Artículos
Condiciones climáticas y microclimáticas en sistemas de producción de vainilla (Vanilla planifolia Jacks. ex Andrews) en México1
Climatic and microclimatic conditions of vanilla (Vanilla planifolia Jacks. ex Andrews) production systems in Mexico
Condiciones climáticas y microclimáticas en sistemas de producción de vainilla (Vanilla planifolia Jacks. ex Andrews) en México1
Agronomía Mesoamericana, vol. 33, núm. 2, 48682, 2022
Universidad de Costa Rica

Recepción: 18 Octubre 2021
Aprobación: 11 Enero 2022
Resumen: Introducción. La vainilla se cultiva en agreoecosistemas bajo diversa intensidad de manejo, con características ambientales particulares que podrían ser desfavorables para la orquídea. Las condiciones atmosféricas son importantes, debido al cambio climático. Objetivo. Caracterizar las condiciones climáticas y microclimáticas de tres sistemas productivos de vainilla (Vanilla planifolia Jacks. ex Andrews). Materiales y métodos. El estudio se realizó en tres sistemas productivos de vainilla ubicados en Veracruz y Oaxaca, México. Se utilizaron tres intensidades de manejo: a) acahual, bajo sombra de diversas especies arbóreas; b) monocultivo, intercalado con una especie arbórea y c) malla sombra (con sombra artificial). Se abarcó un año de monitoreo (diciembre-2020 a noviembre-2021), que incluyó cuatro temporadas climáticas, dos frías y dos cálidas. Se midieron variables climáticas (de la región) y microclimáticas (de la parcela): temperatura (T), humedad relativa (HR) y radiación fotosintéticamente activa (RFA, solo en el microclima), con estaciones automatizadas; además se calculó el déficit de presión de vapor (DPV). Resultados. A escala diaria, las condiciones climáticas como microclimáticas en el acahual fueron más favorables para el cultivo de vainilla en las cuatro temporadas evaluadas; el monocultivo y la malla sombra experimentaron condiciones de humedad y temperatura fuera de los requerimientos agroclimáticos de la vainilla, principalmente en marzo-mayo (MAM), con Tmax >32 °C y HR <80 %. A escala horaria, las condiciones más cálidas y secas estuvieron en el monocultivo y la malla sombra en diciembre-febrero (DEF) y MAM; mientras que en junio-agosto (JJA) y septiembre-noviembre (SON) en acahual y malla sombra; el DPV (>2 kPa) indicó periodos más prolongados de estrés hídrico en estos sistemas. Conclusiones. El monocultivo y la malla sombra presentaron condiciones de humedad y temperatura desfavorables para la vainilla, con más periodos de estrés hídrico. El acahual presentó las condiciones climáticas y microclimáticas más convenientes para el cultivo de vainilla.
Palabras clave: cultivo de vainilla, estrés hídrico, fases fenológicas, temporadas climáticas.
Abstract: Introduction. Vanilla is grown in agroecosystems under varying management intensities, with particular environmental characteristics that could be unfavorable for the orchid. Atmospheric conditions are important due to climate change. Objective. To characterize the climatic and microclimatic conditions of three vanilla (Vanilla planifolia Jacks. ex Andrews) production systems. Materials and methods. The study was carried out in three vanilla production systems located in Veracruz and Oaxaca, Mexico. Three management intensities were used: a) acahual, under the shade of various tree species; (b) monoculture, interspersed with an arboreal species; and (c) shade mesh (with artificial shade). One year of monitoring was carried out (December-2020 to November-2021), which included four climatic seasons, two cold and two warm. Climatic variables (region) and microclimatic (plot) variables were measured: temperature (T), relative humidity (HR), and photosynthetically active radiation (PAR, only in the microclimate), with automated stations; in addition, the vapor pressure deficit (VPD) was calculated. Results. On a daily scale, climatic conditions as microclimatic in the acahual were more favorable for vanilla cultivation in the four seasons evaluated; the monoculture and the shade mesh experienced humidity and temperature conditions outside the agroclimatic requirements of vanilla, mainly in March-May (MAM), with Tmax >32 °C and RH <80 %. On an hourly scale, the warmest and driest conditions were in monoculture and shade mesh in December-February (DEF) and MAM; while in June-August (JJA) and September-November (SON) in acahual and shade mesh; VPD (>2 kPa) indicated longer periods of water stress in these systems. Conclusions. The monoculture and the shade mesh presented unfavorable humidity and temperature conditions for vanilla, with more periods of water stress. The acahual presented the most convenient climatic and microclimatic conditions for the cultivation of vanilla.
Keywords: vanilla crop, water stress, phenological phases, climatic seasons.
Introducción
La vainilla (Vanilla planifolia Jacks. ex Andrews) es una especie originaria de los bosques tropicales de mesoamérica (Lubinsky et al., 2008). Pertenece a las Orchidaceae (orquídeas) y es la única, dentro de alrededor de 800 géneros de esta familia, que produce frutos comestibles (Ahmad et al., 2020). De sus frutos se obtiene la vainilla, considerada la sustancia aromática y saborizante más popular a nivel mundial (Bory et al., 2008; Pérez et al., 2011). Es un cultivo de gran importancia ecológica (crece en relictos de bosque), económica (es consumida y comercializada a nivel mundial) y cultural (fue domesticada por poblaciones indígenas mesoamericanas), pero está catalogado de alto grado de erosión genética (Minoo et al., 2008), debido a que gran parte de la producción mundial cultivada se reproduce por medio de clones.
México, centro de origen, es el tercer país productor de vainilla a nivel mundial con 522 t en 2019. Sin embargo, se encuentra lejos de la producción de Madagascar e Indonesia, quienes comandan la producción con 3217 t y 2329 t, respectivamente (Food and Agriculture Organization of the United Nation, 2021). Es un ejemplo de cómo los cultivos tropicales fueron introducidos y ahora se cultivan en lugares distintos a donde se originaron y domesticaron (al igual que el café o el cacao), en zonas intertropicales donde los países europeos tenían colonias.
La vainilla se distribuye en climas cálido-húmedos con humedad relativa mayor al 80 %, temperatura media entre 22 a 32 °C y temperaturas mínimas superiores a 10 °C (Baqueiro-Peña & Guerrero-Beltrán, 2017; Mata et al., 2007; Ruiz et al., 2013). Requiere una precipitación media anual de 1200 a 2500 mm, con dos a tres meses con déficit hídrico para estimular la floración (Ahmad et al., 2020; Mata et al., 2007); además, para su desarrollo requiere de tutores vivos o artificiales (Ibarra-Cantún et al., 2018). Estas condiciones pueden encontrarse en diversos lugares en la franja intertropical. Sin embargo, las temperaturas superiores a los 33 °C junto con un déficit de precipitación, afectan fases de desarrollo como la floración y el cuajado del fruto (Villarreal & Herrera-Cabrera, 2018). También, periodos prolongados de exceso de lluvias afectan el desarrollo de la vainilla (Quintana & Herrera, 2020).
