Artículos

Recepción: 07 Octubre 2021
Aprobación: 25 Marzo 2022
Publicación: 04 Abril 2022
DOI: https://doi.org/10.24215/23142561e218
Resumo: O voleibol é um esporte coletivo, difundido no mundo inteiro com diversas competições organizadas principalmente pela Federação Internacional de Voleibol (FIVB). O presente estudo teve como objetivo analisar a participação da seleção brasileira na II Liga das Nações e os fatores que influenciaram o desempenho dos atletas na competição. Para análise foram utilizados scoutings oferecidos pelo próprio site da FIVB, divididos em ações positivas e neutras. Foram incluídos nessa amostra os 20 jogos durante a participação da competição. De acordo com os resultados, foram encontrados que o tempo de deslocamento entre os jogos e o tempo de descanso teve influência negativa no desempenho esportivo de alguns jogadores na equipe, destacando a posição de ponteiro e do levantador.
Palavras-chave: Desempenho atlético, Voleibol, Performance.
Abstract: Volleyball is a team sport, widespread throughout the world, with several competitions organized mainly by the International Volleyball Federation (FIVB). This study aimed to analyze the participation of the Brazilian national team in the II Nations League and the factors that influenced the athletes’ performance in the competition. For the purpose of the analysis, the scoutings offered by the FIVB website were used, divided into positive and neutral actions. This sample included 20 matches played as part of the competition. The results revealed that the travel time between matches and rest time had a negative influence on the sports performance of some team players, most notably the position of the pointer and the lifter.
Keywords: Athletic performance, Volleyball, Performance.
Resumen: El voleibol es un deporte de equipo, extendido por todo el mundo con varias competiciones organizadas principalmente por la Federación Internacional de Voleibol (FIVB). El presente estudio tuvo como objetivo analizar la participación de la selección brasileña en la II Liga de Naciones y los factores que influyeron en el rendimiento de los atletas en la competición. Para el análisis se utilizaron los scoutings ofrecidos por el sitio web de la FIVB, divididos en acciones positivas y neutras. Se incluyeron en esta muestra los 20 partidos durante la participación en la competición. Según los resultados, se comprobó que el tiempo de desplazamiento entre partidos y el tiempo de descanso influyen negativamente en el rendimiento deportivo de algunos jugadores del equipo, destacando la posición de puntero y la de levantador.
Palabras clave: Rendimiento deportivo, Voleibol, Rendimiento.
Introdução
O voleibol é considerado um desporto coletivo, de oposição, que exige uma série de fundamentos técnicos (Bizzocchi, 2004). Desde sua criação, este esporte vem se popularizando no mundo todo. Nessa esteira, com o subsequente sucesso da modalidade foi criada a Federação Internacional de Voleibol (FIVB), tendo como países fundadores: Brasil, França, Itália, República Tcheca, Eslováquia, Checoslováquia, Estados Unidos, Bélgica, Turquia, Israel, Holanda, Portugal, Romênia, Uruguai, Líbano e Polônia (Fivb, 2021). A FIVB, portanto, é o principal órgão responsável pelas competições mundiais da modalidade.
Nesse processo, diante de um esporte que vem se reinventando, seja nível mercadológico, profissional e mais especificamente à nível de espetacularização (Marchi Júnior, 2001), uma das atuais competições organizadas pela FIVB é a Liga das Nações de Voleibol, campeonato que substituiu a então Liga Mundial que foi disputada de 1990 a 2017, no qual o Brasil é foi o maior campeão, no naipe masculino, com 9 títulos, seguido de Itália com 8 e Rússia com 3 títulos. Na primeira edição, da nova competição, o campeão masculino foi a seleção da Rússia. A segunda edição contou com 16 equipes de diversos países. Diferentemente de outros campeonatos, o que chama atenção nesse torneio é seu sistema de disputa. Com a finalidade de divulgar a modalidade, o sistema dessa competição funcionou ao longo de cinco semanas, os times foram divididos em grupo de 4 equipes, de forma que todos jogaram contra todos.
