Artículos

Recepción: 18 Noviembre 2021
Aprobación: 24 Mayo 2022
DOI: https://doi.org/10.15517/am.v34i1.49138
Resumen: Introducción. Los sistemas silvopastoriles tienen un papel importante en la producción ganadera, aportan beneficios a los componentes animal y edáfico, ofrecen servicios ambientales como la captura de carbono atmosférico en el suelo y la biomasa. Objetivo. Evaluar la capacidad de captura de carbono atmosférico en tres sistemas de diferentes complejidades enfocados a la producción ganadera, en el norte de Colombia. Materiales y métodos. El estudio se llevó a cabo en el Centro de Investigación Turipaná de la Corporación Colombiana de Investigación Agropecuaria entre 2019 y 2021. Se evaluaron parámetros dasométricos del componente arbóreo/arbustivo. Se estimó la biomasa aérea (CBA) y subterránea (CBR) de estas especies con modelos alométricos. Se cuantificó la biomasa de hojarasca caída (CLIT) y el carbono orgánico en el suelo hasta los 30 cm, con lecturas cada 10 cm, por el método de combustión y carbono total acumulado. El diseño correspondió a bloques completos al azar, con tres tratamientos y cuatro repeticiones. Los tratamientos correspondieron a dos sistemas silvopastoriles (SSP) de diferente complejidad y una gramínea sin árboles (Pr). Resultados. La biomasa aérea fue mayor dentro los SSP (2,18±1,13, 4,51±3,76 t ha-1 C) que en Pr (0,19±0,09 t ha-1 C). En SSP2 se presentó la mayor acumulación de CBR (1,16±3,76 t ha-1 C) y CLIT (3,09±2,45 t ha-1 C). Los valores de carbono orgánico acumulado en el suelo (COS), mostraron mayor acumulación en el primer estrato. El COS representó en los tres sistemas más del 70 % del aporte total en carbono acumulado. Conclusión. Bajo las condiciones ambientales de bosque seco tropical húmedo, los sistemas silvopastoriles aumentaron la reserva de carbono atmosférico en el suelo y en la biomasa; el uso de SSP es una estrategia en la mitigación de gases de efecto invernadero en el sistema productivo ganadero.
Palabras clave: biomasa sobre el suelo, biomasa por debajo del suelo, secuestro de carbono, gases de efecto invernadero, producción ganadera.
Abstract: Introduction. Silvopastoral systems play an important role in livestock production, provide benefits to the animal and edaphic components, and offer environmental services such as atmospheric carbon sequestration in the soil and biomass. Objective. To evaluate the capacity of atmospheric carbon sequestration in three systems of different complexities focused on livestock production, in northern Colombia. Materials and methods. The study was carried out at the Turipana Research Center of the Corporacion Colombiana de Investigacion Agropecuaria between 2019 and 2021. The dasometric parameters of the tree/shrub component were evaluated. The aboveground (CBA) and belowground (CBR) biomass of these species were estimated with allometric models. The fallen litter biomass (CLIT) and soil organic carbon up to 30 cm, with readings every 10 cm, were quantified by the combustion method and total accumulated carbon. The design corresponded to complete randomized blocks, with three treatments and four repetitions. The treatments corresponded to two silvopastoral systems (SSP) of different complexity and a grass without trees (Pr). Results. Aerial biomass was higher in the SSP (2.18 ± 1.13, 4.51 ± 3.76 t ha-1 C) than in Pr (0.19 ± 0.09 t ha-1 C). The highest accumulation of CBR (1.16 ± 3.76 t ha-1 C) and CLIT (3.09 ± 2.45 t ha-1 C) occurred in SSP2. The soil organic carbon accumulated (COS) values showed higher accumulation in the first stratum. The COS represented in the three systems more than 70 % of the total contribution in accumulated carbon contribution. Conclusion. Under the environmental conditions of the humid tropical dry forest, silvopastoral systems increased the stock of atmospheric carbon in the soil and biomass. The use of SSP is a strategy in the mitigation of greenhouse gases in the livestock production system.
Keywords: above-ground biomass, below-ground biomass, carbon sequestration, greenhouse gases, livestock production.
Introducción
En América Latina y el Caribe, se estima que más del 68 % de los suelos presentan algún tipo de deterioro edáfico, asociado al cambio de uso del suelo (Pennock & McKenzie, 2015). Estos procesos de deterioro están vinculados a procesos antropogénicos, entre ellos, los sistemas de producción agropecuarios, debido a la necesidad de suplir la demanda de alimentación, en la creciente población, lo que ha conllevado a la transformación de sistemas boscosos en áreas de pastoreo (McGroddy et al., 2015). Este escenario ha planteado el desarrollo de diversas acciones que promueven sistemas de producción ganaderos sostenibles (ambiental y económico), como una alternativa de alimentación animal, reducción de los procesos degradativos del suelo, aumento del carbono acumulado, disminución de la deforestación y adaptabilidad a los cambios generados por la variabilidad y cambio climático (Contreras-Santos, Martínez-Atencia & Falla-Guzmán, 2021; Contreras-Santos, Martínez-Atencia, Raghavan et al., 2021).
Los sistemas silvopastoriles (SSP), son herramientas sostenibles capaces de favorecer o contrarrestar estos efectos, mediante la combinación, en un mismo espacio, especies gramíneas y leguminosas rastreras con especies arbustivas y árboles maderables, destinadas a la alimentación animal y usos complementarios (producción de madera, frutas, sombra, regulación hídrica, hábitat de la fauna silvestre y embellecimiento del paisaje), estos sistemas son capaces de aportar grandes volúmenes de materia orgánica (M.O), a través de la acumulación de hojarasca y raíces finas, y generar condiciones fisicoquímicas y biológicas del suelo adecuadas para el desarrollo de los cultivos (Contreras-Santos et al., 2019; Dollinger & Jose, 2018; Sotelo et al., 2017; Vásquez et al., 2021).
