Resumo: Marques-Junior, N.K. (2020). Impacto do soco e do chute dos esportes de combate: uma revisão sistemática. PENSAR EN MOVIMIENTO: Revista de Ciencias del Ejercicio y la Salud, 18(2), 1-28. O objetivo da revisão sistemática foi apresentar o impacto do soco e do chute de alguns esportes de combate. Os artigos foram identificados na internet durante setembro de 2018 a agosto de 2019. A coleta de artigos foi praticada no Google Scholar, no Research Gate e no PubMed. A revisão sistemática teve 19 artigos científicos. O maior impacto de soco do lutador masculino foi o direto do boxe com 4800 ± 601 newtons (N). A lutadora do sexo feminino o maior impacto foi o jab d|o boxe com 1170.7 ± 165.3 N. O impacto do chute no taekwondo feminino (TKD) teve um resultado maior do que tui tchagui com 2490.3 ± 846.2 N e no masculino teve um resultado de maior impacto do bandal tchagui do TKD de 6400 ± 898 N. Em conclusão, o impacto do soco e do chute dos esportes de combate é um conteúdo importante para o atleta conhecer o ataque mais eficaz.
Palavras-chave:esportes de combateesportes de combate,impacto do socoimpacto do soco,impacto de chuteimpacto de chute,luta de competiçãoluta de competição.
Resumen: Marques-Junior, N.K. (2020). Impacto del puñetazo y de la patada en los deportes de combate: una revisión sistemática. PENSAR EN MOVIMIENTO: Revista de Ciencias del Ejercicio y la Salud, 18(2), 1-28. El objetivo de la revisión sistemática fue presentar el impacto del puñetazo y de la patada en algunos deportes de combate. Los artículos fueron recuperados de internet entre septiembre de 2018 y agosto de 2019. La recopilación de los artículos se realizó por medio de Google Scholar, Research Gate y PubMed. La revisión sistemática contó con 19 artículos científicos. El golpe con el puño de mayor impacto, en los luchadores masculinos, fue el golpe recto del boxeo con 4800 ± 601 newtons (N); mientras que, en las mujeres, fue el jab del boxeo con 1170.7 ± 165.3 N. El impacto de la patada del taekwondo femenino (TKD) tuvo un mayor resultado realizando el tchagui con 2490.3 ± 846.2 N y en el sexo masculino tuvo un mayor resultado del impacto realizando la bandal tchagui del TKD con 6400 ± 898 N. En conclusión, el impacto del puñetazo y de la patada de los deportes de combate es un contenido importante para que el atleta conozca el ataque más efectivo.
Palabras clave: deportes de combate, impacto del puñetazo, impacto de la patada, lucha de competencia.
Abstract: Marques-Junior, N.K. (2020). Punch and kick impact in combat sports: a systematic review. PENSAR EN MOVIMIENTO: Revista de Ciencias del Ejercicio y la Salud, 18(2), 1-28. The objective of the systematic review was to present punch and kick impact in some combat sports. The articles were retrieved from Google Scholar, Research Gate, and PubMed between September 2018 and August 2019. The systematic review included 19 scientific articles. The punch with the greatest impact was the boxing straight punch with 4800 ± 601 Newtons (N) in male fighters and the boxing jab with 1170.7 ± 165.3 N in female fighters. The kick with the greatest impact in taekwondo (TKD) was tui tchagui with 2490.3 ± 846.2 N in females and TKD bandal tchagui with 6400 ± 898 N in males. In conclusion, punch and kick impact in combat sports is an important content for athletes to know the most effective attack.
Keywords: combat sports, punch impact, kick impact, competition fight.
Revisión sistemática
IMPACTO DO SOCO E DO CHUTE DOS ESPORTES DE COMBATE: UMA REVISÃO SISTEMÁTICA 1
IMPACTO DEL PUÑETAZO Y DE LA PATADA EN LOS DEPORTES DE COMBATE: UNA REVISIÓN SISTEMÁTICA
PUNCH AND KICK IMPACT IN COMBAT SPORTS: A SYSTEMATIC REVIEW

