Investigación descriptiva, correlacional o cualitativa

Recepción: 30 Abril 2023
Corregido: 29 Agosto 2023
Aprobación: 27 Octubre 2023
Publicación: 30 Noviembre 2023
DOI: https://doi.org/10.15517/pensarmov.v21i2.54959
Resumen: Las ecuaciones de frecuencia cardiaca máxima (FCmax) se han utilizado por su fácil obtención y practicidad, en comparación con las pruebas de esfuerzo. Sin embargo, la ecuación más conocida “220 − edad” presenta baja fiabilidad y desviaciones de hasta 12 lat/min. Se han planteado nuevas fórmulas, pero estas no han sido correctamente validadas. El propósito de este estudio fue validar 7 ecuaciones de predicción utilizando una base de datos independiente. Se utiliza una base con datos de 634 sujetos (474 hombres y 160 mujeres) de 18-85 años, que fueron obtenidos como parte de un servicio de salud desarrollado en la Universidad de Michigan entre 1990-1992. Los sujetos realizaron una prueba de VO2max en banda sin fin, siguiendo un protocolo libre. Se utilizó la técnica de regresión lineal, en la que las ecuaciones adecuadas fueron aquellas que cumplieron con las dos hipótesis: pendiente = 1 y constante = 0. De acuerdo con los resultados, ninguna de las ecuaciones analizadas para toda la muestra aceptó ambas hipótesis. Al realizar el análisis de acuerdo con el sexo, seis de las ecuaciones cumplieron con las dos hipótesis para las mujeres, pero ninguna para los hombres; y, cuando se realizó de acuerdo con el grupo de edad, 4 de las ecuaciones cumplieron las hipótesis para el grupo de personas de 40 años o menos, pero no para el grupo de mayores de 40 años. La FCmax parece ser difícil de predecir por una única ecuación, por lo que se recomienda que, cuando se necesite una medida válida de esta variable, se recurra a una prueba directa.
Palabras clave: pruebas de ejercicio, pruebas de esfuerzo, salud.
Abstract: Maximum heart rate equations (HRmax) have been used due to their easy availability and practicality, as compared to stress tests. However, the best-known equation, “220 – age”, shows low reliability and deviations of up to 12 beats/min. New formulae have been proposed, but they have not been correctly validated. The purpose of this study was to validate 7 prediction equations by using and independent data base. A data base of 634 subjects (474 men and 160 women) from 18–85 years of age, obtained within a health service developed at the University of Michigan from 1990–1992, has been used. The subjects performed a VO2max test in a treadmill, following a free protocol. A linear regression technique was used in which the appropriate equations were those that met the two hypotheses: slope = 1 and constant = 0. According to the results, none of the equations analyzed for the full sample accepted both hypotheses. When doing the analysis by sex, six of the equations met the two hypotheses for the women, but none of them for the men; and when the analysis was done by age group, 4 of the equations met the hypotheses for the group 40 years old or younger, but not for those above 40. The HRmax seems to be difficult to predict through a single equation. Therefore, it is recommended that, when a valid measure for this variable is needed, a stress test be used.
Keywords: exercise tests, stress tests, health.
Resumo: As equações de predição da frequência cardíaca máxima (FCmax) têm sido utilizadas devido à sua facilidade de obtenção e praticidade, quando comparadas aos testes de esforço. No entanto, a equação mais conhecida "220 − idade" apresenta baixa confiabilidade e desvios de até 12 batimentos/min. Foram propostas novas fórmulas, entretanto não foram devidamente validadas. O objetivo deste estudo foi validar 7 equações de predição usando um banco de dados independente. Utiliza-se um banco de dados de 634 indivíduos (474 homens e 160 mulheres) com idades entre 18 e 85 anos, obtidos como parte de um serviço de saúde desenvolvido na Universidade de Michigan entre 1990-1992. Os sujeitos realizaram um teste de VO2máx em uma esteira, seguindo um protocolo livre. Utilizou-se a técnica de regressão linear, na qual as equações apropriadas foram aquelas que preencheram as duas hipóteses: inclinação = 1 e constante = 0. De acordo com os resultados, nenhuma das equações analisadas para toda a amostra aceitou ambas as hipóteses. Ao realizar a análise por sexo, seis das equações atenderam às duas hipóteses para as mulheres, mas nenhuma para os homens; e, quando realizadas de acordo com a faixa etária, 4 das equações atenderam às hipóteses para o grupo de pessoas com 40 anos ou menos, mas não para o grupo de pessoas com mais de 40 anos. A FCmax parece ser difícil de prever por uma única equação, por isso recomenda-se que, quando uma medida válida dessa variável for necessária, seja utilizado um teste direto.
Palavras-chave: testes ergométricos, testes de esforço, saúde.
1. Introducción
A lo largo de los años, se ha utilizado la frecuencia cardiaca (FC) como una forma de control fisiológico que evalúa la intensidad del esfuerzo a la que se realiza el ejercicio. Esto es posible gracias a que existe una relación entre el Consumo Máximo de Oxígeno (VO2max) y la Frecuencia Cardiaca Máxima (FCmax) (Bouzas-Marins et al., 2010; McArdle et al., 2010).
La frecuencia cardiaca máxima es la más alta que se obtiene durante un ejercicio progresivo, que busca realizarse a máximo esfuerzo (Mahon et al., 2010). La FCmax varía entre individuos y es influenciada por una serie de factores como, por ejemplo, el comando nervioso central, pero factores externos, como el tipo de ejercicio (Bouzas-Marins et al., 2013) la temperatura y la altitud pueden afectarla (Povea y Cabrera, 2018).
Las pruebas de esfuerzo permiten conocer qué tan adecuadamente funciona el corazón durante la actividad física y detectar trastornos cardiacos, diagnosticar la enfermedad de arterias coronarias, arritmias y divisar si se está en riesgo de sufrir un ataque u otra afección cardiaca. Para realizarlas, se colocan electrodos, los cuales se conectan a una máquina de electrocardiograma (ECG) que registra la actividad eléctrica del corazón durante toda la prueba. La dificultad del ejercicio se aumenta hasta alcanzar la FCmax., pero podría detenerse antes si se presentaran síntomas como: dolor en el pecho, dificultad para respirar, mareos, fatiga o si el electrocardiograma refleja algún problema en el corazón (American College of Sports Medicine [ACSM], 2021; Vilcant y Zeltser, 2022).
