Artículo
Descomposición y liberación de nutrientes en biomasa por poda de cacao (Theobroma cacao L.) en Rionegro, Santander, Colombia1
Decomposition and release of nutrients in biomass generated by cocoa (Theobroma cacao L.) pruning in Rionegro, Santander, Colombia
Descomposición y liberación de nutrientes en biomasa por poda de cacao (Theobroma cacao L.) en Rionegro, Santander, Colombia1
Agronomía Mesoamericana, vol. 32, núm. 3, pp. 888-900, 2021
Universidad de Costa Rica

Recepción: 28 Mayo 2020
Aprobación: 18 Enero 2021
Resumen: Introducción. El ciclaje de nutrientes cumple un papel muy importante dentro de la sostenibilidad de sistemas productivos. En el cultivo de cacao (Theobroma cacao L.), la descomposición de la biomasa generada por las podas es base fundamental en la dinámica de nutrientes dentro del sistema. Objetivo. Cuantificar la tasa de descomposición y liberación de nutrientes de diferentes tipos de residuos vegetales generados por labores de poda del árbol de cacao. Materiales y métodos. El estudio se realizó en una finca cacaotera localizada en Rionegro, Santander, Colombia, entre junio y diciembre de 2012. Se estimó la tasa de descomposición y liberación de nutrientes (N, P, K, Ca, Mg) en los tratamientos T1: hojas y ramillas, T2: ramas secundarias y T3: ramas primarias, durante cinco períodos (8, 15, 23, 84 y 113 días); a través de la técnica de bolsas de descomposición. Resultados. La tasa de descomposición y liberación de nutrientes en hojas y ramillas fue significativamente más alta a los ocho días (0,1 k día-1), en comparación con ramas secundarias (0,06 k día-1) y ramas primarias (0,05 k día-1). La descomposición de las ramas secundarias presentó tendencia a ser constante a través del tiempo, pero fue el material con mayor porcentaje de liberación de nutrientes al final de la evaluación (91,4 % N; 83,67 % P; 87,40 K; 82,17 % Ca y 77,29 % Mg). Conclusión. Al inicio de la descomposición y liberación de nutrientes el aporte de estos al sistema se dio por la biomasa obtenida a partir de hojas y ramillas; sin embargo, conforme avanzó el tiempo el aporte se dio por la biomasa de ramas secundarias y primarias con una liberación más lenta de nutrientes.
Palabras clave: cultivo de cacao, ciclaje de nutrientes, materia orgánica, residuos vegetales.
Abstract: Introduction. Nutrient cycling plays a very important role in the sustainability of production systems. In the cocoa (Theobroma cacao L.) cultivation, the biomass decomposition generated by pruning is a fundamental basis in the dynamics of nutrients within the system. Objective. To quantify the rate of decomposition and nutrient release of different types of plant waste generated by pruning of cocoa trees. Materials and methods. The study was conducted in a cocoa farm located in Rionegro, Santander, Colombia, between June and December 2012. The rate of decomposition and nutrient release (N, P, K, Ca, Mg) was estimated in the treatments T1: leaves and twigs, T2: secondary branches and T3: primary branches, during five periods (8, 15, 23, 84 and 113 days); through decomposition bag technique. Results. The rate of decomposition and nutrient release in leaves and twigs was significantly higher at 8 days (0.1 k day-1) compared to the secondary branches (0.06 k day-1) and primary branches (0.05 k day-1). The decomposition of the secondary branches showed a tendency to be constant through time, but it was the material with the highest percentage of nutrient release at the end of the evaluation (91.4 % N; 83.67 % P; 87.40 K; 82.17 % Ca and 77.29 % Mg). Conclusion. At the beginning of the decomposition and nutrient release, the contribution of these to the system was given by the biomass obtained from leaves and twigs; however, as time progressed, the contribution was given by the biomass of secondary and primary branches with a slower nutrient release.
Keywords: cocoa crop, nutrient cycling, organic matter, plant residues.
Introducción
El cultivo de cacao (Theobroma cacao L.) se ha consolidado a nivel mundial como un sistema productivo de gran importancia comercial, por ser materia prima en la industria alimenticia, cosmetológica y farmacéutica; así como también se reconoce su compatibilidad con el desarrollo sostenible por su carácter de especie perenne y producción bajo sistemas agroforestales (Acebo-Plaza, 2016; López-Baez et al., 2015; Lozano & Varila, 2017).
En Colombia, cerca de 30 000 familias rurales dependen del cultivo de cacao. Para el año 2018 se reportó un área cultivada de 190 469 ha; con Santander como el departamento con mayor superficie sembrada, correspondiente a 47 229 ha. Sin embargo, este departamento presentó bajos rendimientos (0,53 t ha-1) en comparación con departamentos como Huila (0,65 t ha-1), Antioquia (0,62 t ha-1), Arauca (0,60 t ha-1) y Boyacá (0,57 t ha-1), entre los más destacados (Ministerio de Desarrollo Rural, 2018; Vásquez et al., 2018). Dentro de las principales limitantes productivas en la región Santandereana, se encuentra el establecimiento del cultivo de cacao en zonas de ladera o de altas pendientes con susceptibilidad a erosión, alto grado de acidez y baja disponibilidad de nutrientes, condiciones que inciden sobre la fertilidad del suelo (Mateus-Caidedo & Reyes-Orozco, 2018; Pabón et al., 2016).