Recepção: 02 Dezembro 2019
Corrected: 08 Maio 2020
Aprovação: 23 Julho 2020
Publicado: 30 Julho 2020
Aproximadamente em 5000 antes do aniversário de Cristo foi inciado a prática de artes marciais (Souza Junior et al., 2015). As artes marciais como esportes de combate iniciaram na Grécia durante os Jogos Olímpicos da Antiguidade (Bishop, Bounty, & Devlin, 2013). A introdução dos esportes de combate nos Jogos Olímpicos modernos causou difusão dessas lutas pelo mundo (Franchini & Del Vecchio, 2011).
A regra de vários esportes de combate é válido o nocaute. Então é importante o estudo do impacto do soco e do chute porque a melhor biomecânica do ataque causa um maior impacto (Venkatraman & Nasiriavanaki, 2019). Portanto, o maior impacto do ataque tem mais chance de causar um nocaute porque a força do ataque é alto quando bate no oponente.
Quando o técnico estabelece o impacto do ataque é importante para monitorar a nível da força do soco e do chute durante a sessão (Sklyar, 2014). O impacto do ataque do lutador é útil para o treinador classificar o nível competitivo do atleta porque competidores de elite em geral tem maior impacto do ataque do que iniciantes e médios atletas (Estevan, Álvarez, Falco, Molina-García, & Castillo, 2011). Portanto, quando o técnico mensura o impacto do soco e do chute e de outros ataques, é possível de determinar a ação ofensiva com maior e menor impacto do ataque (Cynarski, Wasik, Szymczy, & Vences de Brito, 2018; Gavagan & Sayers, 2017).
Entretanto, até a presente data, nenhuma revisão foi escrita sobre o impacto do soco e do chute dos esportes de combate (Fernandes, Wichi, Silva, Ladeira, & Ervilha, 2011; Hernández González, Sans-Rosell, Jové-Deltell, & Reverter-Masia, 2018). Então, o objetivo da revisão sistemática foi apresentar o impacto do soco e do chute de alguns esportes de combate (taekwondô, karatê, boxe, boxe tailandês e yongmudo).
O artigo seguiu a metodologia da revisão sistemática e meta-análise proposta pela PRISMA (Preferred Reporting Items for Systematic reviews and Meta-Analyses) (Moher, Liberati, Tetzlaff, & Altman, 2009). Os estudos foram identificados em bases de dados eletrônicas durante setembro de 2018 a agosto de 2019. A coleta dos artigos foi realizada no Google Acadêmico, no Research Gate e no PubMed. Nessas bases de dados eletrônicas foram consultadas usando as palavras chaves em inglês punch impact force e kick impact force.
Os artigos incluídos foram selecionados com as seguintes estratégias de pesquisa: (1) participantes (esportes de combate), (2) tipo de tarefa (impacto do soco e do chute) e (3) dados coletados (impacto em newton ou N com valor em número). Os artigos que não tiveram esses três critérios foram excluídos.
Na primeira fase, 4203 pesquisas foram encontradas com as palavras chaves informadas anteriormente. Então, na segunda fase, 102 artigos ficaram no estudo depois das duplicadas serem removidas – um total de 50 artigos excluídos. Os outros artigos excluídos na segunda fase tiveram um impacto em N somente com o gráfico (Halperin, Chapman, Martin, Lewthwaite, & Wulf, 2017; Markovic, Suzovic, Kasum, & Jaric, 2016), alguns artigos de revisão, outros artigos sobre a biomecânica do ataque, estudo do nocaute, o impacto do ataque do robô (Lee & McGill, 2014) e outros temas sobre os esportes de combate que não foram foco da revisão sistemática – um total de 4051 artigos excluídos. Portanto, algumas duplicatas (50 artigos) e mais 4051 artigos deram um total de 4101 artigos excluídos – 4203 artigos foram encontrados – 4101 artigos excluídos = um total de 102 artigos permaneceram na revisão sistemática. Na terceira fase, 102 estudos o autor leu o título e o resumo de cada pesquisa e 34 artigos foram selecionados sobre o impacto do soco e do chute dos esportes de combate. Outras investigações foram excluídas, um total de 68 artigos, porque os estudos não mensuraram o impacto do ataque.
Na quarta fase, o pesquisador leu 34 estudos durante 1 mês e o total de artigos reduziu para 19 estudos com chance de inclusão porque os artigos tinham resultado sobre o impacto do soco e do chute em N. Os 15 artigos científicos foram excluídos dessa quarta fase por não apresentar no texto impacto do soco e do chute do ataque em N somente no gráfico e sem o valor. Também, o autor excluiu o impacto do ataque de outra técnica de ataque, por exemplo, Pinto Neto, Silva, Marzullo, Bolander e Bir (2013) verificou o impacto do ataque de mão aberta do kung fu. Desses estudos, 19 artigos foram incluídos na revisão sistemática (é a 5ª fase e é a última fase). Entretanto, 14 artigos de socos foram selecionados e 7 artigos de chutes foram selecionados, igual a 21 estudos. Mas isso ocorreu porque dois artigos científicos (Buśko et al., 2016; Busko & Nikolaidis, 2018) foram sobre o impacto do soco e do chute. Então, o total da quantificação foi de 19 artigos científicos. Os detalhes da estratégia completa da coleta dos estudos foram listados em um diagrama de fluxo PRISMA, como mostrado na figura 1.