Se han realizado estudios para identificar las zonas geográficas donde se produce la vainilla, sin embargo, la mayoría se han hecho a partir de modelos de distribución potencial, no existen hasta donde los autores tienen conocimiento, trabajos que hayan usado datos meteorológicos tomados en los sitios de producción. Los trabajos existentes han permitido caracterizar el clima de las zonas de distribución potencial en Costa Rica (Watteyn et al., 2020) y en México, donde se han desarrollado estudios en los estados de Oaxaca (Hernández-Ruíz et al., 2016), San Luis Potosí (Hernández et al., 2018; Trinidad et al., 2019), en la región Totonacapan del estado de Veracruz (Santillán et al., 2019) y en Hidalgo (Herrera-Cabrera, 2016). Además, se han definido perfiles bioclimáticos de distintas especies de vainilla: V. planifolia y V. pompona (Flores et al., 2017). Sin embargo, los modelos de distribución potencial, por utilizar variables climáticas basadas en interpolaciones de datos climáticos de estaciones meteorológicas de superficie (Varela et al., 2015), pueden ser menos certeros de lo que sucede en la realidad. Aunado a esto, debe considerarse que la vainilla se cultiva bajo sombra, ya sea esta natural de árboles o artificial de malla-sombra plástica, lo cual genera condiciones que difieren del entorno (microclima).
La vainilla es cultivada bajo sistemas con distinta intensidad de manejo como el tradicional (acahual), que está basado en un sistema agroforestal con diversidad de árboles nativos e introducidos, el monocultivo, consistente en usar una sola especie arbórea y tener a la vainilla intercalada en él, así como el sistema malla sombra, donde con malla plástica de color negro (50 % a 80 %) se regula la sombra, para simular las condiciones que requiere la vainilla de manera natural (Azofeifa-Bolaños et al., 2014; Barrera-Rodríguez et al., 2009; Ibarra-Cantún et al., 2018). Estos diversos sistemas de manejo de vainilla permiten regular y modular las condiciones térmicas, hídricas y la incidencia de la radiación, que influyen en la fotosíntesis y, por ende, en el desarrollo de este cultivo. Los escasos estudios encontrados sobre la caracterización microclimática de los distintos sistemas de producción de vainilla (e. g. Gómez, 2012), son útiles para relacionarlos con los posibles impactos generados por el cambio climático.
Si bien los sistemas más intensivos facilitan la realización de prácticas de manejo agrícola, también es probable que estos generen, en su interior, condiciones microclimáticas desfavorables para la vainilla. Por ejemplo, en temporadas cálidas podrían tenerse temperaturas mayores a 40 °C, que ocasionan la caída prematura de frutos (Barrera-Rodríguez et al., 2009; Borbolla et al., 2016). En los sistemas de producción con un manejo más intensivo y sin la cobertura arbórea, la exposición a valores extremos de radiación ha ocasionado mayor susceptibilidad de las plantas en los periodos de sequía (Gantiva et al., 2020). Ante esto, resulta importante monitorear las condiciones microclimáticas y climáticas en las que se desarrolla el cultivo de vainilla en sistemas de producción con distinta intensidad de manejo en México, país considerado su centro de origen. Debido a que la vainilla es un cultivo perenne, es recomendable realizar el seguimiento de las condiciones ambientales de manera permanente y evaluar ciclos productivos completos. Por ello, el objetivo de este estudio fue caracterizar las condiciones climáticas y microclimáticas de tres sistemas productivos de vainilla (Vainilla planifolia Jacks. ex Andrews).
Materiales y métodos
Área de estudio
El trabajo se realizó en tres sistemas de manejo de producción de vainilla: a) acahual o tradicional, con especies Erythrina coralloides, Gliricidia sepium, Tabernaemontana alba, Citrus x sinensis, Mimosa inga y Mammea americana, localizado a 20°27’04,2” N, 97°06’12,9” W y 25 m s. n. m., en el Rancho Loma Linda, Gutiérrez Zamora, Veracruz; b) monocultivo, con tutores vivos de la especie Bursera simaruba L. plantados a 2,5 m x 2,5 m, ubicado a 19°34’10.9” N, 96°42’31.1” W y 883 m s. n. m., en Mesa de Guadalupe, Alto Lucero, Veracruz, y c) malla sombra plástica, con tutores artificiales o inertes de PVC, localizado a 18°05’36,3” N, 96°08’50,8” W y 50 m s. n. m., en San Juan Bautista Tuxtepec, Oax.
Mediciones y análisis
Las mediciones se realizaron de diciembre-2020 a noviembre-2021, periodo que incluye cuatro temporadas climáticas, dos frías y dos cálidas: temporadas fría-seca (diciembre-febrero, DEF), cálida-seca (marzo-mayo, MAM), cálida-húmeda (junio-agosto, JJA) y fría-húmeda (septiembre-noviembre, SON).
Los sensores para medir las variables microclimáticas se instalaron en dos puntos en el interior de cada sistema, a 1,5 m de altura. Se midió la temperatura y humedad relativa del aire (T y HR, respectivamente) con sensores S-THB-M008 (HOBO, Onset); la radiación fotosintéticamente activa (PAR) se midió con sensores S-LIA-M003 THB-M008 (HOBO, Onset). Todos los sensores se conectaron a una micro estación HOBO (H21-USB). A todas las mediciones realizadas al interior de la parcela se le consideró como variables del microclima.
Para monitorear las variables climáticas (T y HR) se instalaron estaciones automatizadas Davis, modelo Vantage Pro2, al exterior de cada sistema productivo (en condiciones abiertas a 100 m o menos de la parcela, lo cual se consideró como variables del clima). Los datos eran leídos cada segundo, se promediaron y registraron valores cada 15 min. Se determinaron promedios horarios y diarios de cada variable medida; además, para conocer la demanda evaporativa de la atmósfera se calculó el déficit de presión de vapor (DPV), de acuerdo con Allen et al. (2006). Para cada variable se determinaron los promedios diarios y horarios por temporada. Se realizó la prueba U de Mann-Whitney para identificar diferencias significativas (p<0,05) entre las variables microclimáticas, al interior de los sistemas productivos evaluados, y las variables climáticas monitoreadas.
Resultados
Condiciones climáticas y microclimáticas diarias temporales
Los periodos productivos y las etapas fenológicas de los diferentes sistemas de producción de vainilla estuvieron ligados a las variaciones interanuales de las condiciones climáticas (Cuadro 1).

Table 1. Phenological stages of vanilla (Vanilla planifolia). México, 2020 - 2021.