Una forma de contribuir al ciclaje de nutrientes y mejoramiento de la fertilidad del suelo se presenta por medio del aporte de biomasa del cultivo de cacao al suelo, a través de residuos vegetales generados por labores de manejo cultural como la poda (van-Vliet & Giller, 2017). Este tipo de aporte se ha reportado en muchos cultivos (Escudero-de-Fonseca & Arias-Villamizar, 2012; Romero-López, 2006; Zuluaga-Peláez, 2004); en aquellos de carácter perenne como el cacao, diversos estudios han analizado procesos de descomposición de la biomasa y liberación de nutrientes del mismo cultivo bajo sistemas agroforestales (Báez-Daza, 2018; Guzmán-Rivera & Levy-Mérida, 2009; Rojas et al., 2017).
La poda en el cultivo de cacao se clasifica en podas de formación, de mantenimiento, de producción, de saneo y de rehabilitación, según el tipo se producen residuos de diferente material vegetal asociados a la parte de la planta, como hojas y ramillas, ramas secundarias o ramas primarias. Al incorporarse este material al suelo entran a formar parte de procesos de descomposición, cuya velocidad y liberación de nutrientes depende de diversos factores como temperatura y humedad, actividad biológica del suelo y calidad del material vegetal (concentraciones de N y P, relaciones C/N y N/P, contenido de lignina, taninos) que guarda estrecha relación con la parte de la planta sometida a poda (Echeverri-Rodríguez, 2013; Guzmán-Rivera & Levy-Mérida, 2009; Palm, 1995). La fase inicial del proceso de descomposición es más rápida, porque comprende el lavado de compuestos solubles y la desintegración de materiales lábiles como azúcares, algunos fenoles, almidones y proteínas; mientras que la segunda fase es lenta, debido a que integra la descomposición de elementos recalcitrantes como celulosa, hemicelulosa, taninos y lignina (Castellanos-Barliza & Leon-Peláez, 2011; Goma-Tchimbakala & Bernhard-Reversat, 2006; Yue et al., 2016).
La presente investigación se planteó como hipótesis que la biomasa generada por podas de cacao aporta en el ciclaje de nutrientes del sistema productivo de manera diferencial con respecto al tipo de residuo vegetal generado, por lo cual el objetivo del estudio fue cuantificar la tasa de descomposición y liberación de nutrientes en diferentes tipos de residuos vegetales generados por labores de poda del árbol de cacao.
Materiales y métodos
Localización
El estudio se desarrolló en una finca cacaotera de ocho años, ubicada a 06°46’10’’ latitud norte y 73°05’03.1’’ latitud oeste, a 600 msnm, en el municipio de Rionegro, Santander, Colombia, entre junio y diciembre del año 2012. La zona presentó una precipitación promedio anual de 2500 mm, humedad relativa media del 80 % y temperatura anual entre 25 y 30 ºC, con brillo solar de 1700 horas, reconocida como zona de vida Bosque húmedo Tropical (Bh-T), según la clasificación de Holdridge (2000).
Descripción del experimento
La plantación de cacao estudiada se encontraba establecida bajo sistemas agroforestales a distancia de siembra de 3 m x 3 m. La evaluación de descomposición y liberación de nutrientes en la biomasa obtenida a partir de residuos de la poda de cacao clasificados en: 1 - hojas y ramillas, 2 - ramas secundarias y 3 - ramas primarias, se realizó bajo un diseño experimental de bloques completos al azar y se consideró como criterio de bloqueo la pendiente del terreno. Cada tipo de residuo se consideró como un tratamiento, para un total de tres tratamientos con tres repeticiones y nueve unidades experimentales. El material vegetal se colectó de la parte alta, media y baja del dosel de la planta y se formó una muestra compuesta, que se procesó y separó de acuerdo con cada tipo de residuo (Cuadro 1).

Table 1. Description of treatments used in the evaluation of decomposition rates and nutrients release rates in cocoa (Theobroma cacao L.) plantations, cocoa farm, Rionegro-Santander, Colombia, 2012.