O autor usou a escala de Galna, Peter, Murphy e Morris (2009) para a avaliação da qualidade dos estudos. Essa escala tem perguntas sobre o artigo e o pesquisador determinou o ponto (0 a 1) das 13 questões. A pontuação da escala de Galna et al. (2009) é estabelecida de 0 a .59 é baixo, .60 a .80 é médio e .81 a 1 é alto. Quando o artigo tem menos de 0.60 pontos conforme a avaliação do autor com a escala de Galna et al. (2009) foi considerado de baixa qualidade e foi excluído da revisão sistemática, mas isso não ocorreu. A tabela 1 mostra como o autor analisou cada artigo.
O autor calculou o impacto relativo (IR) com uma divisão – IR = impacto do soco ou do chute em Newton: massa corporal total em quilogramas = percentual. Determinar o IR é importante porque isso possibilita de verificar o impacto do ataque do atleta de diferentes categorias de peso alta qualidade e 8 estudos com média qualidade.
A avaliação dos artigos com a escala de Galna et al. (2009) foram estabelecidas de 11 artigos com alta qualidade e 8 estudos com média qualidade. A tabela 1 apresenta esses resultados.

A numeração de 1 a 13 são as questões da Escala de Galna et al. (2009): 1. Objetivo do estudo ou questões estabelecidos claramente (Critério de Ponto: 1 – sim; 0.5 – sim, falta detalhes ou clareza; 0 – não); 2. Detalhe dos participantes (número, idade, sexo, estatura, peso) (Critério de Ponto: 0 a 1); 3. Descrição da seleção da amostra (Critério de Ponto: 1 – sim; 0.5 – sim, falta detalhes ou clareza; 0 – não); 4. Detalhe dos critérios de inclusão e exclusão (1 – sim; 0.5 – sim, falta detalhes ou clareza; 0 – não); 5. Covariáveis controladas (0 a 1); 6. Resultados principais claramente descritos (1 – sim; 0.5 – sim, falta detalhes ou clareza; 0 – não); 7. Metodologia adequada para o estudo ser reproduzido (amostragem dos participantes, equipamento, procedimento, processamento dos dados, estatística) (0 a 1); 8. Metodologia capaz de responder as questões do estudo (amostragem dos participantes, equipamento, procedimento, processamento dos dados, estatística) (1 – sim; 0 – não); 9. Confiabilidade da metodologia foi determinada (1 – sim; 0 – não); 10. Validade interna da metodologia foi determinada (1 – sim; 0 – não); 11. Questões da pesquisa foram respondidas adequadamente na discussão (1 – sim; 0 – não); 12. As principais descobertas foram apoiadas nos resultados (1 – sim; 0 – não); 13. Os principais resultados foram interpretados de uma maneira lógica e apoiados na literatura (1 – sim; 0 – não). Qualidade dos Estudos: 0 a .59 é baixo, .60 a .80 é médio e .81 a 1 é alto.
A tabela 2 resumo dos 19 estudos selecionados. Mas é bom lembrar que dois artigos (Buśko et al., 2016; Buśko e Nikolaidis, 2018) tiveram impacto do soco e do chute por esse motivo o leitor observou 21 estudos na tabela 2.







