Investigación experimental o metaanalítica
El efecto de las superficies de la cancha sobre las respuestas fisiológicas y las actividades de juego de los tenistas recreativos de mayor edad[1]
The effect of court surfaces on physiological responses and game activities of recreational senior tennis players
O efeito das superfícies da quadra nas respostas fisiológicas e atividades de jogo de jogadores idosos de tênis recreativo
El efecto de las superficies de la cancha sobre las respuestas fisiológicas y las actividades de juego de los tenistas recreativos de mayor edad[1]
PENSAR EN MOVIMIENTO: Revista de Ciencias del Ejercicio y la Salud, vol. 22, núm. 2, e62233, 2024
Universidad de Costa Rica

Recepción: 21 Enero 2024
Recibido del documento revisado: 19 Abril 2024
Aprobación: 26 Junio 2024
Publicación: 20 Noviembre 2024
Resumen: Las investigaciones previas se han centrado, predominantemente, en los efectos de las diferentes superficies de las canchas sobre las respuestas de rendimiento de los jugadores de tenis profesionales y jóvenes. Sin embargo, los estudios sobre jugadores de tenis recreativos de mayor edad son limitados. Por lo tanto, el propósito de este estudio fue investigar los efectos de las superficies de canchas duras (CD) y canchas de arcilla (CA) sobre las actividades de juego y las respuestas fisiológicas de jugadores de tenis recreativos de mayor edad. Veintidós jugadores de tenis recreativos de mayor edad (44.2 ± 3.3 años) jugaron dos partidos individuales cada uno, uno en una CD y el otro en una CA; se monitorearon las respuestas de la frecuencia cardíaca y las características de tiempo-movimiento (CTM) por medio de dispositivos GPS portátiles. Las grabaciones de video revelaron variables que incluyen tiempo efectivo de juego (TEJ), duración del rally (DR), golpes por rally (GR) y tiempo de descanso entre rallies (TD). Los hallazgos indicaron diferencias significativas entre las superficies de las canchas: en CA, los jugadores exhibieron una frecuencia cardíaca promedio más alta (152.8 ± 20.3 latidos por minuto vs. 143.7 ± 18.5 en CD, p < .001), duraciones de rally más largas (12.4 ± 8.5 segundos vs. 8.1 ± 7.8 en CD, p < .001) y una distancia total cubierta mayor (3027.9 ± 396 metros vs. 2647.6 ± 378 en CD, p < .001). Además, las CD indujeron velocidades de rally significativamente más rápidas en comparación con las CA (0.70 ± 0.25 tiros/s vs. 0.59 ± 0.17 en CA, p < .001). Estos resultados sugieren que las CA están asociadas con respuestas fisiológicas más altas y requieren más actividad de juego de los jugadores que las CD. Este estudio contribuye a la comprensión de cómo la superficie de la cancha impacta a los jugadores recreativos de mediana edad, e indica que el entrenamiento y la preparación deben adaptarse para satisfacer las exigencias especiales de las diferentes superficies.
Palabras clave: tenis para personas mayores, fisiología, deportes recreativos, superficies para tenis.
Abstract: Previous research has predominantly focused on the effects of different court surfaces on the performance responses of professional and young tennis players. However, studies concerning recreational senior tennis players are limited. Therefore, the purpose of this study was to investigate the effects of hard-court (HC) and clay-court (CC) surfaces on the game activities and physiological responses of recreational senior tennis players. Twenty-two recreational senior tennis players (44.2 ± 3.3 years) played two singles matches each, one on an HC and the other on CC, with heart rate responses and time-motion characteristics (TMC) monitored via portable GPS devices. Video recordings revealed variables including effective playing time (EPT), rally duration (DR), strokes per rally (SPR), and rest time between rallies (RT). The results show significant differences between the court surfaces: on CC, players exhibited a higher-average heart rate (152.8 ± 20.3 beats per min vs. 143.7 ± 18.5 on HC, p<0.001), longer rally durations (12.4 ± 8.5 sec vs. 8.1 ± 7.8 on HC, p<0.001), and increased total distance covered (3027.9 ± 396 m vs. 2647.6 ± 378 on HC, p<0.001). Additionally, HC induced significantly faster rally speeds compared to CC (0.70 ± 0.25 shots/s vs. 0.59 ± 0.17 on CC, p<0.001). These results suggest that CC are associated with higher physiological responses and require more game activity from the players than HC. This study contributes to the understanding of how the court surface impacts middle-aged recreational players, indicating that training and preparation should be adapted to meet the unique demands of different court surfaces.