Ainda nesse sistema, todos os jogos são em horários pré-determinados, porém, em diferentes cidades e continentes, ou seja, o mesmo campeonato ocorre em diferentes lugares do mundo, algo que parece inédito em relação às demais modalidades esportivas. Como essa competição envolveu jogos em diferentes países como China, Argentina, Rússia, Canadá, França, Brasil, entre outros, parece existir diversos fatores que podem interferir no desempenho das equipes, como altitude, clima local, temperatura, tempo de recuperação entre um jogo e outro e o próprio processo de deslocamento entre os países (Ré; Rose Júnior; Bohme, 2004; Costa & Samulski, 2005; Cochrane et al., 2012; Goumas, 2013; Mohammed; Shafizadeh; Platt, 2014), e o qual pretendemos abordar nesse estudo, o tempo de deslocamento e descanso entre as viagens. Nesse sentido, Nevill; Holder (1999) apontam 4 fatores considerados responsáveis pela vantagem em uma competição, sendo eles: torcida, aprendizagem, viagens e regras.
Nesse sentido, a análise de desempenho técnico-tático se torna uma ferramenta analítica interessante para estudar os resultados alcançados por uma equipe esportiva. Quando consideradas a melhora ou a manutenção dos fundamentos ao longo da competição, os jogadores conseguem ter uma melhor regulação de ações que envolvem a percepção, antecipação, a tomada de decisão, bem como a execução técnica e tática. Embora, como ressalta Greco (2006), o conhecimento tático de base seja suficiente nos esportes, a formação tática específica é imprescindível para o êxito, especialmente, pela grande variabilidade e pela aleatoriedade de ações. De fato, o domínio da tática decorre da excelência do pensamento operativo do atleta, isto é, do pensamento estritamente ligado à atividade específica do jogo.
Além disso, por serem atletas profissionais e, de certa forma, estarem adaptados a viagens e grandes deslocamentos, são jogadores diferentes quando comparados a atletas iniciantes, tanto por características físicas, bem como nas tomadas de decisões (Garganta, 2004). Além do domínio motor, refletido nos gestos técnicos dos jogadores, os processos cognitivos parecem ser fundamentais na performance, devido à elevada imprevisibilidade, aleatoriedade e variabilidade que compõem o contexto ambiental das modalidades esportivas (Greco, 2006; Garganta, 2009).
Assim, com base nas considerações acima, este estudo teve como objetivo analisar o nível de desempenho técnico da seleção brasileira na competição Liga das Nações do ano de 2019, partindo da hipótese que os grandes deslocamentos e o tempo em voo comprometeram o desempenho dos atletas durante o referido campeonato.
Método
Este estudo se qualifica como uma pesquisa quantitativa. De acordo com Thomas; Nelson e Silverman (2012), essa modalidade de pesquisa visa a explicação de fenômenos por meio da coleta de dados numéricos que serão analisados através de métodos matemáticos. Nas pesquisas quantitativas se encontra algumas características gerais como inferência dedutiva, a realidade investigada é objetiva, a amostra é geralmente significativa e determinada por critérios estatísticos que na generalização dos resultados representam uma população específica. Em outras palavras, essa pesquisa permite que se obtenha dos elementos de uma amostra informações padronizadas e, por consequência, a comparação de um indivíduo ou elemento a outro, como por exemplo à uma população, permitindo ainda, observar as variáveis e o nível das hipóteses e estabelecer diretamente as relações entre essas variáveis, de modo a quantificar tanto a coleta quanto à análise dos dados.
Foram considerados para a amostra, os scouts dos jogadores da seleção brasileira de voleibol, participantes da II edição das Liga das Nações do ano de 2019. O estudo foi realizado durante 20 jogos, do qual a seleção brasileira participou. O referido torneio, organizado pela Federação Internacional de Voleibol, contou com 16 equipes disputando o título.
A partir de scoutings oferecidos pelo próprio site da FIVB1, foram analisadas as ações positivas (+) e neutras (0), com base no estudo de Marcelino et al., (2010). As ações técnico-táticas do voleibol foram definidas a partir da sua funcionalidade no jogo. Para essa pesquisa, foram utilizadas as variáveis de saque, ataque e bloqueio, disponibilizadas pela estatística da própria FIVB. Por proporcionarem o ponto direto, são denominados de ações terminais. Já as ações de recepção, levantamento e defesa são denominadas de ações de continuidade, pois ocorrem em função das ações terminais e não proporcionam a obtenção direta do ponto.
Além disso, foram verificadas a distância entre as cidades onde ocorreram os jogos. Esta variável foi calculada pelo software Google Earth. Já para análise do tempo de voo dos jogos, foi feita uma média aritmética do tempo de voo registrada pelas três das principais empresas aéreas do mundo, a saber: Singapore Airlines®, Qatar Airways® e Emirates®. Tal critério foi incorporado, uma vez que, em sua maioria, uma dessas três empresas foi responsável pelo deslocamento da seleção brasileira de voleibol durante a competição.