O impacto do soco do lutador de boxe masculino sem informação da técnica efetuada teve três estudos. Bingul, Bulgan, Tore, Aydin e Bal (2017) detectaram durante a postura esquerda (1987.42 ± 341.95 N) versus a postura ortodoxa (1616.96 ± 432.92 N) uma diferença estatística no impacto do soco (p ≤ .05). Walilko, Viano e Bir (2005) evidenciou diferença estatística (p ≤ .02) em várias comparações das categorias por peso, detalhes na figura 2B. Essas categorias por peso tiveram um impacto do soco entre 1990 a 4741 N. Atha, Yeadon, Sandover e Parsons (1985) identificaram 4096 N do impacto do soco do lutador de boxe profissional Frank Bruno e 6320 N foi a força estimada do soco desse lutador na cabeça de um ser humano. A figura 2A apresenta o mínimo e máximo do impacto do soco do boxe e a figura 2B mostra o impacto do soco de quatro categorias por peso.

(A) Impacto do soco do lutador de boxe. (B) impacto do soco do boxe por categoria de peso.
Fonte: ilustrações elaboradas pelo autor baseado nos dados de (Atha et al., 1985; Bingul et al., 2017; Walilko et al., 2005).O impacto do soco com a técnica mencionada teve 11 estudos, detalhes na tabela 2. O tipo de impacto do soco teve um total de 5 estudos de boxe (Buśko et al., 2016; Dunn, Humberstone, Iredale & Blazevich, 2019; Loturco et al., 2016; Touguinho, 2014; Turner, Baker, & Miller, 2011), 4 artigos de karatê (Cruz, Nagata, & Livramento, 2014; Souza & Marques, 2017; Venkatraman & Nasiriavanaki, 2019; Todeschini Viero, 2012), 1 estudo de taekwondô (Buśko & Nikolaidis, 2018) e 1 artigo com vários esportes de combate (Gulledge & Dapena, 2008). Os karatecas fizeram dois tipos de socos, o gyaku zuki é um soco com rotação do tronco com a mão de trás da guarda com o lutador na base zenkutsu dachi. Os lutadores de taekwondô efetuaram duas técnicas de soco, o baro jirugui é um soco com rotação do tronco com a mão de trás da guarda e o jirugui cruzado é um soco semicircular com o braço da frente da guarda. A figura 3A é o máximo impacto do soco masculino e a 3B é o máximo impacto do soco feminino. Esses valores são a média mais elevada do impacto do soco de cada esporte de combate.

O impacto do chute foi estudado em três técnicas, o chute frontal (mae geri), o chute semicircular (bandal tchagui, mawashi geri, e chute lateral) e o chute de costas (tui tchagui). O mae geri no artigo o karateca praticou o chute frontal com a perna de trás da base. O bandal tchagui do taekwondô (TKD), o mawashi geri do karatê e o chute lateral do boxe tailandês são chutes semicirculares com a perna de trás da base ou com a perna da frente da base. O tui tchagui o lutador pratica um giro de 180º e depois faz o chute de costas olhando por cima do ombro.
Somente a investigação de Buśko et al. (2016) estudou o impacto do chute feminino. Os pesquisadores mensuraram das lutadoras de TKD o impacto do tui tchagui, o impacto do bandal tchagui com a perna da frente da base e o impacto do bandal tchagui com a perna de trás da base. O estudo detectou diferença estatística do bandal tchagui com a perna da frente da base versus o bandal tchagui com a perna de trás da base (p ≤ .001), tendo tamanho do efeito alto de .81. A figura 4 ilustra esse resultado.

