Artículos
Preferencia de oviposición de Orius insidiosus (Hemiptera: Anthocoridae) en plantas herbáceas1
Oviposition preference of Orius insidiosus (Hemiptera: Anthocoridae) in different herbaceous plants
Preferencia de oviposición de Orius insidiosus (Hemiptera: Anthocoridae) en plantas herbáceas1
Agronomía Mesoamericana, vol. 34, núm. 1, 50410, 2023
Universidad de Costa Rica

Recepción: 22 Marzo 2022
Aprobación: 14 Junio 2022
Resumen: Introducción. Orius insidiosus es un insecto omnívoro con estrategia de oviposición endófita, con preferencia de oviposición en plantas que garanticen refugio y alimento. Objetivo. Evaluar tres especies vegetales como sitio de oviposición de O. insidiosus en Phaseolus vulgaris (Fabaceae), Ipomoea batata (Convolvulaceae) y Portulaca oleracea (Portulacaceae). Materiales y métodos. El trabajo se realizó en el 2020, en el Centro de Investigación y Reproducción de Controladores Biológicos de la Universidad Nacional Autónoma de Nicaragua, León, Nicaragua. Se usaron esquejes de 15 cm de longitud de tres plantas para hembras de O. insidiosus como sustratos de oviposición: Portulaca oleracea L., Phaseolus vulgaris L., y Ipomoea batatas (L.) Lam. La unidad experimental (n= 90) consistió en esquejes tiernos de 15 cm de longitud, colocados de forma individual en tazas de polietileno, con treinta repeticiones por tratamiento, mediante la técnica de no elección. En cada esqueje se colocó una pareja de O. insidiosus. Cada 24 h se inspeccionaron los esquejes para contabilizar las posturas de huevos. Luego, los esquejes se removieron y revisaron durante cinco días para contabilizar la eclosión de las ninfas, se determinó el peso final del esqueje. Resultados. En los esquejes de P. oleracea se observaron los valores de postura más altos con 5,90 huevos/día por esqueje, seguido por L. batatas con 4,10 huevos/día y por último, P. vulgaris con 2,13 huevos/día. Se evidenció una variabilidad en la postura según el peso inicial y final. Los valores de eclosión fueron menores referentes a los de postura, P. oleracea obtuvo el mayor promedio de eclosión con cuatro individuos seguido por I. batatas con 1,5 y P. vulgaris con 0,8. Conclusiones.P. oleracea presentó mejor preferencia para O. insidiosus con respecto a postura de huevo y eclosión de ninfa. Podría validarse en campo como una estrategia de control biológico.
Palabras clave: chinche depredador, Portulaca oleracea, Phaseolus vulgaris, Ipomoea batatas, eclosión.
Abstract: Introduction. Orius insidiosus is an omnivorous insect with an endophytic oviposition strategy, with a preference for oviposition on plants that guarantee shelter and food. Objective. To evaluate three plant species as oviposition sites for O. insidiosus on Phaseolus vulgaris (Fabaceae), Ipomoea batata (Convolvulaceae) and Portulaca oleracea (Portulacaceae). Materials and methods. The work was carried out in 2020, at the Center for Research and Reproduction of Biological Controllers of the Universidad Autónoma de Nicaragua, León, Nicaragua, León. Cutting 15-cm-long from three plants for O. insidiosus females were used as oviposition substrates: Portulaca oleracea L., Phaseolus vulgaris L., and Ipomoea batatas (L.) Lam. The experimental unit (n= 90) consisted of 15 cm long tender cuttings, individually placed in polyethylene cups using thirty replicates per treatment, using the no-choice technique. One pair of O. insidiosus was placed on each cutting. Every 24 h the cuttings were inspected to count the egg laying. Subsequently, the cuttings were removed and checked for five days to count nymphs hatching, and the final weight of the cutting was determined. Results. The highest laying values in P. oleracea cuttings with 5.90 eggs/day per cutting, followed by I. batatas with 4.10 eggs/day, and finally P. vulgaris with 2.13 eggs/day. There was evidence of variability in the posture according to the initial and final weight. The hatching values were lower than those of laying, P. oleracea had the highest hatching average with 4 individuals, followed by I. batatas with 1.5, and P. vulgaris with 0.8. Conclusions.P. oleracea showed a better preference for O. insidiosus regarding egg laying and nymph hatching. It could be validated in the field as a biological control strategy.
Keywords: predatory bug, Portulaca oleracea, Phaseolus vulgaris, Ipomoea batatas, hatching.
