Artículos
Uso de Beauveria bassiana en el control de tecla [Strymon megarus (Lepidoptera: Lycaenidae)] en piña (Ananas comosus (L.) Merr.)1
Use of Beauveria bassiana on the control of Tecla [Strymon megarus (Lepidoptera: Lycaenidae)] on pineapple (Ananas comosus (L.) Merr)
Uso de Beauveria bassiana en el control de tecla [Strymon megarus (Lepidoptera: Lycaenidae)] en piña (Ananas comosus (L.) Merr.)1
Agronomía Mesoamericana, vol. 33, núm. 3, 48235, 2022
Universidad de Costa Rica

Recepción: 31 Agosto 2021
Aprobación: 24 Febrero 2022
Resumen: Introducción. El incremento en la producción de piña (Ananas comosus (L.) Merr.) exige al mercado frutas de buena calidad, con menor impacto ambiental y mínimo uso de productos químicos. Objetivo. Determinar la dosis efectiva del hongo Bauveria bassiana y la formulación adecuada como bioinsecticida para el control de tecla (Strymon megarus Godart) en el cultivo de piña. Materiales y métodos. La investigación se realizó de febrero a abril de 2019 en una finca en Río Jiménez, Guácimo, Limón, Costa Rica. Se estableció un diseño de parcelas irrestricto al azar con medias repetidas en el tiempo con siete tratamientos y cinco réplicas por tratamiento. Para cada réplica se tomaron semanalmente datos de veinticinco frutos de piña, desde los 50 hasta los 92 días después de la inducción floral (ddf). Los tratamientos fueron: B. bassiana WP en dosis de 1,0, 2,0 y 3,0 kg ha-1, dos tratamientos de B. bassiana a 3 kg ha-1, coadyuvante Carrier y formulación miscible en aceite (OL); además, se tuvo un testigo absoluto sin aplicación de insecticida y un insecticida biológico Turex 3,8 WP (Bacillus thuringiensis) a 1,0 kg ha-1. Se realizaron cinco aspersiones por tratamiento, la primera a los 50 ddf y el resto con intervalos de siete días hasta llegar a los 78 días. Resultados. Todos los tratamientos mostraron una menor incidencia de daño viejo (gomosis) comparado con el testigo absoluto. Solo el T7 (testigo comercial B. thurigiensis 1 kg ha-1) y el T2 (B. bassiana a 1 kg ha-1) mostraron una incidencia de daño menor al 5 %, durante todo el periodo de evaluación sin diferencias significativas entre ellos, pero sí con el resto de los tratamientos. Conclusión. Los tratamientos T7 (testigo comercial B. thurigiensis 1 kg ha-1) y T2 (B. bassiana a 1 kg ha-1), fueron los más efectivos para el control de Strymon megarus Godart en el cultivo de piña.
Palabras clave: hongo entomopatógeno, control biológico, gusano barrenador del fruto.
Abstract: Introduction. The increase in pineapple (Ananas comosus (L.) Merr.) production demands good quality fruits from the market, with less environmental impact and minimal use of chemical products. Objective. To determine the effective dose of the fungus Beauveria bassiana and the appropriate formulation as a bioinsecticide for the control of key (Strymon megarus Godart) in pineapple crop. Materials and methods. This research was developed from February to April 2019 on a farm at Río Jiménez, Guácimo, Limón, Costa Rica. An unrestricted randomized plot design with repeated means over time was established with seven treatments and five replicates per treatment. For each replicate, data from twenty-five pineapple fruits were collected weekly, from 50 to 92 days after floral induction (ddf). The treatments were: B. bassiana WP at doses of 1.0, 2.0, and 3.0 kg ha-1, two treatments of B. bassiana at 3 kg ha-1, Carrier adjuvant, and oil-miscible formulation (OL), there were also an absolute control without insecticide application, and a biological insecticide Turex 3.8 WP (Bacillus thuringiensis) at 1.0 kg ha-1. Five sprays were made per treatment, the first at 50 ddf, and the rest at seven-day intervals until reaching 78 days. Results. All treatments showed a lower incidence of old damage (gummosis) compared to the absolute control. Only the T7 (comercial control B. thurigiensis 1 kg ha-1) and T2 (B. bassiana a 1 kg ha-1) treatments showed a damage incidence lower than 5 % during the whole evaluation period without significant differences between them, but with the rest of the treatments. Conclusion. The T7 (commercial control B. thurigiensis 1 kg ha-1) and T2 (B. bassiana 1 kg ha-1), treatments were the most effective for the control of Strymon megarus Godart in pineapple crops.
Keywords: entomopathogenic fungus, biological control, fruit borer.