El material vegetal colectado en campo y separado por componentes, se secó en horno a 70 °C durante 72 h. Luego, para evaluar la tasa de descomposición se empleó la técnica de bolsas de descomposición, construidas con malla plástica de polietileno de 30 cm x 20 cm y abertura de malla de 1,5 mm (Bärlocher, 2005; Rojas et al., 2017). Para el caso de hojas-ramillas y ramas secundarias, de cada material vegetal se depositó 100 g bolsa-1. En lo que respecta al material de ramas primarias se depositaron 500 g bolsa-1. Cada bloque de investigación estuvo localizado en un gradiente del 30 % y conformado por cuatro árboles de cacao en torno a los cuales se colocaron quince bolsas, cinco por tratamiento a una profundidad de 2 cm de la cama, distribuidas en forma aleatoria con orientación en los cuatro puntos cardinales: norte, sur, oriente y occidente con respecto a los árboles de cacao. Se recolectaron tres bolsas del material vegetal (una por tratamiento) por bloque durante cinco períodos, correspondientes a 8, 15, 23, 84 y 113 días después de ubicar las bolsas en campo. Los residuos de poda que se encontraron en cada bolsa de muestreo se secaron a 70 °C hasta alcanzar un peso constante y se pesaron en una balanza de precisión.
La descomposición del material se evaluó mediante la pérdida de peso seco, correspondiente a cada período de degradación. Para calcular el porcentaje de peso seco remanente (%Psr), se consideró el coeficiente de peso seco al horno del material remanente por período (Psm), sobre el peso seco al horno del material inicial (Psi) (ecuación 1):
% Psr= (Psm/Psi) x 100 (1)
El %Psr se empleó para calcular la tasa de mineralización o descomposición del material vegetal. La tasa relativa de descomposición o de transferencia de material vegetal hacia el suelo en cada período evaluado, se representó de acuerdo con el modelo exponencial simple propuesto por Oelbermann et al. (2004) (ecuación 2):
y= y0e-kt (2)
Donde:
y: porcentaje de peso seco remanente o residual
y0: porcentaje de peso seco inicial
t: tiempo
k: tasa relativa de descomposición por período o constante de velocidad de descomposición del residuo orgánico.
Para determinar las concentraciones de nutrientes, se envió el material vegetal a laboratorio, en donde se determinó el contenido en cada muestra de nitrógeno (N) por micro-Kjeldahl, fósforo (P) por colorimetría (molibdovanadato de amonio) y potasio (K), calcio (Ca) y magnesio (Mg) por espectrofotometría de absorción (Unigarro et al., 2009).
Análisis estadístico
Las tasas de descomposición y liberación de nutrientes se compararon entre tratamientos mediante análisis de varianza (ANOVA) y prueba de comparación de medias de Duncan (p<0,05), con el software estadístico InfoStat.
Resultados
Peso remanente y tasa de descomposición
El peso remanente presentó diferencias significativas (p<0,05) por tipo de material vegetal en el tiempo. A los 8 y 15 días, en hojas y ramillas se presentó el menor porcentaje de peso remanente (44,3 % y 37 %, respectivamente) en comparación con las ramas secundarias (63,50 % y 48,03 %, respectivamente) y primarias (69,53 % y 57,27 %, respectivamente). Sin embargo, a los 23, 84 y 113 días, el menor porcentaje remanente se presentó en las ramas secundarias (32,7 %, 22,7 % y 13,9 %, respectivamente). Se observó que, con el tiempo, el porcentaje de peso remanente de ramas primarias se acercó al nivel de hojas y ramillas, de modo que a los 113 días no se presentaron diferencias significativas entre los porcentajes de descomposición de estos dos materiales (Figura 1).

Figure 1. Percentage of remaining weight during the decomposition of cocoa (Theobroma cacao L.) plant material (leaves and twigs, primary branches and secondary branches) in five evaluation periods, cocoa farm, Rionegro, Santander, Colombia, 2012.
Las tasas medias diarias de descomposición de los materiales vegetales durante los cinco periodos de evaluación, variaron entre 0,1 y 0,05 k día-1 para hojas y ramillas, entre 0,06 y 0,02 k día-1 para ramas secundarias y entre 0,05 y 0,01 k día-1 para ramas primarias (Cuadro 2).

Table 2. Decomposition rate (day-1) of cocoa (Theobroma cacao L.) plant material during five evaluation periods, cocoa farm, Rionegro, Santander, Colombia, 2012.
En el material hojas y ramillas, la tasa de descomposición fue significativamente más alta a los ocho días (0,1 k día-1) en comparación con T2 (0,06 k día-1) y T1 (0,05 k día-1); además, este último, presentó significativamente en todos los períodos de evaluación la tasa de descomposición más baja, con un nivel mínimo a los 84 y 113 días (0,01 k día-1) (Cuadro 2). Se observó la tendencia de la tasa de descomposición a disminuir con el tiempo, asociado a la pérdida de materia seca con mayor intensidad en períodos iniciales (Figura 1) y, por tanto, menor disponibilidad de materia seca para mineralizar en períodos finales.
Concentración y liberación de nutrientes
En general, el porcentaje de elementos químicos liberados por material vegetal durante los cinco periodos evaluados, presentó la tendencia hojas y ramillas > ramas secundarias > ramas primarias. Por otra parte, al observar el comportamiento por elemento, se evidenció un aporte del orden N> K> Ca> Mg>P en todos los materiales vegetales (Cuadro 3).