Keywords: tennis for older people, physiology, recreational sports, tennis surfaces.
Resumo: Pesquisas anteriores concentraram-se predominantemente nos efeitos de diferentes superfícies de quadra nas respostas de desempenho de tenistas profissionais e juvenis. No entanto, os estudos sobre jogadores idosos de tênis recreativo são limitados. Portanto, o objetivo deste estudo foi investigar os efeitos das superfícies de quadra dura (QD) e saibro (QS) nas atividades de jogo e nas respostas fisiológicas de jogadores idosos de tênis recreativo. Vinte e dois jogadores idosos de tênis recreativo (44,2 ± 3,3 anos) jogaram duas partidas individuais cada, uma em QD e outra em QS, as respostas da frequência cardíaca e as características tempo-movimento (CTM) foram monitoradas através de dispositivos GPS portáteis. As gravações de vídeo revelaram variáveis, incluindo tempo efetivo de jogo (TEJ), duração do rally (DR), tacadas por rally (GR) e tempo de descanso entre rallys (TD). Os resultados indicaram diferenças significativas entre as superfícies das quadras: na QS, os jogadores exibiram uma frequência cardíaca média mais alta (152,8 ± 20,3 batimentos por minuto vs. 143,7 ± 18,5 em CD, p < 0,001), durações de rally mais longas (12,4 ± 8,5 segundos vs. 8,1 ± 7,8 em CD, p<0,001) e maior distância total percorrida (3.027,9 ± 396 metros vs. 2.647,6 ± 378 em CD, p < 0,001). Além disso, as QDs induziram velocidades de rally significativamente mais rápidas em comparação com as QSs (0,70 ± 0,25 disparos/s vs. 0,59 ± 0,17 em CA, p < 0,001). Estes resultados sugerem que as QSs estão associadas a respostas fisiológicas mais elevadas e exigem mais atividade de jogo dos jogadores do que as QDs. Este estudo contribui para a compreensão de como a superfície da quadra impacta os jogadores recreativos de meia-idade e indica que o treinamento e a preparação devem ser adaptados para atender às demandas especiais das diferentes superfícies.
Palavras-chave: tênis para idosos, fisiologia, esportes recreativos, superfícies de tênis.
1. Introducción
El rendimiento exitoso en el tenis exige una variedad de habilidades que incluyen velocidades variables, aceleración, desaceleración, cambio de dirección, golpeo, sprint y aprovechamiento de la fuerza de la parte superior del brazo (Fernández-Fernández et al., 2006; Kilit et al., 2018; Reid et al., 2013). Además, el tenis implica un mecanismo anaeróbico que necesita descanso aeróbico, exigiendo ráfagas cortas de actividad intensa durante períodos prolongados de ejercicio intenso intercalados con descanso o actividad de baja intensidad (Galé-Ansodi et al., 2016; Hoppe et al., 2014; Kilit y Arslan, 2017). Se ha observado que jugadores y jugadoras de tenis recorren distancias de entre 1.2 y 3.4 km, realizan entre el 10% y el 25% de sus actividades a alta intensidad y mantienen una frecuencia cardiaca media de 160 lpm durante partidos de tenis simulados (Hoppe et al., 2014; Kilit y Arslan, 2017; Pluim et al., 2023; Reid et al., 2013). Sobre este deporte, se han cuantificado actividades de juego como la duración del peloteo (aproximadamente 5-8 segundos), el tiempo efectivo de juego (alrededor del 18-26%), los periodos de descanso entre peloteos (alrededor de 18 segundos), los golpes por peloteo (aproximadamente 3-5) y la duración del partido (alrededor de 73-90 min), lo que ofrece una visión global de los niveles de esfuerzo que supone jugar un partido (Fernández- Fernández et al., 2006; Kilit et al., 2018; Pluim et al., 2023). El tipo de superficie de la pista influye significativamente en estas exigencias físicas (Kilit y Arslan, 2018; Reid et al., 2013). Por otro lado, la interacción de elementos físicos, técnicos y tácticos en condiciones de juego variables influye en las respuestas de rendimiento tanto en escenarios de partidos simulados como reales (Hoppe et al., 2014; Martin et al., 2011; Murias et al., 2007).
