Artículos
Efeito da corrida de rua na qualidade de vida: um estudo descritivo e exploratório
Efecto del correr callejero en la calidad de vida: estudio descriptivo y exploratorio
Effect of street running on quality of life: a descriptive and exploratory study
Efeito da corrida de rua na qualidade de vida: um estudo descritivo e exploratório
Educación Física y Ciencia, vol. 24, núm. 3, e229, 2022
Universidad Nacional de La Plata

Recepción: 16 Noviembre 2021
Aprobación: 17 Mayo 2022
Publicación: 01 Agosto 2022
Resumen: Objetivo: verificar la influencia de las carreras callejeras en la calidad de vida. Métodos: se trata de un estudio descriptivo, transversal, con un diseño exploratorio, del tipo encuesta, que observó a 118 corredores callejeros, seleccionados de forma no probabilística y por conveniencia. Cuando se aplicó un cuestionario sociodemográfico semiestructurado para describir a los participantes y comprobar su calidad de vida, se aplicó el cuestionario SF-36. La normalidad de los datos se verificó aplicando el texto de Shapiro Wilk, la homogeneidad mediante la prueba de Levene (distribución normal). Los valores se presentaron como media y desviación estándar para caracterizar la muestra general y por género. Todas las pruebas se realizaron a partir de SPSS Versión 20.0. Resultados: No hubo diferencias significativas en la calidad de vida entre sexos. El tiempo de práctica mostró una correlación significativa con la capacidad funcional (p = 0,001) y la reducción en la limitación de los aspectos físicos (p = 0,005). Conclusión: El street running tiene un impacto importante en la calidad de vida de los practicantes, cuando se realiza con regularidad. Los beneficios van más allá del ámbito biodinámico, generando beneficios en variables psicosociales.
Palabras clave: Carrera, Calidad de vida, Ejercicio físico.
Resumo: Objetivo: verificar a influência da corrida de rua na qualidade de vida. Métodos: trata-se de um estudo transversal, descritivo, com delineamento exploratório, do tipo survey, que observou 118 praticantes de corrida de rua, selecionados de forma não-probabilística e por conveniência. Onde foi aplicado um questionário sociodemográfico, semiestruturado, para a descrição dos participantes, e para verificar a qualidade de vida, foi aplicado o questionário SF-36. A normalidade dos dados foi verificada aplicando o texto Shapiro Wilk, homogeneidade pelo teste de Levene’s (distribuição normal). Os valores foram apresentados em média e desvio padrão para caracterização da amostra geral e por gênero. Todos os testes foram realizados a partir do SPSS Versão 20.0. Resultados: Não foram observadas diferenças significativas da qualidade de vida entre os gêneros. O tempo de prática apresentou correlação significante com a capacidade funcional (p=0,001) e a redução da limitação dos aspectos físicos (p=0,005). Conclusão: A corrida de rua apresenta um importante impacto na qualidade de vida dos praticantes, quando realizada de modo regular. Os benefícios extrapolam o âmbito biodinâmico, gerando benefícios em variáveis psicossociais.
Palavras-chave: Corrida, Qualidade de vida, Exercício físico.
Abstract: Objective: to verify the influence of street running on quality of life. Methods: this is a descriptive, cross-sectional study, with an exploratory design, of the survey type, which observed 118 street runners, collected through non-probabilistic sampling for convenience. Where a semi-structured sociodemographic questionnaire was applied to describe the participants and check their quality of life, the SF-36 questionnaire was chosen. Normality of data was tested using Shapiro-Wilk test, and homogeneity was tested using Levene’s test (normal distribution). Values were presented as mean and standard deviation to characterize the overall sample and by gender. All tests were performed using SPSS version 20.0. Results: There were no significant differences in quality of life between genders. Practice time showed a significant correlation with functional capacity (p=0.001) and reduction in physical limitation (p=0.005). Conclusion: Street running has a major impact on the quality of life of runners, when performed regularly. The benefits go beyond the biodynamic scope, generating benefits in psychosocial variables.
Keywords: Running, Quality of life, Physical exercise.
Introdução
As atividades do cotidiano, em especial as laborais, têm reduzindo drasticamente a prática da atividade física da população, possibilitando diversas consequências na saúde física e mental, impactando diretamente na qualidade de vida (da Silva et al., 2020). A qualidade de vida entendia como um conjunto de condições que envolvem o bem estar físico, mental e espiritual, relacionados a valores de família, amigos e sociais, tem sido contemplado muitas vezes como sinônimo de saúde e estilo de vida saudável, incluindo a abordagem de satisfação com a vida (Pereira et al., 2012).