Secretaría de Agricultura, Ganadería, Desarrollo Rural, Pesca y Alimentación (2015)En el sistema acahual, las variables de temperatura (T, Tmin y Tmax) climática y microclimática presentaron los valores mínimos durante DEF, incrementándose hasta alcanzar los máximos durante JJA (Cuadro 2).

Table 2. Temporary daily mean microclimatic and climatic variables of the cold-dry (DEF), warm-dry (MAM), warm-wet (JJA), and cold-wet (SON) seasons in the acahual vanilla production system from Mexico. 2020 - 2021.
En el monocultivo, los valores más bajos de las temperaturas climáticas (T, Tmin y Tmax) se presentaron en DEF y los máximos durante MAM; comportamiento similar presentaron las temperaturas en el microclima, excepto la Tmin, donde los valores más altos se presentaron durante JJA y SON (Cuadro 3).

Table 3.Temporary daily mean microclimatic and climatic variables of the cold-dry (DEF), warm-dry (MAM), warm-wet (JJA), and cold-wet (SON) seasons in the monoculture vanilla production system from Mexico. 2020 - 2021.
En el sistema malla sombra, al igual que en los otros dos sistemas productivos, los valores más bajos de las temperaturas (T, Tmin y Tmax) se registraron durante DEF; los máximos durante MAM, similar a las temperaturas en el microclima, excepto la Tmin, donde los valores más altos se presentaron durante MAM y JJA (Cuadro 4).

Table 4. Temporary daily mean microclimatic and climatic variables of the cold-dry (DEF), warm-dry (MAM), warm-wet (JJA), and cold-wet (SON) seasons in the mesh shade vanilla production system from Mexico. 2020 - 2021.
En cuanto a la humedad relativa (HR), el acahual presentó valores superiores al 85 % en las cuatro temporadas evaluadas. En el monocultivo y en malla sombra solo durante MAM presentó valores medios menores al 80 %, tanto en el clima como en el microclima, con los valores más bajos en el sistema malla sombra. El déficit de presión de vapor (DPV) presentó valores mayores a 1 kPA solo durante MAM en el sistema malla sombra (Cuadros 2, 3 y 4).
Con relación a las diferencias entre las condiciones microclimáticas y climáticas, por temporada, en el acahual, en DEF solo se identificaron diferencias significativas en Tmax (Mann-Whitney, p=0,05), las cuales fueron mayores en el microclima; mientras que en JJA y SON las temperaturas fueron significativamente mayores en el clima, en comparación con el microclima; caso contrario se presentó en MAM (Mann-Whitney, p=0,01).
En el monocultivo, las variables microclimáticas fueron más cálidas y secas en comparación con el clima. Estas variables presentaron diferencias significativas durante DEF y MAM, además del DPV y la HR (Mann-Whitney, p<0,05). Durante JJA diferencias significativas solo fueron en Tmax, HR y DPV (Mann-Whitney, p<0,01), mientras que en SON todas las variables presentaron diferencias significativas, las mayores se dieron en el microclima (Mann-Whitney, p<0,01).
En el sistema malla sombra, solo se presentaron diferencias significativas en Tmed y HR (Mann-Whitney, p<0.05) durante DEF; en MAM las variables microclimáticas y climáticas medias evaluadas no presentaron diferencias significativas. Durante JJA y SON se presentaron temperaturas significativamente mayores y condiciones de humedad más secas en el microclima (Mann-Whitney, p<0,05).
Distribución horaria de variables climáticas y microclimáticas
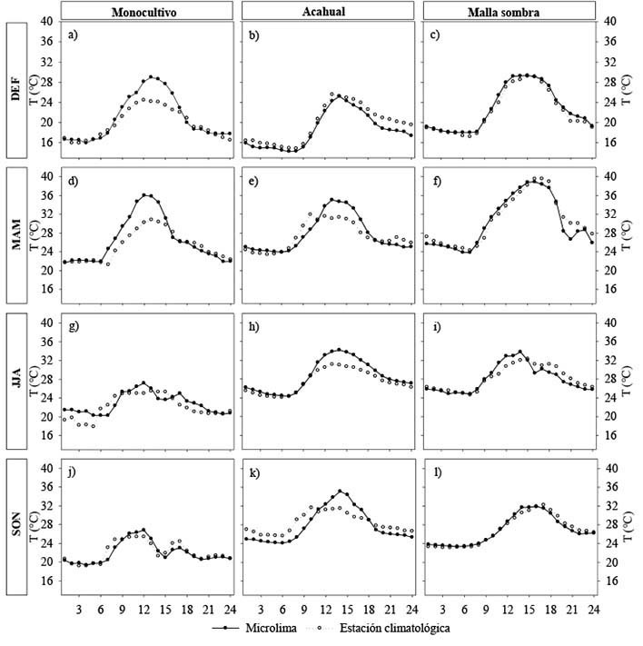
La temperatura (T) presentó gran variación entre los valores máximos y mínimos a lo largo del día en los tres sistemas productivos (Figura 1). Los máximos se presentaron entre las 12:00 y las 15:00 h; mientras que los mínimos entre las 6:00 y las 7:00 h en las cuatro temporadas.

Monocultivo (a, d, g y j), acahual (b, e, h, k) y malla sombra (c, f, i, l).
Figure 1. Microclimatic and climatic hourly temperature (T) during a typical day of the cold-dry season (DEF), warm-dry season (MAM), warm-wet season (JJA), and cold-wet season (SON) in three vanilla production systems (Vanilla planifolia) in Mexico. 2020 - 2021.
Monoculture (a, d, g y j), acahual (b, e, h, k), and shade mesh (c, f, i, l).
En la temporada DEF, la temperatura microclimática horaria durante un día típico en el monocultivo varió de 16,0 a 29,0 °C, con valores más altos que la temperatura climática (de 9:00 a 17:00 h) que alcanzó valores máximos de 24,5 °C. En la misma temporada, la distribución de temperaturas microclimáticas horarias en el acahual y la malla sombra presentaron una oscilación similar a la temperatura climática, con valores de 14,3 a 25,6 °C y entre 17,5 a 29,3 °C, respectivamente (Figura 1a a 1c).
En la temporada MAM, las temperaturas diurnas al interior del monocultivo y del acahual fueron mayores que las temperaturas climáticas, con diferencias en los valores máximos de 5,2 °C y de 3,1 °C, respectivamente. Además, en los tres sistemas se presentaron temperaturas por arriba de los 32 °C. Los sistemas en malla sombra y monocultivo, experimentaron temperaturas mayores a los 35 °C (Figura 1d a 1f). Durante JJA, el monocultivo y malla sombra, las temperaturas en el microclima y climáticas tuvieron un comportamiento similar; mientras que en el acahual, las temperaturas diurnas en el microclima fueron mayores (Figura 1g a 1i). Oscilaciones similares se presentaron durante SON (Figura 1j a 1l).