Por fim, todos os dados coletados foram tabulados em uma planilha do Microsoft Excel®. Na sequência, submeteu-se os dados à análise de Kolmogorov – Smirnov para verificar a simetria do conjunto de dados. Como a distribuição não apresentou normalidade, coube, portanto, mobilizar os testes não paramétricos. Diante disso, os resultados são apresentados em mediana, percentis (25 e 75), mínimo e máximo. Dois grupos foram estabelecidos de acordo com a mediana de horas de voo/distância: Grupo 1 (G1): menor ou igual a 10 horas de voo e Grupo 2 (G2): maior que 10h de voo. O teste de Mann-Whitney foi empregado para comparar a performance de acordo com os grupos de distância entre os jogos. O valor de significância adotado para esse estudo foi de p<0,05. Para todas as utilizou-se o pacote estatístico SPSS, versão 20.0.
Resultados E Discussão
Após reunir os dados sobre distância, tempo de voo e fundamentos específicos do voleibol selecionados para esse estudo, na tabela 1, encontram-se os valores relacionados às variáveis de ações dos fundamentos positivos e negativos, além da distância (em quilômetros percorridos) e horas de voo, destacando-se os valores mínimos e máximos de distância percorrida para cada jogo, bem como as horas de voo. Cabe ressaltar nesse sentido, a logística adotada pela FIVB para a realização do campeonato. Os jogos ocorrem de 31 maio a 14 julho de 2019, dividido em cinco semanas. Cada semana, uma cidade sede contava com um grupo de quatro seleções, que jogavam entre si. Após ocorrerem os jogos nos grupos, havia um rodízio (de cidade sede/país), com a finalidade de todas as seleções jogarem uma contra a outra. Os jogos ocorreram nas sextas-feiras, sábados e domingos. Durante a segunda-feira e terça-feira, ocorria o deslocamento das seleções para a próxima cidade sede.

Conforme é possível visualizar no dado em tela, como maior distância percorrida o deslocamento foi de 10.884 quilômetros. Já para o valor mínimo, ocorreu no percurso dentro do próprio Brasil, correspondente a 665 quilômetros. No caso específico da seleção brasileira masculina, houve um deslocamento inicial do Brasil/São Paulo para Katowice/Polônia de 10.429 quilômetros (1ª Fase de grupos), seguindo para Tóquio/Japão, 8.833 quilômetros (2ª Fase de grupos), depois para Gondomar/Portugal 10.884 quilômetros (3ª Fase de grupos), depois para Cuiabá/Brasil 7.981 quilômetros (4ª Fase de grupos), depois para Brasília/Brasil, 665 quilômetros (5ª Fase de grupos) e por fim, se classificando para a fase final que ocorreu o deslocamento para Chicago/Estados Unidos, 8.139 quilômetros (Fase final), ou seja, durante o período de competição os atletas percorrem um total de ± 46,931 quilômetros.
De acordo com a literatura, a respeito de viagens de longa distância o tempo em voo e deslocamento podem ser fatores de alto estresse para o atleta (Ré; Rose Júnior; Bohme, 2004; Costa & Samulski, 2005), uma vez que deslocamentos longos podem interferir na saúde mental e física do atleta, podendo assim influenciar diretamente no desempenho esportivo do atleta na competição. A quantidade de estresse vivenciada pelo atleta parece ser um resultado da interpretação dada pela situação e da capacidade do atleta em lidar com esta, podendo gerar distorções psicológicas e perda de energia. Seggar et al., (1997), afirmam que níveis excessivos de estresse podem também levar o atleta a um descontrole de suas próprias ações, principalmente em situações de pressão externa e emoções.