La dinámica de los partidos se ve afectada significativamente por el tipo de superficie de la pista, como la arcilla y las pistas duras, como han indicado estudios anteriores. Estas influencias alteran la dinámica de juego y tienen diversas implicaciones para los jugadores (Kilit et al., 2016; Martin et al., 2011; Reid et al., 2013). Las pistas duras se asocian a una superficie de juego rápida que facilita botes o deslizamientos de la pelota más rápidos y peloteos más cortos. Por el contrario, las pistas de arcilla son conocidas por ralentizar el juego, lo que se traduce en peloteos más largos y un ritmo más lento que puede afectar significativamente al rendimiento y las estrategias de los jugadores (Galé-Ansodi et al., 2016; Martin et al., 2011; Murias et al., 2007; Reid et al., 2013). La importancia del tipo de superficie en el tenis está subrayada por amplios estudios sobre las variaciones en las propiedades tiempo-movimiento y las características de los partidos en diferentes superficies de pista (Chapelle et al., 2017; Fernández-Fernández et al., 2010; Galé-Ansodi et al., 2016; Martin et al., 2011; Murias et al., 2007; O’Donoghue y Ingram, 2001; Pereira et al., 2016; Ponzano y Gollin, 2017; Reid et al., 2013). Sin embargo, aparte de estas condiciones estructurales (tipo de superficie de la pista), las características físicas o los niveles de rendimiento de los tenistas también pueden variar en función de las categorías de edad (Fernández-Fernández et al., 2009; Hoppe et al., 2014; Murias et al., 2007).
A diferencia de los tenistas profesionales jóvenes y adultos, las personas mayores (de 35 a 45 años o más) experimentan, generalmente, un declive en la actividad física y la salud con el proceso de envejecimiento; por ejemplo, el sistema cardiovascular se vuelve menos eficiente (Marks, 2006). Además, los jugadores de mayor edad (sénior) se enfrentan a un mayor riesgo de lesiones debido a la disminución de la flexibilidad y la fuerza muscular a medida que envejecen. Es importante diseñar programas de entrenamiento adecuados para minimizar estos riesgos y mejorar el rendimiento (Leach y Abramowitz, 1991; Marks, 2006; Sobel et al., 1995).
Algunas investigaciones sugieren que el entrenamiento regular puede desempeñar un papel importante en la reducción del deterioro cardiovascular o en el mantenimiento de la aptitud aeróbica en los tenistas séniors (Vodak et al., 1980). En las publicaciones científicas, se ha encontrado que programas de entrenamiento similares o entrenamientos de tenis diseñados para mantener o mejorar el nivel de acondicionamiento físico tienen efectos positivos en la salud física y mental de los jugadores sénior (Caserta et al., 2007; Marks, 2006; Pluim et al., 2007; Vodak et al., 1980). Asimismo, los jugadores sénior, en particular, experimentan beneficios significativos para la salud, incluidas mejoras notables en la capacidad aeróbica, los perfiles lipídicos y la densidad ósea, así como una reducción de los riesgos de enfermedad cardiovascular y mortalidad (Marks, 2006; Pluim et al., 2007; Vodak et al., 1980).
Estos beneficios pueden permitir que el tenis proporcione a los participantes adultos un nivel y una calidad de ejercicio coherentes con las normas recomendadas para la aptitud cardiovascular (Fernandez-Fernandez et al., 2009). Además, la participación a largo plazo en el tenis está relacionada con mejoras en la potencia aeróbica, la composición corporal y la fuerza muscular (Caserta et al., 2007; Marks, 2006; Pluim et al., 2007; Swank et al., 1998; Vodak et al., 1980). A pesar de estos beneficios, la práctica del tenis recreativo se asocia con algunos riesgos, especialmente en relación con la superficie de juego, donde se ha informado de una mayor incidencia de lesiones en pistas duras, lo que pone de relieve la necesidad de seleccionar cuidadosamente las superficies para reducir al mínimo los riesgos de lesiones, especialmente entre los jugadores sénior (Girard et al., 2007; Martin y Prioux, 2015; Pluim et al., 2018).
Aunque una amplia investigación ha demostrado las respuestas fisiológicas, el tiempo-movimiento y las características de los partidos en diferentes duraciones, géneros y niveles de rendimiento, los estudios centrados en los efectos de las diferentes superficies de las pistas en jugadores sénior recreativos siguen siendo limitados (Galé-Ansodi et al., 2016; Kilit y Arslan, 2018; Martin et al., 2011; Reid et al., 2013). Por lo tanto, este estudio tiene como objetivo examinar la influencia de las superficies de pista dura y de arcilla en las respuestas fisiológicas y las características de tiempo-movimiento de los jugadores de tenis sénior recreativos durante partidos simulados.