Introducción
En el 2017, la producción mundial de piña fue de 27,4 millones de toneladas, donde los principales países productores en millones de toneladas anuales fueron: Costa Rica (3,0), Filipinas (2,6), Brasil (2,2), Tailandia (2,1) e India (1,8) (Centro de Exportación e Inversión de la República Dominicana, 2017). Costa Rica es el principal exportador de piña fresca a nivel mundial, por lo que esta fruta tiene un papel muy importante en la generación de empleos. El impacto económico del sector piñero en el año 2015 representó el 31 % del PIB agrícola, el cual fue parte del 8 % del PIB total para el país (Cámara Nacional de Productores y Exportadores de Piña, 2021).
Las exportaciones de piña en Costa Rica cayeron $ 56 millones de dólares, pasó de $ 944 millones de dólares en 2019 a USD $ 888 millones de dólares en 2020. La baja en los precios internacionales, las dificultades climáticas y los altos costos de producción fueron las causas de esta disminución. Los principales países donde se exportó esta fruta en 2020 fueron Estados Unidos (51 %), Holanda (11 %), España, Italia y Reino Unido (7 %), Bélgica (6 %), Rusia (3 %) y Canadá (1 %) (Promotora de Comercio Exterior de Costa Rica, 2021).
El país se caracterizó por tener dos cultivos de mayor importancia como lo fueron el café y el banano. Sin embargo, desde hace cincuenta años se empezó a desarrollar el cultivo de la piña en distintas regiones del país. La producción se destinaba para el mercado nacional y una pequeña parte en la industrialización de pulpas, enlatados y mermeladas (Cámara Nacional de Productores y Exportadores de Piña, 2021).
Los primeros pasos en la exploración a mercados internacionales iniciaron en 1986 con la variedad Cayenna Lisa y seguido con la Champaca. A partir del año 2001, los esfuerzos de exportación se enfocaron en posicionar la variedad Golden o “piña dorada”, lo que ubicó a Costa Rica en un nivel diferenciado mundial en la producción de piña. A mediados de los años ochenta, con la llegada de la subsidiaria de Del Monte Fresh, Pineapple Development Corporation (PINDECO), la producción orientada a la exportación aumentó.
El área del país dedicada a la producción de piña es de 45 000 ha, la mayoría se ubican en la Zona Norte del país con 19 600 ha, lo que equivale al 49 % del área cultivada; el Atlántico cuenta con 11 600 ha (29 %) y, por último, el Pacífico con 8800 ha (22 %). Se calcula que existen unos 170 productores y esta actividad económica genera 28 000 empleos directos y 105 000 empleos indirectos relacionados con la producción y exportación de esta fruta (Cámara Nacional de Productores y Exportadores de Piña, 2021).
De acuerdo con el informe de Comercio Exterior del Sector Agropecuario 2016-2017, el cultivo del banano junto con el cultivo de la piña fueron las actividades con mayor participación en el valor de exportación del sector agrícola, con un 36,6 % y 33,5 %, respectivamente, del total de las exportaciones agrícolas (Mora Ramírez, 2018). Los destinos de estas exportaciones fueron los Estados Unidos y Europa.
Uno de los principales insectos plaga en el cultivo de la piña es el gusano barrenador del fruto, conocido como tecla (Strymon megarus Godart, 1824) (Lepidoptera, Lycaenidae) (Coto & Saunders, 2004; Sanches, 2005). Esta plaga puede generar daños importantes al cultivo de la piña después de la inducción floral y completa su etapa de vulnerabilidad a los cien días después de la floración. Estos lepidópteros, en su estado adulto depositan los huevecillos en las flores de la piña y cuando eclosionan, las larvas penetran por el canal estilar donde se alimentan y causan un daño en forma de galerías en la pulpa externa (Jiménez Díaz, 1999).
En Brasil, se reportaron daños de hasta un 80 % en las plantaciones (Sanches, 2005), mientras que en estudios realizados en Costa Rica por Bermúdez Robles (2005) hubo una incidencia del 60 % de los frutos evaluados. Debido al riesgo de exposición de las plantaciones ante la agresividad de S. megarus, el manejo a nivel comercial se ha visto limitado al uso de insecticidas químico-sintéticos, entre los más comunes el carbaryl, diazinón o dimetoato (Maldonado, 1997). Algunos otros insecticidas utilizados para controlar el barrenador del fruto de la piña son: Clorpirifos, Lambda-cialotrina, Malatión y Spinosad (Instituto para la Innovación Tecnológica en Agricultura, 2018).
La tecla actúa como vector de bacterias, hongos y virus fitopatógenos, además, genera secuelas posteriores a la cosecha de las frutas. Un bioplaguicida a base de estructuras de resistencia de un hongo entomopatógeno como B. bassiana, podría ser vital para el control de las poblaciones del insecto sin el uso de pesticidas que pueden afectar el ambiente (Inclán et al., 2007).