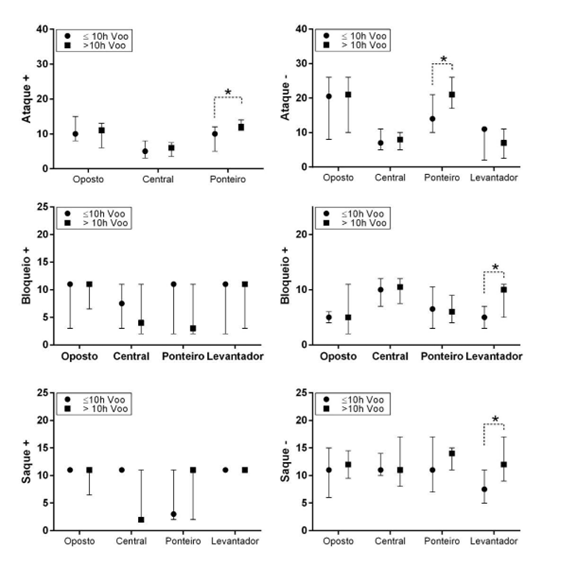
O estresse tem se mostrado um fator psicológico frequente nos esportes, independente do grau de preparação do atleta, afetando diretamente no seu desempenho. Nessa direção, ao que parece, jogos com menor ou maior tempo de deslocamento podem representar fatores de influência no desempenho dos atletas na competição, visto que são situações geradoras de estresse (Seggar et al., 1997). Dessa forma, foram analisadas e comparadas as posições específicas do jogo, representadas na imagem abaixo (Figura 1).

A partir do teste de U-Mann Whitney fora evidenciada diferença significativa (p<0,05) no fundamento de Ataque para os jogadores ponteiros, tanto positivamente (mais ataques positivos) quanto negativamente (mais ataques negativos) quando comparados ao tempo total de voo. Já para o Bloqueio, também ocorreu uma diferença significativa (p<0,05) para a posição de levantadores, em que houve um maior número de bloqueios negativos em voos maiores a 10h comparado com os deslocamentos de menos de 10h. Para o fundamento Saque, da mesma forma, nota-se diferença significativa (p<0,05) também para a posição de levantadores, principalmente nas ações negativas de saque, em que houve maior número de saques errados em voos maiores a 10h em relação a menos de 10h.
Com base nesses dados, é possível verificar que as posições de ponteiro e do levantador foram as que mais sofreram com os deslocamentos e, consequentemente, com o tempo de voo. Se analisada a posição de ponteiro, especificamente, seria o fundamento de Ataque uma das principais características desses jogadores, em outras palavras, ao demonstrar mais ações negativas em comparação a ações positivas, parece que o tempo de deslocamento pode ter interferido no desempenho esportivo desses atletas. Nesse mesmo sentido, podem ser observadas diferenças para a posição do levantador nos fundamentos de bloqueio e saque (apesar de não ser o fundamento, teoricamente, dominante para a posição, a saber, o fundamento dominante do levantamento). Não obstante, em se tratando de uma equipe de alto rendimento e de uma competição da qual todas as seleções realizam grandes deslocamentos, todos os fundamentos parecem ser importantes para as conquistas (Cochrane et al., 2012; Camanho; Costa; Scaglia, 2020).
É nesse sentido que podemos destacar o fator Home Advantage, que é um fenômeno que vem sendo amplamente analisando nos esportes (Goumas, 2013; Lago-Penãs et al., 2013; Mohammed; Shafizadeh; Platt, 2014; Parmar et al., 2017; Pollard & Armatas, 2017, Pollard; Prieto; Gómez, 2017), que está associado ao fato de grandes ou pequenos deslocamento e, consequentemente, tempo de viajem, como no estudo de Yu et al., (2020) que analisou indicadores de desempenho técnico e tático na Liga da Associação de Voleibol Feminino da China em duas temporadas (2016 a 2018) com um total de 181 partidas. Os autores relatam o efeito e a vantagem de jogar em casa e, portanto, realizar pequenos deslocamentos, têm uma maior probabilidade de vencer, até mesmo equipes mais fortes, sobressaindo indicadores de Saque, Ataque e Bloqueio, que semelhante ao nosso estudo, foram os fundamentos que mais sofreram com o tempo de voo.
Fernandez-Echeverria et al., (2017) ao analisar 6.681 jogos dos campeonatos de voleibol, da última década da primeira divisão da Itália e da Grécia nos naipes masculino e feminino, encontraram uma porcentagem significativamente maior de resultados positivos (58,1%) sobre os negativos (41,9%) quando as equipes jogavam próximas as suas sedes. Isto é, os dados revelaram uma espécie de efeito associativo entre resultados positivos quando ocorrem um menor tempo de viajem.