La humedad relativa (HR) presentó un comportamiento inverso a la temperatura, donde los valores mínimos coincidieron con los máximos de temperatura y viceversa (Figura 2). Durante la temporada DEF la HR al interior del monocultivo presentó valores más bajos que la HR climática entre las 8:00 y las 17:00 h, periodo en el que varió entre 53,6 y 76 %. En el acahual y la malla sombra, la distribución de HR en el microclima presentaron una variación similar a la HR climática, con valores que variaron de 64 % a 75 % de las 12:00 a las 17:00 h y de 58 % a 79 % de las 11:00 a las 19:00 h, en cada sistema productivo, respectivamente. Durante el resto del día los valores estuvieron por arriba del 80 % de humedad (Figura 2a a 2c). Durante el resto del día, los valores estuvieron por arriba del 80 % de humedad.

Monocultivo (a, d, g y j), acahual (b, e, h, k) y malla sombra (c, f, i, l).
Figure 2. Microclimatic and hourly climatic relative humidity (HR) during a typical day of the cold-dry (DEF), warm-dry (MAM), warm-wet (JJA), and cold-wet (SON) seasons in three vanilla production systems (Vanilla planifolia) in Mexico. 2020 - 2021.
Monoculture (a, d, g y j), acahual (b, e, h, k), and shade mesh (c, f, i, l).
Durante MAM la HR en el microclima, en comparación con la presentada en la temporada DEF, fue más variable en el monocultivo, donde osciló entre 36,5 % y 94,8 %; disminuyó en la malla sombra (35,7 % a 87,2 %) y en el acahual no se presentó gran variación, con valores entre 62,9 % y 98,3 %. En comparación con la HR climática monitoreada en la misma temporada, el monocultivo y el acahual presentaron valores inferiores al 80 %, con valores mínimos de hasta 42,4 % entre las 8:00 y las 20:00 h y del 63 % entre las 11:00 y las 18:00 h, respectivamente. El sistema malla sombra experimentó los valores más bajos de HR. El microclima alcanzó valores mínimos de 35 %, mientras que el clima alcanzó mínimos de 24 %, con valores menores del 80 %, la mayor parte del día (Figura 2d a 2f).
En las temporadas JJA y SON, en el monocultivo la HR presentó un comportamiento variable, con periodos cortos por debajo del 80 % (Figura 2g y 2j). En el acahual, la HR en el microclima presentó valores diurnos más bajos en la HR climática, con valores por debajo del 80 % entre las 10:00 y las 19:00 h, alcanzó mínimos de 70 % (JJA) y de 60 % (SON) (Figura 2h a 2k). En malla sombra solo durante JJA la HR en el microclima fue menor la mayor parte del día, con valores por debajo del 80 % de las 10:00 a las 20:00 h y vales mínimos del 60 %. En SON el comportamiento de la humedad en el clima y microclima fue similar, con valores más bajos (<80 %) entre las 13:00 y las 17:00 h (Figura 2i a 2l).
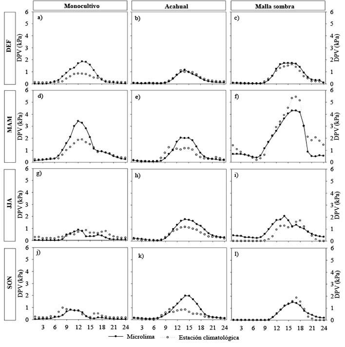
El déficit de presión de vapor (DPV) en condiciones microclimáticas y climáticas, al igual que la HR y la T, durante la temporada DEF presentaron diferencias solo en el monocultivo con valores más elevados durante las horas diurnas (6:00 a 17:00 h) al interior de este sistema productivo, con valores máximos de 1,85 kPa. El DPV microclimático y climático en el acahual y la malla sombra, presentaron un comportamiento similar con valores máximos de 1,16 kPa y de 1,7 kPa, en cada sistema productivo, respectivamente (Figura 3a a 3c).

Monocultivo (a, d, g y j), acahual (b, e, h, k) y malla sombra (c, f, i, l).
Figure 3. Microclimatic and hourly climatic vapor pressure deficit (DPV) during a typical day of the cold-dry (DEF), warm-dry (MAM), warm-wet (JJA), and cold-wet (SON) seasons in three vanilla production systems (Vanilla planifolia) in Mexico. 2020 - 2021.
Monoculture (a, d, g y j), acahual (b, e, h, k), and shade mesh (c, f, i, l).
En la temporada MAM los valores de DPV en el microclima del monocultivo y el acahual fueron mayores en comparación con los valores climáticos, con diferencias en los máximos de 1,54 kPa y de 0,80 kPa, respectivamente. Al interior del monocultivo, entre las 10:00 y las 15:00 h, se presentaron valores mayores a 2 kPa, con máximos de 3,43 kPa; en el acahual solo de las 13:00 a las 15:00 h se presentaron valores alrededor de 2,02 kPa. En la malla sombra, el DPV climático y microclimático presentaron una mayor variación, con valores máximos de 5,44 kPa y de 4,29 kPa, respectivamente. En este sistema, entre las 11:00 y las 19:00 h se presentaron valores superiores a 2 kPa (Figura 3d a 3f). Durante JJA y SON, el DPV presentó valores por debajo de los 2 kPa en los sistemas productivos. En el sistema acahual el DPV en microclima fue mayor que en clima de las 10:00 a las 20:00 h (Figura 3h a 3k). Caso similar se presentó en la malla sombra la mayor parte del día (Figura 3i).
Los valores más bajos en los tres sistemas productivos estuvieron por debajo de 0,5 kPa; en particular en el acahual, donde los valores mínimos alcanzaron valores de 0,03 kPa en todas las temporadas evaluadas, mientras que en el monocultivo alcanzaron valores de 0,05 kPa durante JJA y SON.
En cuanto a la radiación fotosintéticamente activa (PAR), solo fue medida al interior de cada sistema productivo. Los valores más altos de PAR durante DEF y MAM se presentaron en el monocultivo, donde alcanzó valores máximos de 994,7 µmol m-2 s-1 durante DEF y de 1066,2 µmol m-2 s-1, respectivamente (Figura 4a y 4b). En el acahual alcanzó valores de 428,4 µmol m-2 s-1 y de 561,8 µmol m-2 s-1 en las mismas temporadas, respectivamente. En JJA y SON los valores más altos se presentaron en el acahual, seguido del monocultivo y la malla sombra (Figura 4a y 4b). En la malla sombra se recibió la menor cantidad de PAR con valores máximos por debajo de 76 µmol m-2 s-1, en las cuatro temporadas evaluadas.