2. Métodos
Participantes
Veintidós tenistas sénior recreativos, con una edad media de 44.2 ± 3.3 años, una altura corporal de 178.3 ± 6.6 cm y una masa corporal de 79.3 ± 7.1 kg, se ofrecieron voluntarios para participar en este estudio. En el momento del estudio, su experiencia de entrenamiento oscilaba entre 6 y 10 horas semanales y sus Números Internacionales de Tenis (NIT) oscilaban entre 6 y 8 (jugadores de nivel intermedio y recreativo). Su consumo máximo de oxígeno (VO )2máx estimado de la prueba de Tenis de Golpe y Giro (PTGG) se calculó en 46.9 ± 3.1 ml-kg-1 -min-1. Los criterios de inclusión fueron: (i) una edad de entre 40 y 50 años (tenistas de mediana edad), pues la Federación Turca de Tenis (FTT, 2024) reconoce la categoría sénior como jugadores de 30 años o más; (ii) un mínimo de los dos últimos años de juego regular de partidos de tenis (individuales o dobles). Se excluyó a los participantes que (iii) sufrieran lesiones agudas o, (iv) no jugaran partidos de tenis. Se obtuvo el consentimiento informado firmado de todos los participantes antes de la recolección de datos y después de que el protocolo del estudio fuera revisado por el Comité Ético de Investigación en Ciencias Sociales y Humanidades de la Universidad de Tokat Gaziosmanpasa University, Tokat, Turquía] y aprobado el 26 de septiembre de 2023 según el documento "Protocol code: E-33490967-044-342163-15.10”.
Procedimientos
En este estudio se utilizó un diseño cruzado aleatorizado. Los participantes asistieron a dos sesiones de evaluaciones en pista y partidos de tenis individuales simulados. Para supervisar el rendimiento de los jugadores, se utilizaron unidades GPS portátiles, junto con análisis de anotaciones de partidos de tenis simulados. Cada jugador fue grabado individualmente, con sus movimientos y golpes monitorizados a lo largo de las actividades del partido. Para evitar desajustes en el nivel de forma física y la destreza técnica durante el partido, las parejas se emparejaron equitativamente en función de su VO2máx y la puntuación de la prueba NIT (para la categoría de individuales, dos tenistas jugaron un partido). Los jugadores compitieron en dos partidos de tenis individuales (con los mismos oponentes en ambos partidos), cada uno decidido al mejor de tres sets: un partido se jugó en pistas de arcilla (CA) y el otro en pistas duras (CD), con el orden determinado al azar (Kachel et al., 2015). En total 22 partidos de tenis, 11 partidos se jugaron en CA y 11 partidos en CD. Cada sesión comenzó con un calentamiento estandarizado de 10 minutos que consistió en trotar, estirar y saltar (Kilit y Arslan, 2017). Todos los partidos se realizaron en pistas de tenis exteriores, tanto CA como CD, en los mismos horarios (Drust et al., 2005) de 17:00 a 20:00, utilizando pelotas de tenis "Wilson Grand Slam". Las condiciones al aire libre fueron similares para los partidos CA y CD, con temperaturas medias en torno a los 25 ± 2 °C y niveles medios de humedad en torno al 30% ± 4%.
Pruebas
La estatura y el peso corporal de los jugadores se evaluaron con un estadiómetro Seca (con una precisión de 0.1 mm) y una báscula electrónica Seca 803 (con una precisión de ± 0.1 kg). En este estudio se utilizó la prueba NIT para determinar los niveles de tenis de los jugadores. Esta prueba es una herramienta de evaluación objetiva en pista basada en tareas específicas del tenis como el control de la pelota, la precisión y la potencia. La prueba evalúa la profundidad del golpe de fondo, la precisión del golpe de fondo, la profundidad de la volea, el saque y la movilidad. El NIT es un sistema de clasificación en el que los jugadores se clasifican en una escala de 10 niveles (FIT, 2004). El NIT 1 representa a los jugadores de alto rendimiento, los NIT 2, 3 y 4 a los jugadores avanzados, los NIT 5, 6 y 7 a los jugadores intermedios y los NIT 8, 9 y 10 a los jugadores recreativos (NIT, 2016). Para estimar la frecuencia cardíaca máxima (FCmáx ) y el VO2máx para hombres adultos, se realizó la PTGG de acuerdo con los procedimientos explicados en un estudio anterior (Ferrauti et al., 2011).