Costa Rica se encuentra dentro de los países con mayor uso de pesticidas por hectárea de producción. Solo en 2006, se utilizaron cerca de 1,8 millones kg de ingrediente activo (i.a.) importado (Ramírez et al., 2009). En la actualidad, la tendencia de las fincas dedicadas a la producción de piña es buscar alternativas amigables con el ambiente en sus paquetes de fitoprotección. Sin embargo, estos productos alternos deben cumplir una serie de características al igual que los químicos, entre las que destacan una mejor eficiencia y bajos costos del producto. De esta manera, se pretende incursionar en la utilización de productos biológicos a base de hongos que ayuden, no solo al manejo de las plagas desde un punto de vista integral, sino que también contribuyan a disminuir las cargas de insecticidas sintéticos utilizados, lo que se convierte en prioridad para muchos productores.
El hongo entomopatógeno B. bassiana, pertenece a la clase Sordariomycetes y tiene la capacidad de parasitar a más de doscientas especies de insectos. Posee la facultad de actuar mediante una fase saprofítica y patogénica. Esta última, a través de una etapa de adhesión, con la cual logra que la espora (conidio) se deposite sobre la superficie de un insecto y germine. Luego, se fija sobre la superficie de la larva, donde desarrolla el tubo germinativo mediante un apresorio (órgano sujetador) (Tanada & Kaya, 1993; Piedrini et al., 2007). Esta etapa requiere de una humedad relativa y temperatura adecuadas para que pueda desarrollarse. En estudios realizados por Ortíz-Catón et al. (2011), determinaron para una serie de hongos entomopatógenos, incluido B. bassiana, que la actividad biológica de los hongos fue mayor cuando la humedad relativa osciló entre 81 a 92 %. También observaron que, a temperaturas menores de 16,3 °C, los conidios demoraron más de un día en germinar, mientras que a temperaturas superiores a 28,5 °C tardaron menos de un día en desarrollarse. Luego el hongo inicia la penetración del antagonista a través de las partes blandas del insecto, por medio de la presión sobre la superficie de contacto y la acción de enzimas como proteasas, quitinasas y lipasas que provocan la muerte del insecto (Monzón, 2001).
B. bassiana es un hongo de interés comercial por su actividad entomopatógena al parasitar un gran número de artrópodos. Entre las plagas que controla se encuentran: la mosca blanca Bemisia tabaci Gennadius, 1889 (Hemiptera: Aleyrodidae), el picudo del chile Anthonomus eugenii Cano, 1894 (Coleoptera: Curculionidae), el escarabajo de la papa Leptinotarsa decemlineata Say, 1824 (Coleoptera: Chrysomelidae), el picudo de la caña de azúcar Metamazius hemipterus Linnaeus, 1758 (Coleoptera: Curculionidae), el gorgojo de la caña de azúcar Sphenophorus levis Vaurie, 1978 (Coleoptera: Curculionidae), el barrenador gigante de la caña de azúcar Castnia licus Drury, 1773 (Lepidoptera: Castniidae), el picudo del plátano Cosmopolites sordidus Germar, 1824 (Coleoptera: Curculionidae) y diferentes especies de chinches y saltamontes (Cano et al., 2004).
B. bassiana se ha usado en distintos países para controlar la broca del café Hypothenemus hampei Ferrari 1867 (Coleoptera: Curculionidae); se utilizan diversas metodologías de aplicación y formulaciones para aumentar la efectividad del hongo. Los resultados obtenidos algunas veces han cumplido o superado las expectativas, mientras que en ocasiones no se alcanzan valores de mortalidad esperados. En una evaluación realizada por Inclán et al. (2007) con insecticidas naturales, se observó un control del daño del 33 % de S. megarus con B. bassiana, en comparación a un 54 % con respecto al testigo absoluto. El desarrollo de distintas formulaciones y concentraciones puede hacer la diferencia a la hora de aplicar este microorganismo en campo y en ambientes protegidos. El objetivo de esta investigación fue determinar la dosis efectiva del hongo B. bassiana y la formulación adecuada como bioinsecticida para el control de tecla (S. megarus) en el cultivo de piña.
Materiales y métodos
Condiciones del ensayo
La investigación se llevó a cabo en La Estación Experimental de Biotech Cr Grm S.A., ubicada en Río Jiménez, Guácimo, Limón, Costa Rica, de febrero a abril del año 2019. Las coordenadas del sitio son 10°15’41.2” N, 83°41’15,3” W y se ubica en la zona de vida de bosque muy húmedo pre-montano (Bolaños et al., 2005). La estación meteorológica de Río Jiménez del Instituto Meteorológico Nacional (IMN), reportó en un periodo de trece años, un acumulado 3610 mm anuales de lluvia, un promedio de temperatura de 25,0 °C y 90 % de humedad relativa (Gómez Vega, 2003).