Table 3. Initial and released concentration of nutrients (%) by cocoa (Theobroma cacao L.) plant material during 113 days of decomposition in the field, cocoa farm, Rionegro, Santander, Colombia, 2012.
El análisis de liberación de nutrientes con base en el peso remanente porcentual por nutriente (Figura 2), mostró que la movilización de todos los elementos en las hojas y ramillas, fue más rápida en los primeros ocho días, con el 50 % de liberación; mientras que en ramas secundarias y ramas primarias la liberación de la mitad de N se observó hacia los quince días, comportamiento asociado a la dinámica de descomposición general (Figura 1).

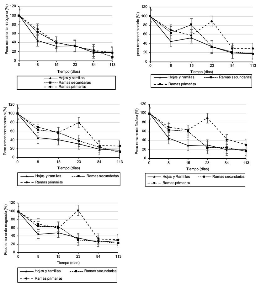
Figure 2. Percentage of remaining weight per nutrient during the decomposition of cocoa (Theobroma cacao L.) plant material (leaves and twigs, primary branches and secondary branches) in five evaluation periods, cocoa farm, Rionegro, Santander, Colombia, 2012.
En el caso de los elementos P y K, las ramas secundarias alcanzaron el 50 % de liberación entre los 15 y 23 días, mientras que para el mismo período en ramas primarias se observó una ganancia de estos nutrientes, que luego presentaron un rápido descenso entre los 23 y 84 días. En cuanto a los elementos Ca y Mg, se pudo apreciar que los tres materiales vegetales en evaluación, presentaron ganancias de peso, las cuales se presentaron entre los 8 y 15 días en hojas y ramillas y ramas secundarias; mientras que en ramas primarias entre los 15 y 23 días. Se evidenció que la liberación de nutrientes en ramas secundarias fue más constante a través del tiempo y presentó al final de la evaluación el mayor porcentaje de liberación con 91,4 % N, 83,67 % P, 87,40 K, 82,17 % Ca y 77,29 % Mg (Figura 2).
La tasa de liberación de N, P y K, presentó un comportamiento similar a los 8 y 15 días, en donde las hojas y ramillas mostraron la tasa de liberación significativamente más alta (p<0,05) en comparación con ramas secundarias y ramas primarias. Para los nutrientes Ca y Mg, la liberación en hojas y ramillas fue significativamente mayor a los 8 días, mientras que a los 15 días la liberación en ramas primarias alcanzó el nivel de las hojas y ramillas (Cuadro 4).

Table 4. Nutrient release rate (day-1) in cocoa (Theobroma cacao L.) plant material during five evaluation periods, cocoa farm, Rionegro, Santander, Colombia. 2012.
Discusión
En el presente estudio, la dinámica de descomposición en los periodos iniciales para el material vegetal leñoso (ramas secundarias y primarias), mostró que la pérdida de peso fue menor cuando se comparó las hojas y ramillas. Este comportamiento puede estar relacionado con la influencia que tiene la composición química y calidad de la biomasa, entre otros factores, sobre la tasa de descomposición. Dentro de la composición química, los factores que influyen son la relación C/N, el contenido de lignina y el tamaño de partícula. En la medida que aumenta el contenido de lignina en los tejidos vegetales, se retarda la descomposición y la relación C/N regula la liberación de nitrógeno (Johnson et al., 2007).
Las hojas y ramillas se caracterizaron por poseer los mayores contenidos de nitrógeno en sus tejidos, seguidas de las ramas primarias y en menor concentración en las ramas secundarias, lo cual pudo determinar una menor relación C/N en hojas y ramillas en comparación con las ramas primarias y secundarias. Esto podría explicar la rápida liberación de nutrientes en hojas y ramillas, ramas primarias y en ramas secundarias en su orden cronológico. La mineralización del N se considera un indicador de la descomposición, por lo cual las tasas de mineralización de C y N se encuentran relacionadas (Johnson et al., 2007).
En los periodos finales de evaluación, se observó que el porcentaje de peso remanente de las hojas y ramillas se acercó al nivel de ramas primarias, lo cual se relaciona con liberación rápida de compuestos solubles de carbono en las primeras etapas de descomposición, que generó, con el paso del tiempo, un aumento en la relación lignina/N en el material vegetal con el paso del tiempo, que redujo la tasa de descomposición (Allison & Vitousek, 2004; Mafongoya et al., 1998; Sánchez et al., 2008). Se evidenció que la pérdida de materia seca se correlacionó con la tasa de descomposición, la cual fue mayor en los primeros días de evaluación, cuando las pérdidas de materia seca fueron más intensas, en donde las hojas y ramillas presentaron el proceso más rápido de descomposición, el cual puede asociarse a un equilibrio entre la mineralización e inmovilización de nutrientes; mientras que en los componentes con mayor lignificación, la inmovilización excedió a la mineralización de nutrientes y ralentizó el proceso de ciclaje de estos (Guzmán-Rivero & Levy-Mérida, 2009).