La fórmula para calcular el VO2máx es (Ferrauti et al., 2011):
VO2máx = 30.0 + 2.00 x (tiempo de la prueba del jugador en PTGG).
Los partidos se jugaron al aire libre en CD y CA. Antes de cada partido, los sujetos realizaron un calentamiento elegido por ellos mismos, que incluía acciones específicas del juego. Los 22 partidos siguieron el formato al mejor de tres sets según las reglas de la Federación Internacional de Tenis (FIT) y se jugaron en orden aleatorio (FIT, 2024). Se utilizó un dispositivo portátil (Bioharness 3, GPS Sports Systems Ltd., Annapolis, EE.UU.) con unidades GPS de 10 Hz integradas (BT-Q818XT, QStarz, Taipéi, Taiwán) para evaluar las respuestas fisiológicas (frecuencia cardiaca) y cinemáticas (velocidad y distancia total) de cada jugador (Johnstone et al., 2012; Kilit y Arslan, 2017). Tras los partidos, los datos se procesaron con el software Omni Sense Analysis v.4.0.
Se definieron cuatro zonas de velocidad para el análisis (Kilit y Arslan, 2017): caminar (C, 0-7.0 km.h-1), carrera de baja intensidad (CBI, 7.01-12.0 km.h-1), carrera de intensidad moderada (CIM, 12.01-18.0 km.h-1) y carrera de alta intensidad (CAI, 18.01-24.00 km.h-1). Durante el juego del partido, se midió sistemáticamente la duración media (en segundos) y la distancia recorrida (en metros) dentro de estas categorías de velocidad para cada jugador (Fernández-Fernández et al., 2009; Kilit y Arslan, 2017). Para analizar los partidos de tenis, se utilizaron dos cámaras de vídeo de alta definición (Sony HDR-CX240 Full HD, Japón) para grabar las actuaciones individuales de cada jugador en los partidos (Fernández-Fernández et al., 2008). Todos los partidos fueron analizados con el software de análisis de vídeo Kinovea 0.9.5 (www.kinovea.org) por el mismo investigador experimentado (Fernández-Fernández et al., 2007; Kilit y Arslan, 2017).
Se comprobó la fiabilidad del observador mediante un protocolo test-retest de análisis y codificación de los parámetros dos veces, con un intervalo de 20 días. La prueba de correlación intraclase (CCI) reveló un valor de 0.88-0.94, lo que sugiere una excelente confiabilidad. Se calcularon las siguientes variables de datos de partido para cada encuentro: duración de los peloteos en segundos (DP); tiempo de descanso en segundos excluyendo los cambios (TD); golpes por peloteo (GPP) ‒peloteo largo (9+ tiros), peloteo medio (5-8 tiros), peloteo corto (1-4 tiros), incluyendo los saques‒; y tiempo efectivo de juego (TEJ) como porcentaje del tiempo total que la pelota estuvo en juego (Fernandez-Fernandez et al., 2007; Kilit y Arslan, 2017; Prieto-Lage et al., 2022). La velocidad del peloteo se determinó dividiendo el total de tiros por peloteo por la duración del peloteo. La duración del peloteo comenzaba con el servicio de la pelota y concluía cuando se producía una falta o se ganaba un punto (Kachel et al., 2015).
Análisis estadístico
La normalidad de los datos se confirmó mediante la prueba de Kolmogorov-Smirnov con la corrección de Lilliefors antes de realizar las pruebas paramétricas. También, se calculó el porcentaje promedio de puntos jugados (por partido) dentro de cada categoría de duración de peloteo tanto para CA como para CD. Las diferencias entre los partidos jugados en CD y CA se evaluaron mediante una prueba t pareada. Los análisis estadísticos se realizaron utilizando IBM SPSS Statistics (versión 22), con un nivel de significancia fijado en p < .05. Los tamaños del efecto se cuantificaron mediante la d de Cohen con los siguientes umbrales (Hopkins et al., 2009): trivial (0.2), pequeño (0.6), moderado (1.2), grande (2.0) y muy grande (> 2.0). Se empleó el coeficiente de correlación intraclase (CCI) para determinar la fiabilidad test-retest de las características del emparejamiento. La variabilidad interindividual en las respuestas fisiológicas y las características de los partidos entre los partidos en CD frente a CA se cuantificó utilizando el coeficiente de variación (CV%).
3. Resultados
Los análisis estadísticos representados en las Figuras 1 y 2, y en las Tablas 1, 2 y 3 ilustran las diferencias en la frecuencia cardiaca, el tiempo-movimiento y las características de los partidos entre la arcilla y la pista dura.