Selección del cultivo y del cultivar
La variedad de piña (Ananas comosus) usada fue MD-2 (“piña dorada”), la cual se desarrolló mediante avances en biotecnología por Del Monte Fresh, a través de la subsidiaria Pineapple Development Corporation (PINDECO), empresa que se dedicada a la producción del cultivo de piña con calidad de exportación. Este material es más susceptible al daño mecánico y al ataque de plagas y patógenos con respecto a otros cultivares; sin embargo, posee un ciclo productivo más corto, con altos niveles de producción, tamaño y calidad (Brenes Gamboa, 2005).
Las parcelas se establecieron en la finca experimental de Biotech Cr Grm S.A., en un lote “forzado” o sometido a inducción de la floración en enero del 2019. Se utilizó un material de siembra “guía” con distancias de siembra de 10,5 pulgadas entre plantas y 18 pulgadas entre hileras, equivalente a una densidad de siembra de 70 000 plantas/ha. El área de siembra total de la sección donde se estableció el ensayo fue de 0,30 ha, de las cuales se utilizaron 11 m2 y 60 plantas por parcela, se establecieron 35 parcelas correspondientes a los siete tratamientos con sus cinco réplicas, para un total de área destinada para el ensayo de 385 m2. Cada parcela recibió sus respectivos ciclos de fertilización, así como de fitoprotección en etapa de desarrollo del cultivo, lo que permitió las condiciones de desarrollo adecuadas para ser sometido a la inducción floral e iniciar con la etapa fenológica de desarrollo de fruto necesario para las evaluaciones.
Diseño y establecimiento del ensayo
El ensayo de eficiencia biológica se estableció con un diseño de parcelas irrestricto al azar con medidas repetidas en el tiempo, con siete tratamientos y cinco réplicas por tratamiento (Cuadro 1). En cada réplica se tomó semanalmente el dato de veinticinco frutos de piña. Cada réplica constó de tres camas de 2,20 m de ancho x 5 m de largo, con 1 m de zona buffer entre parcelas. Todos los tratamientos se aplicaron por aspersión foliar, donde se aseguró una distribución uniforme del producto en todas las parcelas, en un volumen equivalente a 2000 L ha-1, en cinco ocasiones, a los 50, 57, 64, 71 y 78 días después de la inducción floral (ddf). Las aplicaciones finalizaron a los 78 días, ya que en esta etapa se encuentran los últimos pétalos de la flor que coinciden con el periodo más susceptible de la planta de piña. Tecla afecta al cultivo en la etapa de la floración y es independiente de donde se ubique la planta de piña en el campo.

Table 1. Description of the treatments to evaluate biological efficacy of the B. bassiana bioinsecticide on pineapple (Ananas comosus). Río Jiménez, Guácimo, Limón, Costa Rica. 2019.
Para determinar la influencia de los tratamientos sobre las variables de respuesta estudiadas (presencia de daño que ocasiona la plaga, número de daño en cada fruto, presencia y cantidad de larvas y huevos), se realizó un análisis de varianza (ANOVA) con un diseño en parcelas dividas bajo la teoría de modelos lineales mixtos.
El modelo base utilizado fue:
Yijk= μ+ αi+ γj+ δij+ εijk
Con: i=1…7,j=1…7, k = 1…5
Donde:
Yijk: variable de respuesta del i-ésimo tratamiento, j-ésima días después de aplicado y k-ésima réplica.
μ: media general.
αi: efecto de la i-ésimo tratamiento.
γj: efecto de la j-ésima fecha de evaluación.
δij: efecto adicional (interacción para la combinación de los niveles i de tratamiento y j de fecha.
εijk: término de error que se distribuye normal independiente con media cero y varianza constante.
Al ser evaluaciones en el tiempo y dado que la unidad observacional se midió durante las distintas fechas, los errores se correlacionaron para poder cumplir con el supuesto de independencia. Se incluyó el ajuste de sujeto dentro del modelo como efecto aleatorio o ajuste de una estructura de correlación. Se comprobaron los supuestos del ANOVA con gráficos diagnósticos (cuantiles de los términos de error, gráficos de residuos y gráficos de residuos predichos).
Se escogió el modelo en función de los criterios de Akaike (AIC) y de información Bayesiano (BIC). En las variables donde existieron diferencias estadísticas entre los tratamientos, se realizaron comparaciones de medias por medio de la prueba de Di Rienzo, Guzmán y Casanoves (DGC) (p≤0,05), con la formación de grupos excluyentes y no transición entre tratamientos. Para el análisis de datos se utilizó el programa estadístico Infostat versión 2020.
Momento y frecuencia
El daño ocasionado por tecla se conoce como “gomosis” y en las primeras horas de la lesión ocasiona un exudado de color blanquecino y ámbar de consistencia gomosa y pegajosa llamado “daño fresco”, el cual, al poco tiempo de entrar en contacto con el aire, se endurece y oscurece dando lugar a lo que se conoce como “daño viejo”.
