Artículo
Recepción: 13 Octubre 2020
Aprobación: 03 Septiembre 2021
DOI: https://doi.org/10.15517/ri.v31i2.44199
Resumen: Los puentes de tableros de vigas de concreto presforzado son un tipo de puente ampliamente utilizado en la ingeniería peruana, debido a las ventajas que estos puentes representan en la optimización de recursos en las etapas de diseño y construcción. La presente investigación propone expresiones simplificadas en dos direcciones de análisis para calcular el periodo fundamental de vibración del puente y las respuestas sísmicas elásticas tales como el desplazamiento lateral, la fuerza cortante y el momento flector del pilar de mayor demanda sísmica. Estas expresiones se obtienen del análisis sísmico elástico realizado a un conjunto de modelos paramétricos. Como carga sísmica, se utilizaron espectros de diseño sísmico según los mapas de isoaceleraciones especificados en el manual de puentes del Ministerio de transportes del Perú. Inicialmente, se formuló un modelo simplificado que representa los elementos estructurales del puente, luego se identificaron los parámetros que definen su comportamiento sísmico y se generó una familia de casos de modelos paramétricos. Los parámetros más representativos que fueron definidos son: la esbeltez longitudinal (H/B), la esbeltez transversal (H/D), la razón de aspecto de la planta (R/L), el número de tramos (nt), y la máxima aceleración del suelo (PGA). Para validar el modelo simplificado, se compararon las respuestas de interés obtenidas del modelo propuesto con los obtenidos de modelos estructurales refinados realizados en un programa especializado de ingeniería, que incluye los efectos de apoyos comunes y topes sísmicos. Finalmente, las expresiones del método simplificado permiten estimar las respuestas sísmicas con errores menores al 10%.
Palabras clave: Análisis Sísmico, Análisis Paramétrico, Comportamiento Sísmico, Puentes de Concreto, Respuesta Sísmica.
Abstract: Continuous deck bridges of prestressed concrete beams are a type of bridge widely used in Peruvian engineering, due to the advantages that these bridges represent in the optimization of resources in the design and construction stages. The present investigation proposes simplified expressions in two directions of analysis to calculate the fundamental period of vibration of the bridge and the elastic seismic responses of lateral displacement, shear force, and a bending moment of the pier with the highest seismic demand. These expressions were obtained from the elastic seismic analysis carried out on a set of parametric models. As a seismic load, seismic design spectra were used according to isoacceleration maps specified in the bridge manual of the Peruvian Ministry of Transportation. Initially, a simplified model formulated that represents the structural elements of the bridge, then the parameters that define its seismic behavior were identified and a large number of cases of parametric models were generated. The most representative parameters are defined as longitudinal slenderness (H/B), transverse slenderness (H/D), the aspect ratio of the plan (R/L), number of spans (nt), and peak ground acceleration (PGA). To validate the simplified model, results of interest obtained from the proposed model were compared with those obtained from refined structural models carried out in a specialized engineering program, which includes the effects of common supports and seismic stoppers. Finally, the expressions of the simplified method allow estimating seismic responses with errors of less than 10%.
keywords: Concrete Bridges, Parametric Analysis, Seismic Analysis, Seismic Behavior, Seismic Response.
1. Introducción
Es una práctica en la ingeniería peruana elegir como con2215-2652-ri-31-02-038-fig0ción estructural los puentes de tableros continuos de vigas de concreto presforzado, apoyados en la subestructura por medio de dispositivos de apoyo incluyendo un sistema de restricción sísmica, conocidos como topes sísmicos [1].