Los resultados indican que la superficie de arcilla indujo características de partido significativamente superiores en comparación con la superficie de pista dura en términos de puntos totales (1256 frente a 951), juegos totales (219 frente a 179), sets totales (28 frente a 23), puntos medios (114.1 ± 21.3 frente a 86.5 ± 21.2), juegos medios (19.9 ± 3.9 frente a 16.3 ± 3.1) y sets medios (2.5 ± 0.5 frente a 2.1 ± 0.3 [p < .05]).
La Tabla 1 presenta las características de los partidos en ambos tipos de pista. Los resultados indican que la superficie de arcilla indujo características de partido superiores en términos de GPP (p = .003; t = -3.11; IC del 95%: -3.1 a -0.7), DP (p < .001; t = -3.95; IC del 95%: -6.4 a -2.1) y TEJ (p < .001; t = -6.18; IC del 95%: -5.9 a -2.9). Sin embargo, para el RT, los datos mostraron un aumento significativo en la superficie de pista dura en comparación con la superficie de arcilla (p = .003; t = 3.10; IC del 95%: 1.6 a 7.6).
| Variables | CA | CD | Diferencia promedio | Cohens d y calificación | |||
| Media ± DT | CV (%) | Media ± DT | CV (%) | ||||
| GPP (n) | 6.4 ± 4.0* | 62.5 | 4.5 ± 3.8 | 84.4 | 1.9 | 0.48; pequeño | |
| DP (s) | 12.4 ± 8.5* | 68.5 | 8.1 ± 7.8 | 96.3 | 4.3 | 0.52; pequeño | |
| TD (s) | 26.1 ± 24.4 | 93.5 | 30.7 ± 23.8 Ω | 77.5 | -4.6 | 0.19; trivial | |
| TEJ (%) | 25.4 ± 2.2* | 8.7 | 20.9 ± 2.1 | 10.0 | 4.5 | 2.09; muy grande | |
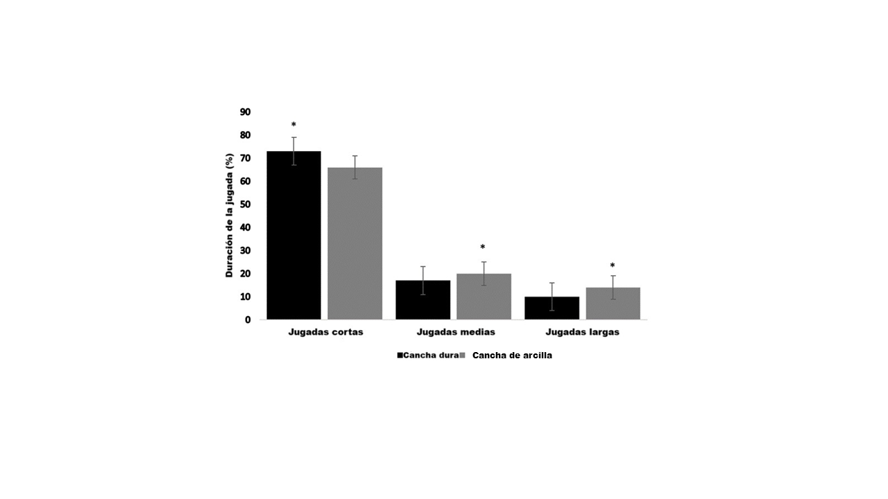
El análisis comparativo de las superficies de arcilla y pista dura muestra variaciones significativas en la duración de los peloteos (Figura 1). Hay un mayor número de peloteos medios y largos en arcilla, mientras que en pista dura hay más peloteos cortos.

Nota. *Diferencia significativa entre cancha dura y arcilla, p ˂ .05.
Fuente: elaboración propia.La Figura 2 presenta la velocidad de peloteo (tiros/s) de los jugadores de tenis sénior recreativos en partidos jugados en superficie de arcilla frente a superficie de pista dura. Los resultados mostraron que la velocidad de los peloteos era mayor en pista dura que en arcilla.