Introducción
Las pérdidas en los sistemas de producción agrícola se estiman entre 20 % y 40 %, debido al ataque de insectos plagas, responsables de pérdidas de cultivos en todo el mundo, a través del daño directo y la transmisión de patógenos (Douglas, 2018). La agricultura intensiva ha deteriorado los sistemas de producción, por lo que se necesitan estrategias de producción sostenibles que permitan una producción eficiente de alimentos (Duru et al., 2015).
El uso de insectos depredadores con un enfoque de manejo integrado de plagas, es una alternativa eficaz para el combate de insectos fitófagos (Dara, 2019). Sin embargo, para implementar un depredador como controlador biológico, ya sea en estrategias de control biológico por aumentación como por conservación, se requiere de la reproducción masiva y liberación de insectos depredadores en agroecosistemas sustentables con base en la ecología, tanto de la especie plaga como las de sus depredadores (Fernandes et al., 2019; Grayson et al., 2015; Silva et al., 2013; Sørensen et al., 2012).
Orius insidiosus S. (Hemiptero: Anthocoreidae) es un insecto omnívoro originario de América y es reconocido por depredar a numerosos insectos de importancia agrícola como trips, áfidos, moscas blancas y los huevos y larvas de algunas especies del orden Lepidoptera (Santiesteban-Hernández et al., 2011). Los huevos de los insectos no pueden defenderse del ataque de los depredadores o parasitoides, sin embargo, al ser puestos de forma discreta por sus madres en diferentes hospederos de oviposición, pueden pasar desapercibidos (Fatouros et al., 2020).
Muchos insectos colocan sus huevos en tejidos vegetales (Laaß & Hauschke, 2019), esta oviposición se le conoce como endofítica, en donde los insectos insertan sus huevos en el tejido vegetal con su ovipositor (órgano para depositar huevos), que está en el extremo caudal del abdomen para proteger de la depredación, variaciones de humedad e inundaciones (Béthoux et al., 2004). Esta estrategia es común en O. incidiosus, lo que muestra preferencias de oviposición en especies y sitios de plantas específicos (Bueno, 2009; Carvalho et al., 2010; Lundgren et al., 2008; Yu et al., 2021).
Entre los factores que influyen en la selección de sitios de oviposición se reportan la calidad nutricional de la especie vegetal, las características del tejido vegetal y el contenido de agua, uno de los más importantes (Coll, 1996; Pascua et al., 2019).
El depredador O. incidiosus utiliza diferentes plantas de cultivos para la oviposición como frijol (Phaseolus vulgaris L.), maíz (Zea mays), soja (Glycine max), papa (Sonalun tuberosum), sorgo (Sorghum sp.), frijol caupí (Vigna unguiculata), pepino (Cucumis sativus), chiltoma (Capsicum annuum), tomate (Solanum lycopersicon), berenjena (Solanum melongena), fresa (Fragaria sp.), trigo sarraceno (Fagopyrum esculentum) y plantas silvestres como Amaranthus viridis L. (Amaranthaceae), Spermacoce laifolia Aubl. (Rubiaceae) y Bidens pilosa L. (Asteraceae) (Bueno, 2009; Carvalho et al., 2010; Hinds & Barbercheck, 2020; Lorenzo et al., 2019; Lundgren & Fergen, 2006; Pascua et al., 2019). La planta de frijol es la que se usa con más frecuencia para la reproducción de Orius y como sitios de oviposición las vainas y rebrotes tiernos.
Los sistemas de producción agrícola en Nicaragua, se caracterizan por tener agroecosistemas de granos básicos de maíz y frijol con buena cobertura de plantas silvestres de porte rastreras, donde predomina la familia Convulvaceae y Portulaceae (Alemán & Sánchez, 2015; Aviles Peralta et al., 2021). En el país existe deficiencia de información en el uso de plantas en el control biológico, basados en esto se debe de investigar especies de plantas silvestres y evaluar diferentes estructuras de la planta que proporcionen refugio, alimento y aceptación por parte de O. insidiosus.
Para determinar las preferencias de oviposición de O. insidiosus y las implicaciones prácticas en los sistemas de crianza masiva y establecimiento del insecto en sistemas de producción agrícolas, se planteó esta investigación con el objetivo de evaluar tres especies vegetales como sitio de oviposición de Orius insidiosus en Phaseolus vulgaris (Phabacea), Ipomoea batata (Convolvulaceae) y Portulaca oleracea (Portulacaceae).
Materiales y métodos
Sitio de estudio
El estudio se realizó en El Centro de Investigación y Reproducción de Controladores Biológicos de la Universidad Nacional Autónoma de Nicaragua, León, en el 2020. Esta investigación se realizó bajo condiciones de laboratorio con temperatura promedio de 36 ± 1 °C y humedad relativa promedio de 70 %, registradas a través de un higrotermógrafo y fotoperíodo 11:12 h luz.