De acordo com o Instituto Brasileiro de Geografia e Estatística (IBGE), aproximadamente 59,7% da população brasileira apresenta uma vida fisicamente ativa, sendo que boa parte (40,3%), tem buscado a prática da corrida como estratégia para uma vida fisicamente ativa (IBGE Brasil, 2019), em especial a corrida de rua, com 24,6% de praticantes (IBGE Brasil, 2015). A corrida de rua que compõe uma das várias provas do atletismo, mas que devido a sua popularidade no Brasil, é acessível a muitos praticantes, por não exigir grandes recursos financeiros na sua pratica e participação (de Freitas, et al., 2021).
O grande número de praticantes de corrida de rua se dá pelo fácil acesso e baixo custo da modalidade, além disso, a prática ao ar livre apresenta maior adesão (Doro et al., 2021), devido a ludicidade e satisfação provocadas pelo ambiente, agregando respostas positivas ao exercício, potencializando liberação de neurotransmissores que elevam o bem-estar e prazer, impactando na qualidade de vida (Mello et al., 2005).
Ademais, a corrida de rua impacta diretamente nas questões físicas, melhorando a força e resistência muscular, o sistema cardiorrespiratório, imunológico e metabólico, atuando na composição corporal, reduzindo as chances de doenças crônicas com implicações cardiovasculares, promovendo uma vida mais saudável (Hearing et al., 2016; Albuquerque et al., 2018). Entretanto, estudos envolvendo os impactos da corrida de rua na qualidade de vida ainda são escassos.
Mesmo diante dos malefícios da inatividade física, uma grande parcela da população apresenta o comportamento sedentário, tendo dificuldade de adesão a prática regular de atividade física, minimizando a qualidade de vida e, tendo como resultado, a maior probabilidade de doenças de caráter biopsicossocial (Araya et al., 2021). A inatividade física, atualmente, mostra-se como um dos principais responsáveis por doenças no sistema cardiovascular e impactando diretamente na saúde mental das pessoas (Hearing et al., 2016; dos Santos et al., 2020).
Nesse cenário, poucas pesquisas tem descrito a relação da corrida de rua com a qualidade de vida, mas de Freitas, et al., (2021), em seu estudo realizado com 20 corredores amadores, que estabeleceu esta relação dos benefícios da corrida de rua, apresentando as evidências na prática da corrida melhorando a autoestima, controle do peso e redução do estresse, reforça a relevância do exercício físico na qualidade de vida, além da melhora nos níveis de saúde mental (de Freitas, et al., 2021).
Assim, devido as consequências negativas do comportamento sedentário na qualidade de vida das pessoas, o crescente número de praticantes de corrida de rua, a capacidade de adesão ao exercício físico acessível, o efeito positivo na saúde física e mental e a escassez de estudos com essa abordagem, a partir desses elementos expostos, este estudo teve como objetivo verificar a influência da corrida de rua na qualidade de vida.
Métodos
Trata-se de um estudo transversal, pesquisa descritiva com delineamento exploratória do tipo survey (Palhares et al., 2012), realizado via Google Formulário, de 20 de abril a 02 de maio de 2021.
Participaram do estudo 118 praticantes de corrida de rua, com idade média de 34,9±11,8 anos, sendo a maior parte homens (59,3%). Foram incluídos no estudo sujeitos de ambos os sexos; maiores de 18 anos; que praticavam corrida ao menos três vezes na semana; não apresentavam problemas de saúde; apresentavam parecer cardiológico para compor a prática da corrida; e aceitaram participar voluntariamente da pesquisa aceitando o Termo de Consentimento Livro e Esclarecido (TCLE).
O questionário sociodemográfico, semiestruturado e elaborado pelos próprios autores, verificou questões referentes a idade, tempo de prática e frequência dos treinamentos. Para verificar a qualidade de vida, foi aplicado o questionário SF-36, que é um questionário multidimensional formado por 36 itens, com oito escalas ou componentes: capacidade funcional, aspectos físicos, dor, estado geral de saúde, vitalidade, aspectos sociais, aspectos emocionais e saúde mental. Apresenta uma pontuação/escore final de 0 a 100, no qual zero corresponde ao pior estado geral de saúde e 100 ao melhor estado de saúde (Ciconelli et al., 1999).