La masa residual de la hojarasca durante la descomposición, disminuyó con el aumento del tiempo de incubación (Triadiati et al., 2011); sin embargo, en cuanto a los valores porcentuales, los resultados encontrados en el presente estudio difirieron de los reportados por Rojas et al. (2017), quienes en descomposición de hojarasca (hojas y peciolos) de T. cacao encontraron a los ocho días el 17,73 % como pérdida de peso residual; mientras que para el mismo período en el presente estudio, el porcentaje de pérdida de peso fue de 53,7 % (hojas y ramillas), 36,5 % (ramas secundarias) y 30,47 % (ramas primarias). Los resultados diferenciales obtenidos en la presente investigación se pudieron deber a que en el proceso de descomposición y liberación de nutrientes intervienen diferentes factores: composición de la hojarasca, tiempo de incubación, propiedades del suelo como disponibilidad de agua o el pH y variables asociadas con el crecimiento de comunidades microbianas particulares, responsables de la descomposición de la hojarasca, que juegan un papel importante en el retorno de nutrientes al sistema (Sangha et al., 2006). En el trabajo de Mera et al. (2017), se destaca la influencia del tiempo atmosférico durante el año dentro del proceso de descomposición, donde se encontró que la degradación de hojarasca se incrementó con los mayores eventos de lluvia.
Los mayores cambios en las concentraciones de nutrientes ocurrieron entre los 8 y 23 días, lo que sugirió que este periodo corresponde a la primera fase de descomposición, con cambios rápidos en las concentraciones de los elementos de la materia orgánica que está en descomposición. En trabajo previos, se encontró que la concentración de sustancias solubles de fácil lixiviación controlan esta primera fase, así como también la concentración de nutrientes limitantes para la actividad microbiana, entre ellos el nitrógeno, fósforo y azufre (Berg, 1986; Salazar, 2008).
Las hojas y ramillas presentaron liberación más rápida de N en los primeros quince días, con una concentración inicial de 2,18 %. Comportamiento reportado en bosques tropicales, ya que cuando el contenido de N fue mayor que 2,5 %, la mineralización del N y la descomposición de la materia orgánica fueron rápidas (Fontes, et al., 2014; Ngoran et al., 2006; Seneviratne et al., 1998; Torreta & Takeda, 1999; van Vliet & Giller, 2017). Para el caso de los nutrientes N, P, K, se observó un comportamiento semejante al de descomposición general del material vegetal, mientras que Ca y Mg presentaron ganancias y pérdidas de peso poco asociadas a la tendencia gradual de descomposición. En plantaciones de cacao se reportó que los nutrientes N, K, Ca y Mg, se liberaron de forma más gradual que la pérdida de material foliar en descomposición, a excepción del P que presenta una liberación similar a la del presente estudio (Owusu-Sekyere et al., 2006).
El comportamiento observado en cuanto a liberación de K en hojas y ramillas, se relacionó con el reportado por Rojas et al. (2017), quienes encontraron que en todas las especies en evaluación, entre las que incluían T. cacao, la liberación de K ocurrió entre los 8 y 23 días con valores entre -0,051 y -0,116. Sin embargo, en cuanto al elemento Mg, los mismos autores reportaron que la liberación en T. cacao desde el día 8 hasta el 113, presentó un total de 1,82 %; mientras que en la presente investigación los porcentajes de liberación de Mg fueron inferiores con valor de 0,28 %; 0,27 % y 0,68 % para las hojas y ramillas, ramas secundarias y ramas primarias, respectivamente, a pesar de que la concentración inicial de Mg fue similar en los dos estudios (2,2 g kg-1).
La ganancia de peso remanente presentada durante el proceso de descomposición en algunos nutrientes, se reportó en estudios de Castellanos-Barliza & León-Peláez (2011), Prause et al. (2003), Rodríguez-Pleguezuelo et al. (2011) y Rodríguez-Pleguezuelo et al. (2018), situación que pudo darse como resultado de las deposiciones atmosféricas, las lavadas del dosel que alcanzan el piso de las plantaciones, el lavado foliar, la invasión del material por micelio de hongos y la presencia abundante de microorganismos en el mantillo. Se ha reportado que, durante el proceso de movilización de nutrientes en descomposición de hojarasca, se producen interacciones entre las capas del cultivo en el suelo, como la deposición de residuos, la infiltración, la absorción y la mineralización, por lo cual, pueden presentarse tanto pérdidas como ganancias de peso por nutriente (Petit-Aldana et al., 2019). En el proceso de descomposición de las ramas secundarias y ramas primarias, se observó reabsorción de P, un comportamiento reportado en un estudio sobre la multifuncionalidad de la agroforestería en cacao y la fertilidad del suelo desarrollado (Sauvadet et al., 2020).