Rastreo y colecta de adultos de Orius insidiosus
El rastreo de O. insidiosus se realizó en cultivos de maíz (Zea mays L.) en el Centro Nacional de Referencias de Agroplasticultura, con coordenadas 12.423093 y -86.852705, a 112 m s.n.m. Se hicieron muestreos dirigidos por cada planta en horas de la mañana (7:00 a 8:00 a.m.) y tarde (4:00 a 6:00 p.m.), se realizó una búsqueda exhaustiva en hojas y flores de las plantas. Con ayuda de un aspirador para insectos se capturaron los individuos de O. insidiosus, para luego ser depositados en envases de vidrio de 5000 mL, tapados con tela de malla organdí, lo que evita que se escapen los individuos y permitir ventilación. Todas las muestras de O. insidiosus se trasladaron al Centro de Investigación y Regulación de Controladores Biológicos.
Establecimiento del pie de cría
Los adultos de O. insidiosus colectados en campo, se sexaron con base en la metodología de Ferragut y González-Zamora (1994) y se colocaron en parejas, hembras y machos, los cuales se depositaron en envases de vidrio con esquejes de verdolaga (Portulaca oleracea) como refugio y material para su oviposición. Se les proporcionó alimento cada dos días con 5 mL de huevos de Sitotroga cerealella (Lepidoptera: Gelechiidae), provenientes del Centro de Investigación y Reproducción de Controladores Biológicos, sometidos a 0 °C por 6 h para evitar eclosión de larvas. Luego se les suministró agua con un atomizador a los envases de vidrios para mantener la humedad durante veintitrés días; se les hizo cambio del material para la oviposición cada tres días para lograr un mayor número de postura. Los materiales ovipositados por O. insidiosus, se depositaron en un recipiente de vidrio para esperar la eclosión de las ninfas. Las ninfas se alimentaron con huevos de S. cerealella cada dos días hasta la etapa adulta, momento en el que se volvieron a suministrar esquejes de verdolaga para la oviposición.
Descripción de los tratamientos
Se usaron esquejes de 15 cm de longitud de tres plantas separadas para hembras de O. insidiosus como sustratos de oviposición: verdolaga (P. oleracea), frijol (Phaseolus vulgaris) y camote (Ipomoea batatas). La unidad experimental (n= 90) consistió en esquejes tiernos de 15 cm de longitud colocados de forma individual en recipientes plásticos de 0,5 L, se usaron treinta esquejes por tratamiento.
Establecimiento del bioensayo
Se realizó la desinfección de los esquejes provenientes del campo con hipoclorito de sodio al 2 % durante 5 min y enjuagado con abundante agua, luego se le retiró el agua de la epidermis de cada esqueje con papel toalla. Se usaron treinta esquejes por planta, cada esqueje se colocó de forma individual con una pareja de O. insidiosus en una taza de polietileno de 16 oz con tapa perforada y cubierta con malla organdí para permitir la aireación; se midió el peso inicial de cada esqueje.
Con un pincel se proporcionaron huevos esterilizados de S. cerealella cada dos días como fuente de alimentación para los adultos de O. insidiosus. Cada 24 h se inspeccionaron los esquejes con ayuda de un estereoscopio para contabilizar las posturas de huevos de las hembras. Luego, los esquejes se ubicaron en tazas vacías con huevos de S. cerealella y tapadas con mallas organdí para esperar la eclosión de las ninfas. La revisión de las eclosiones de las ninfas en los esquejes se hizo al segundo, tercer, cuarto y quinto día después de haber separado el esqueje de la pareja adulta de O. insidiosus, posterior a esto se determinó el peso final del esqueje.
Las variables evaluadas fueron: número de postura y eclosión de huevos, peso final de los esquejes y la relación de estos.
Análisis de los datos
Para efectuar el análisis estadístico de los datos, se construyó una base en el programa Microsoft Excel 2013, la cual se analizó en el programa R para Windows. Primero, se importó la base de datos en el programa R, mediante la función “import” del paquete “rio” (Chan et al., 2018). Luego, se generó un modelo lineal generalizado de la familia Poisson para las variables postura de huevos y eclosión con la función “glm” del paquete “stats” (R Core Team, 2020) y se estimó el valor del criterio de información de Akaike (AIC) y peso de Akaike, mediante la función “glmulti” del paquete con el mismo nombre (Calcagno, 2020), para determinar los factores con mayor importancia en el modelo.