Figure 4. Photosynthetically active radiation (PAR) inside three vanilla (Vanilla planifolia) production systems in Mexico during a typical day of the seasons: a) cold-dry (DEF), b) warm-dry (MAM), c) warm-wet (JJA), and d) cold-wet (SON). 2020 - 2021.
Discusión
En este estudio, el monitoreo simultáneo de variables climáticas y microclimáticas de los tres sistemas de producción permitió identificar las condiciones en las que se desarrollan los cultivos de vainilla e identificar diferencias con relación a las variables climáticas empleadas para caracterizar este tipo de sistemas productivos. La temperatura mínima y la temperatura media, diaria y horaria, en cada sistema productivo, parece no haber sido una limitante para el cultivo de vainilla en ninguno de los tres sistemas evaluados (Cuadro 2 y 4; Figura 1).
En el mes de febrero, en el acahual (Loma Linda) y el monocultivo (M. de Guadalupe) se llegaron a experimentar periodos con temperaturas mínimas por debajo de los 10 °C, debido al paso de frentes fríos, masas de aire polar y nortes, característicos de la temporada invernal (DEF) en las zonas donde se encuentran ubicados (Ruiz-Barradas et al., 2010; Tejeda et al., 1989), que podrían provocar daños por quemaduras en la planta (Hernández-Hernández, 2010). Por el contrario, la temperatura máxima diaria (Tmax) presentó valores superiores a los 32 °C durante la temporada cálida-seca (MAM), en los sistemas de producción monocultivo y malla sombra, mientras que durante la temporada cálida-húmeda (JJA) y fría-húmeda (SON), solo en malla sombra.
En el acahual, a pesar de que solo Tmax fue significativamente mayor en el microclima durante DEF, pero se presentó una tendencia a condiciones más frescas y húmedas al interior de este sistema productivo. Si bien, durante MAM las condiciones térmicas fueron más cálidas en el microclima y durante JJA y SON las temperaturas fueron más cálidas en el clima, estas presentaron valores máximos menores a 32 °C; Además, la HR microclimática y climática presentaron valores por arriba de 85 %, lo que reflejó que las condiciones no representaron una restricción para el cultivo de vainilla (Baqueiro-Peña & Guerrero-Beltrán, 2017).
En el monocultivo, se presentaron condiciones de temperatura más cálidas en el microclima de este sistema productivo, en comparación con el clima, durante DEF resultaron benéficas al generarse un microclima favorable para el desarrollo de la vainilla al reducir los efectos de ambientes fríos extremos (López et al., 2019). Tanto en esta temporada como en JJA y SON, las temperaturas no excedieron los 32 °C y la HR fue mayor al 80 %, aptas para el cultivo de vainilla. Sin embargo, en MAM, las temperaturas máximas alcanzaron valores de 35,5 °C, 4,5 °C más altas que la temperatura climática, mientras la HR presentó valores por debajo del 75 %; las plantas de vainilla podrían verse afectadas en este sistema productivo, ya que estas condiciones son limitantes para el desarrollo de la vainilla (Baqueiro-Peña & Guerrero-Beltrán, 2017).
En el sistema malla sombra, en MAM no se presentaron diferencias entre las condiciones microclimáticas y climáticas, caso que sí ocurrió en las temporadas JJA y SON, y fueron más cálidas y secas en el microclima. En estas tres temporadas se experimentaron temperaturas superiores a 32 °C, condiciones térmicas desfavorables para el desarrollo de la vainilla. Durante MAM se alcanzaron temperaturas superiores a 35 °C y HR menor del 75 %, lo que refuerza un ambiente no apto por estar por arriba y por debajo de los requerimientos óptimos para su cultivo (Baqueiro-Peña & Guerrero-Beltrán, 2017).
A escala horaria, las condiciones térmicas, climáticas y microclimáticas, durante el DEF no fueron limitantes para el desarrollo del cultivo de vainilla, en los tres sistemas productivos (Figura 1a a 1c). El monocultivo en esta temporada atenuó las temperaturas bajas al crear un ambiente más cálido para la vainilla.
En MAM, la temperatura microclimática en el acahual y en el monocultivo presentaron valores diurnos mayores a 32 °C entre las 11:00 y las 16:00 h, con diferencias en los máximos de 3,1 °C y de 5,1 °C, en comparación con las temperaturas climáticas de cada sistema productivo (Figura 1d y 1e). A la misma escala, en malla sombra no se presentaron diferencias térmicas en la variación diaria, sin embargo, las temperaturas oscilaron de 32 a 38,9 °C, entre las 11:00 y las 19:00 h en la misma temporada (Figura 1f).
Durante las temporadas cálida-húmeda (JJA) y fría-húmeda (SON), en el acahual las condiciones térmicas superaron el óptimo para el desarrollo de la vainilla, alrededor del mediodía. En estas temporadas, se inició con la poda de árboles de este sistema productivo, que se acentuó en SON. Esto, sumado a la presencia de especies caducifolias, favorecieron la incidencia de radicación solar (Figura 4c y 4d), incrementaron las temperaturas (Figura 1h y 1k) y redujeron la HR (Figura 2h y 2k).
En las mismas temporadas, las temperaturas permanecieron favorables en los sistemas monocultivo y malla sombra. En el primero, debido al nulo manejo del dosel vegetal de Burserva simaruva L., tutores de las plantas de vainilla empleados en el monocultivo; en el segundo, a las condiciones propias de las temporadas, ya que en estas, al igual que en DEF y MAM, no se presentaron diferencias entre el clima y microclima (Figuras 1c, 1f, 1i y 1l).
La HR en todos los sistemas productivos experimentó periodos con valores por debajo del 80 %, en las cuatro temporadas evaluadas, lo cual fue crítico en el monocultivo y la malla sombra, durante DEF y MAM (Figura 2). Si bien, en el acahual se presentó un ambiente más húmedo con valor medio superior al 85 %, durante el día se presentaron valores más bajos que alcanzaron mínimos del 60 %, por lo que la producción de vainilla también se ve afectada por el aborto de frutos.
Condiciones térmicas por arriba de los valores óptimos de la vainilla, sumadas a bajos valores de HR en el microclima (menores a 80 %) de acuerdo con la fenología de Vanilla planifolia (Cuadro 1), en los tres sistemas productivos, serían responsables del aborto, amarillamiento y la caída prematura de frutos, debido a un desbalance metabólico y fisiológico (Hernández-Hernández, 2010; Hernández-Hernández et al., 2019).
Otra variable importante relacionada con las condiciones hídricas fue el déficit de presión de vapor (DPV). En las temporadas DEF, JJA y DEF, los valores máximos climáticos y microclimáticos de esta variable estuvieron por debajo de 2 kPa, lo cual refleja un estado hídrico estable en las plantas (Figura 3). Durante MAM los valores mayores a 2,0 kPa, que se presentaron entre las 10:00 y las 17:00 h en el microclima del monocultivo y la malla sombra, evidenció las condiciones de estrés hídrico en las plantas de vainilla (Grossiord et al., 2020). Menor grado de estrés presentaría el cultivo en el sistema acahual que presentó valores de DPV máximos de 2,03 kPa.