Conclusión
Las hojas y ramillas obtenidas en la poda del cacao, presentaron la mayor tasa de descomposición en los períodos iniciales de evaluación; mientras que ramas secundarias presentaron una liberación más constante de nutrientes a través del tiempo y al final un mayor porcentaje de descomposición.
La biomasa producto de podas de cacao, representó un importante sumidero de nutrientes. Las hojas y las ramillas dieron un aporte de nutrientes en el corto plazo, mientras que ramas secundarias y primarias presentaron una liberación más lenta, que permite al sistema el almacenamiento de nutrientes en el largo plazo.
Agradecimientos
Los autores expresan su agradecimiento al Ministerio de Agricultura y Desarrollo Rural (MADR) por la financiación del proyecto de investigación.
Referencias
Acebo-Plaza, M. (2016). Estudios industriales, orientación estratégica para la toma de decisiones. Industria del cacao. Guayaquil. Escuela Superior Politécnica del Litoral. http://infocafes.com/portal/wp-content/uploads/2017/02/industriacacao.pdf
Allison, S. D., & Vitousek, P. M. (2004). Extracellular enzyme activities and carbon chemistry as drivers of tropical plant litter decomposition. Biotropica, 36(3), 285-296. https://doi.org/10.1111/j.1744-7429.2004.tb00321.x
Báez-Daza, E. (2018). Producción y aporte de nutrientes en la hojarasca de las especies abarco (Cariniana piryformis M), teca (Tectona grandis L.f.) y cacao (Theobroma cacao L.) en un sistema agroforestal en los municipios de Rionegro, Santander y Muzo, Boyacá [Tesis de Maestría, Universidad de Ciencias Aplicadas y Ambientales]. Repositorio de la Universidad de Ciencias Aplicadas y Ambientales. https://repository.udca.edu.co/handle/11158/1026
Bärlocher, F. (2005). Leaf mass loss estimated by litter bag technique. In M. A. S. Graça, F. Bärlocher, & M. O. Gessner (Eds.), Methods to study litter decomposition: A practical guide (pp. 37-42). Springer.
Berg, B. (1986). Nutrient release from litter and humus in coniferous forest soils- a mini review. Scandinavian Journal of Forest Research, 1, 359-369. https://doi.org/10.1080/02827588609382428
Castellanos-Barliza, J., & León-Peláez, J. (2011). Descomposición de hojarasca y liberación de nutrientes en plantaciones de Acacia mangium (Mimosaceae) establecidas en suelos degradados de Colombia. Revista de Biología Tropical, 59(1), 113-128. https://doi.org/10.15517/RBT.V59I1.3182
Echeverri-Rodríguez, J. H. (2013). El establecimiento del cultivo de cacao. En Ministerio de Agricultura y Ganadería (Ed.), Tecnología moderna en la producción de cacao: manual para productores orgánicos (pp. 15-20). Ministerio de Agricultura y Ganadería
Escudero-de-Fonseca, A., & Arias-Villamizar, C. (2012). Los microorganismos en los abonos orgánicos a partir de podas en la universidad del norte, Colombia. Revista Internacional de Contaminación Ambiental, 28(Supl. 1), 69-77. http://www.scielo.org.mx/pdf/rica/v28s1/v28s1a10.pdf
Fontes, A. G., Gama-Rodrigues, A. C., Gama-Rodrigues, E. F., Sales, M. V. S., Costa, M. G., & Machado, R. C. R. (2014). Nutrient stocks in litterfall and litter in cocoa agroforests in Brazil. Plant Soil, 383, 313–335. https://doi.org/10.1007/s11104-014-2175-9
Goma-Tchimbakala, J., & Bernhard-Reversat, F. (2006). Comparison of litter dynamics in three plantations of an indigenous timber-tree species (Terminalia superba) and a natural tropical forest in Mayombe, Congo. Forest Ecology and Management, 229(1–3), 304-313. https://doi.org/10.1016/j.foreco.2006.04.009
Guzmán-Rivero, G., & Levy-Mérida, A. (2009). Producción de biomasa y nutrientes que genera la poda en sistemas agroforestales sucesionales y tradicionales con cacao, Alto Beni, Bolivia. Revista Acta Nova, 4(2-3), 263-280. http://www.scielo.org.bo/scielo.php?script=sci_arttext&pid=S1683-07892009000100006&lng=es&tlng=es
Holdridge, L. (2000). Ecología basada en zonas de vida (5a Ed.). Instituto Interamericano de Cooperación para la Agricultura.