Existen dos formas en las que se puede obtener la FCmax: de manera directa, con pruebas de esfuerzo máximo, como se explicó anteriormente; o la indirecta, por medio de ecuaciones de predicción. Este último método ha destacado por su fácil obtención y practicidad, en comparación a la realización de una prueba ergométrica (Machado y Denadai, 2011).
Sin embargo, existe controversia respecto al uso de las ecuaciones predictoras de FCmax. La fórmula más conocida es la de “220 − edad” pero, dado que esta no fue obtenida mediante un análisis de regresión e incluso se demostró que, si se realiza una regresión lineal a los datos de los cuales se consiguió, la ecuación no coincide con la línea de mejor ajuste propuesta. Tanto su uso como su procedencia son dudosas (Robergs y Landwehr, 2002).
La fórmula “220 − edad” se sigue utilizando para determinar si una prueba de esfuerzo es considerada o no máxima ‒un clásico ejemplo de lógica circular‒ y, en algunas ocasiones, en contextos deportivos y de salud, a pesar de los estudios que comprueban su baja fiabilidad y de los datos que presentan una desviación de hasta 12 lat/min respecto a las pruebas de esfuerzo (Gellish et al., 2007). Agregado a esto, se conoce que esta fórmula sobreestima los valores en personas jóvenes y los subestima en personas mayores; también, se conoce ahora que la FCmax no disminuye un latido por año, como propone la fórmula, sino aproximadamente 0.7 latidos cada año (Povea y Cabrera, 2018).
Ya se han realizado estudios que cuestionan el uso y validez de la fórmula “220 − edad” para obtener la FCmax, (Aragón-Vargas et al., 1993; Bouzas-Marins et al., 2013; Bouzas-Marins y Delgado-Fernández, 2007; Pereira Rodríguez et al., 2017; Robergs y Landwehr, 2002), por lo que se han desarrollado nuevas ecuaciones predictoras de la FCmax utilizando un modelo lineal con una única variable, pero también algunas que involucran múltiples variables (Londeree y Moeschbeger, 1982; Whaley et al., 1992). Como se sabe que la FCmax está estrechamente relacionada con la edad (a medida que la edad aumenta, la FCmax disminuye) y que la edad modula gran parte de la FCmax, a pesar de que existen otras variables relacionadas, la mayoría de las ecuaciones de predicción la incluyen como variable única (Bouzas-Marins et al., 2010). Estas ecuaciones, así como alrededor de otras 50 más, se han planteado como solución frente al problema. Ejemplo de las nuevas ecuaciones planteadas son: la ecuación de “208 − 0.7 edad”, desarrollada por Tanaka et al. (2001), y la de “207 − 0.7 edad”, por Gellish et al. (2007), que han ganado popularidad.
La ecuación de Tanaka et al. (2001), una de las más utilizadas actualmente, fue desarrollada por medio de un metaanálisis en el que se obtiene una ecuación de regresión, tomando en cuenta un total de 18 712 sujetos y fue validada de forma cruzada en un estudio experimental posterior, con 514 sujetos. En un estudio realizado por Miragaya y Magri (2016) se concluye que la fórmula de Tanaka et al. (2001) es mejor para personas con edades menores a los 40 que presentaran, o no, un factor de riesgo cardiovascular al compararse con la fórmula “220 − edad”, y en el estudio de Bouzas-Marins et al. (2010) se observa que fue la más adecuada para los hombres del estudio. Sin embargo, el error de esta ecuación (208 – 0.7 x edad) no es reportado por los autores.
Por otro lado, la ecuación de Gellish et al. (2007) se obtiene a partir de mediciones en los sujetos a lo largo de 25 años, para un total de 908 mediciones. Posterior a las mediciones, se obtiene, de igual forma, la ecuación de regresión, la cual reporta un rango de ±5-8 latidos por minuto. Esta ecuación ha sido reconocida por recurrir a métodos estadísticos más modernos y destaca por la conclusión de que la edad y la FCmax no presentan una relación lineal (Jackson, 2007). A pesar de esto, los autores se inclinan por utilizar un modelo lineal para brindar una ecuación útil y más práctica (Gellish et al., 2007)
Así como estas dos, se han propuesto ecuaciones para poblaciones específicas (enfermedad coronaria, hipertensión, retardo mental, personas entrenadas) y para la población general (Fernhall et al., 2001; Graettinger et al., 1995; Nes et al., 2013; Ricard et al., 1990). No obstante, es difícil encontrar la fuente original de muchas de ellas (por ejemplo, la de Morris, citado por Pereira-Rodríguez et al., 2017) y se han desarrollado pocos esfuerzos por validar estas ecuaciones en bases de datos independientes después de que son propuestas.
La validez es una propiedad de las inferencias que se realizan en un estudio. La validez externa establece en qué medida se pueden generalizar los resultados de un estudio a una población más amplia (generalizabilidad) o a otras poblaciones (transportabilidad) (Findley et al., 2021). La validez de criterio es un método que examina cómo se relaciona el resultado obtenido de una prueba con un criterio externo para, finalmente, demostrar si el valor calculado predice el resultado real (Piedmont, 2014). La importancia de validar las ecuaciones reside en que la ecuación obtenida de un grupo de datos siempre será la mejor para estos mismos datos, pero no necesariamente es aplicable a datos de otras muestras (Berrar, 2018).
Agregado a esto, los estudios previos orientados a descubrir la mejor ecuación para predecir la FCmax (Bouzas-Marins et al., 2010; Cruz-Martínez et al., 2014; Miragaya y Magri, 2016; Bouzas-Marins y Delgado-Fernández, 2007, entre otros), presentan características (en algunas ocasiones limitaciones) como: muestras más pequeñas, insuficientes análisis estadísticos y protocolos que no utilizan pruebas de esfuerzo para obtener la FCmax como punto de comparación.