En el análisis sísmico de este tipo de puentes se suele prescindir de los apoyos comunes del tipo elastoméricos, por presentar un comportamiento no sísmico. En ese sentido, las holguras entre los topes sísmicos y los apoyos están limitados a permitir los movimientos debido a los efectos de la contracción de fragua y fluencia plástica del concreto, con el objetivo de cumplir los requerimientos de servicio y funcionamiento similar a los trabajos de Tegos et al. [2] y Miltoulis et al. [3]. Los topes sísmicos con estas características son denominados activos y tienen la ventaja de uniformizar la acción de las fuerzas sísmicas hacia la subestructura y evitar posibles fallas inadecuadas en la conexión no monolítica.
Respecto a los sistemas de restricción, se ha estudiado la influencia de los topes del tipo llaves de corte de concreto en el comportamiento sísmico de los puentes, según el nivel de peligro sísmico y tipo de suelo [4]. Por otra parte, los criterios para distribuir la respuesta sísmica hacia la subestructura también dependerán de las rigideces de los pilares, y son de mayor importancia cuando se tienen pilares de alturas elevadas y variables. En estos casos, se analiza la combinación de conexiones rígidas y flexibles entre el tablero y los pilares para mejorar el comportamiento sísmico de los puentes [5]. Los puentes con pilares de diferente altura también se han discutido desde un enfoque comparativo en las normas de diseño de puentes [6]y [7], poniendo especial atención en los criterios de regularidad de los pilares según el trabajo realizado por Guirguis et al. [8], en la que además de discutir los enfoques normativos, también propone criterios de diseño de pilares en condiciones especiales de la sección transversal.
El objetivo de la presente investigación es identificar los parámetros geométricos y físicos que definen las respuestas sísmicas de una familia de puentes adoptados como casos de estudio, en la que se incluye topes sísmicos activos en dos direcciones y se emplean tableros de vigas de concreto presforzado [1].
A partir de los parámetros identificados, se parametrizó la estructura del puente para generar la familia de casos de modelos paramétricos y de esa forma estudiar su comportamiento sísmico. Los modelos paramétricos se formularon de manera analítica con base en un modelo simplificado de masas concentradas considerando varios grados de libertad.
Las normas de puentes [7,9] y [10] especifican varios métodos de análisis sísmico de acuerdo con la zona sísmica, regularidad y nivel operacional. Para el estudio sísmico del tipo de puente descrito, se empleó el análisis sísmico por superposición modal espectral. Este análisis dinámico se realizó en los modelos obtenidos de la combinatoria de parámetros previamente definidos.
Finalmente, se obtuvieron expresiones simplificadas para estimar la respuesta sísmica de puentes carreteros de geometría regular de cualquier longitud, en dos direcciones de análisis. Las respuestas de interés elegidas fueron el periodo fundamental de vibración de la estructura, el desplazamiento lateral, la fuerza cortante, y el momento flector del pilar con mayor demanda sísmica. Los resultados del método simplificado permiten obtener un diseño sísmico preliminar de la estructura de manera rápida y confiable [1].
2. Tipo de estructura
2.1 Características geométricas
En la Figura 1(a) se muestra la geometría en elevación longitudinal y transversal del grupo representativo de puentes reales de la Tabla 1, además de incluir anotaciones de las partes de la estructura. Los elementos del puente están conformados por vigas de concreto presforzado tipo AASTHO de sección I y por pilares de concreto armado tipo sección martillo. La continuidad del tablero se realiza durante la etapa constructiva del vaciado de losa para el caso de vigas prefabricadas.
Una amplia investigación experimental realizado por Sritharan et al. [11], proporciona opciones de conexión convencionales y no convencionales entre las vigas prefabricadas y la viga cabezal a fin de dar continuidad al tablero. Se ha estudiado también los mecanismos de transferencia de fuerzas para la continuidad de los elementos desde un enfoque sísmico.
En la presente investigación se empleó un esquema estructural de puentes de conexiones no rígidas entre el tablero y la subestructura por medio apoyos comunes no sísmicos y un sistema de restricción sísmico activo. Este último elemento, transfiere la fuerza sísmica hacia la subestructura y permite prescindir de los apoyos en el análisis sísmico, además se considera al tablero continuo en todo su tramo.