Os participantes foram selecionados de forma não-probabilística e por conveniência, a coleta de dados se deu por meio do Google formulário. Os sujeitos que tiveram interesse em participar da pesquisa declararam o aceite do TCLE assinando “concordo”. O formulário ficou disponível por 15 dias e divulgado via redes sociais (Facebook, Instagram e WhatsApp), para grupos de corridas e academias.
Antes do preenchimento, uma breve instrução foi dada aos participantes, contendo informações referentes aos objetivos da pesquisa, benefícios, contribuições e o tempo gasto para preenchimento do formulário (aproximadamente 10 minutos). Onde, após o aceite do TCLE, preencheram o questionário sociodemográfico e, na sequência, foram encaminhados para o preenchimento do questionário SF-36 (Ciconelli, et al., 1999).
A normalidade dos dados foi verificada aplicando do teste Shapiro Wilk, bem como a homogeneidade dos dados pelo teste de Levene´s, que determinou a distribuição normal das variáveis. Os valores foram apresentados em média e desvio padrão para caracterização da amostra geral e por gênero. Realizada a matriz de correlação de Spearman por tempo de prática na modalidade com os domínios. Foi utilizado o programa estatístico o SSPSS versão 20.0 (IBM, EUA) para análise dos dados. A probabilidade de erro tipo I foi estabelecida considerando nível de significância de 5% (p<0,05) para todos os testes.
Os procedimentos adotados nesta pesquisa estão de acordo com os critérios de ética em pesquisa com seres humanos, baseado na resolução (466/12) do Conselho Nacional de Saúde, aprovado pelo Comitê de Ética e Pesquisa da Universidade Estadual da Paraíba (UEPB), CAE: 45290321.3.0000.5187. Todos os participantes do estudo foram informados e orientados a respeito dos procedimentos a que seriam submetidos e concordaram com o Termo de Consentimento Livre e Esclarecido (TCLE).
Resultados
A amostra foi composta por 118 sujeitos (70 homens e 48 mulheres), idade média 34,9±11,8 anos, tempo de prática na modalidade 4,6±6,3 anos, com frequência semanal de 3,6±1,3 dias por semana, tendo suas características descritas na Tabela 1.

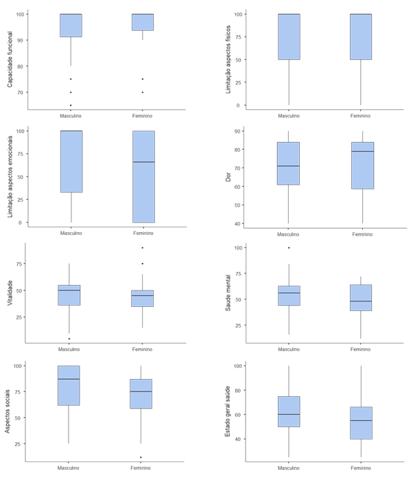
Não foi observada diferença significativa da qualidade de vida entre os gêneros, mostrando valores dos domínios similares em relação a qualidade de vida. Verificando os scores dos domínios, podemos destacar a capacidade funcional, onde apresentaram maiores domínios (ambos os grupos 95,3±7,3, homens 94,9±7,9, mulheres 95,8±6,3) (Tabela 1; Figura 1).
Quando correlacionado o tempo de prática na corrida de rua com os domínios (capacidade funcional, limitação aspectos físicos, limitação aspectos emocionais, dor, vitalidade, saúde mental, aspectos sociais e estado geral de saúde), foi possível observar que o tempo de prática na modalidade se correlacionou positivamente e significativamente com a capacidade funcional (p=0,001) e com a limitação dos aspectos físicos (p=0,005) (Tabela 2).


Discussão
Os resultados do presente estudo sugerem que a corrida de rua gera impacto positivo na qualidade de vida, independente do gênero, destacando melhorias extremamente positivas na capacidade funcional. Segundo Marinho et al. (2012) a fácil adesão e os benefícios da corrida de rua são fundamentais para melhorar a capacidade funcional dos seus praticantes, utilizando práticas sistematizadas e contínuas. Corroborando com os resultados, Euclides et al. (2016), destacam que, praticantes de corrida apresentam benefícios físicos, sociais e mentais, melhorando a qualidade de vida.
A corrida de rua promove melhoras significativas na resistência, força e flexibilidade, sendo que, as melhorias dessas capacidades são diretamente proporcionais ao tempo prática (Hearing et al., 2016; Albuquerque et al., 2018). Quando relacionados o tempo de prática com os benefícios da corrida, foram evidenciadas de forma significativa correlação entre tempo de prática com os domínios de capacidade funcional (p=0,001) e limitação dos aspectos físicos (p=0,005).