Johnson, J. M. F., Barbour, N. W., & Weyers, S. L. (2007). Chemical composition of crop biomass impacts its decomposition. Soil Science Society of America Journal, 71(1), 155-162. https://doi.org/10.2136/sssaj2005.0419
López-Baez, O., Ramírez-González, S., Espinosa-Zaragoza, S., Villarreal-Fuentes, J. M., & Wong-Villarreal, A. (2015). Diversidad vegetal y sustentabilidad del sistema agroforestal de cacao en la región de la selva de Chiapas, México. Revista Iberoamericana de Ciencias, 2(2), 55-63. http://reibci.org/publicados/2015/marzo/0800113.pdf
Lozano, A., & Varila, L. (2017). Desarrollo regional sostenible en zonas rurales: Una aproximación al cultivo de cacao en el departamento de Santander [Trabajo de Grado, Universidad Católica de Colombia]. Repositorio de la Universidad Católica de Colombia. https://repository.ucatolica.edu.co/handle/10983/15214
Mafongoya, P. L., Giller, K. E., & Palm, C. A. (1998). Decomposition and nitrogen release patterns of tree prunings and litter. In P. K. R. Nair, & C. R. Latt (Eds.), Directions in tropical agroforestry research. Forestry Sciences (Vol. 53, pp. 77–97). Springer. https://doi.org/10.1007/978-94-015-9008-2_3
Mateus-Caicedo, V. M., & Reyes-Orozco, D. (2018). Diagnóstico de la producción y comercialización de los productores de Cacao asociados a la Federación Nacional de Cacaoteros (FEDECACAO) en el municipio de Lebrija, Santander [Tesis de Maestría, Universidad Nacional Abierta y a Distancia]. Repositorio de la Universidad Nacional Abierta y a Distancia. https://repository.unad.edu.co/handle/10596/18600
Mera, M., Ramírez, R., & Leiva, E. (2017, 13-17 de noviembre). Importancia de la hojarasca en el cultivo de cacao (Theobroma cacao L.) [Presentación de Conferencia]. International Symposium Cocoa Research.
Ministerio de Desarrollo Rural. (2018). Reporte: Área, producción y rendimiento nacional por cultivo (cacao). Red de información y comunicación del sector Agropecuario Colombiano. https://www.agronet.gov.co/estadistica/Paginas/home.aspx?cod=1
Ngoran, A., Zakra, N., Ballo, K., Kouamé, C., Zapata, F., Hofman, G., & Van Cleemput, O. (2006). Litter decomposition of Acacia auriculiformis Cunn. Ex Benth. and Acacia mangium Willd. under coconut trees on quaternary sandy soils in Ivory Coast. Biology and Fertility of Soils, 43, 102–106. https://doi.org/10.1007/s00374-005-0065-2
Oelbermann, M., Voroney, R. P., & Gordon, A. M. (2004). Carbon sequestration in tropical and temperate agroforestry systems: a review with examples from Costa Rica and southern Canada. Agriculture, Ecosystems & Environment, 104(3), 359-377. https://doi.org/10.1016/j.agee.2004.04.001
Owusu-Sekyere, E., Cobbina, J., & Wakatsuki, T. (2006). Nutrient cycling in primary, secondary forests and cocoa plantation in the Ashanti Region, Ghana. West Africa Journal of Applied Ecology, 9(1), Article 45680. https://doi.org/10.4314/wajae.v9i1.45680
Pabón, M., Herrera-Roa, L., & Sepúlveda, W. S. (2016). Caracterización socio-económica y productiva del cultivo de cacao en el departamento de Santander (Colombia). Revista Mexicana de Agronegocios, 38, 283-294. https://www.redalyc.org/articulo.oa?id=14146082001
Palm, C. A. (1995). Contribution of agroforestry trees to nutrient requirements of intercropped plants. Agroforestry Systems, 30, 105–124. https://doi.org/10.1007/BF00708916
Petit-Aldana, J., Rahman, M. M., Parraguirre-Lezama, C., Infante-Cruz, A., & Romero-Arenas, O. (2019). Litter decomposition process in coffee agroforestry systems. Journal of Forest and Environmental Science, 35(2), 121-139. https://doi.org/10.7747/JFES.2019.35.2.121
Prause, J., de-Lifschitz, A. P., & Toledo, D. M. (2003). Dinámica de la mineralización de N, P, y K en hojas de Schinopsis balansae Engl. sobre un suelo forestal del Parque Chaqueño Húmedo. Quebracho – Revista de Ciencias Forestales, 10, 46-52. http://www.redalyc.org/articulo.oa?id=48101005
Rodríguez-Pleguezuelo, C. R., Durán-Zuazo, V. H., Muriel-Fernández, J. L., & Franco-Tarifa, D. (2011). Descomposición de hojarasca y reciclado del nitrógeno de frutales tropicales y subtropicales en terrazas de cultivo en la costa de Granada (SE España). Comunicata Scientiae Horticultural Journal, 2(1), 42-48. https://doi.org/10.14295/cs.v2i1.24