Resultados
La postura de huevos promedio de O. insidiosus fue mayor a dos de los tres tipos de esquejes evaluados. En los esquejes de P. oleracea se observaron los valores de postura más altos con 5,90 huevos/día por esqueje, seguido por I. batatas con 4,10 huevos/día y por último, se obtuvo P. vulgaris con 2,13 huevos/día por esqueje (Figura 1). En P. vulgaris se obtuvieron los menores valores de postura, los esquejes presentaron menor fluctuación en los resultados (0-5 huevos); mientras que P. oleracea tuvo la mayor fluctuación en número de huevos (1-11 huevos), tanto en el peso inicial como en peso final.

Figure 1. Average number of postures of O. insidiosus in cuttings of Ipomoea batatas, Phaseolus vulgaris and Portulaca oleracea. Universidad Nacional Autonoma de Nicaragua, Leon. Nicaragua, 2020.
Respecto a la humedad de los esquejes, la postura de O. insidiosus registró valores inversamente proporcionales al peso inicial de los esquejes, mientras que con el peso final y la pérdida de peso de los esquejes se vio una relación directamente proporcional. A mayor peso seco y a mayor pérdida de humedad en el esqueje, se registraron mayores valores de postura (Cuadro 1). Sin embargo, se evidenció una marcada variabilidad en la postura según el peso inicial y final (Figura 1).

Table 1. Summary of the generalized linear model (estimated, standard error, Z statistic, p value, and lower (ICI) and upper (ICS)confidence intervals) for egg laying of O. insidiosus, according to the species of cutting, the initial and final weight of the cutting and weight loss, at a reliability of 95 %. Universidad Nacional Autonoma de Nicaragua, Leon. Nicaragua, 2020.
Al comparar el número de huevos por esquejes, se observó que la postura en P. vulgaris representó el 49,65 % de lo obtenido en I. batatas, con intervalos de confianza entre 36 % y 67 %, mientras que en P. oleracea alcanzó 2,77 veces más números de huevos con respecto a I. batatas, con intervalos de confianza entre 1,54 y 5,05 veces más; ambas diferencias fueron significativas a una confiabilidad del 95 %. En cuanto al peso inicial, peso final y pérdida de peso de los esquejes, no se obtuvo diferencia significativa a una significancia del 95 %, sin embargo, se mostró una tendencia de O. insidiosus a reducir la postura cuando incrementó el peso inicial de lo esquejes y aumentó la postura cuando el peso final de los esquejes fue mayor (Cuadro 1).
Según el criterio de información de Akaike y el peso de Akaike, el factor que mejor explicó la postura de huevos de O. insidiosus fue el tipo de esqueje. El factor que menos efecto tuvo en el número de huevos fue el peso inicial de los esquejes para el criterio de información de Akaike y peso de Akaike, respectivamente (Cuadro 2).

Table 2. Determination of the best model for egg laying according to the Akaike information criterion (AICc) and Akaike weight, when evaluating the type of cutting, initial and final weight of the cutting and weight loss. Universidad Nacional Autonoma de Nicaragua, Leon. Nicaragua, 2020.
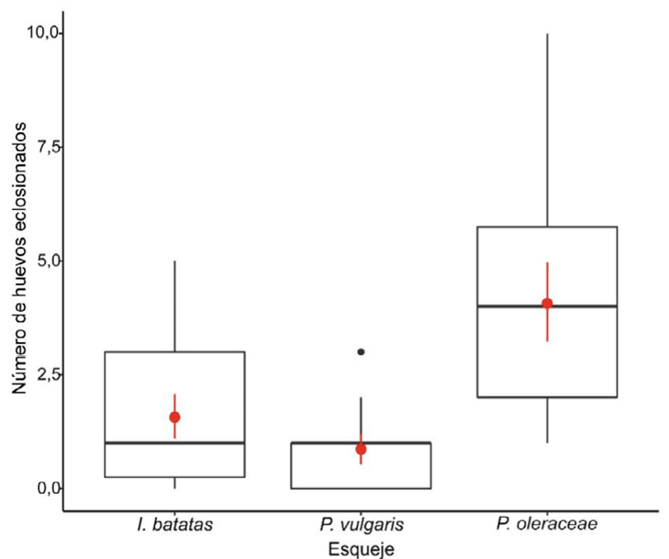
Los valores de eclosión de O. insidiosus fueron mayores en P. oleracea con un promedio de cuatro individuos (70,20 %), seguido por I. batatas con 1,5 (41,87 %) y por último, P. vulgaris con 0,8 (35,24 %) (Figura 2). La mayor fluctuación en la eclosión se presentó en P. oleracea con valores entre uno y diez individuos, mientras que I. batatas mostró una fluctuación entre cero y cinco huevos eclosionados. Se presentó una variación de cero a tres huevos eclosionados en P. vulgaris tanto en peso inicial y final de los esquejes. En general, la variabilidad en la eclosión de huevos por esqueje fue menor a la obtenida en la postura de los mismos, en los esquejes de I. batatas.