Los sistemas silvopastoriles (SSP) capturan y almacenan el carbono atmosférico, fundamental en la mitigación del cambio climático (Oliva et al., 2017). Una parte importante del carbono presente en la atmósfera puede ser almacenado de forma natural por las plantas en la biomasa aérea, mediante los procesos de fotosíntesis, y otra parte en el suelo, a través de la acumulación de materia orgánica (Contreras-Santos, Martínez-Atencia & Falla-Guzmán, 2021; Lok et al., 2013), al considerarse el mayor reservorio de carbono (López-Santiago et al., 2019; Montagnini et al., 2015).
El objetivo general de este estudio fue evaluar la capacidad de captura de carbono atmosférico en tres sistemas de diferentes complejidades enfocados a la producción ganadera, en el norte de Colombia.
Materiales y métodos
Área de estudio
El estudio se llevó a cabo en el Centro de Investigación Turipaná de la Corporación Colombiana de Investigación Agropecuaria (AGROSAVIA), ubicado a 8°51’ N, 75°49’ W en el municipio de Cereté, Córdoba, Colombia (Figura 1). Su altitud es de 12 m, con precipitación acumulativa de 1200 mm/año, temperatura media de 28 °C y humedad relativa media de 82 %. Las precipitaciones en la región del valle medio del río Sinú, presentan comportamiento bimodal, con dos periodos definidos, uno lluvioso comprendido entre los meses de abril y noviembre, y otro seco entre los meses de diciembre y marzo. El área de estudio pertenece a la zona agroecológica Bosque Seco Tropical (Bs-T) (Holdridge, 2000). Los suelos del área de estudio corresponden a un Vertic Endoaquepts (Soil Survey Staff, 2014), que pertenecen a la serie La Pozona, con predomino de textura finas (arcillosas de tipo expansiva, tipo 2:1), régimen de humedad Udico y temperatura isohipertérmico, drenaje imperfecto a bueno y fertilidad alta.

Figure 1. Agroecosystems evaluated: Silvopastoral system associated with Megathyrsus maximus cv Sabanera Agrosavia (SSP1). Silvopastoral system associated with Megathyrsus maximus cv Mombasa (SSP2), and control meadow with Colosuana (Bothriochloa pertusa (L.) A. Camus) (Pr). Turipana Research Center. Corporacion Colombiana de Investigacion Agropecuaria (AGROSAVIA). Cereto, Cordoba, Colombia. 2019- 2021.
Descripción de los sistemas evaluados
Se seleccionaron tres arreglos o sistemas conformados de dos gramíneas, adaptadas a las condiciones agroclimáticas regionales en asocio con especies arbóreas/arbustivas (dispersos) y una pastura nativa sin árboles (testigo o control). El sistema silvopastoril uno (SSP1) se constituyó de una especie gramínea (Megathyrsus maximus cv Sabanera Agrosavia) y especies arbóreas Búcaro (Erythrina fusca), Ceiba (Pachira quinata), Orejero (Enterolobium cyclocarpum), Guásimo (Guazuma ulmifolia), Guama (Inga edulis), Roble (Tabebuia rosea) y Campano (Albizia samán); el sistema silvopastoril dos (SSP2) conformado por la especie gramínea Megathyrsus maximus cv Mombasa y especies arbóreas Orejero (Enterolobium cyclocarpum), Búcaro (Erythrina fusca), Melina (Gmelina arbórea), Campano (Albizia samán), Mataratón (Gliricidia sepium), Higo (Ficus sp), y el arreglo testigo se conformó por una gramínea naturalizada o nativa (Pr) Colosuana (Bothriochloa pertusa (L.) A. Camus) (Cuadro 1). Cada uno de los arreglos o sistemas contaron con un área de evaluación de una hectárea, para un total de tres hectáreas de evaluación.

Table 1. Characteristics of two silvopastoral systems (SSP1 and SSP2) and one treeless grassland (Pr), evaluated at the Turipana Research Center. Corporacion Colombiana de Investigacion Agropecuaria (AGROSAVIA), Cerete, Cordoba, Colombia. 2019-2021.
Los arreglos o sistemas evaluados presentaron gramíneas de cinco años de establecidas y árboles de diferentes edades (3 a 10 años). El periodo de evaluación de esta investigación fue de dos años (marzo, 2019 – abril, 2021).
Diseño experimental
Se utilizó el diseño de bloques completos al azar (BCA) con tres tratamientos y cuatro repeticiones. El criterio de bloqueo correspondió a la condición y dirección del drenaje del suelo (bien, moderado e imperfecto y mal drenado). Cada unidad experimental estuvo conformada por un área de 2500 m2, para un total de 30 000 m2 en todo el experimento.
Parámetros dasométricos
Las especies arbóreas/arbustivas presentes dentro de los sistemas silvopastoriles fueron identificadas y cuantificadas a través de un inventario realizado en 2021, donde se incluyeron especies y/o individuos con diámetro altura de pecho mayor a 10 cm. Las variables dasométricas se determinaron con base en la metodología propuesta por Esquivel et al. (2003), para árboles dispersos en potreros. Las variables medidas fueron: diámetro altura del pecho (DAP a 1,30 m), con una cinta métrica, para los árboles con circunferencia a la altura de pecho (CAP) superior a 279 cm (Figura 2A) los valores obtenidos con cinta métrica se transformaron a centímetro diamétrico (ecuación 1).

Figure 2. Field evaluation of dasometric variables, diameter at chest height (DBH) determined with a tape measure and caliper (A and B), and total height determined with the use of the Suunto clinometer (C and D). Turipana Research Center, Corporacion Colombiana de Investigacion Agropecuaria (AGROSAVIA). Cerete, Cordoba, Colombia. 2019- 2021.
(1)Donde π es igual a 3,1416; y forcípula en los árboles con un DAP inferior 80 cm o cuyo fuste presentó características particulares, por ejemplo, aguijones (Figura 2B). La altura total (H) se determinó con clinómetro Suunto, cuya lectura es proporcionada en ángulo. Adicional, se tuvo en cuenta la distancia horizontal (D) y altura del suelo hasta la visual del operador del equipo (ecuación 2).