Os outros estudos sobre o chute foram sobre o lutador masculino. Gavagan e Sayers (2017) determinaram o impacto do chute semicircular de três esportes de combate (boxe tailandês praticou o chute lateral, karatê praticou mawashi geri e TKD praticou o bandal tchagui). O resultado do estudo foi conforme a especificidade da luta porque o TKD teve maior impacto do chute semicircular, o chute é prioridade nesse esporte de combate. Entretanto, essas comparações entre cada chute semicircular conforme a luta não tiveram diferença estatística (p > .28). A figura 5 apresenta esse resultado.

O impacto do chute com a técnica mencionada foi de 7 estudos, detalhes na tabela 2. O tipo de impacto do chute teve um total de 1 estudo do karatê (Cynarski et al., 2018), 1 artigo de três lutas (boxe tailandês, karatê e TKD) (Gavagan & Sayers, 2017), 1 estudo de duas lutas (TKD e yongmudo) (O`Sullivan et al., 2009) e 4 artigos do TKD (Buśko et al., 2016; Buśko & Nikolaidis, 2018; Estevan et al., 2011; Falco et al., 2009). Os resultados da figura 6 são a média mais elevada do impacto do chute de cada esporte de combate.

Os dados da figura 2B foram passados para impacto relativo. Então, o impacto relativo do soco do boxe masculino conforme a categoria por peso foi apresentado em ordem crescente na figura 7.

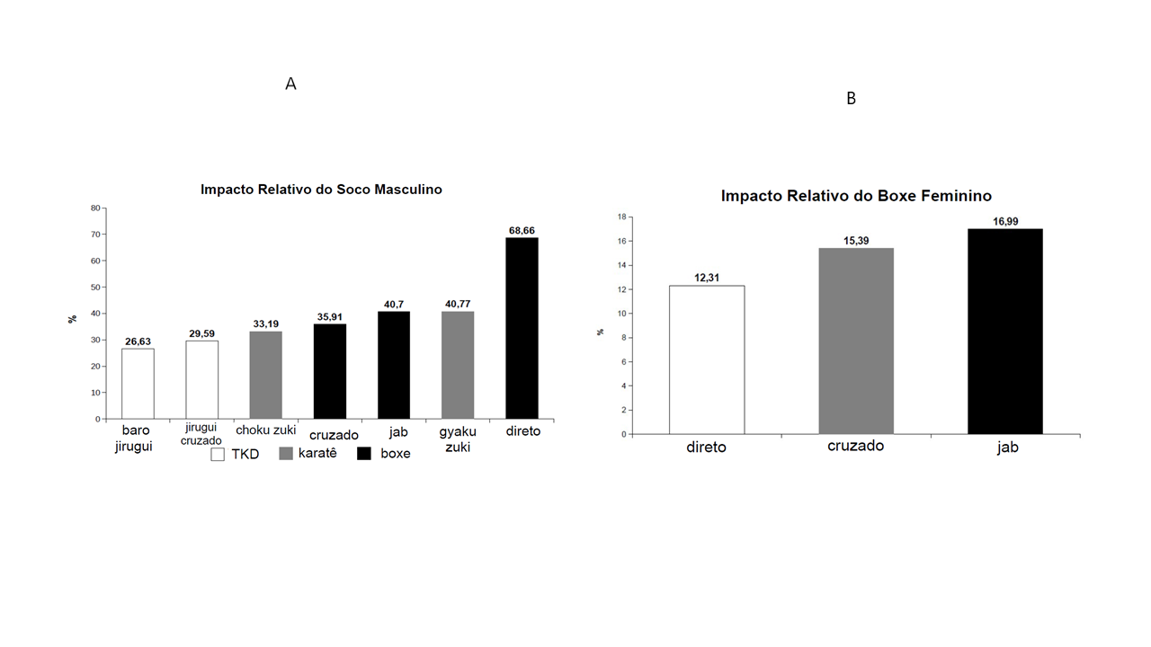
Os dados da figura 3A e 3B foram passados para impacto relativo. Então, 7 tipos de soco com impacto relativo masculino estão na figura 8A e 3 tipos de soco do boxe com impacto relativo feminino estão na figura 8B, eles foram apresentados em ordem crescente.