Figure 2. Average number of hatched eggs of O. insidiosus in cuttings of Ipomoea batatas, Phaseolus vulgaris, and Portulaca oleracea. Universidad Nacional Autonoma de Nicaragua, Leon. Nicaragua, 2020.
El número de huevos eclosionados en P. vulgaris fue igual al 52 % de los obtenidos en I. batatas con intervalos de confianza de 32 % y 84 % a una confiabilidad del 95 %, estos valores fueron mayores a los obtenidos en postura. En el caso de P. oleracea, se registró 6,36 veces más eclosión que en I. batatas con intervalos de confianza de 2,80 y 14,59. Al igual que en postura de huevos, el número de huevos eclosionados mostró una tendencia a incrementarse cuando aumentó el peso final de los esquejes, caso contrario al peso inicial, en donde a mayor peso inicial se evidenció una menor eclosión (Cuadro 3).

Table 3. Summary of the generalized linear model (estimated, standard error, Z statistic, p value, lower (ICI) and upper (ICS) confidence intervals) for hatching of O. insidiosus eggs, according to the species of cutting, initial weight of the cutting, final weight of the cutting, and weight loss at a reliability of 95 %. Universidad Nacional Autonoma de Nicaragua, Leon, Nicaragua, 2020.
En cuanto al modelo que mejor predijo los valores de eclosión, fue el modelo que involucró al tipo de esqueje y al peso final de los mismos, el que obtuvo el menor valor de AICc y mayor peso de Akaike (357,14 y 0,20, respectivamente), lo que evidencia la importancia de estos factores en la eclosión. El peso inicial de los esquejes resultó ser el factor de menor valor en la variable eclosión con un AICc de 401,29 y un peso de Akaike de cero (Cuadro 4).

Table 4. Determination of the best model for eggs hatching according to Akaike’s information criteria (AICc) and Akaike’s weight, when evaluating cutting species, initial cutting weight, final cutting weight, and weight loss. Universidad Nacional Autonoma de Nicaragua, Leon. Nicaragua, 2020.
La eclosión obtenida en el estudio en relación con la postura de estos, mostró que el 62 % de los huevos puestos lograron eclosionar con intervalos de confianza entre 55 % y 69 % a una confiabilidad del 95 % (Cuadro 5). P. oleracea obtuvo los valores de eclosión más altos con 68,93 %, seguido por P. vulgaris con 40,63 % y por último, I. batatas con 38,21 % de huevos eclosionados (Cuadro 6).

Table 5. Summary of the generalized linear model (estimated, standard error, Z statistic, p value and lower (ICI), and upper (ICS) confidence intervals) for hatching of O. insidiosus eggs according to egg laying at a reliability of 95 %. Universidad Nacional Autonoma de Nicaragua, Leon, Nicaragua, 2022.

Table 6. Means of laying, hatching, and germination percentage of O. insidiosus eggs. Universidad Nacional Autonoma de Nicaragua, Leon. Nicaragua, 2020.
Discusión
En este estudio se demostró que O. incidiosus tuvo mayor preferencia de oviposición en P. oleracea que en I. batata y P. vulgaris. Estos resultados difirieron a los presentados por Lundgren y Fergen (2006), en donde O. incidiosus presentó mayor aceptabilidad de oviposición en Setaria viridis, Phaseolus vulgaris y Dactylis glomerata con 11,5, 9 y 5 huevos por día, ninguna de las otras especies de gramíneas en estudio fue aceptable como sitio de oviposición. De igual manera, Calvalho et al. (2010) obtuvieron mayores posturas en brotes de Phaseolus vulgaris con 4,11 huevos por día. Estos resultados difirieren de los obtenidos en este estudio, debido a que usaron plantas vivas como sustrato de oviposición, lo que facilita la frecuencia de postura.
El mayor número de posturas de O. incidiosus en P. oleraceae, se debió a las características morfológicas de la planta, ya que presenta menor densidad de tricomas o pubescencia glandular y grado de espesor epidérmico de 7,5 µm (Kumar et al., 2008; Lundgren et al., 2008; Pascua et al., 2019), lo cual facilita mayor preferencia de oviposición de O. incidiosus. La comunicación de las posturas con el exterior, se realiza por medio de una delgada epidermis de la planta (Brentassi & de Remes-Lenicov, 1999). Esta ubicación es probable que se relacione con una mayor protección de las posturas contra la desecación.