(2)Donde, D: distancia horizontal del observador hasta el árbol (m) α: ángulo obtenido por medio del clinómetro y h: atura total del árbol (m); (Figura 2C).
Estimación de la biomasa aérea y subterránea
La estimación de la biomasa aérea, se realizó mediante el método indirecto (modelos matemáticos o ecuaciones alométricas). Estas ecuaciones se seleccionaron a partir de información disponible para cada una de las especies bajo las condiciones de bosque seco tropical, presentes en el área de estudio. La información consultada proporcionó dos modelos; modelo general para estimación de biomasa, desarrollado por Brown et al. (1989), utilizado para calcular biomasa de las especies de hojas ancha (Inga edulis, Ficus sp y Gliricidia sepium), en zonas climáticas donde la lluvia es menor que el potencial de evapotranspiración (<1500 mm anuales) (ecuación 3).
(3)Donde, Y (kg/árbol MS): biomasa sobre el suelo; Dap (cm): diámetro a la altura del pecho (1,3 m).
El otro modelo usado fue propuesto por Chave et al. (2014), para la estimación de la biomasa de árboles en pie en clima seco (ecuación 4); para las especies Albizia saman, Guazuma ulmifolia, Enterolobium cyclocarpum, Gmelina arborea, Guazuma ulmifolia, Erythrina fusca y Pachira quinata.
(4)Donde, Y (kg/árbol MS): biomasa sobre el suelo; ρ (g cm-3): densidad de la madera (Cuadro 2); Dap (cm): diámetro a la altura del pecho (1,3 m); H (m): altura de las especies arbóreas.

Table 2. Wood density of species present within silvopastoral systems. Turipana Research Center. Corporacion Colombiana de Investigacióon Agropecuaria (AGROSAVIA). Cerete, Cordoba, Colombia. 2019- 2021.
Álvarez et al. (2013), Idárraga Piedrahíta et al. (2013), Rodríguez Hurtado (2018), Escudero Guarín (2019), Varón & León Morales (2013), Aldana Moreno (2008), Ige (2018), Varón & León Morales (2013)La estimación de la biomasa de gramíneas se realizó durante la estación seca y húmeda, con el método de marco cuadrado. En cada unidad de muestreo, se recolectaron tres muestras de un área de 100 cm × 100 cm delimitada por un marco. La biomasa se cortó a nivel del suelo y se registró su peso fresco en campo, al mismo tiempo, se recogió y pesó la hojarasca. Luego, el material se secó en un horno de circulación de aire forzado a 60 ° C durante 48 h, para determinar la cantidad de materia seca (MS).
La biomasa de raíces de las especies arbóreas y/o arbustivas, se estimó mediante una ecuación alométrica (ecuación 5) desarrollada por Cairns et al. (1997), utilizada por varios autores (Nakakaawa et al., 2009; Soto-Pinto et al., 2010; Schmitt-Harsh et al., 2012), y es un método aceptado en el manual de uso de la tierra (Pachauri & Meyer, 2014).
(5)Donde, BR (Mg ha-1 MS): biomasa de raíces; BA (Mg ha-1 MS): biomasa aérea de especies arbóreas y/o arbustivas.
La biomasa de raíces de las especies gramíneas, se estimó a una profundidad de 30 cm, con la metodología propuesta por Contreras-Santos, Martínez-Atencio & Falla-Guzmán et al. (2021).
Una vez calculada la información de la biomasa para cada componente se estimó de forma indirecta el carbono acumulado en la biomasa aérea y subterránea (t ha-1 C), con la ecuación (ecuación 6) descrita por Quiceno Urbina et al. (2016).
(6)(6)
Donde, CBT (t ha-1 C): carbono almacenado; BT (t ha-1 C): biomasa total.
Contenido de carbono acumulado en el suelo (COS)
El carbono orgánico en el suelo, se calculó mediante la ecuación 7 planteada por la Organización de las Naciones Unidas para la Alimentación y la Agricultura (Food and Agriculture Organization of the United Nations, 2017).
(7)Donde, COS (t ha-1 C): carbono acumulado en el suelo; C: contenido total de carbono orgánico del suelo, determinado en laboratorio por el método de oxidación Walkley & Black (1934); Da (g cm-3): densidad aparente del suelo, determinada por el método del cilindro de volumen conocido (98,17 cm3, ecuación 8); Prof.: es la profundidad de muestreo o intervención (cm); las muestras de suelo se efectuaron hasta los 30 cm de profundidad en intervalos de 10 cm (0-10; 10-20 y 20-30 cm).
(8)Donde, Mss = masa de suelo seco (g) a 105 °C por 24 h y Vc = volumen del cilindro (cm3) (Burt & Soil Survey Staff, 2014);
Almacenamiento de carbono
El carbono atmosférico total almacenado asociado a cada sistema, se determinó mediante la ecuación 9, descrita por López-Santiago et al. (2019), y utilizada por diferentes autores (Nakakaawa et al., 2009; Soto-Pinto et al., 2010; Schmitt-Harsh et al., 2012).
(9)Donde, CBA (t ha-1 C): carbono almacenado en la biomasa aérea; CBR (t ha-1 C): carbono almacenado en la biomasa subterránea; CLIT (t ha-1 C): carbono almacenado en la biomasa de hojarasca caída; COS (t ha-1 C): carbono orgánico acumulado en el suelo.
Análisis estadístico
Se realizaron análisis de varianza (ANDEVA) y modelos lineales generales mixtos (GLM), cuando se verificaron los requisitos de normalidad y homogeneidad de los datos. La normalidad se probó con los gráficos gg, histogramas y gráficos de cajas de residuos. La homogeneidad se probó con los gráficos de residuos versus datos esperados. Los datos de almacenamiento de carbono se analizaron mediante ANDEVA unidireccional con el PROC GLM en el software estadístico SAS Enterprise Guide versión 8.3 y se utilizó ANDEVA bidireccional para analizar los efectos del sistema, la profundidad del suelo y la interacción entre estos factores en el COS. En todos los casos, cuando se observaron diferencias significativas entre los depósitos de carbono de los sistemas, se usó la prueba HSD de Tukey y contrastes ortogonales para comparar combinaciones entre tratamientos a un nivel de significancia del 5 %.