Nota. *Diferencia significativa entre pista dura y arcilla, p ˂ .05
Fuente: elaboración propia.La Tabla 2 muestra las respuestas fisiológicas y las características tiempo-movimiento de la superficie de arcilla y la superficie de pista dura. Los resultados indican que jugar en una superficie de arcilla provocó unas características de partido superiores en comparación con la superficie de pista dura en varias áreas: HRmean (p < .001; t = -8.86; IC del 95%: -11.0 a -7.0), %HRmáx (p < .001; t = -9.15; IC del 95%: -6.4 a -4.1), velocidad (p = .005; t = -2.79; IC del 95%: -0.5 a -0.1), TD (p = .001; t = -3.67; IC 95%: -595.6 a -164.9), C (p = .009; t = -2.92; IC 95%: -593.6 a -95.9), CBI (p = .005; t = -3.18; IC 95%: -93.3 a -18.9), CIM (p = .004; t = -3.33; IC 95%: -42.0 a -9.4).
| Variables | CA | CD | Diferencia promedio | Cohens d y calificación | ||
| Media ± DT | CV (%) | Media ± DT | CV (%) | |||
| FCprom(latido-min)-1 | 152.8 ± 20.3* | 13.3 | 143.7 ± 18.5 | 12.9 | 9.1 | 0.46; pequeño |
| %FCmáx (%) | 75.7 ± 10.2* | 13.5 | 70.4 ± 10.2 | 14.5 | 5.3 | 0.51; pequeño |
| Velocidad (km.h)-1 | 2.4 ± 2.1* | 87.5 | 2.1 ± 1.9 | 90.5 | 0.3 | 0.14; trivial |
| TD (m) | 3027.9 ± 396* | 13.1 | 2647.6 ± 378 | 14.3 | 380.3 | 0.98; moderado |
| C (m) | 2774.8 ± 397.3* | 14.3 | 2430.1 ± 417.8 | 17.2 | 344.7 | 0.84; moderado |
| CBI (m) | 218.9 ± 61.8* | 28.2 | 162.8 ± 56.3 | 34.6 | 56.1 | 0.94; moderado |
| CIM (m) CAI (m) | 70.0 ± 19.3* NR | 27.6 NR | 44.3 ± 21.0 NR | 47.4 NR | 25.7 NR | 1.27; grande NR |
La Tabla 3 muestra la duración media que los tenistas sénior emplean en cada categoría de velocidad durante los partidos en superficie de arcilla y superficie de pista dura, donde p < .05 indica significancia estadística. Durante los partidos en superficie de arcilla, los jugadores pasaron un porcentaje promedio significativamente mayor de la duración total del partido (p < .009; t = 2.88; IC del 95%: 201,6 a 1240,2), C (p < .016; t = 2.61; IC del 95%: 133.0 a 1173.7), CBI (p < .001; t = 3,92; IC del 95%: 41,1 a 133,6) y CIM (p < .011; t = 2.78; IC del 95%: 6.6 a 45.9) en comparación con la pista dura.
| Variables | CA | CD | Diferencia promedio | Cohens d y calificación | ||
| Media ± DT | CV (%) | Media ± DT | CV (%) | |||
| DTP (s) | 4092 ± 792* | 19.4 | 3371 ± 729 | 21.6 | 721 | 0.94; moderado |
| W (s) | 3751 ± 768* | 20.5 | 3098 ± 752 | 24.3 | 653 | 0.85; moderado |
| CBI (s) | 294 ± 85* | 28.9 | 206 ± 77 | 37.4 | 88 | 1.08; moderado |
| CIM (s) CAI (s) | 83 ± 28* NR | 33.7 NR | 57 ± 28 NR | 49.1 NR | 26 NR | 0.92; moderado NR |
4. Discusión
El objetivo de este estudio era investigar los efectos de diferentes superficies de pista sobre las respuestas fisiológicas y las actividades de juego de tenistas recreativos de mayor edad. Los resultados revelaron que la CA (cancha de arcilla) indujo mayores características de partido en términos de duración total del partido, golpes por peloteo, duración del peloteo y tiempo efectivo de juego, con la excepción del tiempo de descanso, en comparación con la CD (cancha dura). Por otro lado, se observó un mayor porcentaje de duraciones de peloteo medias y largas en la CA, mientras que se registró un mayor porcentaje de duraciones de peloteo cortas en la CD. Además, la velocidad de los peloteos (tiros/s) fue mayor en la CD que en la CA. Por otra parte, jugar en una CA dio lugar a características de partido más altas en términos de frecuencia cardiaca (media y porcentaje del máximo), velocidad de carrera, distancia total recorrida y distancias recorridas por categorías de velocidad que en una CD. En particular, durante los partidos en CA, los jugadores pasaron significativamente más tiempo en cada categoría de velocidad en comparación con CD. Estos resultados indican un impacto significativo de la superficie de la pista en el rendimiento de los jugadores de tenis y sugieren que las diferentes superficies pueden afectar las respuestas fisiológicas de los jugadores sénior y a la dinámica del juego de formas distintas.