La Tabla 1 muestra las variables y dimensiones de la geometría de un grupo de diez puentes reales con diferentes anchos del tablero (R), la razón entre estas variables permitirá definir un rango de valores para los parámetros geométricos. Los tableros de mayor y menor sección transversal están conformados por cinco y seis vigas respectivamente con distintas geometrías de acuerdo con la longitud de tramo. Además, estos consideran la circulación de dos carriles vehiculares para diferentes anchos de berma, veredas y barandas (Figura 3).

2.2 Formulación del modelo simplificado (Ms)
A partir de la matriz de rigidez del elemento tipo viga-columna tridimensional expresado en sus ejes locales (Figura 2) y empleando el criterio de masas concentradas en los extremos. Se elaboró la matriz de rigidez lateral y de masas de la estructura del modelo Ms del puente como se muestra en la Figura 1(b), teniendo en cuenta las condiciones de borde de los pilares y el tablero.

Las principales hipótesis de la formulación del modelo Ms fueron las siguientes: (a) se asumió un comportamiento elástico lineal para el concreto y el material de los topes sísmicos tipo llaves de corte o barras de acero, (b) se consideró las inercias efectivas de los pilares del puente de acuerdo a la norma AASHTO LRFD [7], (c) el tablero del puente presenta una gran rigidez axial debido a sus propiedades geométricas de la sección transversal, (d) los pilares están empotrados en su base, (e) no se ha considerado la carga viva estándar del camión de diseño especificado por la norma AASHTO LRFD [7] como parte de la masa sísmica porque se ha asumido el caso de un puente denominado carretero por ubicarse fuera del área urbana, (f) el puente experimenta la misma aceleración sísmica en las bases de todos los pilares, (g) se ha prescindido de los elementos de apoyo comunes en la formulación del modelo simplificado y en el análisis sísmico del estudio, porque estos elementos suelen ser diseñados por combinaciones de cargas de gravedad y de servicio, y no frente a solicitaciones sísmicas.
Respecto a la última hipótesis del modelo Ms, Wang et al. [12] también ignora la capacidad de los apoyos comunes y recomienda considerarlos como elementos fusibles para que puedan fallar frente a un evento sísmico por tener una baja resistencia frente a cargas laterales. De esa manera los apoyos son remplazados garantizando la estabilidad del tablero. Así mismo, la investigación sugiere estudiar la influencia del coeficiente de fricción a deslizamiento y los modos de falla deseable en el diseño sísmico.
Por otra parte, la capacidad de los apoyos podría ser considerada en el análisis sísmico previa validación de sus propiedades mecánicas por medio de ensayos y controles de calidad. Similar a los ensayos realizados en las combinaciones de apoyos y barras de acero usados en las conexiones de puentes chilenos [13].
De las consideraciones descritas, es posible plantear de forma analítica la matriz de rigidez lateral mediante el procedimiento de condensación estática y matriz de masas concentradas en dos direcciones de análisis para la estructura del puente (Figura 1b). Estas matrices son del orden del número de tramos. Además, se utilizó los conceptos de vibración de sistemas estructurales y sus respuestas a excitaciones sísmicas [14].
2.3 Análisis paramétrico
Es posible definir parámetros geométricos y sísmicos que representen a la estructura del puente, y que además permitan estudiar la influencia de estos parámetros en el comportamiento sísmico de la estructura.
Se asignaron convenientemente valores a los parámetros geométricos de interés (Tabla 2) a partir de valores obtenidos de la relación entre las variables geométricas de un grupo representativo de diez puentes reales mostrados en la Tabla 1. Los parámetros se definieron como: HD - esbeltez longitudinal del pilar H/D, HB - esbeltez transversal del pilar H/B, RL - razón de aspecto en planta de un tramo R/L, nt - número de tramos del puente.
La combinatoria de los parámetros asignados en la Tabla 2 generó una familia equivalente a 640 casos de estudio de modelos de análisis de puentes definidos paramétricamente, agrupados en dos tipos tablero según el ancho de la losa (Figura 3).