Resultados
Carbono acumulado en la biomasa aérea, subterránea y hojarasca
Los resultados mostraron que los asocios entre gramíneas y árboles dispersos (sistemas silvopastoriles, SSP1 y SSP2), contenían mayor carbono acumulado en la biomasa aérea (2,18±1,13 y 4,51±3,76 t ha-1 C) que la gramínea nativa (Pr, 0,19±0,09 t ha-1 C) (F=14,08; p<0,0001). El SSP2 exhibió mayor acumulación en la biomasa subterránea (1,16±3,76 t ha-1 C) (F=15,52; p<0,0001), respecto a los otros sistemas evaluados. Los valores de carbono acumulado en la hojarasca caída (CLIT) mostró similar comportamiento a lo encontrado en CBR (F= 21,0; p<0,0001) (Cuadro 3).

Table 3. Carbon accumulated in aerial, underground, and litter biomass in three systems [two silvopastoral (SSP1 and SSP2) and a treeless grassland (Pr)], Caribbean Region of Colombia. Turipana Research Center. Corporacion Colombiana de Investigacion Agropecuaria (AGROSAVIA). Cerete, Cordoba, Colombia. 2019-2021.
Barreto Rodríguez (2017)Carbono acumulado en el suelo (COS)
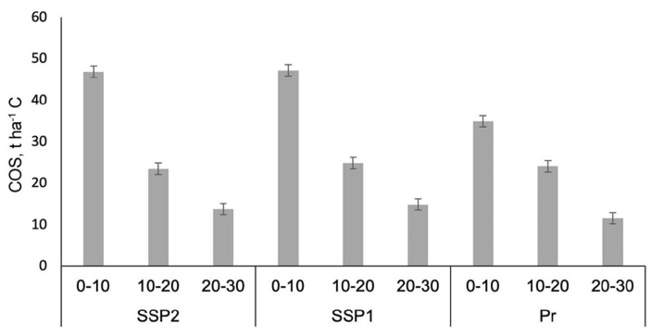
El carbono acumulado en el suelo (COS) en los sistemas y profundidades evaluadas, mostró comportamiento diferencial (F=7,7; p<0,0001). Los valores medios de COS fueron mayores en SSP1 y SSP2 (28,05±14,65 y 28,98±14,44 t ha-1 C, respectivamente), en comparación con el sistema Pr (23,54±10,18 t ha-1 C). Las mayores acumulaciones de COS se evidenciaron en el primer estrato de suelo (0-10 cm) con un comportamiento similar en los sistemas silvopastoriles (SSP1 y SSP2), en contraste con Pr, con una reducción del 25 % en COS (Figura 3). El contenido de COS disminuyó con la profundidad del suelo, pasó de 43,04±3,56 t ha-1 C en los primeros 10 cm a 13,40±4,57 t ha-1 C (30 cm), lo que significó una reducción de más del 60 % (Figura 3). En general, la tendencia del COS en los sistemas evaluados fue similar, con mayores acumulaciones en superficie y menor en profundidad.

Figure 3. Carbon accumulated in the soil within three systems [(two silvopastoral (SSP1 and SSP2) and a treeless grassland (Pr)] and depths evaluated, Caribbean region of Colombia. Turipana Research Center. Corporacion Colombiana de Investigacion Agropecuaria (AGROSAVIA). Cerete, Cordoba, Colombia. 2019-2021.
Carbono total acumulado en los sistemas
El almacenamiento de carbono total acumulado, mostró comportamiento diferencial entre los sistemas (F= 35,38; p<0,0001). El sistema de mayor acumulación SSP2 (37,70±4,54 t ha-1 C), seguido de SSP1 (33,21±4,33 t ha-1 C) y por último, Pr (24,12±1,47 t ha-1 C). Estos resultados mostraron más del 20 % de carbono total acumulado dentro de los sistemas SSP1y SSP2, frente a Pr (Figura 4).

Figure 4. Total carbon accumulated within three agroecosystems, two silvopastoral systems (SSP1 and SSP2) and a treeless grassland (Pr). Caribbean region of Colombia. Turipana Research Center. Corporacion Colombiana de Investigacion Agropecuaria (AGROSAVIA). Cerete, Cordoba, Colombia. 2019-2021.
Los mayores aportes en el carbono total acumulado dentro de los sistemas estuvo condicionado al aporte realizado por COS, con el 74,21 %, 84,51 % y 97,62 % del carbono total dentro de los sistemas (SSP2, SSP1 y Pr, respectivamente). El carbono acumulado en la biomasa aérea de las especies arbóreas representó entre el 12,24 % y 6,34 %, y en la biomasa de las raíces entre el 3,15 % y 1,83 % del carbono total acumulado dentro de los sistemas silvopastoriles (SSP2 y SSP1, respectivamente), frente a lo acumulado por Pr, donde la biomasa aérea y raíces del componente herbáceo aportó menos del 1 % del carbono total acumulado (Figura 5). El carbono acumulado en la hojarasca caída (CLIT), aportó entre el 7 y 8 % dentro de los sistemas silvopastoriles y el 1,25 % en la gramínea sin árboles (Figura 5).

COS: carbono acumulado en el suelo. CLIT: carbono acumulado en la biomasa de hojarasca. CBR: carbono acumulado en la biomasa subterránea. CBA: carbono acumulado en la biomasa aérea.
Figure 5. Total carbon accumulated within three systems, two silvopastoral systems (SSP1 and SSP2) and a treeless grassland (Pr) Caribbean region of Colombia. Turipana Research Center. Corporacion Colombiana de Investigacion Agropecuaria (AGROSAVIA). Cerete, Cordoba, Colombia. 2019-2021.
COS: carbon accumulated in soil. CLIT: carbon accumulated in the litter biomass. CBR: carbon accumulated in underground biomass. CBA: carbon accumulated in aboveground biomass.