La preferencia por los sitios de oviposición de Orius estuvo significativamente influenciada por la superficie de la planta y cuanto más “cómodas” están las hembras, mayor es su eficiencia de puesta de huevos (Yu et al., 2021).
La aceptación de la planta como sitio de oviposición también puede verse afectada por la idoneidad de la misma para la eclosión de huevos (Lundgren & Fergen, 2006). En el proceso de colonización de un huésped, el comportamiento de las hembras, incluidas las pertenecientes a la familia Anthocoridae, suele incluir una secuencia de patrones que consisten en orientación, aterrizaje y reconocimiento bajo diferentes presiones de selección (Lorenzo et al., 2021). En general, los insectos tienden a preferir, densidades más altas y se desarrollan mejor en plantas más jóvenes que en plantas más viejas (Boege & Marquis, 2005; Yu et al., 2021).
Los resultados de huevos eclosionados de Orius spp. fueron similares a los obtenidos por Lorenzo et al. (2021) y Shapiro y Ferkovich (2006), quienes reportaron porcentajes de 48,1 % y 47,6-49,0 % de eclosión en P. vulgaris, respectivamente. Los valores en I. batata fueron más bajos que los reportados en especies como Medicago sativa L., Lobularia marítima L. (Brassicaceae), Coriandrum satibum L. (Apiaceae), Calendula officinalis L. (Asteraceae) y Capasicum annuum L. (Solanaceae), que variaron entre 61,9 % hasta 87 % (Lorenzo et al., 2021; Zhang et al., 2021). Mientras que P. oleraceae sí presentó valores dentro de este rango. Esto indica que P. oleraceae fue la especie donde más hubo cría de Orius spp., dentro de las especies evaluadas.
Las características físicas de las plantas como el grosor de los tejidos o el contenido de humedad, son elementos claves para la eclosión de huevos en especies de Orius, las cuales requieren una humedad mayor al 70 % para una adecuada eclosión (Richards & Schmidt, 1996). El contenido mayor de estomas y una menor cantidad de tricomas, favorecen la oviposición de O. sauteri (Zhang et al., 2021).
Durante el desarrollo de este estudio, los esquejes de P. oleracea presentaron la menor deshidratación, seguidos por P. vulgaris; mientras que I. batata mostró la mayor pérdida de humedad. Estos valores concuerdan con los porcentajes de eclosión obtenidos en las tres especies de esquejes. P. oleracea reduce su contenido de agua en condiciones de sequía, sin embargo, al agregarle agua, el contenido de humedad en el tejido supera al del tejido en condiciones de riego normal, lo que convierte a esta especie en una promisoria candidata para la reproducción de especies de Orius, en sistemas agrícolas, donde P. oleracea habita (Ferrari et al., 2020).
Conclusión
La postura de huevos promedio de O. insidiosus fue mayor en los esquejes de P. oleracea con 5,90 huevos/día, de igual manera la eclosión fue mayor en P. oleracea donde eclosionó el 70,20 % de las posturas. Los esquejes de P. oleracea presentaron la menor deshidratación en el estudio. Al conservar humedad y proveer alimento y refugio P. oleracea se presenta como una alternativa adecuada para implementar como hospedero para O. insidiosus en campo.
Se sugiere validar los resultados de este estudio en condiciones de campo para generar recomendaciones como alternativa de control biológico por conservación.
Referencias
Alemán, A., & Sánchez, A. (2015). Estado actual de ciencia de las arvenses en Nicaragua. La Calera, 15(25), 70–76.
Aviles Peralta, Y. A., Rodríguez Ortega, E., & Betancourth Lagos, G. A. (2021). Estudio econométrico sobre el rendimiento productivo de granos básicos en Nicaragua (arroz, maíz y frijol), 2007-2017. Revista de Investigación Sigma, 8(02), 31–41. https://journal.espe.edu.ec/ojs/index.php/Sigma/article/view/2558
Béthoux, O., Galtier, J., & Nel, A. (2004). Earliest Evidence of Insect Endophytic Oviposition. PALAIOS, 19(4), 408–413. https://doi.org/10.1669/0883-1351(2004)019<0408:EEOIEO>2.0.CO;2
Boege, K., & Marquis, R. J. (2005). Facing herbivory as you grow up: the ontogeny of resistance in plants. Trends in Ecology and Evolution, 20(8), 441–448. https://doi.org/10.1016/j.tree.2005.05.001
Brentassi, M. E., & de Remes-Lenicov, A. N. M. (1999). Oviposición de Delphacodes kuscheli (Homoptera-Delphacidae) sobre plantas de cebada en condiciones de laboratorio. Revista de la Facultad de Agronomía, 104(1), 67–74.