Cuando se utiliza una prueba de esfuerzo para obtener la FCmax,, se pueden seguir distintos protocolos. El protocolo en banda sin fin de Bruce y el de Bruce modificado son los más utilizados, pero se ha planteado que un enfoque más gradual podría estimar, en mejor medida, la capacidad de ejercicio. Otros como el de Balke, Astrand, Ellestad y Naughton podrían considerarse tomando en cuenta que lo importante realmente es individualizar el protocolo (Myers y Bellin, 2012).
Para poder considerar una prueba como máxima se deben cumplir ciertos criterios, pero estos son difíciles de determinar. Por ejemplo, actualmente, el Colegio Americano de Medicina Deportiva (ACSM, por sus siglas en inglés) ha planteado criterios como: llegar a una meseta en el consumo de oxígeno con aumentos en la carga de trabajo, falta de aumento en la FC con aumentos en la carga de trabajo, concentración de lactato postejercicio mayor a 8.0 mmol·L-1, esfuerzo percibido mayor a 17 en la escala 6-20 o mayor a 7 en la escala 0-10, un coeficiente de intercambio respiratorio (RER) pico ≥ 1.10. Sin embargo no existe consenso en el número de criterios que se deben cumplir para asegurar una prueba máxima. El RER pico se ha visto como el indicador no invasivo más preciso y objetivo, mientras que los demás criterios se han visto como dudosos en ciertas ocasiones (ACSM, 2021).
Debido a las múltiples limitaciones existentes en las ecuaciones de predicción de la FCmax, se vuelve importante realizar un estudio que indique si las fórmulas de predicción planteadas son válidas. El propósito de este estudio es validar las ecuaciones de predicción de la FCmax de Fernhall et al. (2001), Gellish et al. (2007), Graettinger et al. (1995), Nes et al. (2013), Morris (citada por Pereira-Rodríguez et al., 2017), Ricard et al. (1990) y Tanaka et al. (2001) por medio de una base de datos independiente (Aragón-Vargas et al., 2022).
2. Metodología
Procedimientos
Los datos de los sujetos fueron obtenidos como parte de un servicio de salud desarrollado por el Fitness Research Center de la Universidad de Michigan entre 1990 y 1992 (Aragón-Vargas et al., 2014). Las pruebas fueron realizadas a lo largo del día, según la disponibilidad de tiempo de los evaluados, en condiciones ambientales de laboratorio de acuerdo con las normas recomendadas por la Administración de Seguridad y Salud Ocupacional (OSHA, por sus siglas en inglés), a saber: entre 20-24.5° Celsius y una humedad relativa entre 20% y 60%. Un fisiólogo del ejercicio clínico, certificado, realizó la supervisión durante las pruebas. Se excluyó a aquellas personas que presentaran un diagnóstico de enfermedades cardiacas y a las que tuvieran que detener la prueba por razones de seguridad, sin haber alcanzado los criterios establecidos para considerarse una prueba máxima.
Previo a las mediciones, los sujetos llenaron un formulario de información: edad, sexo, uso de tabaco y nivel habitual de actividad física. Luego, se les realizó una evaluación pulmonar, se tomaron las medidas antropométricas y se efectuó un pesaje hidrostático.
La Capacidad Aeróbica Máxima se obtuvo mediante una prueba de Consumo Máximo de oxígeno realizado en banda sin fin, siguiendo un protocolo libre que realizaba aumentos progresivos de velocidad e inclinación. Durante la prueba, se monitoreó el RER (cociente respiratorio o relación de intercambio respiratorio), tasa de ventilación, consumo de oxígeno y frecuencia cardiaca. Los sujetos inhalaban aire del ambiente y expiraban los gases, que fueron analizados en una unidad de gasto energético Sensormedics 2009.
La prueba se detuvo cuando el sujeto no podía continuar y fue considerada como una prueba de esfuerzo máximo si cumplía con al menos 2 de los siguientes criterios: 1-RER>1.20 2- FCmax igual o mayor a la FCmax predicha por la ecuación 220 − edad, menos 10 lat/min 3-Incremento considerable de la tasa de ventilación.
Criterios convencionales se utilizaron para terminar la prueba de manera anticipada en caso de anomalías en el electrocardiograma. La Frecuencia Cardiaca Máxima se definió como la frecuencia sinusal o auricular más alta (promedio de dos series de tres latidos consecutivos) obtenidos de forma manual del electrocardiograma durante el último minuto de la prueba, con una regla de ECG de Cardizem. Esta fue la frecuencia cardiaca medida o real.
Para obtener los valores predichos por la ecuación de Aragón et al. (1993) (CalAragón), se tomó la base de datos original, con los valores de FCmax reales y las edades reportadas por cada uno de los sujetos y se aplicó la ecuación “218.78-0.79 edad”. Asimismo, para obtener los valores para las demás ecuaciones se realizó el mismo procedimiento para cada una y se nombró la variable como CalApellidoDelPrimerAutor. Las ecuaciones utilizadas fueron: Fernhall et al. (2001), Gellish et al. (2007), Graettinger et al. (1995), Nes et al. (2013), Morris (citada por Pereira-Rodríguez et al., 2017), Ricard et al. (1990) y Tanaka et al. (2001). Cada ecuación se presenta claramente en la Tabla 2. Además, se agregó la ecuación de Fox y Naughton (1972) “220 − edad” con el objetivo solamente de mostrar sus datos, a pesar de que ya ha se han realizado estudios previos que la cuestionan.
Sujetos
La muestra estuvo conformada por 634 sujetos, 474 hombres y 160 mujeres, de edades entre los 18 a los 85 años cumplidos, con diferentes niveles habituales de actividad física.