Discusión
Los sistemas silvopastoriles (SSP1 y SSP2) mostraron valores de carbono acumulado entre 2,18±1,13 y 4,51±3,76 t ha-1 C, en el componente aéreo (Cuadro 3). Estos valores son superiores a los obtenidos por Díaz Lezcano et al. (2019) y Torres-Rivera et al. (2011), en sistemas silvopastoriles de baja densidad con 31 y 120 ind ha-1, respectivamente, con promedio en carbono acumulado en la biomasa aérea entre 1,1 y 2,86 t ha-1 C, en cada sistema. Frente a sistemas de producción ganaderos tradicionales (Pr), con promedio de acumulación en la biomasa aérea inferiores a 0,2 t ha-1 C. La implementación de sistemas complejos (asocio gramínea más especies arbóreas y/o arbustivas), contribuyeron a la mitigación de las emisiones netas de gases de efecto invernadero dentro de estos sistemas de producción (López-Santiago et al., 2019). Se evidenció que los sistemas SSP1 y SSP2, fueron capaces de acumular carbono atmosférico en biomasa aérea diecisiete veces más que un sistema de producción tradicional (Pr). Las múltiples interacciones entre los componentes arbóreos, pasto, suelo y animal, fueron fundamentales para aumentar la cantidad de biomasa acumulada (C fijado) en sistemas silvopastoriles (Jiménez Ruíz et al., 2019; Jose, 2009).
Las raíces de las especies herbáceas y arbóreas juegan un papel importante en el ciclo del carbono dentro de los diferentes sistemas (Jackson et al., 1997). Este estudio contribuye a evidenciar la importancia de las raíces en el secuestro de carbono en sistemas de producción ganaderos en el valle medio del río Sinú. La mayor producción de biomasa subterránea se evidenció dentro de los sistemas silvopastoriles (SPP1 y SSP2) en comparación con la pradera de solo gramíneas (Pr), lo cual indica una mayor capacidad de inmovilización de carbono atmosférico subterráneo (Cuadro 3). Estos resultados son comparables con los obtenidos por Contreras-Santos, Martínez-Atencia & Falla-Guzmán (2021), lo que demuestra que el asocio de especies gramíneas más arbustivas y/o arbóreas, aumenta el potencial de captura de carbono de la biomasa subterránea en más de un 70 % respecto a una pradera tradicional. Los mayores aportes de biomasa subterránea son realizados por las especies arbóreas (Morales Ruiz et al., 2020), resultado que corrobora lo obtenido en esta investigación (Cuadro 3). El aumento en la cantidad de biomasa subterránea dentro de los sistemas silvopastoriles fue directamente proporcional al aumento en la acumulación de carbono subterráneo (Cai et al., 2019; Contreras-Santos, Martínez-Atencia & Falla-Guzmán, 2021; Morales Ruiz et al., 2020).
Otra fuente importante de carbono acumulado en suelo, está relacionada con biomasa de hojarasca, la mayor acumulación se evidenció dentro del agroecosistema SSP2 (Cuadro 3), lo que sugiere que la acumulación de carbono aportado en hojarasca depende de la densidad de individuos por unidad de superficie (Anguiano et al., 2013; López-Santiago et al., 2019; Oliva et al., 2017).
La variación en los resultados de esta investigación frente a otros reportes, puede atribuirse al diseño espacial, la densidad de árboles, especies de plantas y finalidad de las especies establecidas en el sistema (forrajeras, maderables, entre otros).
Los resultados reportados en este estudio evidenciaron que para los tres sistemas las mayores concentraciones de COS se presentaron en los primeros 10 cm de profundidad, asociado a la mayor acumulación de restos orgánicos (hojarasca, raíces finas, excretas, etc.) sobre la superficie del suelo y posterior descomposición. Investigaciones realizadas por otros autores en sistemas silvopastoriles, reportaron comportamiento similar del COS, con valores altos de acumulación en los primeros 15 cm de profundidad (Dollinger & Jose, 2019; Lok et al., 2013; Martínez et al., 2014; De Stefano & Jacobson, 2017). Sin embargo, la tendencia del COS en profundidad fue a decrecer (Figura 3), estos resultados concuerdan con los reportados por diferentes autores en evaluaciones realizadas en sistemas silvopastoriles donde se informó sobre una disminución del COS en profundidad (Contreras-Santos et al., 2019; Contreras-Santos, Martínez-Atencia, Raghavan et al. 2021; López-Santiago et al., 2019).
Los sistemas silvopastoriles mostraron valores de acumulación de COS (28,05±14,65 y 28,98±14, t ha-1 C) superiores a la gramínea sin árboles (23,54 ±10,18 t ha-1 C), estos resultados corroboran la importancia de implementaciones de sistemas silvopastoriles en la captura e inmovilización de carbono atmosférico en el suelo, esto a causa de la inclusión de especies arbóreas capaces de aportar grandes volúmenes de materia orgánica al suelo (Contreras-Santos et al., 2019; Contreras-Santos, Martínez-Atencia & Falla-Guzmán, 2021). Diferentes autores han reportado que la inclusión de especies arbóreas dentro de los sistemas de producción ganaderos, favorecen la acumulación de COS, en comparación con una pradera sin árboles (Contreras Santos et al., 2019; Contreras-Santos, Martínez-Atencia & Falla-Guzmán, 2021; Contreras-Santos, Martínez-Atencia, Raghavan et al. 2021; De Stefano & Jacobson, 2017; López-Santiago et al., 2019; Martínez et al., 2014; Morales Ruiz et al., 2020).
El mayor almacenamiento de carbono se dio en los sistemas silvopastoriles (SSP1 y SSP2), atribuido a la presencia de especies arbóreas/arbustivas (Contreras Santos et al., 2019; Contreras-Santos, Martínez-Atencia & Falla-Guzmán, 2021; López-Santiago et al., 2019; Nair, 2012), en comparación con la gramínea sin árboles (Pr) (Figura 4). Los valores de este estudio mostraron una acumulación de 37,70±4,54 t ha-1 C y 33,21±4,33 t ha-1 C para SSP2 y SSP1, respectivamente (Figura 4).