Analogamente, Campos et al., (2013) ao investigarem a vantagem de jogar em casa (e não haver a necessidade de deslocamento ou viajem) no voleibol masculino analisando 132 jogos da superliga nacional brasileira das temporadas 2012 e 2013, observaram que os fundamentos de Saque, Ataque, Bloqueio e Erro do Adversário como indicadores de desempenho. Após as análises, concluíram que a vantagem era real, uma vez que, identificaram maiores prevalências de vitória entre as equipes mandantes das partidas. Inclusive, os indicadores de desempenho dos fundamentos de Ataque e Bloqueio foram apontados como as ações com maior associação com vitória ou derrota nos jogos de voleibol masculino. Com base nos estudos descrito acima, Yu et al., (2020); Fernandez-Echeverria et al., (2017) e Campos et al., (2013), podemos verificar, que assim como nossos achados, evitar longos deslocamentos, podem influenciar diretamente e efetivamente no sucesso do plantel.
Por fim, outro fato que pode explicar esses resultados é a posição de jogo. Por exemplo, os ponteiros apresentam uma maior rotatividade de jogadores (na maioria das competições e equipes de alto rendimento são convocados 4 jogadores da posição ponteiros, 4 jogadores da posição centrais, 2 jogadores da posição oposto, 2 dois jogadores da posição levantador e de 1 a 2 jogadores da posição líbero). Porém, durante a partida são escalados apenas dois jogadores na posição de ponteiro e central. Em contrapartida, jogadores da posição levantador, oposto e líbero, tecnicamente apresentam uma alta participação durante a partida, geralmente em função do sistema tático utilizado, em sua grande maioria o sistema de jogo 5x1, no qual, a troca e rodízio do sistema, faz com que essas posições específicas apresentem uma maior participação de seus atletas durante o jogo, bem como no decorrer de todo o campeonato (Camanho; Costa; Scaglia, 2020). Em outras palavras, parece que jogadores da posição levantador, oposto e líbero participam ativamente de quase todos os jogos, ou seja, esses jogadores têm um maior desgaste físico e psicológico quando comparado com atletas de outras posições, refletindo diretamente nos fundamentos do jogo. Adicionalmente, há que se destacar que, para além dessas variantes internas da modalidade, questões externas como o desgaste provocados pelos deslocamentos dos voos podem alimentar ainda mais esse quadro de exaustão observado, impactando ainda mais a performance dos atletas.
Considerações finais
Este estudo teve como objetivo verificar o desempenho técnico e compreender algumas características que interferem na performance da seleção brasileira na II Liga das Nações. Nesse percurso, fora traçado também como desiderato verificar o impacto das viagens de longa duração no desempenho dos atletas.
Em linhas gerais, através da investigação aqui levada a cabo, foi possível perceber que no meio esportivo são diversos fatores que podem interferir no desempenho dos atletas, condições essas que podem ter influência direta ou indiretamente no desempenho, e esses aspectos podem tanto ser físicos como psicológicos dependendo do meio no qual se situa o atleta. Nessa senda, ao observarmos os resultados e suas informações, verificamos que houve uma queda no desempenho dos atletas em jogos com duração dos voos maiores do que 10 horas, sugerindo que grandes deslocamentos ou viagens longas, podem se somar a outros condicionantes que afetam o desempenho em quadra.
Agradecimentos
Ao Professor Deoclécio pelas contribuições neste trabalho e também ao Departamento de Educação Física da Universidade Estadual do Centro-Oeste DEDUF/G campus CEDETEG.
A pesquisadora ACP gostaria de agradecer o “Operational Programme Research, Development and Education – Postdoc2MUNI (No. CZ.02.2.69/0.0/0.0/18_053/0016952).
Referências
Bizzocchi, C. (2004). O voleibol de alto nível: da iniciação à competição (5. ed.). Barueri: Manole.
Camanho, S., Costa, R. R. y Scaglia, A. J. (2020) Sistemas táticos do voleibol Vantagens, desvantagens e suas consequências para a formação. Journal Of Sport Pedagogy & Research, 6(3), 11-24. http://dx.doi.org/10.47863/obhj9798.
Campos, A. D. F., Pasquarelli, B. N., Campos, L. C. B., Ozaki, H. y Stanganélli, L. C. R. (2013). Análise da vantagem de jogar em casa no voleibol masculino brasileiro. Brazilian Journal of Biomotricity, 7(3), 144-149.
Cochrane, A. V., Guimarães, M. L., Pereira, G. P., Borges, G. y Mourão, L. (2012). Transformações no sistema tático de ataque do voleibol. Revista Acta Brasileira do Movimento Humano, 2(1) 15-23.
Costa, L. O. P. y Samulski, D. M., (2005). Validation Process of The Recovery-Stress Questionnaire for Athletes (RESTQ-Sport) in Portuguese. Revista Brasileira Ciência e Movimento, 13(1), 79-86.