Las evaluaciones de las variables de huevos y larvas no arrojaron datos que permitieron realizar un análisis y correlacionar los tratamientos, ya que en la mayoría de las evaluaciones su presencia fue irregular; no obstante, sí se observó el daño que evidenció la presencia de la plaga. Además, en las evaluaciones se prestó especial interés a frutos con daño viejo, por ser los de mayor importancia para esta investigación. El daño fresco se transforma en poco tiempo en daño viejo y ambos están correlacionados.
Asimismo, la estimación de la proporción de fruta con daño viejo que ocasiona S. megarus es esencial para estimar la proporción de fruta con calidad de exportación, así como para dirigir las estrategias de manejo de la plaga hacia otros estadios como huevos o adultos.
El periodo de susceptibilidad de la planta de piña por ataque de S. megarus, inicia desde la apertura floral con la presencia de sus respectivos pétalos florales, los cuales se pueden observar desde los 45 a los 50 días después de forzamiento, hasta alcanzar la etapa de flor seca (senescencia de los pétalos), entre los 90 y los 100 días después del forzamiento. Este evento fisiológico, depende de las condiciones geográficas y climáticas. Por lo anterior, se efectuaron siete evaluaciones a los 50, 57, 64, 71, 78, 85 y 92 días después del forzamiento (ddf). Cada evaluación se realizó previo a cada aplicación y después de la última aplicación (78 ddf) se realizaron dos evaluaciones más (85 y 92 ddf), con el fin de monitorear el comportamiento de la plaga hasta los 92 ddf que coincidió con el estado de “flor seca” en esa plantación.
Resultados
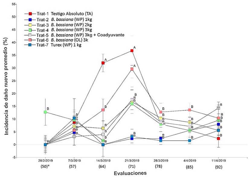
Todos los tratamientos evaluados, mostraron una menor incidencia de daño viejo (gomosis) comparado con el T1 (testigo absoluto) (Figura 1). Sin embargo, solo el T7 (testigo comercial B. thuringiensis 1 kg ha-1) y el T2 (B. bassiana 1 kg ha-1) mantuvieron la incidencia de daño menor al 5 % durante todo el período de evaluación, sin diferencias significativas entre ellos, pero sí con el resto de los tratamientos.

Medias con la letra igual no difieren estadísticamente (p>0,05). *ddf: días después de forzamiento.
Figure 1. Incidence means (%) of old damage (gummosis) by treatment caused by Tecla (S. megarus). Río Jiménez, Guácimo, Limón, Costa Rica. 2019.
Common letter means are not statistically different (p>0.05). *ddf: days after forcing.
Se determinó en el muestreo realizado a los 50 días después de la inducción floral y antes de realizar las aplicaciones, la ausencia de huevos, larvas o daños ocasionados por tecla, lo que coincidió con el estado de desarrollo prematuro de la flor. En la evaluación realizada a los 57 días después de la inducción floral para la cuantificación de gomosis, se observó que los tratamientos mostraron comportamientos muy homogéneos con un porcentaje de daño viejo por debajo al 5 %.
A los 64 días después de la inducción a floración hubo un aumento en la incidencia de daño viejo para T1 (testigo absoluto), donde alcanzó un valor de 21,6 %, mientras el resto de los tratamientos mostraron valores por debajo de 4,8 %, a excepción del T6 (B. bassiana formulación OL 3 L ha-1), el cual alcanzó en ese momento un 7,2 %.
El T1 (testigo absoluto) continuó con el incremento de la incidencia de daño hasta alcanzar un 44,8 % a los 78 días después de la inducción floral y se mantuvo por encima del 40 % en el resto del periodo de la evaluación (hasta los 92 días después de la inducción). La afectación observada en el T1 (testigo absoluto), coincidió con el ciclo de vida normal del insecto y el estado de floración del fruto de la piña, el cual comprende la aparición de los pétalos desde los 60 hasta los 100 días. Durante este periodo existe mayor susceptibilidad para el ataque de la plaga, aunado a las condiciones geográficas y climáticas del sitio donde se llevó a cabo dicho ensayo.
Los resultados para la evaluación de gomosis, de manera general, mostraron que el T7 (testigo comercial B. thurigiensis 3 kg ha-1) y el T2 (B. bassiana 1 kg ha-1) mantuvieron una incidencia de gomosis por debajo al 5 % durante todo el periodo de evaluación, mientras que T3 y T4 (B. bassiana 2 kg ha-1 y B. bassiana 3 kg ha-1, respectivamente) tuvieron una incidencia de daño cercana a 15 %, ambos alcanzaron su mayor incidencia de daño (28,8 % y 27,2 % respectivamente) a los 92 días después de la inducción floral; no obstante, mantuvieron un mejor control en comparación al T1 (testigo absoluto) que superó el 40 %.