El almacenamiento total de carbono dentro de los sistemas evaluados estuvo influenciado por la composición y estructura vegetal (López-Santiago et al., 2019; Mattsson et al., 2014). Los resultados obtenidos en este estudio fueron superiores a los reportados por Díaz Lezcano et al. (2019), bajo un sistema silvopastoril asociado con el género Prosopis del Chaco central paraguayo, donde el carbono total acumulado fue de 25,96 t ha-1 C. En una evaluación de tres sistemas (bosque tropical caducifolio, sistema silvopastoril y un monocultivo de pastura), se reportaron valores de 29,1±4,45, 22,6±3,48 y 4,7 ± 0,62 t ha-1 C (López-Santiago et al., 2019). Estos fueron resultados inferiores a los registrados en esta investigación. En contraste, otros estudios indicaron mayores contenidos de carbono total acumulado en sistemas silvopastoriles, con especies maderables, donde el carbono total acumulado presentó rangos entre 104 a 130 t ha-1 C frente a 94 t ha-1 C en una pradera sin árboles (Rojas et al., 2009). En un estudio realizado bajo un modelo silvopastoril y un bosque tropical frente a una pastura en monocultivo, se obtuvieron valores superiores a 130 t ha-1 C, dentro del sistema silvopastoril y el bosque tropical, contrastado con 97 t ha-1 C en la pastura en monocultivo (Amézquita et al., 2010). Respecto a estos últimos reportes, los valores obtenidos en la presente investigación son inferiores, no obstante, los resultados encontrados indicaron que en los sistemas silvopastoriles hubo acumulación de carbono que constituye una labor fundamental para generar estrategias de conservación y uso sostenible de los sistemas ganaderos bajo condiciones del bosque seco tropical.
Conclusiones
Los sistemas silvopastoriles (SSP) fueron capaces de almacenar dos veces más carbono dentro del sistema que una pradera sin árboles. El carbono orgánico acumulado en el suelo (COS), correspondió a más del 70 % del carbono total acumulado, lo que resalta la importancia de este parámetro como sumidero de carbono. La acumulación total de carbono dentro de los sistemas silvopastoriles fue dependiente del número de individuos por unidad de área.
Los sistemas silvopastoriles evaluados representaron una modalidad a considerar en los procesos de mitigación de cambio climático, debido a que el aumento de su biomasa mejoró la acumulación de carbono atmosférico en biomasa y en el suelo, lo que podría permitir una ganadería sostenible desde el punto de vista ambiental.
Agradecimientos
Los autores agradecen a la Corporación Colombiana de Investigación Agropecuaria (AGROSAVIA) y Ministerio de Agricultura y Desarrollo Rural (MADR) por la financiación de la investigación en el marco del proyecto “Estrategias de valoración integral de la cadena de valor para diferenciación del producto cárnico en la región Caribe”.
Referencias
Aldana Moreno, J. A. (2008). Selección fenotípica de árboles de melina (Gmelina arborea L. Roxb) en el Centro Universitario Regional del Norte (CURDN) municipio de Armero Guayabal (Tolima) [Tesis de Grado, Universidad del Tolima]. Repositorio de la Universidad del Tolima. http://repository.ut.edu.co/handle/001/3103
Álvarez, E., Benítez, D., Velásquez, C., & Cogollo, A. (2013). Densidad básica del fuste de árboles del bosque seco en la costa Caribe de Colombia. Intropica: Revista del Instituto de Investigaciones Tropicales, 8(1), 17–28.
Amézquita, M. C., Murgueitio, E., Ibrahim, M., & Ramírez, B. (2010). Carbon sequestration in pasture and silvopastoral systems compared with native forests in ecosystems of tropical America. In M. Abberton, R. Conant, & C. Batello (Eds.), Grassland carbon sequestration: management, policy and economics. Proceedings of the Workshop on the role of grassland carbon sequestration in the mitigation of climate change (Vol. 11, pp. 153–161). Food and Agriculture Organization of the United Nations.
Anguiano, J. M., Aguirre, J., & Palma, J. M. (2013). Secuestro de carbono en la biomasa aérea de un sistema agrosilvopastoril de Cocos nucifera, Leucaena leucocephala Var. Cunningham y Pennisetum purpureum Cuba CT-115. Avances en Investigación Agropecuaria, 17(1), 149–160.