Esses aspectos mostram a importância do treinamento a longo prazo, e o quanto podem influenciar diretamente a qualidade vida, refletindo na melhora dos níveis de capacidade funcional e de forma inversa, reduzindo as limitações dos aspectos físicos.
Para Castro (2014) a percepção de bem-estar, obtida pela prática da corrida de rua, aumenta conforme o tempo de prática, conferindo um aumento significativo em praticantes com mais de dois anos de experiência de pratica na modalidade, justificando os resultados encontrados no presente estudo, que mostrou o tempo médio de prática em corrida de rua de 4,6±6,3 anos.
Ao melhorar as capacidades físicas, maximizamos a capacidade funcional e, como consequência, reduzíamos as limitações físicas, sendo importante para uma maior autonomia na realização de práticas da vida cotidiana e, assim, impactando diretamente na qualidade de vida (dos Santos et al., 2020). Euclides et al. (2016) avaliando com 111 corredores de rua, observaram melhorias na disposição em suas rotinas diárias (46%), saúde (44%), estímulo para competir (35%), redução do peso corporal (34%), melhora na autoestima e prazer (31%), controle de pressão arterial (29%), aumento na autodisciplina (25%), melhora na resistência física (22%), melhora na capacidade cardiovascular (19%), aumento no condicionamento físico (15%). Assim, a corrida de rua ampliou os benefícios físicos, promovendo melhora considerável das questões físicas e funcionais de seus praticantes.
Outro aspecto importante que deve ser destacado é que a corrida de rua pode ter influenciar direta na percepção da melhoria da qualidade de vida, devido ao seu ambiente de prática, uma vez que a pratica ao ar livre agrega respostas positivas ao exercício, potencializando a liberação de neurotransmissores que elevam o bem-estar e prazer, fatores determinantes que impactam na qualidade de vida e no estado geral de saúde, levando a uma maior adesão da prática, favorecendo uma prática longeva e duradoura, contribuindo para os aspectos da promoção da saúde. O presente estudo não evidenciou grandes resultados no estado geral de saúde em corredores, fato que pode ter ocorrido devido a limitações do estudo, uma vez que o mesmo realizou uma abordagem transversal, sendo que estudos longitudinais, do tipo caso controle ou coorte, poderiam apresentar evidências representativas às respostas de saúde nos corredores.
Conclusão
Diante disto, este estudo observou que a corrida de rua pode ter papel importante na qualidade de vida dos praticantes, principalmente em relação a capacidade funcional e redução de limitações físicas, e que essas melhorias estão diretamente ligadas ao tempo de prática na modalidade, mostrando que a exposição crônica ao exercício, em especial a corrida de rua, pode ter um papel importante na qualidade de vida e saúde geral. Contudo, estudos que mostram as respostas da corrida de rua em relação a qualidade de vida ainda são escassos, dessa forma, estudos longitudinais podem revelar evidências de benefícios efetivos que destaquem ainda a adesão de crianças e jovens na prática da modalidade de forma lúdica e promissora de futuros atletas.
Conflitos de interesse
Os autores declaram não haver conflito de interesses.