Bueno, V. H. P. (2009). Desenvolvimento e criacao massal de percevejos predadores Orius. In V. H. P. Bueno (Ed.), Controle biologico de pragas: Producao massal e controle de qualidade (pp. 33–76). Universidade Federal de Lavras.
Calcagno, V. (2020). Glmulti: model selection and multimodel inference made Easy (version 1.0.8.). R Foundation for Statistical Computing. https://cran.r-project.org/package=glmulti
Carvalho, L. M., Bueno, V. H. P. & Castañé, C. (2010). Avaliação de substratos de oviposição para Orius insidiosus (Say) (Hemiptera, Anthocoridae). Revista Brasileira de Entomologia, 54(1), 115–119. https://doi.org/10.1590/S0085-56262010000100015
Chan, C., Chan, G., Leeper T. & Becker, J. (2018). Rio: A Swiss-army knife for data file I/O (version 0.5.16.). R Foundation for Statistical Computing. https://cran.r-project.org/package=rio
Coll, M. (1996). Feeding and ovipositing on plants by an omnivorous insect predator. Oecologia, 105, 214–220. https://doi.org/10.1007/BF00328549
Dara, S. K. (2019). The new integrated pest management paradigm for the modern age. Journal of Integrated Pest Management, 10(1), Article 12. https://doi.org/10.1093/jipm/pmz010
Douglas, A. E. (2018). Strategies for enhanced crop resistance to insect pests. Annual Review of Plant Biology, 69(1), 637–660. https://doi.org/10.1146/annurev-arplant-042817-040248
Duru, M., Therond, O., Martin, G., Martin-Clouaire, R., Magne, M. A., Justes, E., Journet, E. P., Aubertot, J. N., Savary, S., Bergez, J. E., & Sarthou, J. P. (2015). How to implement biodiversity-based agriculture to enhance ecosystem services: A review. Agronomy for Sustainable Development, 35(4), 1259–1281. https://doi.org/10.1007/s13593-015-0306-1
Fatouros, N. E., Cusumano, A., Bin, F., Polaszek, A., & van Lenteren J. C. (2020). How to escape from insect egg parasitoids: a review of potential factors explaining parasitoid absence across the Insecta. Proceedings of the Royal Society B., 287(1931), Article 20200344. https://doi.org/10.1098/rspb.2020.0344
Fernandes, M. E. S., Zanuncio, J. C., Plata-Rueda, A., Soares, W. S., Coelho, R. R., & Fernandes, F. L. (2019). Quantification of prey consumption by the predators chauliognathus flavipes (Coleoptera: Cantharidae), Cycloneda sanguinea (Coleoptera: Coccinellidae), and Orius insidiosus (Heteroptera: Anthocoridae). The Florida Entomologist, 102(1), 231–233. https://doi.org/10.1653/024.102.0138
Ferragut, F., & González-Zamora, J. E. (1994). Diagnóstico y distribución de las especies de Orius Wolff 1811, peninsulares (Heteroptera, Anthocoridae). Boletín de Sanidad Vegetal Plagas, 20, 89–101.