Barreto Rodríguez, C. R. (2017). Rendimiento académico en la asignatura de estadística de la Escuela de Ingeniería Civil, 2015, Uladech católica. In Crescendo, 8(1), 42–56. https://doi.org/10.21895/incres.2017.v8n1.05
Brown, S., Gillespie, A. J., & Lugo, A. E. (1989). Biomass estimation methods for tropical forests with applications to forest inventory data. Forest Science, 35(4), 881–902. https://bit.ly/3g2gyIn
Burt, R., & Soil Survey Staff (Eds.). (2014). Soil survey field and laboratory methods manual (Soil Survey Investigations Report No. 51, Version 2). US Department of Agriculture. https://www.nrcs.usda.gov/Internet/FSE_DOCUMENTS/stelprdb1244466.pdf
Cai, H., Li, F., & Jin, G. (2019). Fine root biomass, production and turnover rates in plantations versus natural forests: effects of stand characteristics and soil properties. Plant and Soil, 436, 463–474. https://doi.org/10.1007/s11104-019-03948-8
Cairns, M. A., Brown, S., Helmer, E. H., & Baumgardner, G. A. (1997). Root biomass allocation in the world’s upland forests. Oecologia, 111, 1–11. https://doi.org/10.1007/s004420050201
Chave, J., Réjou Méchain, M., Búrquez, A., Chidumayo, E., Colgan, M. S., Delitti, W. B., Duque, A., Eid, T., Fearnside, P. M., Goodman, R. C., Henry, M., Martínez Yrizar, A., Mugasha, W. A., Muller Landau, H. C., Mencuccini, M., Nelson, B. W., Ngomanda, A., Nogueira, E. M., Ortiz Malavassi, …Vieilledent, G. (2014). Improved allometric models to estimate the aboveground biomass of tropical trees. Global Change Biology, 20(10), 3177–3190. https://doi.org/10.1111/gcb.12629
Contreras-Santos, J. L., Martínez-Atencia, J., & Falla-Guzman, C. K. (2021). Carbono acumulado en raíces de especies vegetales en sistemas silvopastoriles en el Norte de Colombia. Revista de Ciencias Ambientales, 55(1), 52–69. https://doi.org/10.15359/rca.55-1.3
Contreras-Santos, J. L., Martínez-Atencia, J., Raghavan, B., López-Rebolledo, L., & Garrido-Pineda, J. (2021). Sistemas silvopastoriles: mitigación de gases de efecto invernadero, bosque seco tropical - Colombia. Agronomía Mesoamericana, 32(2) 901–919. https://doi.org/10.15517/am.v32i3.43313
Contreras-Santos, J. L., Martínez-Atencia, J., Cadena-Torres, J., & Falla-Guzmán, C. K. (2019). Evaluación del carbono acumulado en suelo en sistemas silvopastoriles del Caribe Colombiano. Agronomía Costarricense, 44(1), 29–41. https://doi.org/10.15517/rac.v44i1.39999
De Stefano, A., & Jacobson, M. G. (2017). Soil carbon sequestration in agroforestry systems: a meta-analysis. Agroforestry Systems, 92, 285–299 https://doi.org/10.1007/s10457-017-0147-9
Díaz Lezcano, M. I., Leguizamón, L., Gamarra Lezcano, C. C., Vera de Ortíz, M., & Galeano Samaniego, M. P. (2019). Estimación del contenido de carbono en sistemas silvopastoriles de Prosopis spp en el chaco central paraguayo. Quebracho - Revista de Ciencias Forestales, 27(1,2), 54–65.
Dollinger, J., & Jose, S. (2018). Agroforestry for soil health. Agroforestry Systems, 92, 213–219. https://doi.org/10.1007/s10457-018-0223-9
Dollinger, J., & Jose, S. (2019). Correction to: Agroforestry for soil health. Agroforestry Systems, 93(3), 1205. https://doi.org/10.1007/s10457-018-0227-5
Escudero Guarín, A. A. (2019). Estimación de los contenidos de biomasa del bosque urbano del Tecnológico de Antioquia - Institución Universitaria [Tesis de grado, Tecnológico de Antioquia]. DSpace. https://dspace.tdea.edu.co/handle/tda/472
Esquivel, H., Ibrahim, M., Harvey, C., Villanueva, C., Benjamin, T., & Sinclair, F. L. (2003). Árboles dispersos en potreros de fincas ganaderas en un ecosistema seco de Costa Rica. Agroforestería en las Américas, 10(39–40), 24–29. https://repositorio.catie.ac.cr/handle/11554/5793
Food and Agriculture Organization of the United Nations. (2017). Soil organic sarbon the hidden potential. https://www.fao.org/3/i6937e/i6937e.pdf
Holdridge, L. R. (2000). Ecología basada en zonas de vida. Instituto Interamericano de Cooperación para la Agricultura.
Idárraga Piedrahíta, A., Ortiz, R. D. C., Callejas Posada, R., & Merello, M. (Eds.). (2013). Flora de Antioquia. Catálogo de las Plantas Vasculares. Volumen II. Listado de las plantas vasculares del Departamento de Antioquia. Oficina de Planeación Departamental de la Gobernación de Antioquia. https://bit.ly/3VplneV
Ige, P. O. (2018). Above ground biomass and carbon stock estimation of Gmelina arborea (Roxb.) stands in Omo Forest Reserve, Nigeria. Journal of Research in Forestry, Wildlife and Environment, 10(4), 71–80. https://www.ajol.info/index.php/jrfwe/article/view/182016
Jackson, R. B., Mooney, H. A., & Schulze, E. -D. (1997). A global budget for fine root biomass, surface area, and nutrient contents. Proceedings of the National Academy of Sciences, 94(14), 7362–7366. https://doi.org/10.1073/pnas.94.14.7362
Jiménez Ruiz, E. R., Fonseca González, W., & Pazmiño Pesantez, L. (2019). Sistemas Silvopastoriles y Cambio climático: Estimación y predicción de Biomasa Arbórea. La Granja, 29(1), 44–55. https://doi.org/10.17163/lgr.n29.2019.04
Jose, S. (2009). Agroforestry for ecosystem services and environmental benefits: an overview. Agroforestry Systems, 76, 1–10. https://doi.org/10.1007/s10457-009-9229-7
Lok, S., Fraga, S., Noda, A., & García, M. (2013). Almacenamiento de carbono en el suelo de tres sistemas ganaderos tropicales en explotación con ganado vacuno. Revista Cubana de Ciencia Agrícola, 47(1), 75–82. http://cjascience.com/index.php/RCCA/article/view/276
López-Santiago, J. G., Casanova-Lugo, F., Villanueva-López, G., Díaz-Echeverría, V. F., Solorio-Sánchez, F. J., Martínez-Zurimendi, P., Aryal, D. R., & Chay-Canul, A. J. (2019). Carbon storage in a silvopastoral system compared to that in a deciduous dry forest in Michoacán, Mexico. Agroforestry Systems, 93, 199–211. https://doi.org/10.1007/s10457-018-0259-x