Se emplearon dos valores de la máxima aceleración sísmica del suelo (PGA) como parámetro sísmico para generar los espectros de diseño sísmico elástico, los cuales fueron elaborados de acuerdo con la metodología de construcción de espectros de diseño [7] y el mapa de isoaceleraciones proporcionado por el Manuel de Puentes [10].
3. Análisis de la sensibilidad
Se ha desarrollado modelos refinados (Mco) para los puentes de la Tabla 1, en estos se consideró la sección compuesta de viga-losa del tablero y la geometría del pilar tipo sección martillo como elementos bidimensionales discretizados en diez partes iguales. Las condiciones de borde en los extremos del tablero fueron de apoyo fijo para la dirección transversal y apoyo móvil para la dirección longitudinal, y de base fija en la parte inferior de los pilares. Además, se ha definido propiedades de restricción con referencia de ejes globales similares a la Figura 1 b, que conecta el nudo de la parte superior del pilar y el nudo que une dos tramos adyacentes del tablero con las siguientes características: (a) la restricción de traslación en “X”, “Y” compatibilizan los desplazamientos horizontales y permiten transmitir las fuerzas sísmicas hacia los pilares, este efecto es producido por los topes sísmicos activos, (b) la restricción vertical “Z” se da por los apoyos comunes instalados sobre la viga cabezal en volado del pilar, como una conexión no rígida entre el tablero y los pilares, (c) la restricción a la rotación en “X” es porque el tablero no gira alrededor de su eje longitudinal al ser restringido por el par de apoyos ubicados debajo de las vigas exteriores del tablero cuando el análisis es en la dirección transversal, (d) no se ha restringido la rotación en “Y” porque la conexión entre los pilares y el tablero no es rígida, (e) no se ha restringido la rotación en “Z” porque el giro del tablero frente a un evento sísmico no supera a la holgura al giro que existe entre los topes y la viga diafragma que une dos tramos adyacentes del tablero.
Se ha considerado todos los efectos de deformaciones de flexión, corte y torsión para los elementos estructurales de los puentes empleando Mco. Para el modelo Ms sólo ha sido considerado los efectos de las deformaciones de flexión para los pilares y las de corte más flexión para los tableros. Estas consideraciones están referidos a los puentes de la Tabla 1.
Según Priestley et al. [15], las deformaciones por corte podrían ser significativas cuando la relación del momento flector máximo y la fuerza cortante en el pilar, M/V, es menor a tres veces el lado del pilar. Para el caso particular de los pilares de los diez puentes pertenecientes a la primera familia de casos reales, estos son controlados principalmente por los efectos de la flexión.
El planteamiento del modelo Ms, ha seguido la recomendación del Caltrans [16] que señala reducir a 80% el área bruta sometida a deformaciones por corte. Este planteamiento incide en el cálculo de la rigidez del tablero en la dirección transversal.
A partir los criterios de la dinámica de estructuras [14] , fue posible evaluar las características dinámicas de los puentes representativos descritos en la Tabla 1 empleando Ms. El objetivo de elaborar Mco fue comparar los resultados obtenidos de estos modelos con los de Ms, y de esa manera validar este último. Los resultados de interés son los periodos de vibración de los puentes y las respuestas máximas de desplazamiento lateral, fuerza cortante y momento flector en las dos direcciones de análisis.
Como carga sísmica se usaron dos valores de espectros de diseño sísmico elástico característicos de las zonas de alta sismicidad de la costa peruana, que corresponden a valores de PGA de 0.50×g y 0.40×g (2215-2652-ri-31-02-038-fig0 4). Estas cargas se aplicaron al primer y segundo grupo de cinco puentes de la Tabla 1 respectivamente empleando los dos modelos estructurales Ms y Mco.
3.1 Espectro de diseño sísmico
Los espectros de diseño sísmico elástico fueron elaborados según las especificaciones de las normas [7,10] y se ha adoptado un suelo rígido de clase de sitio tipo D.