Rodríguez-Pleguezuelo, C., Franco-Tarifa, D., Francia-Martínez, J., Gálvez-Ruíz, B., Mamani-Pati, F., García-Tejero, I., & Durán-Zuazo, V. (2018). Dinámica de las concentraciones de carbono y nitrógeno en la descomposición de hojarascas de cultivos subtropicales del sureste de España. Revista de Ciencias Ambientales, 52(1), 175-189. https://doi.org/10.15359/rca.52-1.10
Rojas, J., Caicedo, V., & Jaimes, Y. (2017). Biomass decomposition dynamic in agroforestry systems with Theobroma cacao L. in Rionegro, Santander (Colombia). Agronomía Colombiana, 35(2), 182-189. https://doi.org/10.15446/agron.colomb.v35n2.60981
Romero-López, S. A. (2006). Aporte de biomasa y reciclaje de nutrientes en seis sistemas agroforestales de café (Coffea arabica var. Caturra), con tres niveles de manejo [Tesis de Maestría, Centro Agronómico Tropical de Investigación y Enseñanza]. Repositorio del Centro Agronómico Tropical de Investigación y Enseñanza. http://201.207.189.89/handle/11554/434
Sangha, K. K., Jalota, R. K., & Midmore, D. J. (2006). Litter production, decomposition and nutrient release in cleared and uncleared pasture systems of central Queensland, Australia. Journal of Tropical Ecology, 22(2), 177-189. https://www.jstor.org/stable/4091871
Salazar, S. (2008). Estudio de procesos ecológicos para el desarrollo sostenible del castaño (Castanea sativa Mill.) de la sierra de Francia [Tesis de Doctorado, Universidad de Salamanca]. Repositorio de la Universidad de Salamanca. http://hdl.handle.net/10366/17702
Sánchez, S., Crespo, G., Hernández, M., & García, Y. (2008). Factores bióticos y abióticos que influyen en la descomposición de la hojarasca de pastizales. Pastos y Forrajes, 31(2), 99-118. http://scielo.sld.cu/scielo.php?script=sci_arttext&pid=S0864-03942008000200001&lng=es&tlng=es
Sauvadet, M., Saj, S., Freschet, G. T., Essobo, J. D., Enock, S., Becquer, T., Tixier, P., & Harmand, J. M. (2020). Cocoa agroforest multifunctionality and soil fertility explained by shade tree litter traits. Journal of Applied Ecology, 57(3), 476-487. https://doi.org/10.1111/1365-2664.13560
Seneviratne, G., Van-Holm, L. H. J., & Kulasooriya, S. (1998). Quality of different mulch materials and their decomposition and N release under low moisture regimes. Biology and Fertility of Soils, 26, 136–140. https://doi.org/10.1007/s003740050356
Torreta, N. K., & Takeda, H. (1999). Carbon and nitrogen dynamics of decomposing leaf litter in a tropical hill evergreen forest. European Journal of Soil Biology, 35, 57-63. https://doi.org/10.1016/S1164-5563(99)00111-9
Triadiati, T., Tjitrosemito., S., Guhardja Sudarsono., E., Qayim., I., & Leuschner, C. (2011). Litterfall production and leaf-litter decomposition at natural forest and cacao agroforestry in Central Sulawesi, Indonesia. Asian Journal of Biological Sciences, 4(3), 221-234. https://doi.org/10.3923/ajbs.2011.221.234
Unigarro, S. A., Insuasty, B. R., Chaves, J. G. (2009). Manual de prácticas de laboratorios suelos generales (1a Ed.). Universidad de Nariño.
van-Vliet, J. A., & Giller, K. E. (2017). Chapter five - Mineral nutrition of cocoa: A review. In D. L. Sparks (Ed.), Advances in Agronomy (Vol. 141, pp. 185–270). Elsevier. https://doi.org/10.1016/bs.agron.2016.10.017
Vásquez, E., García, N., Bastos, L., & Lázaro, J. (2018). Análisis económico del sector cacaotero en Norte de Santander, Colombia y a nivel internacional. Revista de Investigación Desarrollo e Innovación, 8(2), 237-250. https://doi.org/10.19053/20278306.v8.n2.2018.7963
Yue, K., Peng, C., Yang, W., Peng, Y., Zhang, C., Huang, C., & Wu, F. (2016). Degradation of lignin and cellulose during foliar litter decomposition in an alpine forest river. Ecosphere, 7(10), Article e01523. https://doi.org/10.1002/ecs2.1523
Zuluaga-Peláez, J. J. (2004). Dinámica de la materia orgánica del suelo en sistema agroforestales de café con Erythrina poeppigiana (Walpers) O.F. Cook en Costa Rica [Tesis de Maestría, Centro Agronómico Tropical de Investigación y Enseñanza]. Repositorio del Centro Agronómico Tropical de Investigación y Enseñanza. http://repositorio.bibliotecaorton.catie.ac.cr/bitstream/handle/11554/4822/Dinamica_de_la_materia_organica.pdf;jsessionid=72C61E744F767B96B566BBCA6811856E?sequence=1
Notas
Notas de autor
jrojas@agrosavia.co
Enlace alternativo