En el caso del T6 (B. bassiana formulación OL 3 L ha-1), fue una formulación que se encontraba en fase experimental. En un inicio, desde los 50 a los 71 días, mostró un control diferente con respecto al T1 (testigo absoluto) (18,4 % y 33,6 % respectivamente), pero después de los 78 días posteriores a la inducción floral se observó una tendencia muy similar al T1 (testigo absoluto), sin presentar diferencias estadísticas significativas a los 92 días (42,4 % y 44,8 %, respectivamente).
El T5 (B. bassiana 3 kg ha-1 más coadyuvante) no mostró diferencias con respecto a la misma dosis sin coadyuvante, es decir, al T4 (B. bassiana 3 kg ha-1). Ambos tratamientos mantuvieron una incidencia de daño muy similar cercana al 7 % desde los 50 a los 64 días después de la inducción floral, sin diferir del comportamiento de control que presentaban el resto de los tratamientos a excepción del T1 (testigo absoluto); a partir de los 71 días la incidencia de daño se incrementó a 12,8 % en el T5. La incidencia de daño alcanzó valores de 16,8 % y 18,4% a los 85 días en ambos tratamientos T4 (B. bassiana 3 kg ha-1) y T5 (B. bassiana 3 kg ha-1 más coadyuvante) y presentaron una incidencia máxima de 28,8 % y 32,8 %, respectivamente, a los 92 días después de la inducción floral (Figura 1).
Los datos de daño fresco mostraron una menor incidencia con respecto al T1 (testigo absoluto), situación que también se observó en los datos de daño viejo (Figura 2). Todos los tratamientos evidenciaron diferencias significativas en cuanto al porcentaje de incidencia de daño fresco ocasionado por el insecto en relación al T1 (testigo absoluto). Se notó un incremento acelerado de incidencia de daño fresco (33 %) desde los 64 días después de la inducción floral hasta los 71 días (38 %) en el T1 (testigo absoluto), etapa en la cual la mayor disponibilidad de pétalos florales hace que sea más susceptible al ataque por el insecto.

Medias con la letra igual común son no difieren estadísticamente (p>0,05). *ddf: días después de forzamiento.
Figure 2. Point graph of the incidence means (%) of fresh damage by treatment caused by tecla (S. megarus). Río Jiménez, Guácimo, Limón, Costa Rica. 2019.
Common letter means are not statistically different (p>0.05). *ddf: days after forcing.
En el T1 (testigo absoluto) la incidencia del daño alcanzó valores cercanos al 35 %, mientras que el resto de los tratamientos mostraron diferencias significativas positivas con respecto al T1 (testigo absoluto), pero no así entre ellos (Figura 2). Se mantuvo la tendencia de los mejores tratamientos en cuanto a la incidencia de daño fresco en el T7 (testigo comercial B. thurigiensis 1 kg ha-1) y el T2 (B. bassiana 1 kg ha-1), sobre el efecto positivo de control del daño viejo, a excepción del T6 (B. bassiana formulación OL 3 L ha-1), el cual alcanzó 28,6 % a los 71 días. El T6 era una formulación experimental en base aceite y presentó problemas de estabilidad desde el momento de la preparación de la mezcla.
Discusión
Los tratamientos T2, T3, T4 y T5 (B. bassiana en formulación WP), mostraron diferencias significativas al reducir la incidencia de daño ocasionado por tecla en comparación con el T1 (testigo absoluto). En el caso del T6 (B. bassiana formulación OL 3 L ha-1), presentó problemas de estabilidad al ser una formulación experimental en base aceite, y al no tener efecto en el control de la plaga en comparación con el resto de los tratamientos con formulación WP (polvo mojable). Sobre este tema, estudios realizados por Díaz y Forero (1997) y Marino (2001), determinaron que en los bioinsecticidas formulados a base de polvos mojables (WP), la materia activa se encuentra dispersa en un vehículo inerte sólido, presenta mayor fluidez y estabilidad de sus componentes a diferencia de otras formulaciones. Una de las principales desventajas de los productos microbiológicos para el control de plagas es el efecto negativo de las condiciones ambientales, lo cual afecta su estabilidad y eficacia (Martínez Castrillón, 2010). No se descarta que alguna de estas circunstancias haya limitado o restringido el efecto de las formulaciones sobre el control de la plaga.
En cuanto a la formulación de insecticidas biológicos, hay una serie de requisitos esenciales, los cuales deben cumplir con una estabilidad física y biológica durante el almacenamiento, evitar la evaporación, incrementar la cobertura y adherencia en el follaje, mejorar la dispersión, la suspensibilidad, aumentar la resistencia a las condiciones ambientales (lluvia, temperatura, radiación, etc.) y facilitar la aplicación (Martínez Castrillón, 2010).