El DPV climático presentó valores inferiores a 2,0 kPa en el acahual y en el monocultivo, por lo que se podría considerar que en estas zonas las condiciones de humedad atmosférica fueron idóneas para el cultivo de vainilla. En el sistema malla sombra el DPV del clima, superó el DPV microclimático con valores máximos de 5,4 y 4,4 kPa, respectivamente. Se ha reportado que orquídeas sometidas a un DPV alto incrementaron la transpiración y disminuyeron el contenido de agua del tejido (de la Rosa-Manzano et al., 2014), además se incrementó la evaporación y secado del suelo, que sumado a otras variables como radiación o variaciones de temperatura, ocasionan que las plantas sean más sensibles a periodos de estrés hídrico, reducen los procesos metabólicos y fisiológicos (Cushman & Borland, 2002; Dai, 2013). La disponibilidad de agua durante el desarrollo de la fruta se ha mencionado como un factor clave para mejorar la retención de la fruta (Castro-Bobadilla et al., 2011).
En cuanto a los valores mínimos de DPV, aquellos inferiores a 0,1 kPa que se presentaron al amanecer, son un indicativo de la gran cantidad de humedad en el aire, condición propicia para la incidencia de plagas y enfermedades fúngicas como la pudrición de tallo y raíz de la vainilla ocasionada por Fusarium oxysporum f. sp. vanillae (Solano et al., 2021). El DPV es un indicador importante de la respuesta de la planta al ambiente que representa la demanda evaporativa de la atmósfera (Aguirre et al., 2021), que de acuerdo con Grossiord et al. (2020), podría volverse una variable prioritaria para estudiar la dinámica de las plantas, debido a su incremento a escala global como consecuencia del cambio climático.
La radiación incidente también afecta la fotosíntesis de las plantas. El cultivo de vainilla depende en gran medida del manejo apropiado de la radiación (Puthur, 2005). El sistema malla sombra no presentó variaciones significativas a escala diaria y horaria de RFA, con los valores más bajos en las cuatro temporadas. El monocultivo experimentó los valores más elevados durante DEF y MAM. Durante JJA y SON en el acahual, temporadas en las que se realizó la poda de árboles de este sistema productivo y con la presencia de especies caducifolias, favorecieron en incremento de la incidencia de radiación (Figura 4c y 4d). Los sistemas productivos en los que las plantas de vainilla estuvieron expuestas a una mayor RFA, generaron un incremento en la deshidratación de las plantas en comparación con sistemas más sombreados (Gantiva et al., 2020); lo que altera su funcionamiento, e inhibe la fotosíntesis y el crecimiento (Díez et al., 2017). Además, los sistemas productivos con condiciones intermedias de radicación experimentan menos afectaciones en la fotosíntesis y el funcionamiento de las plantas de vainilla (Gantiva et al., 2020).
De acuerdo con los resultados, es necesario implementar acciones para incrementar las condiciones térmicas y de humedad favorables durante periodos del día críticos, que permitan también reducir el déficit de presión de vapor. Estas variables también podrían ser influenciadas por el cambio climático, que de acuerdo con los escenarios proyectados, optimista (RCP4.5) y pesimista (RCP8.5) (Intergovermental Panel on Climate Change, s.f.), las temperaturas se incrementarían entre 1,1 y 1,3 °C, a corto plazo (2021-2040) y entre 1,6 y 2,4 °C a mediano plazo (2041-2060), en los estados de Veracruz y Oaxaca, donde se localizan los sistemas de producción estudiados en este trabajo. Esto se suma a la reducida variabilidad genética de V. planifolia, debido a la fuerte presión de selección sobre esta especie, lo que la hace vulnerable a distintos factores ambientales (Azofeifa-Bolaños et al., 2014), incluida la presión de plagas (Iglesias-Andreu et al., 2018; Menchaca et al., 2011).
La adopción de un sistema de riego por aspersión e incluso por micro-aspersión, en temporadas secas (MAM) en sistemas controlados como malla sombra o monocultivo con tutores vivos, parece ser una opción viable. Este sistema, además de generar condiciones de mayor humedad, maximiza la supervivencia de las vainas de vainilla, lo que se traduce en un mayor rendimiento (Castro-Bobadilla et al., 2011; Sujatha & Bhat, 2010).
Conclusiones
A escala diaria, las condiciones climatológicas y microclimáticas fueron aptas para el desarrollo de la vainilla en el sistema acahual, en las cuatro temporadas analizadas; mientras que en el monocultivo (en MAM) y la malla sombra (en MAM, JJA y SON) se presentaron condiciones de humedad y de temperatura desfavorables para este cultivo.
A escala horaria, los tres sistemas productivos presentaron temperaturas por arriba de los 32 °C, déficit de humedad (>80 %) durante las horas cercanas al mediodía en la temporada MAM. Estas condiciones fueron más evidentes en el monocultivo y en la malla sombra, que fueron reforzadas por los valores del déficit de presión de vapor (>2 kPa) en estos sistemas productivos y se asocian con periodos de estrés hídrico más prolongados.
El sistema acahual fue el más conveniente para el desarrollo del cultivo de vainilla. Además de contar con condiciones microclimáticas adecuadas para la vainilla, es un sistema sustentable que permite diversificar la producción.
Referencias
Aguirre, B. A., Hsieh, B., Watson, S. J., & Wright, A. J. (2021). The experimental manipulation of atmospheric drought: Teasing out the role of microclimate in biodiversity experiments. Journal of Ecology, 109(5), 1986–1999. https://doi.org/10.1111/1365-2745.13595
Ahmad, H., Khera, R. A., Hanif, M. A., Ayub, M. A., & Jilani, M. I. (2020). Vanilla. In A. H. Muhammad, N. Haq, M. K. Muhammad, & J. B. Hugh (Eds.), Medicinal plants of South Asia (pp. 657–669). Elsevier. https://doi.org/10.1016/B978-0-08-102659-5.00048-3
Allen, R. G., Pereira, L. S., Raes, D., & Smith, M. (2006). Evapotranspiración del cultivo. Guía para la determinación de los requerimientos de agua de los cultivos (Estudio Riego y Drenaje N° 56). FAO. http://www.fao.org/3/x0490s/x0490s.pdf
Azofeifa-Bolaños, J. B., Paniagua-Vásquez, A., & García-García, J. A. (2014). Importancia y desafíos de la conservación de Vanilla spp. (Orquidaceae) en Costa Rica. Agronomía Mesoamericana, 25(1), 189–202. https://doi.org/10.15517/AM.V25I1.14220
Baqueiro-Peña, I., & Guerrero-Beltrán, J. Á. (2017). Vanilla (Vanilla planifolia Andr.), its residues and other industrial by-products for recovering high value flavor molecules: A review. Journal of Applied Research on Medicinal and Aromatic Plants, 6, 1–9. https://doi.org/10.1016/j.jarmap.2016.10.003
Barrera-Rodríguez, A. I., Herrera-Cabrera, B. E., Jaramillo-Villanueva, J. L., Escobedo-Garrido, J. S., & Bustamante-González, Á. (2009). Caracterización de los sistemas de producción de vainilla (Vanilla planifolia A.) bajo naranjo y en malla sombra en el Totonacapan. Tropical and Subtropical Agroecosystems, 10(2), 199–212.