Fernandez-Echeverria, C., Mesquita, I., González-Silva, J., Claver, F. y Moreno, M. P. (2017). Match analysis within the coaching process: a critical tool to improve coach efficacy. International Journal Of Performance Analysis In Sport, 17(1-2) 149-163. http://dx.doi.org/10.1080/24748668.2017.1304073.
Federation Internationale De Volleyball. THE FOUNDING. (2021). Disponível em: https://www.fivb.com/en/thefivb/history. Acesso em: 24 jun. 2021.
Garganta, J. (2004). A formação estratégico-tática nos jogos desportivos de oposição e cooperação. Desporto para crianças e jovens: razões e finalidades. Porto Alegre: Universidade Federal do Rio Grande do Sul.
Garganta, J. (2009). Trends of tactical performance analysis in team sports: bridging the gap between research, training and competition. Revista Portuguesa de Ciências do Desport, 9(1), 1-12.
Goumas, C. (2013). Modelling home advantage in sport: a new approach. International Journal Of Performance Analysis In Sport, 13(2), 428-439. http://dx.doi.org/10.1080/24748668.2013.11868659.
Greco, P. (2006). Conhecimento tático-técnico: eixo pendular da ação tática (criativa) nos jogos esportivos coletivos. Revista brasileira de educação física e esporte, 20, 210-212.
Lago-Peñas, C., Gómez, A. M., Viaño, J., González-García, I. y Fernández-Villarino, M. Á. (2013). Home advantage in elite handball: the impact of the quality of opposition on team performance. International Journal Of Performance Analysis In Sport, 13(3), 724-733. http://dx.doi.org/10.1080/24748668.2013.11868684.
Marchi Júnior, W. (2001). “Sacando” o voleibol: do amadorismo à espetacularização da modalidade no Brasil (1970-2000). (Tese de Doutorado). Campinas: Universidade Estadual de Campinas.
Marcelino, R., Mesquita, I., Sampaio, J. y Moraes, J. C. (2010). Estudo dos indicadores de rendimento em voleibol em função do resultado do set. Revista Brasileira de Educação Física e Esporte, 24(1), 69-78. http://dx.doi.org/10.1590/s1807-55092010000100007.
Mohammed, A., Shafizadeh, M. y Platt, K. G., (2014). Effects of the level of expertise on the physical and technical demands in futsal. International Journal Of Performance Analysis In Sport,14(2), 473-481. http://dx.doi.org/10.1080/24748668.2014.11868736.
Nevill, A. M. y Holder, R. L. (1999). Home Advantage in Sport. Sports Med, 28, 221–236.
Parmar, N., James, N., Hughes, M., Jones, H. y Hearne, G. (2017). Team performance indicators that predict match outcome and points difference in professional rugby league. International Journal Of Performance Analysis In Sport, 17(6), 1044-1056. http://dx.doi.org/10.1080/24748668.2017.1419409.
Pollard, R. y Armatas, V. (2017). Factors affecting home advantage in football World Cup qualification. International Journal Of Performance Analysis In Sport, 17(1-2), 121-135. http://dx.doi.org/10.1080/24748668.2017.1304031.
Pollard, R., Prieto, J. y Gómez, M. Á. (2017). Global differences in home advantage by country, sport and sex. International Journal Of Performance Analysis In Sport, 17(4), 586-599. http://dx.doi.org/10.1080/24748668.2017.1372164.
Ré, N. H. A., Rose Júnior, D., Bohme, S. T. M. (2004). Stress e nível competitivo: considerações sobre jovens praticantes de futsal. Revista Brasileira de Ciência e Movimento,12(4), 83-87.
Seggar, J. F., Pedersen, D. M., Hawkes, N. R. y Mcgown, C. (1997) A Measure of Stress for Athletic Performance. Perceptual And Motor Skills, 84(1), 227-236. http://dx.doi.org/10.2466/pms.1997.84.1.227.
Thomas, J. R., Nelson, J. K. y Silverman, S. J. (2012). Métodos de Pesquisa em Atividade Física. 6ª ed. Porto Alegre: Artmed.
Yu, Y., García-De-Alcaraz, A., Cui, K., Liu, T. (2020). Interactive effects of home advantage and quality of opponent in Chinese Women’s Volleyball Association League. International Journal Of Performance Analysis In Sport, 20(1), 107-117. http://dx.doi.org/10.1080/24748668.2020.1714414.
Notas