Ferrari, R. C., Cruz, B. C., Gastaldi, V. D., Storl, T., Ferrari, E. C., Boxall, S. F., Hartwell, J., & Freschi, L. (2020). Exploring C4–CAM plasticity within the Portulaca oleracea complex. Scientific Reports, 10, Article 14237. https://doi.org/10.1038/s41598-020-71012-y
Grayson, K. L., Parry, D., Faske, T. M., Hamilton, A., Tobin, P. C., Agosta, S. J., & Johnson, D. M. (2015). Performance of wild and laboratory-reared gypsy moth (Lepidoptera: Erebidae): A comparison between foliage and artificial diet. Environmental entomology, 44(3), 864–873. https://doi.org/10.1093/ee/nvv063
Hinds, J., & Barbercheck, M. E. (2020). Diversified floral provisioning enhances performance of the generalist predator, Orius insidiosus (Hemiptera: Anthocoridae). Biological Control, 149, Article 104313. https://doi.org/10.1016/j.biocontrol.2020.104313
Kumar, A. B. S., Prabhakarn, V., Lakshman, K., Nandeesh, R., Subramanyam, P., Khan, S., & Krishna, N. V. (2008). Pharmacognostical studies of Portulaca oleracea Linn. Revista Brasileira de Farmacognosia, 18, 527–531. https://doi.org/10.1590/S0102-695X2008000400005
Laaß, M., & Hauschke, N. (2019). Earliest record of exophytic insect oviposition on plant material from the latest Pennsylvanian (Gzhelian, Stephanian C) of the Saale Basin, Germany. Palaeogeography, Palaeoclimatology, Palaeoecology, 534, Article 109337. https://doi.org/10.1016/j.palaeo.2019.109337
Lorenzo, M. E., Bao, L., Mendez, L., Grille, G., Bonato, O., & Basso, C. (2019). Effect of two oviposition feeding substrates on Orius insidiosus and Orius tristicolor (Hemiptera: Anthocoridae). Florida Entomologist, 102(2), 395–402. https://doi.org/10.1653/024.102.0216
Lorenzo, M. E., Bao, L., Mendez, L., Grille, G., Bonato, O., & Basso C. (2021). Preference of Orius insidiosus and Orius tristicolor (Hemiptera: Anthocoridae) for host plants in olfactometry and free-choice experiments. Florida Entomologist, 103(4), 492–498. https://doi.org/10.1653/024.103.00412
Lundgren, J. G., & Fergen, J. K. (2006). The oviposition behavior of the predator Orius insidiosus: Acceptability and preference for different plants. Biocontrol, 51, 217–227. https://doi.org/10.1007/s10526-005-0609-2
Lundgren, J. G., Fergen, J. K., & Riedell, W. E. (2008). The influence of plant anatomy on oviposition and reproductive success of the omnivorous bug Orius insidiosus. Animal Behaviour, 75(4), 1495–1502. https://doi.org/10.1016/j.anbehav.2007.09.029
Pascua, M. S., Rocca, M., De Clercq, P., & Greco, N. M. (2019). Host plant use for oviposition by the insidious flower bug (Hemiptera: Anthocoridae). Journal of Economic Entomology, 112(1), 219–225. https://doi.org/10.1093/jee/toy310
R Core Team (2020). R: A language and environment for statistical computing. R Foundation for Statistical Computing. https://www.R-project.org/
Richards, P. C., & Schmidt, J. M. (1996). The suitability of some natural and artificial substrates as oviposition sites for the insidious flower bug, Orius insidiosus. Entomologia Experimentalis et Applicata, 80(2), 325–333. https://doi.org/10.1111/j.1570-7458.1996.tb00945.x
Santiesteban-Hernández, A., virgen-Sánchez, A., Henaut, Y., & Cruz-López, L. (2011). Presencia de Orius insidiosus (Say) (Hemiptera: Anthocoridae) en inflorescencias de mango ataulfo en el Soconusco, Chiapas, México. Acta Zoológica Mexicana, 27(2), https://doi.org/10.21829/azm.2011.272768
Shapiro, J. P., & Ferkovich, S. M. (2006). Oviposition and isolation of viable eggs from Orius insidiosus in a parafilm and water substrate: Comparison with green beans and use in enzyme-linked immunosorbent assay. Annals of the Entomological Society of America, 99(3), 586–591. https://doi.org/10.1603/0013-8746(2006)99[586:OAIOVE]2.0.CO;2
Silva, R., Cruz, I., Zanuncio, J. C., Figueiredo, M., Canevari, G., Pereira, A., & Serrão, J. (2013). Biological aspects of Eriopis connexa (germar) (coleoptera: Coccinellidae) fed on different insect pests of maize (Zea mays L.) and sorghum [Sorghum bicolor L. (moench.)]. Brazilian Journal of Biology, 73(2), 419–424. https://doi.org/10.1590/S1519-69842013000200025
Sørensen, J. G., Addison, M. F., & Terblanche, J. S. (2012). Mass-rearing of insects for pest management: Challenges, synergies and advances from evolutionary physiology. Crop Protection, 38, 87–94. https://doi.org/10.1016/j.cropro.2012.03.023
Yu, C,. Huang, J., Ren, X., Fernández-Grandon, G. M., Li, X., Hafeez M., Lu, Y. (2021). The predatory bug Orius strigicollis shows a preference for egg-laying sites based on plant topography. PeerJ, 9, Article e11818. https://doi.org/10.7717/peerj.11818
Zhang, L., Qin, Z., Liu, P., Yin, Y., Felton, G. W., & Shi, W. (2021). Influence of Plant Physical and Anatomical Characteristics on the Ovipositional Preference of Orius sauteri (Hemiptera: Anthocoridae). Insects, 12(4), Article 326. https://doi.org/10.3390/insects12040326
Notas
Notas de autor
conrado.quiroz@ev.unanleon.edu.ni
Enlace alternativo