3.2 Validación del modelo propuesto
En las Tabla 34se resumen los resultados obtenidos de Ms y Mco. En estas se muestra el cálculo de los errores calculados respecto a Mco, modelo que representa apropiadamente las características dinámicas de los puentes definidos con una geometría regular y proporciona resultados a fin de diseñar los pilares.
Los errores máximos absolutos fueron del orden de 10.33% en el cálculo de periodos fundamentales de vibración, 18.36% en los desplazamientos laterales máximos de pilares, 18.57% y 14.56% para las fuerzas cortantes y los momentos flectores en la base del pilar. Desde el punto de vista ingenieril y para propósitos estimativos, estos errores son considerados aceptables por ser menores a 20%.
La validación de Ms permitió analizar de manera efectiva, empleando este modelo, la gran cantidad de modelos paramétricos generados en la segunda familia de casos (Tabla 2).
Así mismo, Ms fue utilizado para deducir y plantear las expresiones simplificadas para estimar las respuestas sísmicas de los puentes de cualquier longitud.


4. Método Simplificado
Es común plantear un esquema estructural de puentes con geometría regular de pilares y de conexión no rígida con la subestructura. Para estos casos, el método simplificado propuesto tiene como objetivo establecer expresiones simplificadas como herramienta práctica de diseño sísmico en la industria de puentes de concreto armado. Utilizando estas expresiones se puede calcular los periodos fundamentales de vibración de la estructura y las respuestas sísmicas del pilar más solicitado sísmicamente (en tramos pares se refiere al pilar central, y en tramos impares se refiere a los dos pilares centrales). Además, las expresiones consideran geometrías reales de vigas I tipo AASHTO de concreto presforzado, con base en información recopilada de proyectos diseñados y construidos según las técnicas y requerimientos de las estructuras de concreto postensado.
A partir del análisis de los resultados de los 640 modelos paramétricos especificados en la Tabla 2, y la validación del modelo simplificado, se formularon las expresiones que dependen de los parámetros geométricos y sísmicos. El estudio permite establecer tales expresiones en función de los parámetros descritos, similar a lo realizado en la investigación de una estructura no convencional [17], definida como aquella que no corresponde a la estructura de un edificio.
La presente investigación permite estimar el periodo fundamental de vibración del puente en la dirección longitudinal del eje X y transversal del eje Y (Fugura 1 a), y las respuestas sísmicas elásticas de desplazamiento lateral, fuerza cortante y momento flector del pilar en dos direcciones de análisis de acuerdo con los ejes de referencia de la 2215-2652-ri-31-02-038-fig0 5.

Las ecuaciones están expresadas para proporcionar resultados en el sistema de unidades Internacional (SI) y los valores de parámetros y variables se reemplazan de manera adimensional. Además, las expresiones solo son válidas para dos tipos de anchos de tableros ( Figura 3) y tomando en cuenta el rango de valores que puede adoptar cada parámetro tal como se muestra en la Tabla 2 .
La metodología para obtener las Ecs. (1) a (8) se deducen de los criterios de la dinámica de estructuras. Las ecuaciones para la dirección longitudinal se derivan de principios básicos al emplear un modelo de un grado de libertad (1gdl) considerando la rigidez lateral proporcionado por los pilares y la masa sísmica respectiva en esta dirección. Las ecuaciones para la dirección transversal se proponen al emplear modelos de varios grados de libertad (vgdl) tipo pórtico, en la que se incluye la rigidez lateral de los pilares y del tablero, y las expresiones propuestas en esta dirección considera el efecto de la distribución de fuerzas y el comportamiento sísmico de puentes de corta, mediana y larga longitud debido al efecto del parámetro nt y R/L. Los modelos mencionados son aplicables para el esquema estructural del puente adoptado como caso de estudio que presenta una geometría regular. Además, las propiedades de rigidez y masa sísmica fueron planteadas de forma paramétrica para ambas direcciones de análisis.
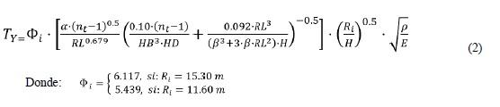
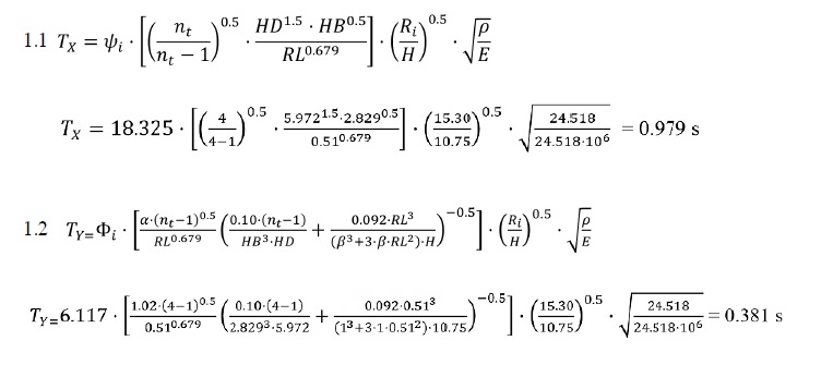
4.1 Periodos fundamentales de vibración (T x , T y)
Dirección longitudinal