Borbolla, V., Iglesias, A. G., Escalante, E. A., Martínez, J., Ortiz, M. M., & Octavio, P. (2016). Molecular and microclimatic characterization of two plantations of Vanilla planifolia (Jacks. ex Andrews) with divergent backgrounds of premature fruit abortion. Scientia Horticulturae, 212, 240–250. https://doi.org/10.1016/j.scienta.2016.10.002
Bory, S., Grisoni, M., Duval, M. -F., & Besse, P. (2008). Biodiversity and preservation of vanilla: present state of knowledge. Genetic Resources and Crop Evolution, 55(4), 551–571. https://doi.org/10.1007/s10722-007-9260-3
Castro-Bobadilla, G., Martínez, A. J., Martínez, M. L., & García-Franco, J. G. (2011). Aplicación de riego localizado para aumentar la retención de frutos de Vanilla planifolia en el Totonacapan, Veracruz, México. Agrociencia, 45(3), 281–291.
Cushman, J. C., & Borland, A. M. (2002). Induction of Crassulacean acid metabolism by water limitation. Plant, Cell & Environment, 25(2), 295–310. https://doi.org/https://doi.org/10.1046/j.0016-8025.2001.00760.x
Dai, A. (2013). Increasing drought under global warming in observations and models. Nature Climate Change, 3(1), 52–58. https://doi.org/10.1038/nclimate1633
de la Rosa-Manzano, E., Andrade, J. L., Zotz, G., & Reyes-García, C. (2014). Epiphytic orchids in tropical dry forests of Yucatan, Mexico – Species occurrence, abundance and correlations with host tree characteristics and environmental conditions. Flora - Morphology, Distribution, Functional Recology of Plants, 209(2), 100–109. https://doi.org/10.1016/j.flora.2013.12.002
Díez, M. C., Moreno, F., & Gantiva, E. (2017). Effects of light intensity on the morphology and CAM photosynthesis of Vanilla planifolia Andrews. Revista Facultad Nacional de Agronomía Medellín, 70(1), 8023–8033. https://doi.org/10.15446/rfna.v70n1.61736
Flores, JÁ., Reyes, D., Jiménez, D., Romero, O., Rivera Tapia, J. A., Huerta, M., & Pérez, A. (2017). Diversidad de Vanilla spp. (Orchidaceae) y sus perfiles bioclimáticos en México. Revista de Biologia Tropical, 65(3), 975–987. https://doi.org/10.15517/RBT.V65I3.29438
Food and Agriculture Organization of the United Nation. (2021). FAOSTAT-statistical databases. https://www.fao.org/faostat/es/#home
Gantiva, E. A., Díez, M. C., & Moreno, F. H. (2020). Efecto de la interacción luz-agua sobre la fotosíntesis de la Vanilla planifolia (Orchidaceae). Revista de Biología Tropical, 68(4), 1250–1261. https://doi.org/10.15517/RBT.V68I4.41385
Gómez, N. M. (2012). Respuestas de Vanilla planifolia Jacks.: ante variaciones microambientales bajo arreglos agroforestales en un bosque seco tropical [Tesis de grado-Maestría, Universidad Nacional de Colombia]. Repositorio de la Universidad Nacional de Colombia. https://repositorio.unal.edu.co/handle/unal/10954
Grossiord, C., Buckley, T. N., Cernusak, L. A., Novick, K. A., Poulter, B., Siegwolf, R. T. W., Sperry, J. S., & McDowell, N. G. (2020). Plant responses to rising vapor pressure deficit. New Phytologist, 226(6), 1550–1566. https://doi.org/10.1111/nph.16485
Hernández, H. R., García, K. L. T., & Cabrera, B. E. H. (2018). Caracterización del ambiente de los vainillales y área potencial para su cultivo en la Huasteca Potosina. Biotecnia, 20(3), 49–57. https://doi.org/10.18633/biotecnia.v20i3.714
Hernández-Hernández, J. (2010). Mexican vanilla production. In D. Havkin-Frenkel, & F. C. Belanger (Eds.), Handbook of Vanilla science and technology (pp. 1–25). Wiley-Blackwell. https://doi.org/10.1002/9781444329353.ch1
Hernández-Hernández, J., Curti-Díaz, S. A., & Ríos-Utrera, Á. (2019). Retención de frutos en Vanilla planifolia Jacks. ex Andrews con reguladores de crecimiento. Agronomía Mesoamericana, 30(3), 695–704. https://doi.org/10.15517/am.v30i3.33988
Hernández-Ruíz, J., Herrera-Cabrera, B. E., Delgado-Alvarado, A., Salazar-Rojas, V. M., Bustamante-Gonzalez, Á., Campos-Contreras, J. E., & Ramírez-Juarez, J. (2016). Distribución potencial y características geográficas de poblaciones silvestres de Vanilla planifolia (Orchidaceae) en Oaxaca, México. Revista de Biologia Tropical, 64(1), 235–246. https://doi.org/10.15517/rbt.v64i1.17854
Herrera-Cabrera, B. E. (2016). Nuevas áreas para el cultivo de vainilla (Vanilla planifolia Jacks. ex Andrews.) en Hidalgo, México. AgroProductividad, 9(11-B), 7–8. https://revista-agroproductividad.org/index.php/agroproductividad/article/view/871
Ibarra-Cantún, D., Delgado-Alvarado, A., Herrera-Cabrera, B. E., Soto-Hernández, R. M., Salazar-Rojas, V. M., & Aguilar, M. I. (2018). Effect of the environmental condition of Vanilla planifolia Jacks. ex Andrews cultivation on phytochemical concentration. Revista Chapingo. Serie Horticultura, 24, 151–165. https://doi.org/10.5154/r.rchsh.2017.08.031
Iglesias-Andreu, L. G., Ramírez-Mosqueda, M. A., Noa-Carranza, J. C., & Armas-Silva, A. A. (2018). Técnicas biotecnológicas para la obtención de genotipos de Vanilla planifolia resistentes a Fusarium oxysporum f. sp. vanillae. Cuadernos de Biodiversidad, 54, 9–14. https://doi.org/10.14198/cdbio.2018.54.02
Intergovermental Panel on Climate Change. (s.f.). Interactive Atlas: Regional information (Advanced). https://interactive-atlas.ipcc.ch/
López, J. S. A., Romero, E. H., Cérdan, C. C. R., Ortiz, C. G. C., & Reyes, L. D. (2019). Asociación entre cultivos de cacao (Theobroma cacao L.) y vainilla (Vanilla planifolia Jacks. ex Andrews) en un sistema agroforestal en Comalcalco, Tabasco. Tropical and Subtropical Agroecosystems, 22(3). http://www.revista.ccba.uady.mx/ojs/index.php/TSA/article/view/2622
Lubinsky, P., Bory, S., Hernández Hernández, J., Kim, S. C., & Gómez-Pompa, A. (2008). Origins and dispersal of cultivated vanilla (Vanilla planifolia Jacks. [Orchidaceae]). Economic Botany, 62, Article 127. https://doi.org/10.1007/s12231-008-9014-y
Mata, G. B., Silecio, L. M., González, M. V. S., Almaguer, V. G., Espinosa, R. E., Badillo, K., & Fajardo, F. M. L. (2007). Agricultura con sabor cítrico y aroma de vainilla en la región del Totonacapan. Universidad Autónoma Chapingo.