Referências
Albuquerque, D. B., Silva, M. L., de Miranda, Y. H. & de Freitas, C. M. (2018). Corrida de rua: uma análise qualitativa dos aspectos que motivam sua prática. Rev. bras. ciênc. mov, 26(3) 88-95. https://portalrevistas.ucb.br/index.php/RBCM/article/view/8940
Araya, A. X. & Iriarte, E. (2021). Fear of falling among community-dwelling sedentary and active older people. Investigación y educación en enfermería, 39(1). https://doi.org/10.17533/udea.iee.v39n1e13
Castro, G. A. D. (2014). A percepção de bem-estar em praticantes de corrida de rua. Dissertação de graduação (licenciatura) Educação Fisica. https://www.lume.ufrgs.br/handle/10183/101727
Ciconelli, R. M., Ferraz, M. B., Santos, W., Meinão, I. & Quaresma, M. R. (1999). Tradução para a língua portuguesa e validação do questionário genérico de avaliação de qualidade de vida SF-36 (Brasil SF-36). Rev bras reumatol, 39(3), 143-50. https://www.ufjf.br/renato_nunes/files/2014/03/Valida%25C3%25A7%25C3%25A3o-do-Question%25C3%25A1rio-de-qualidade-de-Vida-SF-36.pdf
da Silva, J. L. L., Acco, A. H., de Almeida, G. L., da Silva Soares, R., de Lima, V. F., Brezolin, C. A. & da Silva, R. P. (2020). Aspectos psicossociais e relação com sedentarismo entre trabalhadores hidroviários. Brazilian Journal of Development, 6(6), 33252-33263. https://doi.org/10.34117/bjdv6n6-035
de Freitas, M. B. y Sedorko, C. M. (2021). Os benefícios da corrida de rua para a qualidade de vida de seus praticantes. Biomotriz, 15(1), 306-316. doi: https://doi.org/10.33053/biomotriz.v15i1.490
Doro, L. C. M., Terra, V. D. S. & Junior, I. L. (2021). Amateur surfing on the south coast of São Paulo: lifestyle and work as factors of adherence to practice. Journal of Physical Education ISSN 2448-2455, 32(1). https://doi.org/10.4025/jphyseduc.v32i1.3247
dos Santos, W. R., dos Santos, W. R., Rebelo, M. A., Paes, P. P., Fidelix, Y. L., Tenório, K. E. R. & Fernandes, A. P. M. (2020). Um programa de exercício físico pode minimizar os efeitos deletérios da terapia antirretroviral em pessoas com HIV/AIDS?/Can an exercise program minimize the deleterious effects of antiretroviral therapy on people with HIV/AIDS? Brazilian Journal of Health Review, 3(5), 12003-12017. https://doi.org/10.34119/bjhrv3n5-052
Euclides, M. F., Barros, C. L. & Coêlho, J. C. A. (2016). Benefícios da corrida de rua. Revista Conexão Eletrônica, 13(1), 305-314. http://www.aems.edu.br/conexao/edicaoanterior/Sumario/2016/downloads/1.%20Ci%C3%AAncias%20Biol%C3%B3gicas%20e%20Ci%C3%AAncias%20da%20Sa%C3%BAde/035_Ed_F%C3%ADsica%20-%20Benef%C3%ADcios%20da%20Corrida%20de%20Rua.pdf
Granai, A. C., da Silva, T. C. & Sant'Ana, P. G. (2020). Benefícios da corrida de rua nos indivíduos em depressão. Revista MotriSaúde, 2(1). http://revista.fundacaojau.edu.br:8078/journal/index.php/revista_motrisaude/article/view/187
Hearing, C. M., Chang, W. C., Szuhany, K. L., Deckersbach, T., Nierenberg, A. A. & Sylvia, L. G. (2016). Physical exercise for treatment of mood disorders: a critical review. Current behavioral neuroscience reports, 3(4), 350-359. https://doi.org/10.1007/s40473-016-0089-y
IBGE Brasil. (2019) Programa Nacional de Saúde. Instituto Brasileiro de Geografia e Estatística. [acesso em.: 23 abr. 2021]. 1(1):1– 1. Available from: https://www.gov.br/pt-br
IBGE Brasil. (2015) Prática da Atividade Física. Instituto Brasileiro de Geografia e Estatística. [acesso em.: 23 abr. 2021]. 1(1):1 – 1. Available from: https://biblioteca.ibge.gov.br/visualizacao/livros/liv100364.pdf
Marinho, S. L. & de Souza, J. A. (2012). Os benefícios da corrida de rua para mulheres. Revista de Iniciação Científica da Universidade Vale do Rio Verde, 1(2). Revista virtual: https://chelso.com.br/site/os-beneficios-da-corrida-para-mulheres/
Mello, M. T. D., Boscolo, R. A., Esteves, A. M. & Tufik, S. (2005). O exercício físico e os aspectos psicobiológicos. Revista Brasileira de Medicina do Esporte, 11, 203-207. https://doi.org/10.1590/S1517-86922005000300010
Palhares, J. M., Bennet, M., Mazzei, L. C. & Bastos, F. C. (2012). Perfil e preferências de praticantes de corrida de rua: um estudo preliminar. Revista Mineira de Educação Física, Viçosa, Edição Especial, 3, 1664-2167. https://emc-src.acidadeon.com/dbArquivos/ACidadeON/20208125233470-perfil-corredor-geral.pdf
Pereira, É. F., Teixeira, C. S. & Santos, A. D. (2012). Qualidade de vida: abordagens, conceitos e avaliação. Revista brasileira de educação física e esporte, 26, 241-250. https://doi.org/10.1590/S1807-55092012000200007