Os dados da figura 4 a 6 foram passados para impacto relativo. Então, os 3 tipos de chute com impacto relativo feminino estão na figura 9A e os 6 tipos de chute com impacto relativo masculino estão na figura 9B, eles foram apresentados em ordem crescente.

O mais alto impacto absoluto do soco foi do super pesado do boxe e esteve conforme a 2ª Lei de Newton (Força = massa em quilogramas . aceleração em metros por segundo = resultado em Newton, N), mas a expectativa era de um menor impacto do soco do peso mosca, mas ele atingiu o 2º melhor impacto do soco, seguido do peso meio leve e finalmente o peso médio – veja a figura 2B (Walilko et al., 2005). Entretanto, o peso mosca atingiu o 2º melhor impacto absoluto do soco e 1º valor do impacto relativo do soco. Então, essa categoria teve uma melhor performance, mas são necessários mais estudos para essas afirmações serem conclusivas.
O soco com rotação do tronco com a mão de trás da guarda teve um alto impacto, isso ocorreu no soco direto do boxe masculino (Turner et al., 2011) e no gyaku zuki do karatê shotokan (Todeschini Viero, 2012), ver figura 3A. Talvez o maior impacto do soco com rotação do tronco esteja relacionado com a maior velocidade desse ataque que outros tipos de soco. Outra hipótese do maior impacto do soco com rotação do tronco é por causa das características ofensivas das tarefas dessas lutas, elas usam mais soco no combate, os lutadores de boxe utilizam vários sacos de pancada para aumentar a força do soco e os karatecas utilizam soco no makiwara para ter um golpe mais potente. Entretanto, esses resultados merecem estudo para saber o motivo desse ocorrido. O maior impacto do soco feminino foi do jab (ver figura 3B) (Buśko et al., 2016; Loturco et al., 2016), mas razão disso não foi encontrado na literatura (Buśko, 2019; Markovic et al., 2016).
O impacto relativo do soco teve o mesmo resultado do impacto absoluto do soco – ver figura 3A e 8A, o maior impacto foi do direto do boxe (Turner et al., 2011) e em segundo foi o gyaku zuki do karatê shotokan (Todeschini Viero, 2012). Esse resultado foi do lutador masculino. Outro similar resultado ocorreu no soco feminino do boxe, o impacto relativo teve o mesmo resultado do impacto absoluto, o mais alto impacto foi do jab, em segundo foi do cruzado e em terceiro foi o direto (Buśko et al., 2016; Loturco et al., 2016) – ver figura 3B e 8B.
O karatê e o TKD os atletas praticam o soco e/ou o chute com kiai para o ataque ter mais energia e consequentemente o resultado da força do soco e/ou do chute ser maior e proporcionar um mais elevado impacto dessa tarefa ofensiva (Nakayama, 2012; Ohnishi & Onishi, 2008; Tanaka, 2001). Masic (1987) evidenciou que o gyaku zuki com kiai foi de 21.91 a 40.70 N e sem kiai foi de 22.60 a 35.07 N. Então, isso foi uma significativa limitação das pesquisas do impacto do soco e esse tema merece mais estudos.
O TKD feminino teve mais alto impacto do tui tchagui e em segundo ficou o bandal tchagui com a perna de trás da base (Buśko et al., 2016) – ver figura 4. Esses resultados foram maiores do que o chute lateral (yeop tchagui) do lutador de TKD masculino com 1120 N (Wasik, 2011). O impacto relativo apresentado na figura 9A do tui tchagui e do bandal tchagui foi maior do que (Buśko et al., 2016) o impacto relativo do chute lateral masculino de 14.93% (Wasik, 2011). Portanto, o tipo de chute está relacionado com o impacto do chute, mas são necessárias mais pesquisas para essa informação ser conclusiva.