Menchaca, R. A., Ramos P., J. M., Moreno M., D., Luna R., M., Mata R., M., Vázquez G., L. M., & Lozano R., M. A. (2011). Germinación in vitro de híbridos de Vanilla planifolia y V. pompona. Revista Colombiana de Biotecnología, 13, 80–84. https://revistas.unal.edu.co/index.php/biotecnologia/article/view/22945
Minoo, D., Jayakumar, V. N., Veena, S. S., Vimala, J., Basha, A., Saji, K. V, Nirmal Babu, K., & Peter, K. V. (2008). Genetic variations and interrelationships in Vanilla planifolia and few related species as expressed by RAPD polymorphism. Genetic Resources and Crop Evolution, 55(3), 459–470. https://doi.org/10.1007/s10722-007-9252-3
Pérez, A., Gunata, Z., Lepoutre, J. -P., & Odoux, E. (2011). New insight on the genesis and fate of odor-active compounds in vanilla beans (Vanilla planifolia G. Jackson) during traditional curing. Food Research International, 44(9), 2930–2937. https://doi.org/10.1016/j.foodres.2011.06.048
Puthur, J. (2005). Influence of light intensity on growth and crop productivity of Vanilla planifolia Andr. General and Applied Plant Physiology, 31(3–4), 215–224. http://www.bio21.bas.bg/ipp/gapbfiles/v-31/05_3-4_215-224-s.pdf
Quintana, M. L., & Herrera, J. A. (2020). Desarrollo de cultivos sostenibles de vainilla en Ecuador. Revista de Investigación Talentos, 7(1), 71-79. https://doi.org/10.33789/talentos.7.1.123
Ruiz-Barradas, A., Tejeda-Martínez, A., Miranda-Alonso, S., & Flores-Zamudio, R. H. (2010). Climatología. In E. Florescano & J. Ortíz-Escamilla (Eds.), Atlas de la flora de Veracruz (pp. 65–84). Comisión del Estado de Veracruz para la Conmemoración de la Independencia y la Revolución Mexicana. https://bit.ly/3k1Ic6X
Ruiz, J. A., Garcia, G., González, I. J., Flores, H. E., Ramírez, G., Ortíz, C., Byerly, K. F., & Martínez, R. A. (2013). Requerimientos agroecológicos de cultivos (2a ed.; Libro Técnico No. 3). Instituto Nacional de Investigaciones Forestales Agrícolas y Pecuarias.
Santillán, F. A., Trejo, C. M., Martínez, S. A., Martínez, Á. L., Vásquez, B. N., & Mejía, S. L. (2019). Potencial productivo de Vanilla planifolia Jacks. en el Totonacapan, México, mediante técnicas geográficas. Revista Mexicana de Ciencias Agrícolas, 10, 789–802. https://doi.org/10.29312/remexca.v10i4.1661
Secretaría de Agricultura Ganadería Desarrollo Rural Pesca y Alimentación. (2015). Agenda técnica agrícola Veracruz. https://issuu.com/senasica/docs/30_veracruz_2015_sin
Solano, M. T., Escobar, E. E., Arciniega, J. A., Rueda Zozaya, R. P., Adame García, J., & Luna–Rodríguez, M. (2021). Bioinformatic analysis deciphers the molecular toolbox in the endophytic/pathogenic behavior in F. oxysporum f. sp. vanillae - V. planifolia Jacks. interaction. BioRxiv, preprint. https://doi.org/10.1101/2021.03.23.436347
Sujatha, S., & Bhat, R. (2010). Response of vanilla (Vanilla planifolia A.) intercropped in arecanut to irrigation and nutrition in humid tropics of India. Agricultural Water Management, 97, 988–994. https://doi.org/10.1016/j.agwat.2010.01.031
Tejeda, M. A., Acevedo, F., & Jáuregui, E. (1989). Atlas climático del estado de Veracruz. Universidad Veracruzana.
Trinidad, K. L., Reyes, H., Martínez, R. I., & Galarza, E. (2019). Distribución de Vanilla planifolia Jacks. ex Andrews y acciones para su conservación en la Huasteca Potosina. Revista Mexicana de Ciencias Forestales, 10, 108–134. https://doi.org/10.29298/rmcf.v10i55.595
Varela, S., Terribile, L. C., de Oliveira, G., Diniz-Filho, J. A. F., González-Hernández, J., & Lima-Ribeiro, M. S. (2015). ecoClimate vs. Worldclim: variables climáticas SIG para trabajar en biogeografía. Ecosistemas, 24(3), 88–92. https://doi.org/10.7818/ECOS.2015.24-3.11
Villarreal, L. A., & Herrera-Cabrera, B. E. (2018). Requerimiento hídrico en el sistema de producción vainilla (Vanilla planifolia Jacks. ex Andrews)-naranjo (Citrus sinensis L.) en la región del Totonacapan, Veracruz, México. Agroproductividad, 11(3), 29–37. http://revista-agroproductividad.org/index.php/agroproductividad/article/view/213
Watteyn, C., Fremout, T., Karremans, A. P., Huarcaya, R. P., Azofeifa Bolaños, J. B., Reubens, B., & Muys, B. (2020). Vanilla distribution modeling for conservation and sustainable cultivation in a joint land sparing/sharing concept. Ecosphere, 11(3), Article e03056. https://doi.org/10.1002/ecs2.3056
Notas
Enlace alternativo