Dirección transversal

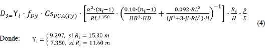
4.2 Desplazamientos laterales máximos del pilar ( D2, D3)
Dirección longitudinal del eje 2

Dirección transversal del eje 3

4.3 Fuerzas cortantes máximas del pilar (V_2, V_3)
Dirección longitudinal del eje 2

Dirección transversal del eje 3

4.4 Momentos flectores máximos del pilar (M2 , M3)
Alrededor de la Dirección transversal del eje 3

Alrededor de la Dirección longitudinal del eje 2

Donde
El momento flector de la Ec. (7) se calculó respecto al eje local 3 y el momento flector de la Ec. (8) se calculó respecto al eje local 2 (Figura 5 ).
En las Ecs. (5) a (8) los coeficientes sísmicos elásticos y son calculados a partir del espectro de diseño definido por el parámetro sísmico PGA y el periodo fundamental de vibración en cada dirección de análisis.
Las variables geométricas y propiedades físicas son: – la densidad del concreto ( ), – el módulo de elasticidad de Young ), – la altura del pilar ( ), - el ancho según tipo de tablero ( ) (Figura 3 ).
Las variables auxiliares α, β, para las Ecs. (2,4,6,8) se eligen de acuerdo con la Tabla 5.

Los resultados obtenidos usando las Ecs. (1) a (8) del método simplificado no exceden el 10% de error absoluto para estimar las respuestas sísmicas elásticas (Tabla 6).

En puentes de corta y mediana longitud con nt=2 y nt=3 respectivamente, y con valores de R/L entre 0.765 y 0.580 según la Tabla 1, las fuerzas sísmicas en la dirección transversal se distribuyen principalmente hacia los estribos por medio del tablero, que presenta una gran rigidez respecto a los pilares, estos resultados se pueden apreciar en la Table 6 en la cual las fuerzas en los pilares son de menor magnitud y tienen una variación significativa cuando nt se hace variable en valores menores a 3.
5. Ejemplo ilustrativo
El siguiente ejemplo muestra cómo se emplean las expresiones del método simplificado para estimar las respuestas sísmicas de interés.
Datos del análisis símico
Se proyecta un puente de aproximadamente 120 m de longitud total con barreras divisorias entre la pasarela peatonal y la calzada del tablero (tablero tipo 1) para dos carriles vehiculares. El puente se ubica en la costa peruana en la Región Piura.
Resumen de datos: PGA = 0.5 g; tramo del puente = 30 m; número de tramos = 4; ancho del tablero = 15.30 m; altura de pilares = 10.75 m; lados del pilar = 3.80 m y 1.80 m.
Cálculo de parámetros geométricos
Características geométricas y físicas:

Parámetros geométricos:

Determinación de respuestas
Variables auxiliares

1. Periodos fundamentales de vibración – Ecs. (1) y (2).

2. Máximos desplazamientos laterales – Ecs. (3) y (4).

3. Máximas fuerzas cortantes – Ecs. (5) y (6).

4. Máximos momentos flectores – Ecs. (7) y (8).

Conclusiones
La presente investigación consistió en el estudio del comportamiento sísmico elástico de un tipo de puente denominado carretero, mediante modelos definidos paramétricamente. Además, se propone un método simplificado como procedimiento de diseño sísmico preliminar de los elementos estructurales del puente. De esta manera se desprenden las siguientes conclusiones:
Agradecimientos
Los autores agradecen profundamente a la Facultad de Ingeniería Civil de la Universidad Nacional de Ingeniería por el apoyo recibido para el desarrollo de la presente publicación.
Referencias
Rondón, M., “Análisis de la respuesta sísmica de puentes empleando modelos paramétricos”, Tesis para optar el título de ingeniero civil en progreso, Universidad Nacional de Ingeniería, Lima, 2020.
Tegos, I., Tegou, S., Markogiannaki, O., “Seismic Design of Precast I-Beam Bridges Based on Ductility”, Journal Structural Engineering International, 23:2, 176-186., 2013.
Miltoulis, S., Tegos, I., Markogiannaki, O., “Restrain of a seismically isolated bridge by external stoppers”, Bulletin of Earthquake Engineering.Journal Structural Engineering, 8, 973-993., 2010.
Wilches, J.J., Santa María, H., Riddell, R., Arrate, C., “Influence of the use external shear keys on the seismic behavior of Chilean highway bridges”, Journal Engineering Structures, 147, 613-624., 2017.
Manhui, L., Xiaodong, H., Yiyang, H., Zhigang, L., Zhe, N., Zihao, L., “Study on seismic performance of high pier multi-span beam bridge”, IOP Conference Series: Earth and Environmental Science, 446, 052028., 2020.
Comité Européen de Normalisation, EC8 - CEN, “Design of structures for earthquake resistance. Part 2: bridges”, Eur. Com. for stand., EN 1998-2, Brussels, 2005.
AASHTO LRFD, “Bridge design Specifications, 8th Edition”, America Association of State Highway and Transportation Officials, Washington DC, 2017.
Guirguis, J., Mehanny, S., “How Effective Are EC8 and Recommended AAHTO LRFD Criteria for Regular Seismic Behavior of Ductile Bridges with Unequal Height Piers?”, 15th World Conference on Earthquake Engineering. Lisboa, 2012.
AASTHO, “Guide Specifications for LRFD Seismic Bridge Design, 1st Edition”, American Association of State Highway and Transportation Officials, Washington DC, 2009.
MTC, «Manual de Puentes”, Ministerio de Transportes y Comunicaciones, dirección general de caminos y ferrocarriles, Lima, 2018.
Sritharan, S., Cheng, Z., Vander Werff, V., Peggar, R., “New connections for precast girders to cap beams in concrete bridges”, 16th World Conference on Earthquake Engineering. Chile, 2017.
Wang, K., Zhang, P., Yang, J., Li, C., “Seismic Design Method of Small and Medium Spans Bridge Considering Bearing Friction Slipping”, 16th World Conference on Earthquake Engineering. Chile, 2017.
Hube, M. A., Martinez, A., Rubilar, F., “Experimental behavior of elastomeric bearings and sismic bars of simply supported Chilean bridges”, 16th World Conference on Earthquake Engineering. Chile, 2017.
Chopra, A. K., “Dynamics of Structures”, Prentice Hall, Englewood Cliffs, NJ, USA, 1995.
Priestley, M. J. N., Seible, F., Calvi, G. M., “Seismic Design and Retrofir of Bridges”, John Wiley and Sons, Inc. USA, 1996.
Caltrans, “Seismic Design Criteria. Version 2.0”, California Departament of Transportation, Sacramento. USA, 2019.
Fernández-Dávila, V., Dünner, R., Carrión, L., “Simplified Method for Seismic Analysis of Industrial Chimmeys”, ACI Structural Journal, 102, No 3., 2005.