Análisis estadístico
Se utilizó el paquete estadístico JMP Pro-15. Para la estadística descriptiva, se calculó la media, desviación estándar, el mínimo y el máximo. Para la estadística inferencial, se realizaron los siguientes análisis: con el fin de comparar los valores de la FCmax calculada mediante una fórmula específica y la FCmax obtenida mediante la medición, se utilizó una regresión lineal dada por Y|X=α+X, donde Y = FC obtenida mediante medición y X = FC calculada según las ecuaciones, en la cual se establecen las siguientes hipótesis: α = 0 y β = 1. Una ecuación se consideró satisfactoria si cumplía ambas hipótesis, para que se cumpla que X = Y. Para las pruebas de hipótesis se estableció un nivel de significancia de .05. Además, se calculó el R-cuadrado (R2), el cual define qué tan cerca están los datos de la línea de regresión e indica cuál es el porcentaje de variación de una variable explicado por el modelo lineal o en qué porcentaje los cambios en Y son explicados por un cambio X. Las ecuaciones candidatas a tener una buena predicción serían aquellas en las cuales ninguna de las dos hipótesis se rechace.
Después de realizar los análisis para las ecuaciones utilizando la muestra completa, se realizó el mismo procedimiento, pero separando la muestra por sexo (hombres y mujeres), utilizando la misma ecuación descrita por los autores para ambos subgrupos. Posteriormente, se ejecutó separando la muestra por grupos de edad (menores o iguales a 40 años y mayores a 40 años), usando, de igual manera, la misma ecuación para los dos subgrupos. Se evaluaron los supuestos de normalidad y heterocedasticidad por medio de un gráfico de residuos contra valores predichos.
3. Resultados
Las características de los sujetos: edad, altura, masa, VO2max, capacidad vital, FCmax real y FCmax obtenida por medio de las diferentes ecuaciones se describen en la Tabla 1. (Portuguez Molina y Aragón Vargas, 2023).

La Figura 1 presenta los datos para edad y frecuencia cardiaca máxima para cada uno de los sujetos.

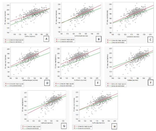
La Tabla 2 presenta los valores de la constante y la pendiente, así como el valor de significancia para cada ecuación. La ecuación de Aragón et al. (1993) es la única que cumple las hipótesis de que la pendiente = 1 y la constante = 0 y (esto se puede observar de manera gráfica en la Figura 2). Para las ecuaciones de Tanaka et al. (2001), Gellish et al. (2007) y Morris (citada por Pereira-Rodríguez et al., 2017), los resultados indican que no existe diferencia estadísticamente significativa entre la constante obtenida y 0, pero sí existe diferencia estadísticamente significativa entre la pendiente y 1 (lo que se puede observar en las Figura 3). Por otro lado, en los resultados de las ecuaciones de Nes et al. (2013), Fernhall et al. (2001), Ricard et al. (1990) y Graettinger et al. (1995) se puede observar que el valor de la constante es diferente de 0 y la pendiente diferente a 1, por lo que no cumplen ninguna de las dos hipótesis (Figura 3). El valor de R-cuadrado para todas las ecuaciones fue de 0.45.

Es importante resaltar que las figuras 2 y 3 muestran dos líneas: la línea de mejor ajuste que arroja cada ecuación (rojo) y la línea de identidad (verde), que es cuando la pendiente = 1 y la constante = 0.


División por sexo
Al analizar los datos para cada una de las ecuaciones, dividiendo el grupo en hombres y mujeres, la Tabla 3 muestra que todas, exceptuando la de Aragón et al. (1993) y la de Morris (citada por Pereira-Rodríguez et al., 2017), cumplen ambas hipótesis (constante = 0, pendiente = 1) para el grupo de mujeres. Sin embargo, la ecuación de Morris cumple la hipótesis de la pendiente, pero no la de la constante. Para el grupo de hombres, ninguna de las ecuaciones cumplió las hipótesis. Con respecto al valor de R2 para los hombres, el valor fue de 0.46 y para las mujeres de 0.44.

Cuando se realiza el análisis dividiendo al grupo inicial (tanto hombres como mujeres) en dos categorías de acuerdo con su edad (mayores de 40 años y menores o iguales a 40 años), se obtuvo lo siguiente: las ecuaciones de Nes et al. (2013), Fernhall et al. (2001), Ricard et al., (1990) y Graettinger et al. (1995) cumplen las dos hipótesis para el grupo de menores o iguales a 40 años, pero no para el grupo de más de 40 años. La de Morris (citada por Pereira-Rodríguez et al., 2017), cumple la hipótesis de que pendiente = 1, pero no la otra. El resto de las ecuaciones no cumplen las hipótesis para ninguno de los dos grupos. Estos valores se presentan en la Tabla 4. Para el grupo de mayores de 40 años, el R2 fue de 0.40, mientras que el del grupo de menores o iguales a 40 años fue de 0.14.


4. Discusión
El presente estudio utiliza una base de datos independiente para validar ecuaciones de predicción de la frecuencia cardiaca máxima (FCmax) que han realizado diferentes autores. Para esto, se utiliza la regresión lineal para probar las siguientes hipótesis:
Al evaluar las ecuaciones con las hipótesis planteadas, se pudo observar que la ecuación de Aragón et al. (1993) es la única que puede aceptar que la pendiente es 1 y que la constante es 0. Este resultado va acorde con lo esperado, ya que la ecuación de estos autores surge a partir de los datos que se están analizando y, como se ha mencionado, la importancia de validar una ecuación reside en que el modelo que se realice precisamente se va a adaptar a la base de datos usada. Es decir, esta ecuación es el mejor modelo para este grupo de datos, pero no necesariamente va a poder tener la misma predicción con otros (Berrar, 2018).
Por otro lado, las ecuaciones de Tanaka et al. (2001), Gellish et al. (2007) y Morris (citada por Pereira-Rodríguez et al., 2017) aceptan la hipótesis de que la constante = 0, pero rechazan que la pendiente = 1. La pendiente es la variable más importante al hacer ecuaciones de regresión de este tipo porque es la que indica cómo se relacionan X y Y (Ruppert, 2014). El valor de la pendiente describe la consistencia de los datos; es decir, cuando esta hipótesis se cumple, los valores reales y los valores calculados varían juntos consistentemente en sus rangos (Smith y Rose, 1995) y cuando es diferente a 1, la brecha entre las curvas simuladas y las observadas será proporcional a los valores de los puntos (Mesplé et al., 1996).
