest, with particular reference to Metarhizium anisopliae var. anisopliae. J. Invertebr. Pathol. 85:46-53. doi:10.1016/j.jip.2003.12.005
Keswani, C., K. Bisen, V. Singh, B.K. Sarma, and H.B. Singh. 2016. Formulation technology of biocontrol agents: Present status and future prospects. In: N.K. Arora et al., editors, Bioformulations: For sustainable agriculture. Springer, New Delhi, IND. p. 35-52.
Leal, C.M., D.J. Bertioli, T.M. Butt, J.H. Carder, P.R. Burrows, and J.F. Peberdy. 1997. Amplification and restriction endonuclease digestion of the Pr1 gene for the detection and characterization of Metarhizium strains. Mycol. Res. 101:257-265. doi:10.1017/S0953756296002560
Meyling, N.V., and J. Eilenberg. 2007. Ecology of the entomopathogenic fungi Beauveria bassiana and Metarhizium anisopliae in temperate agroecosystems: Potential for conservation biological control. Biol. Control 43:145-155. doi:10.1016/j.biocontrol.2007.07.007
Meyling, N.V., M. Lübeck, E.P. Buckley, J. Eilenberg, and S.A. Rehner. 2009. Community composition, host range and genetic structure of the fungal entomopathogen Beauveria in adjoining agricultural and seminatural habitats. Mol. Ecol. 18:1282-1293. doi:10.1111/j.1365-294X.2009.04095.x
Meyling, N.V., C. Pilz, S. Keller, F. Widmer, and J. Enkerli. 2012. Diversity of Beauveria spp. isolates from pollen beetles Meligethes aeneus in Switzerland. J. Invertebr. Pathol. 109:76-82. doi:10.1016/j.jip.2011.10.001
Nishi, O., K. Hasegawa, K. Iiyama, C. Yasunaga-Aoki, and S. Shimizu. 2011. Phylogenetic analysis of Metarhizium spp. isolated from soil in Japan. Appl. Entomol. Zool. 46:301-309. doi:10.1007/s13355-011-0045-y
Oulevey, C., F. Widmer, R. Kölliker, and J. Enkerli. 2009. An optimized microsatellite marker set for detection of Metarhizium anisopliae genotype diversity on field and regional scales. Mycol. Res. 113:1016-1024. doi:10.1016/j.mycres.2009.06.005
Peakall, R., and P.E. Smouse. 2006. GENALEX 6: genetic analysis in Excel. Population genetic software for teaching and research. Mol. Ecol. Notes 6:288-295. doi:10.1111/j.1471-8286.2005.01155.x
R-Core-Team. 2016. R: A language and environment for statistical computing. Foundation for Statistical Computing, Vienna, AUT.
Rehner, S.A., and E.P. Buckley. 2003. Isolation and characterization of microsatellite loci from the entomopathogenic fungus Beauveria bassiana (Ascomycota: Hypocreales). Mol. Ecol. Notes 3:409-411. doi:10.1046/j.1471-8286.2003.00464.x
Sánchez-Peña, S.R., J.S. Lara, and R.F. Medina. 2011. Occurrence of entomopathogenic fungi from agricultural and natural ecosystems in Saltillo, México, and their virulence towards thrips and whiteflies. J. Insect Sci. 11(1):1-10. doi:10.1673/031.011.0101
Schuelke, M. 2000. An economic method for the fluorescent labeling of PCR fragments. Nat. Biotechnol. 18:233-234. doi:10.1038/72708
Shete, S., H. Tiwari, and R.C. Elston. 2000. On estimating the heterozygosity and polymorphism information content value. Theor. Popul. Biol. 57:265-271. doi:10.1006/tpbi.2000.1452
St-Leger, R.J., B. May, L.L. Allee, D.C. Frank, R.C. Staples, and D.W. Roberts. 1992. Genetic differences in allozymes and in formation of infection structures among isolates of the entomopathogenic fungus Metarhizium anisopliae. J. Invertebr. Pathol. 60:89-101. doi:10.1016/0022-2011(92)90159-2
Toledo, A.V., M.E. Simurro, and P.A. Balatti. 2013. Morphological and molecular characterization of a fungus, Hirsutella sp., isolated from planthoppers and psocids in Argentina. J. Insect Sci. 13(18):1-11. doi:10.1673/031.013.1801
Wang, C., F.A. Shah, N. Patel, Z. Li, and T.M. Butt. 2003. Molecular investigation on strain genetic relatedness and population structure of Beauveria bassiana. Environ. Microbiol. 5:908-915. doi:10.1046/j.1462-2920.2003.00485.x
Zhang, S., X. Chen, F. Luan, L. He, S. Pu, and Z. Li. 2016. Genetic diversity and population structure of the Chinese fungus Metarhizium rileyi causing green muscardine in silkworm. J. Invertebr. Pathol. 140:16-24. doi:10.1016/j.jip.2016.08.005
Notas
Enlace alternativo