Los tratamientos T7 (testigo comercial B. thurigiensis 1 kg ha-1) y el T2 (B. bassiana 1 kg ha-1), presentaron una incidencia de daño que se mantuvo por debajo del 5 % durante todo el período de evaluación sin tener diferencias significativas entre ellos. Estos resultados coinciden con lo determinado por Bermúdez Robles (2005) e Inclán et al. (2007), donde B. thurigiensis mantuvo tendencias de incidencia de daño menores.
Esta investigación obtuvo mejores resultados que los de Inclán et al. (2007) con B. bassiana, ya que la formulación utilizada en este ensayo presentó una mayor concentración de unidades formadoras de colonias (UFC) de 4 x 1012, con respecto a la utilizada en el año 2007 (2 x 109). Además, se logró hacer la aplicación en el momento de mayor exposición de la plaga entre los cinco y doce días después de la oviposición, donde su estado larval aún no ha completado el barrenado para el ingreso al interior del fruto y se encuentra expuesta para entrar en contacto con B. bassiana que tiene su efecto por contacto, a diferencia de B. thurigiensis que tiene su efecto por ingestión (Baró Bulet y Massó Villalón, 2013). Esto coincide con la fase patogénica de B. bassiana descrita por Tanada & Kaya (1993) y Piedrini et al. (2007), quienes determinaron que la fijación del hongo ocurre sobre la superficie del insecto y luego penetra a través de sus partes blandas, lo que se sería imposible en la etapa de huevo o cuando ya la larva ha ingresado al interior del fruto.
En el periodo en que se llevó a cabo este ensayo, entre los meses de enero y abril, se presentaron condiciones climatológicas de temperatura favorables para un control biológico. De acuerdo con Gómez Vega (2003), los meses de enero, febrero, marzo y abril, los promedios de temperatura variaron entre 24,5 y 26,5 °C. A la vez, la humedad relativa promedio estuvo en un rango de 87 a 90 %. Estos valores coinciden con la mayor eficacia reportados por Ortíz-Catón et al. (2011) respecto a hongos entomopatógenos. Datos acumulados de trece años en la región de Guácimo, Limón (donde se realizó el ensayo), mostraron que para los meses restantes (mayo a diciembre) se observaron medias de humedad superiores al 91 %, e incluso al 93 % como fue el caso de julio. Lo anterior indica que los resultados obtenidos podrían presentar variaciones relacionadas a las condiciones ambientales de cada región.
Conclusiones
Las aplicaciones de B. bassiana lograron contener el avance de la infestación de tecla (S. megarus), y se observó una reducción significativa de la incidencia de daño ocasionado en los tratamientos en los que se utilizó el biocontrolador.
El T7 (testigo comercial B. thurigiensis 1 kg ha-1) y el T2 (B. bassiana 1 kg ha-1), mostraron la menor incidencia de daño, la cual se mantuvo por debajo del 5 % durante todo el ensayo, sin tener diferencias significativas entre ellos.
Se determinó que el hongo B. bassiana fue eficaz como controlador biológico del insecto plaga tecla (S. megarus), por lo cual podría ser una alternativa en el control de plagas y en la disminución de la carga química utilizada en el cultivo de la piña.
Ante la falta de información para el control biológico de tecla en la producción de piña, es importante validar este tipo de ensayos, tanto en otras épocas del año, como en diferentes condiciones ambientales (regiones), para determinar el comportamiento del insecto y la eficacia de los agentes biológicos bajo otras condiciones climáticas.
Agradecimientos
Los autores desean expresar su agradecimiento a la empresa Biotech Cr Grm S.A., por todo el apoyo brindado en el desarrollo de esta investigación, además al M. Sc. Alejandro Vargas Martínez por su ayuda en la elaboración e interpretación del análisis estadístico utilizado y a la M. Sc. Irena Hilje Rodríguez por la revisión del documento.
Referencias
Baró Bulet, D., & Massó Villalón, E. (2013). Efectos provocados por Bacillus thuringiensis cepa-13 sobre Chrysopa exterior en condiciones de laboratorio. Fitosanidad, 17(1), 25–30. https://www.redalyc.org/pdf/2091/209128776004.pdf
Bermúdez Robles, F. J. (2005). Control del daño por Strymon basilides (Lepidóptera: Lycaenidae) en la piña [Tesis de Licenciatura, no publicada]. Universidad EARTH.
Bolaños, R., Watson, V., & Tosi, J. (2005). Mapa ecológico de Costa Rica (Zonas de Vida), según el sistema de clasificación de zonas de vida del mundo de L.R. Holdridge), Escala 1:750.000. Centro Científico Tropical.