En lo que respecta a la constante, aunque esta variable no tiene que ver con la asociación entre la variable X y la Y (LeBlanc, 2004), sí puede realizar transformaciones que centren o desvíen los datos. Entonces, a pesar de que no se cambian los valores calculados, se cambia el punto de origen y, debido a esto, aunque la predicción no ha cambiado (tiene la misma línea), cambia la posición del punto 0 en el eje horizontal (Judd et al., 2017).
No obstante, se ha planteado que la prueba constante = 0 solo es realmente útil cuando la pendiente no es diferente de 1 (Smith y Rose, 1995). La constante puede dar información acerca del sesgo del modelo, pero no tiene sentido si se toma literalmente: el valor de Y cuando X es 0, esencialmente porque en ciertas variables no existen valores de X = 0, como lo es el caso de la FCmax. En este sentido, la utilidad de la constante se limita a asegurar matemáticamente que una predicción es correcta; es un valor que debe agregarse siempre al componente de la pendiente para que se prediga adecuadamente (Lewis-Beck y Lewis-Beck, 2015).
Lo que se observa entonces en las ecuaciones de Tanaka et al. (2001), Gellish et al. (2007) y Morris (citada por Pereira-Rodríguez et al., 2017) es que, como la constante es 0 y la pendiente > 1, los valores calculados van a subestimar los medidos y, por ende, no son válidas.
Las ecuaciones restantes no cumplen con ninguna de las hipótesis, por lo que, si sus pendientes son diferentes a 1 y sus constantes diferentes a 0, no son adecuadas para predecir los valores reales y tienen distintas posibilidades (sobreestimación, subestimación o ambas, en diferentes puntos de la línea).
En lo que respecta a R2, este tuvo un valor de 0.45 para todas las ecuaciones. El coeficiente de determinación indica cuál es la proporción de la varianza total que se puede explicar por el modelo de la regresión, es decir, cuánta de la variación en los valores reales se explica por la variación en los niveles predichos (Piñeiro et al., 2016). El modelo puede utilizarse como una medida útil para medir el éxito de predecir la variable dependiente a partir de las independientes (Nagelkerke, 1991).
Como todas las ecuaciones usan como única variable la edad, el R2 indica que esta explica un 45% la varianza total, lo que ha sido confirmado por otros estudios, como el Tanaka et al. (2001), en el que la edad por sí sola explicó aproximadamente un 80% de la variabilidad. El de Engels et al. (1998) reportó un 43% de la varianza total y Londeree y Moeschberg (1982) de un 70 a un 75%.
El porcentaje de explicación puede estar influenciado por otras variables, como se ha visto con el sexo, nivel de actividad física y otras; pero, como lo es en el caso del estudio de Aragón et al. (1993), los autores deciden utilizar el modelo con una única variable, donde la edad representó el 45% de la variación, a diferencia de un modelo con múltiples variables que logró tan solo un 49%. Esto es importante porque el valor de R2 aumenta conforme se añadan variables independientes al modelo, incluso si la variable no es relevante, por lo que hay que tener especial cuidado en aceptar o no la adición de estas (Hagquist y Stenbeck, 1998).
División de grupos por sexo
La muestra total (634) se divide en hombres (474) y mujeres (160) para evaluar si los resultados difieren de acuerdo con el sexo de las personas participantes. Se utilizó la misma ecuación para ambos sexos.
Cuando se realiza el análisis con la ecuación de regresión para cada uno de los subgrupos, se puede notar que la mayoría de las ecuaciones cumplen con ambas hipótesis para el grupo de las mujeres, pero ninguna lo cumple para los hombres. Esto resulta interesante, ya que, de acuerdo con lo reportado por diferentes autores (Aragón et al., 1993; Gellish et al., 2007; Tanaka et al., 2001), el sexo no fue un factor explicativo significativo en el modelo que realizaron; sin embargo, otros han reportado diferencias entre sexos (Roy y McCrory, 2015), incluso creando ecuaciones diferenciadas para hombres y mujeres (Whaley et al., 1992). Parece ser que esta relación no queda clara entre los autores y aún existe discrepancia al respecto que puede deberse a los grupos de edad analizados u otros factores. Además, se ha visto que existen diferencias al realizar ejercicio en banda sin fin con los resultados en cicloergómetro (Bouzas-Marins et al., 2013), lo que sigue agregando variables por considerar.
El presente estudio coincide con otros en los que se han diferenciado las ecuaciones entre hombres y mujeres, pero no se encuentra una ecuación que funcione mejor para el primer subgrupo. Los resultados son claros en que, al utilizar las ecuaciones que cumplen las dos hipótesis para las mujeres, los resultados son válidos, a diferencia de cuando se usan en los hombres.
Algunos autores afirman que hay que profundizar la investigación acerca de la influencia que pueda existir por el sexo en la frecuencia cardiaca máxima (Bouzas-Marins et al., 2010), pero ¿cuánta investigación es suficiente? Estos mismos autores citan más de 16 trabajos que ofrecen puntos de vista de cada lado (no hay diferencias o sí hay diferencias respecto al sexo). Hay que reconocer que los seres humanos son muy variables y que, por eso, el principio de individualización es claro en la disciplina de las Ciencias del Movimiento Humano y recomendado tanto para la evaluación como para la prescripción del ejercicio (ACSM, 2021).
Por otro lado, la ecuación de Morris (citada por Pereira-Rodríguez et al., 2017) cumple con la hipótesis de la pendiente = 1, pero rechaza la de la constante = 0. Este caso resulta interesante y lo que sucede es que, a pesar de que la línea es adecuada, no está centrada. La constante > 0 ocasionó una transformación de los datos, moviendo la línea hacia arriba, lo que produce que se subestimen los datos de manera consistente a lo largo de todas las FC, por lo que no resultaría válida. Este error podría corregirse cambiando la constante y centrando los datos, pero la ecuación, tal y como está, presenta un problema al predecir los valores reales.