O bandal tchagui do TKD masculino com a perna de trás da base teve maior impacto do que com a perna da frente da base do mesmo chute (p≤0.05) (Buśko et al., 2016; Buśko & Nikolaidis, 2018) – ver tabela 2. O impacto relativo do bandal tchagui com a perna de trás foi de 30.92 a 33.26% e da perna da frente foi de 18 a 19.36%. Esse resultado do impacto relativo foi similar ao do impacto absoluto – ver figura 2. Essa informação é importante durante o combate porque o lutador precisa priorizar o chute com a perna de trás da base no momento da disputa ou da luta real. A razão do maior impacto com a perna de trás da base é porque o chute é praticado com maior velocidade linear (Marques Junior, 2015). Outra informação importante sobre o bandal tchagui, esse chute tem mais impacto no tronco do que no rosto (p>0.05) (O`Sullivan et al., 2009) – ver tabela 2. O mesmo foi evidenciado no impacto relativo (tronco com 89.41 a 95.66% e rosto com 76.57 a 81%). O maior impacto no tronco é porque o chute é praticado com maior velocidade linear (Marques Junior, 2011; 2015).
O técnico mensurar o impacto do ataque é uma importante tarefa para os esportes de combate que necessitam de bom soco e/ou chute durante a luta. Entretanto, nem sempre é possível do treinador ter equipamento altamente sofisticado para mensurar o impacto do ataque. Depois do técnico filmar o soco e/ou o chute no saco de pancada e/ou no makiwara, ele precisa usar o software Kinovea® (http://www.kinovea.org) para determinar a velocidade linear em metros por segundo (m/s) e o tempo do ataque segundos (s), para estabelecer o impacto do ataque com um cálculo matemático. Marques Junior e Silva Filho (2013) apresentam essa equação: Impacto do Ataque = [(massa corporal total em quilogramas . (velocidade linear máxima em metros por segundo)2]: [2 . tempo do ataque em segundos] = resultado em Newton.
A revisão sistemática teve limitações, foram encontrados poucos artigos (n = 19) sobre o impacto do ataque. Então, os pesquisadores precisam de conduzir mais estudos sobre esse tema. Outra limitação dos estudos do impacto do soco e do chute é que utilizaram diferentes equipamentos e com diferentes padrões para coletar os dados do ataque do lutador. Então, os pesquisadores precisam padronizar o equipamento e a posição inicial para o atleta fazer o ataque durante a coleta dos dados.
A revisão sistemática detectou do soco e do chute o impacto absoluto e o impacto relativo. Entretanto, esse estudo não informou o impacto de todas as técnicas do soco e do chute das lutas estudadas (taekwondô, karatê, boxe, boxe tailandês e yongmudo). Então, os cientistas precisam praticar estudos sobre esse tema. Para futuras pesquisas sobre o impacto do soco e do chute dos esportes de combate é necessário investigar a relação entre o nível do impacto do ataque e a quantidade de vitórias na luta. Em conclusão, o impacto do soco e do chute dos esportes de combate é um importante conteúdo para o atleta conhecer o ataque mais eficaz.










(A) Impacto do soco do lutador de boxe. (B) impacto do soco do boxe por categoria de peso.
Fonte: ilustrações elaboradas pelo autor baseado nos dados de (Atha et al., 1985; Bingul et al., 2017; Walilko et al., 2005).