Brenes Gamboa, S. (2005). Caracterización vegetativa y productiva del cultivar MD-2 de piña (Ananas comosus) bajo las condiciones climáticas de Turrialba. InterSedes, 6(11), 27–34. https://revistas.ucr.ac.cr/index.php/intersedes/article/view/948
Cámara Nacional de Productores y Exportadores de Piña. (2021). ¿Por qué la producción de piña en Costa Rica es un sector esencial para la economía?. Obtenido el 14 de setiembre, 2021, de https://canapep.com/produccion-pina-costa-rica-sector-economia/
Cano, E., Carballo, M., Chaput, P., Fernández, O., Gonzáles, L., Gruber, A. K., Guharay, F., Hidalgo, E., Narváez, C., López, J. A., Rizo, C., Rodríguez, A., Rodríguez, C., & Salazar, D. (2004). Control biológico de plagas agrícolas. Centro Agronómico Tropical de Investigación y Enseñanza. https://bit.ly/3uIvO1A
Centro de Exportación e Inversión de la República Dominicana. (2017). Perfil: Producto Piña. https://bit.ly/3ohTRRi
Coto, D., & Saunders, J. L. (2004). Insectos plagas de cultivos perennes con énfasis en frutales de América Central. Centro Agronómico Tropical de Investigación y Enseñanza.
Díaz, A., & Forero, M. (1997). Producción y purificación del complejo espora cristal de Bacillus thuringiensis HD 137 con actividad contra Spodoptera frugiperda [Tesis de Grado, no publicada]. Universidad Nacional de Colombia.
Gómez Vega, O. (2003). Estudio semidetallado de suelos para palma aceitera en los cantones de Guácimo y Pococí, provincia de Limón. Instituto Nacional de Tecnología Agropecuaria, & Ministerio de Agricultura y Ganadería. http://www.mag.go.cr/bibliotecavirtual/P30-9475.pdf
Inclán, D. J., Alvarado, E., & Williams, R. N. (2007). Evaluación de cuatro insecticidas naturales para el control de Tecla, Strymon megarus (Godart) (Lepidoptera: Lycaenidae), en el cultivo de piña. Tierra Tropical, 3(2), 199–210.
Instituto para la Innovación Tecnológica en la Agricultura. (2018, octubre). Manejo del barrenador del fruto en el cultivo de piña. https://bit.ly/3IvWKHC
Jiménez Díaz, J. A. (1999). Manual práctico para el cultivo de piña de exportación. Editorial Tecnológica de Costa Rica.
Maldonado, Y. (1997). Manual de identificación de plagas, enfermedades y deficiencias en el cultivo de la piña. Estación Experimental La Jota.
Marino, C. F. (2001). Caracterización y evaluación de la estabilidad biocontroladora y microblológica de preformulados granulados a base del hongo entomopatógeno Metarhizium anisopliae para el control de la chiza Ancognatha scarabaeoides [Tesis de Grado, no publicada]. Universidad Javeriana.
Martínez Castrillón, L. C. (2010). Desarrollo de un protocolo de formulación con hongos entomopatógenos para el manejo de Demotispa neivai Bondar (Coleoptera: Chrysomelidade) [Tesis de Maestría, Universidad Nacional de Colombia]. Repositorio de la Universidad Nacional de Colombia. https://bit.ly/3IwoFal
Monzón, A. (2001). Producción, uso y control de calidad de hongos entomopatógenos en Nicaragua. Manejo Integral de Plagas, 63, 95–103. https://bit.ly/2uki6SO
Mora Ramírez, S. (2018). Informe de comercio exterior del sector agropecuario 2016-2017. Secretaria Ejecutiva de Planificación Sectorial Agropecuaria. https://bit.ly/3uDMVld
Ortíz-Catón, M., Alatorre-Rosas, R., Valdivia-Bernal, R., Ortíz-Catón, A., Medina-Torres, R., & Alejo-Santiago, G. (2011). Efecto de la temperatura y humedad relativa sobre el desarrollo de los hongos entomopatógenos. Revista Biociencias, 2(2), 42–53. https://bit.ly/3IyxHne
Piedrini, N., Crespo, R., & Juárez, M. P. (2007). Biochemistry of insect epicuticle degradation by entomopathogenic fungi. Comparative Biochemistry and Physiology, Part C, 146(1–2), 124–137. https://doi.org/10.1016/j.cbpc.2006.08.003
Promotora de Comercio Exterior de Costa Rica. (2021). Anuário estadístico 2020. Obtenido el 15 julio, 2022, de https://www.procomer.com/exportador/documentos/anuario-estadistico-2020/
Ramírez, F., Chaverri, F., de la Cruz, E., Wesseling, C., Castillo, L., & Bravo, V. (2009). Importación de Plaguicidas en Costa Rica periodo 1977-2006. Instituto Regional de Estudios en Sustancias Tóxicas. https://bit.ly/3yX7Xhc
Sanches, N. F. (2005). Manejo integrado da broca-do-fruto do abacaxi. Embrapa Mandioca e Fruticultura Tropical.
Tanada, Y., & Kaya, H. K. (1993). Insect pathology. Academic Press Inc.
Notas
Notas de autor
walter.peraza.padilla@una.cr
Enlace alternativo