Al dividir el grupo por sexo, se obtuvo un valor de R2 de 0.46 para los hombres y de 0.44 para las mujeres. Es decir, a pesar de que el valor sube en los hombres sigue siendo bastante similar en ambos casos y con respecto al valor para la muestra total. La edad explica en un 46% la FC máx. para los hombres y en un 44% para las mujeres.
División de grupos por edad
La muestra total (634) se divide en aquellos con edades de 40 años o menos (170) y mayores de 40 años (400) para evaluar si los resultados diferían de acuerdo con el grupo de edad de las personas participantes. Para ambos grupos se utiliza la misma ecuación.
Los resultados muestran que algunas de las ecuaciones cumplen con ambas hipótesis para el grupo de menores o iguales a 40 años, mientras que ninguna cumple para el grupo de mayores de 40 años. Por otro lado, la ecuación de Morris (citada por Pereira-Rodríguez et al., 2017) cumple con la hipótesis de la pendiente = 1, pero rechaza la de la constante = 0, al igual que al analizar los datos de acuerdo con el sexo.
Resultados similares se han visto en estudios previos en los que el uso de las ecuaciones se ha propuesto para edades específicas. Por ejemplo, en el estudio de Bouzas-Marins y Delgado-Fernández (2007) la ecuación de Tanaka et al. (2001) fue la más adecuada para los participantes del estudio, que tenían una media de aproximadamente 21-22 años.
El estudio de Miragaya y Magri (2016) obtuvo que la fórmula de Tanaka et al. (2001) fue más precisa en personas menores de 40 años, lo que se asemeja a los resultados de este estudio en las que algunas ecuaciones resultaron mejores para este grupo de edad. Sin embargo, existe una discrepancia, pues la de Tanaka et al. (2001) no logra aceptar ambas hipótesis para ninguno de los grupos de edad. En cualquier caso, es aparente que las ecuaciones que predicen FCmax con la edad no son buenas para personas mayores de 40 años.
En cuanto al R2, este fue mayor para el grupo de mayores de 40 años (0.40) y disminuye en gran medida para el grupo de menores o iguales de 40 años (0.14). Esto quiere decir que en el grupo de personas menores o iguales tiene una variabilidad mucho mayor, lo que puede estar influenciado por el tamaño de la muestra, que es diferente para ambos grupos y dificulta su interpretación (Hagquist y Stenbeck, 1998).
Es importante recalcar que el R2 da una medida de acuerdo entre los datos observados y los predichos, pero lo que no se sabe realmente es cuánta varianza debería ser explicada para que el modelo sea bueno, pues se ha dicho que es una medida meramente descriptiva (Hagquist y Stenbeck, 1998). Sin embargo, se ha planteado que, a pesar de que no se tienen valores establecidos, sí existe una base sobre la que se puede interpretar, donde 1 es un ajuste perfecto y 0 indica que no hay ajuste. Aun así, esto ha sido considerado una limitación que tiene el R2 (Hagquist y Stenbeck, 1998).
Limitaciones del estudio
El presente estudio corresponde a un análisis de datos secundario, por lo que algunas variables no fueron controladas, por ejemplo: horario en que fue realizada cada medición, las condiciones ambientales, la persona que hacía la medición, entre otras.
Para las mediciones de VO2max se utilizó un protocolo libre, por lo que, a pesar de que se puede asegurar que se alcanzó un máximo por medio de los criterios establecidos; se limita la comparación con estudios que utilizan otros protocolos.
Al utilizar una base de datos en la que ya se habían realizado las mediciones, una de las limitaciones es que se utiliza el criterio “FCmax igual o mayor a la FCmax predicha por la ecuación 220 − edad, menos 10 lat/min” como uno de los tres para definir si una prueba era máxima o no. Esto se respalda con el uso de al menos un criterio extra, pero no se recomienda su uso en estudios futuros.
Sugerencias para futuros estudios
Es importante que, para todas las ecuaciones que se desarrollen, se realice una validación en poblaciones distintas a las utilizadas para su creación.
Las ecuaciones creadas deberían reportar el error o rango asociado para que aquellos que quieran usarlas tengan en cuenta que no son exactas, sino que presentan valores dentro de los que puedan variar. De las ecuaciones presentadas, la de Gellish et al. (2007) reporta un rango de ±5-8 lat/min, la de Nes et al. (2013) presenta un error estándar de medición de 10.8 lat/min y la de Fernhall (2001) de 9.9 lat/min. Además, Tanaka et al. (2001) comentan acerca de variaciones de alrededor de 10 lat/min para los valores de cada sujeto. Las demás no lo reportan.
Las ecuaciones realizadas deben tener su respectiva referencia que se pueda consultar, para obtener información acerca de su elaboración y la población utilizada.
Implicaciones prácticas
Después de muchos intentos por crear una ecuación de predicción de la FCmax, se puede notar que las ecuaciones siguen sin ser válidas, especialmente para que sean empleadas de manera genérica. La FCmax parece ser difícil de predecir, por lo que se recomienda que, en caso de que se necesite una medida válida de esta variable se recurra a una prueba directa.
Además, crear ecuaciones para subgrupos específicos puede ser una alternativa para mejorar la predicción de la FCmax. Las ecuaciones que ya se han creado para poblaciones más específicas deben validarse. En caso de recurrir a una ecuación, de acuerdo con la validación realizada en este estudio, se pueden recomendar las que se muestran en la Tabla 5.

5. Conclusión
Ninguna de las ecuaciones analizadas puede ser empleada para predecir la FCmax de manera genérica. Al realizar el análisis de acuerdo con el sexo, seis de las ecuaciones Fernhall et al. (2001), Gellish et al. (2007), Graettinger et al. (1995), Nes et al. (2013), Ricard et al. (1990) y Tanaka et al. (2001) cumplieron con las dos hipótesis para las mujeres, pero ninguna para los hombres; y, cuando se realizó de acuerdo con el grupo de edad, cuatro de las ecuaciones, Fernhall et al. (2001), Graettinger et al. (1995), Nes et al. (2013) y Ricard et al. (1990), cumplieron las hipótesis para el grupo de personas de 40 años o menos, pero no para el grupo de mayores de 40 años.