Martínez, J., Cajas, Y. S., León, J. D., & Osorio, N. W. (2014). Silvopastoral systems enhance soil quality in grasslands of Colombia. Applied and Environmental Soil Science, 2014, Article 359736. https://doi.org/10.1155/2014/359736
Mattsson, E., Ostwald, M., Nissanka, S. P., & Pushpakumara, D. K. N. G. (2014). Quantification of carbon stock and tree diversity of homegardens in a dry zone area of Moneragala district, Sri Lanka. Agroforestry Systems, 89, 435–445. https://doi.org/10.1007/s10457-014-9780-8
McGroddy, M. E., Lerner, A. M., Burbano, D. V., Schneider, L. C., & Rudel, T. K. (2015). Carbon stocks in silvopastoral systems: A study from four communities in Southeastern Ecuador. Biotropica, 47(4), 407–415. https://doi.org/10.1111/btp.12225
Morales Ruiz, D. E., Aryal, D. R., Pinto Ruiz, R., Guevara Hernández, F., Casanova Lugo, F., & Villanueva López, G. (2020). Carbon contents and fine root production in tropical silvopastoral systems. Land Degradation & Development, 32(2), 738–756. https://doi.org/10.1002/ldr.3761
Montagnini, F., Somarriba, E., Murgueitio, E., Fassola, H., & Eibl, B. (2015). Sistemas agroforestales: funciones productivas, socioeconómicas y ambientales (Serie técnica, Informe técnico No. 402). Centro Agronómico Tropical de Investigación y Enseñanza. https://bit.ly/38My0xk
Nair, P. K. R. (2012). Carbon sequestration studies in agroforestry systems: a reality-check. Agroforestry Systems, 86(2), 243–253. https://doi.org/10.1007/s10457-011-9434-z
Nakakaawa, C., Aune, J., & Vedeld, P. (2009). Changes in carbon stocks and tree diversity in agro-ecosystems in south western Uganda: what role for carbon sequestration payments? New Forests, 40, 19–44. https://doi.org/10.1007/s11056-009-9180-5
Oliva, M., Culqui Mirano, L., Leiva, S., Collazos, R., Salas, R., Vásquez, H., & Maicelo Quintana, J. L. (2017). Reserve of carbon in a silvopastoral system composed of Pinus patula and native herbaceous. Scientia Agropecuaria, 8(2), 149–157. https://doi.org/10.17268/sci.agropecu.2017.02.07
Pachauri, R. K., & Meyer, L. A. (Eds.) (2014). Cambio climático 2014: Informe de síntesis. Contribución de los Grupos de Trabajo I, II y III al Quinto Informe de evaluación del panel intergubernamental sobre el cambio climático. Intergovernmental Panel on Climate Change. https://www.ipcc.ch/site/assets/uploads/2018/02/SYR_AR5_FINAL_full_es.pdf
Pennock, D., & McKenzie, N. (2015). Estado mundial del recurso suelo (Resumen Técnico). Organización de las Naciones Unidas para la Alimentación y la Agricultura. http://www.fao.org/3/a-i5126s.pdf
Quiceno Urbina, N. J., Tangarife Marín, G. M., & Álvarez León, R. (2016). Estimación del contenido de biomasa, fijación de carbono y servicios ambientales, en un área de bosque primario en el resguardo indígena Piapoco Chigüiro-chátare de Barrancominas, departamento del Guainía (Colombia). Revista Luna Azul, 43, 171–202. https://revistasojs.ucaldas.edu.co/index.php/lunazul/article/view/3628
Rodríguez Hurtado, A. (2018). Estimación del crecimiento, la biomasa y la captura de carbono de tres especies arbóreas del bosque urbano en los municipios de Medellín y Envigado [Tesis de grado, Universidad Escuela de Ingeniería de Antioquia]. Repositorio de la Universidad Escuela de Ingeniería de Antioquia. https://repository.eia.edu.co/handle/11190/1957
Rojas, J., Ibrahim, M., & Andrade, H. (2009). Secuestro de carbono y uso de agua en sistemas silvopastoriles con especies maderables nativas en el trópico seco de Costa Rica. Ciencia & Tecnología Agropecuaria, 10(2), 214–223. https://revistacta.agrosavia.co/index.php/revista/article/view/144
Soil Survey Staff. (2014). Keys to soil taxonomy (12th ed.). USDA Natural Resources Conservation Service.
Sotelo, M., Suárez Salazar, J. C., Álvarez, F., Castro Núñez, A., Calderón Soto, V. H., Arango, J. (2017). Sistemas sostenibles de producción ganadera en el contexto amazónico — Sistemas silvopastoriles: ¿una opción viable? (Publicación CIAT No. 448). Centro Internacional de Agricultura Tropical. https://hdl.handle.net/10568/89088
Soto-Pinto, L., Anzueto, M., Mendoza, J., Jimenez Ferrer, G., & de Jong, B. (2010). Carbon sequestration through agroforestry in indigenous communities of Chiapas, Mexico. Agroforestry Systems, 78, Article 39. https://doi.org/10.1007/s10457-009-9247-5
Schmitt-Harsh, M., Evans, T. P., Castellanos, E., & Randolph, J. C. (2012). Carbon stocks in coffee agroforests and mixed dry tropical forests in the western highlands of Guatemala. Agroforestry Systems, 86, 141–157. https://doi.org/10.1007/s10457-012-9549-x
Torres-Rivera, J. A., Espinoza-Domínguez, W., Reddiar-Krishnamurty, L., & Vázquez-Alarcón, A. (2011). Secuestro de carbono en potreros arbolados, potreros sin árboles y bosque caducifolio de Huatusco, Veracruz. Tropical and Subtropical Agroecosystems, 13(3), 543–549. https://www.revista.ccba.uady.mx/ojs/index.php/TSA/article/view/1340
Varón, T., & León Morales, S. (2013). Arboretum y Palmetum: Guía de identificación. Universidad Nacional de Colombia.
Vásquez, H. V., Valqui, L., Bobadilla, L. G., Arbizu, C. I., Alegre, J. C., & Maicelo, J. L. (2021). Influence of arboreal components on the physical-chemical characteristics of the soil under four silvopastoral systems in northeastern Peru. Heliyon, 7(8), Article e07725. http://doi.org/10.1016/j.heliyon.2021.e07725
Walkley, A., & Black, I. A. (1934). An examination of the degtjareff method for determining soil organic matter, and a proposed modification of the chromic acid titration method. Soil Science, 37(1), 29-38. http://doi.org/10.1097/00010694-193401000-00003
Notas
Notas de autor
jlcontreras@agrosavia.co
Enlace alternativo