Agradecimientos
Los autores queremos agradecer de gran manera a María Isabel González Lutz y Ricardo Alvarado Barrantes, quienes hicieron aportes especiales para el análisis de datos.
Además, extendemos el agradecimiento al Dr. Dee W. Edington (q.e.p.d.) y al Dr. M. Anthony Schork (q.e.p.d.), como colaboradores del análisis original de los datos en 1993 (Aragón-Vargas et al., 1993).
6. Referencias
American College of Sports Medicine. (2021). ACSM's Guidelines for Exercise Testing and Prescription (11th). Wolters Kluwer.
Aragón-Vargas, L. F., Schork, A. M., y Edington, D.W. (1993). Evaluation of conventional and new maximum heart rate prediction models for individuals. Medicine and Science in Sports and Exercise, 25(5), S10. https://www.kerwa.ucr.ac.cr/bitstream/handle/10669/8948/MHR-poster-1993b.pdf?sequence=1&isAllowed=y
Aragón-Vargas, L. F., Schork, A. M. y Edington, D. (2014). Evaluation of Conventional and New Maximum Heart Rate Prediction Models for Individuals. Repositorio Kerwá. Universidad de Costa Rica. http://www.kerwa.ucr.ac.cr/handle/10669/8948
Aragón-Vargas, L. F., Schork, A. M., y Edington, D. W. (2022). Base de datos para Evaluation of Conventional and New Maximum Heart Rate Prediction Models for Individuals. Repositorio Kérwá. Universidad de Costa Rica. https://www.kerwa.ucr.ac.cr/handle/10669/87278
Berrar, D. (2018). Cross-Validation. En: Encyclopedia of Bioinformatics and Computational Biology (Vol. 1, pp. 542-545). Elsevier. https://doi.org/10.1016/B978-0-12-809633-8.20349-X
Bouzas-Marins, J. C., y Delgado-Fernández, M. (2007). Empleo de ecuaciones para predecir la frecuencia cardiaca máxima en carrera para jóvenes deportistas. Archivos de medicina del deporte, 24(118), 112-120. https://archivosdemedicinadeldeporte.com/articulos/upload/Original_Ecuaciones_112_118.pdf
Bouzas-Marins, J. C., Delgado-Fernández, M., y Benito-Peinado, P. J. (2013). Precisión de las ecuaciones para estimar la frecuencia cardíaca máxima en cicloergómetro. Archivos de Medicina del deporte, 30(1), 14-20. https://femede.es/documentos/OR_01_ecuaciones.pdf
Bouzas-Marins, J. C., Ottoline-Marins, N. M., y Delgado-Fernández, M. (2010). Aplicaciones de la frecuencia cardiaca máxima en la evaluación y prescripción de ejercicio. Apunts. Medicina de l'Esport, 45(168), 251-258. https://www.apunts.org/es-aplicaciones-frecuencia-cardiaca-maxima-evaluacion-articulo-X0213371710873503
Cruz-Martínez, L. E., Rojas-Valencia, J. T., Correa-Mesa, J. F., y Correa-Morales, C. (2014). Maximum Heart Rate during exercise: Reliability of the 220-age and Tanaka formulas in healthy young people at a moderate elevation. Revista de la Facultad de Medicina, 62(4), 579-585. http://www.scielo.org.co/scielo.php?script=sci_arttext&pid=S0120-00112014000400010
Engels, H., Zhu, W., y Moffatt, R. (1998). An Empirical Evaluation of the Prediction of Maximal Heart Rate. Research Quarterly for Exercise and Sport, 69(1), 94-98. https://doi.org/10.1080/02701367.1998.10607673
Fernhall, B. O., Mccubbin, J. A., Pitetti, K. H., Rintala, P. A. U. L. I., Rimmer, J. H., Millar, A. L., y De Silva, A. (2001). Prediction of maximal heart rate in individuals with mental retardation. Medicine & Science in Sports & Exercise, 33(10), 1655-1660. https://doi.org/10.1097/00005768-200110000-00007
Findley, M. G., Kikuta, K., y Denly, M. (2021). External Validity. Annual reviews, 24, 365-393. http://www.michael-findley.com/uploads/2/0/4/5/20455799/arps_2021_external-validity.pdf
Fox III, S. M., y Naughton, J. P. (1972). Physical activity and the prevention of coronary heart disease. Preventive Medicine, 1(1-2), 92-120. https://doi.org/10.1016/0091-7435(72)90079-5
Gellish, R. L., Goslin, B. R., Olson, R. E., McDonald, A., Russi, G. D., y Moudgil, V. K. (2007). Longitudinal modeling of the relationship between age and maximal heart rate. Medicine and Science in Sports and Exercise 39(5), 822-829. https://doi.org/10.1097/mss.0b013e31803349c6
Graettinger, W. F., Smith, D. H., Neutel, J. M., Myers, J., Froelicher, V. F., y Weber, M. A. (1995). Relationship of left ventricular structure to maximal heart rate during exercise. Chest, 107(2), 341-345. https://doi.org/10.1378/chest.107.2.341
Hagquist, C., y Stenbeck, M. (1998). Goodness of fit in regression analysis -R2 and G2 reconsidered. Quality & Quantity, (32), 229-245.
Jackson, A. S. (2007). Estimating maximum heart rate from age: Is it a linear relationship? Medicine & Science in Sports and Exercise, 39(5), 821. https://doi.org/10.1249/mss.0b013e318054d3ca
Judd, C. M., McClelland, G. H., y Ryan, C. S. (2017). Data Analysis: A Model Comparison Approach to Regression, ANOVA, and Beyond (3rd ed.). Taylor & Francis.
LeBlanc, D. C. (2004). Statistics: Concepts and Applications for Science. Jones and Bartlett.
Lewis-Beck, C., y Lewis-Beck, M. (2015). Applied regression: An introduction (Vol. 22). Sage publications.
Londeree, B. R., y Moeschberger, M. L. (1982) Effect of Age and Other Factors on Maximal Heart Rate. Research Quarterly for Exercise and Sport, 53(4), 297-304. https://doi.org/10.1080/02701367.1982.10605252
Machado, F. A., y Denadai, B. S. (2011). Validez de las ecuaciones predictivas de la frecuencia cardíaca máxima para niños y adolescentes. Arquivos Brasileiros de Cardiologia, 97(2), 136-140. https://doi.org/10.1590/S0066-782X2011005000078
Mahon, A. D., Marjerrison, A. D., Lee, J. D., Woodruff, M. E., & Hanna, L. E. (2010). Evaluating the prediction of maximal heart rate in children and adolescents. Research Quarterly for Exercise and Sport, 81(4), 466-471. https://doi.org/10.1080/02701367.2010.10599707
McArdle, W. D., Katch, F. I., y Katch, V. L. (2010). Exercise physiology: nutrition, energy, and human performance. Lippincott Williams & Wilkins.
Mesplé, F., Troussellier, M., Casellas, C., y Legendre, P. (1996). Evaluation of simple statistical criteria to qualify a simulation. Ecological Modelling, 88(1-3), 9-18. https://doi.org/10.1016/0304-3800(95)00033-X
Miragaya, M. A., y Magri, O. F. (2016). Ecuación más conveniente para predecir frecuencia cardíaca máxima esperada en esfuerzo. Insuficiencia cardíaca, 11(2), 56-61. https://www.redalyc.org/pdf/3219/321946441002.pdf
Myers, J., y Bellin, D. (2012). Ramp exercise protocols for clinical and cardiopulmonary exercise testing. Sports Medicine, 30(1), 23-29. https://doi.org/10.2165/00007256-200030010-00003
Nagelkerke, N. J. (1991). A note on a general definition of the coefficient of determination. Biometrika, 78(3), 691-692. https://doi.org/10.1093/biomet/78.3.691
Nes, B. M., Janszky, I., Wisløff, U., Støylen, A., y Karlsen, T. (2013). Age‐predicted maximal heart rate in healthy subjects: The HUNT Fitness Study. Scandinavian journal of medicine & science in sports, 23(6), 697-704. https://doi.org/10.1111/j.1600-0838.2012.01445.x
Pereira-Rodríguez, J. E., Boada-Morales, L., Niño-Ríos, I. M., Cañizares-Pérez, A., y Quintero-Gómez, J. C. (2017). Frecuencia Cardiaca Máxima Mediante 220 Menos Edad versus prueba de esfuerzo con protocolo de Bruce. Movimiento Científico, 11(1), 15-22. http://dx.doi.org/10.33881/2011-7191.mct.11102
Piedmont, R. L. (2014). Criterion Validity. En A. C. Michalos (Ed.), Encyclopedia of Quality of Life and Well-Being Research. Springer Nature. https://doi.org/10.1007/978-94-007-0753-5_618
Piñeiro, G., Perelman, S., Guerschman, J. P., y Paruelo, J. M. (2008). How to evaluate models: observed vs. predicted or predicted vs. observed? Ecological modelling, 216(3-4), 316-322. https://doi.org/10.1016/j.ecolmodel.2008.05.006
Portuguez Molina, P., y Aragón Vargas, L. F. (2023). Base de datos para Las ecuaciones predictoras de frecuencia cardiaca máxima no superan prueba clave de validación externa. Pensar en Movimiento: Revista de Ciencias del Ejercicio y la Salud, 21(2). https://doi.org/10.15517/pensarmov.v21i2.57737
Povea, C. E., y Cabrera, A. (2018). Utilidad práctica de la monitorización de la frecuencia cardiaca durante el ejercicio. Revista Colombiana de Cardiología, 25(3), 169-173. https://doi.org/10.1016/j.rccar.2018.05.001
Ricard, R., Léger, L., y Massicotte, D. (1990). Validity of the “220-age” formula to predict maximal heart rate. Medicine & Science in Sports & Exercise, 22(2), pS96. https://doi.org/10.1249/00005768-199004000-00574
Robergs, R. A., y Landwehr, R. (2002). La sorprendente Historia de la Ecuación “FC máx.= 220–edad”. Official Journal of The American Society of Exercise Physiologists, 5(2). https://g-se.com/la-sorprendente-historia-de-la-ecuacion-fc-max.-220-edad-67-sa-457cfb270ee0c9
Roy, S., y McCrory, J. (2015). Validation of Maximal Heart Rate Prediction Equations Based on Sex and Physical Activity Status. International Journal of Exercise Science, 8(4), 318-330. https://pubmed.ncbi.nlm.nih.gov/27182419/
Ruppert, D. (2014). Statistics and Finance: An Introduction. Springer New York.
Smith, E. P., y Rose, K. A. (1995). Model goodness-of-fit analysis using regression and related techniques. Ecological modelling, 77(1), 49-64. https://doi.org/10.1016/0304-3800(93)E0074-D
Tanaka, H., Monahan, K. D., y Seals, D. R. (2001). Age-predicted maximal heart rate revisited. Journal of the American College of Cardiology, 37(1), 153-156. https://doi.org/10.1016/s0735-1097(00)01054-8
Vilcant, V., y Zeltser, R. (2022). Treadmill stress testing. National Library of Medicine. https://www.ncbi.nlm.nih.gov/books/NBK499903/
Whaley, M. H, Kaminsky, L. A., Dwyer, G. B., Getchell, L. H., y Norton, J. A. (1992). Predictors of Over- and Underachievement of Age-predicted Maximal Heart Rate. Medicine and Science in Sports and Exercise, 24(10), 1173-179. https://europepmc.org/article/med/1435167
Notas de autor
Información adicional
Editor asociado a cargo:: Ph.D Pedro Carazo Vargas
Editor en Jefe: Luis F. Aragón-Vargas es Editor en Jefe de Pensar en Movimiento. El proceso de revisión a doble ciego se hizo independientemente de él hasta tomar una decisión