En la bibliografía, numerosos estudios han explorado la relación entre las respuestas fisiológicas y las características del juego en tenistas de diferentes categorías de edad (junior, profesional y sénior). Varios de estos estudios indican que la variación de las condiciones de juego y de las superficies de las pistas puede afectar significativamente a las respuestas fisiológicas y a la actividad de juego (Chapelle et al., 2017; Martin et al., 2011; Reid et al., 2013). Aunque unos pocos estudios han informado de resultados contradictorios en relación con el impacto de las diferentes superficies de las pistas de tenis en las respuestas fisiológicas (Chapelle et al., 2017; Hornery et al., 2007; Ponzano y Gollin, 2017), la mayoría de las pruebas sugieren que las CA imponen generalmente mayores exigencias fisiológicas a los jugadores, predominantemente a los de las categorías juvenil y adulta.
Además, un conjunto significativo de investigaciones indica que las respuestas fisiológicas pueden ser notablemente diferentes en las pistas de arcilla en comparación con las duras. Por ejemplo, Martin et al. (2011) y Murias et al. (2007) descubrieron que las frecuencias cardíacas medias eran significativamente más altas en CA, registrando 154 ± 12 lpm y 143 ± 22 lpm respectivamente, en comparación con 141 ± 9 lpm y 135 ± 21 lpm en CD. Por su parte, los resultados de Reid et al. (2013) destacaron un mayor esfuerzo fisiológico en la arcilla, con efectos significativos sobre la frecuencia cardíaca y la producción de lactato en comparación con la CD. Apoyando estos resultados, las investigaciones de Fernández-Fernández et al. (2010) y Kilit y Arslan (2018) indican que la distancia total recorrida y las características de la carrera son más exigentes en superficies de arcilla.
A diferencia de estos estudios sobre jugadores veteranos, el estudio de Fernández-Fernández et al. (2009) analizó el rendimiento en partido de tenistas veteranos avanzados y recreativos en CA al aire libre. Los resultados no mostraron diferencias significativas en el VO2máx y la frecuencia cardiaca de los tenistas veteranos avanzados y recreativos (24.5 ± 4.1 ml.kg-1 .min-1 vs. 23,3 ± 3 ml.kg-1 .min-1 ; 148.3 ± 11.5 lpm vs. 149.8 ± 8.4 lpm, respectivamente). Sin embargo, los jugadores avanzados cubrieron más distancia en comparación con los jugadores veteranos recreativos (3569 ± 532 m frente a 3174 ± 226 m, respectivamente).
Esto pone de relieve que el tenis es un ejercicio cardiovascular beneficioso para los adultos de mediana edad, ya que promueve el movimiento estratégico y mejora la salud cardiovascular. En otras investigaciones sobre la dinámica de los partidos de tenis, se han observado variaciones significativas en las respuestas cardiovasculares de las tenistas a partidos extenuantes en función de la edad. Mientras que las jugadoras más jóvenes, de 15 a 30 años, mantienen una frecuencia cardiaca constante durante todo el partido, las jugadoras veteranas, de 40 a 51 años, muestran un aumento progresivo de la frecuencia cardiaca, que alcanza su punto máximo hacia el final del partido (Therminarias et al., 1990; Therminarias et al., 1991). Es probable que esta tendencia se deba a los cambios relacionados con la edad en el sistema cardiovascular, que pueden hacer que los jugadores experimenten un aumento de la frecuencia cardiaca durante el juego intenso.
Además, se han examinado sistemáticamente los perfiles fisiológicos de tenistas de mediana edad, tanto hombres como mujeres, con edades comprendidas entre los 31 y los 55 años. Los resultados indican que la participación regular en el tenis repercute positivamente en la salud cardiorrespiratoria y en los niveles generales de forma física, ayudando a mitigar la disminución de la potencia aeróbica que suele asociarse con el envejecimiento (Vodak et al., 1980). También, se ha demostrado que la práctica del tenis contribuye a mejorar la aptitud aeróbica, los perfiles lipídicos favorables y la salud ósea de los jugadores sénior, al tiempo que reduce el riesgo de enfermedades cardiovasculares y mortalidad (Mansencal et al., 2011; Marks, 2006; Martin y Prioux, 2015; Pluim et al., 2007).
Los tenistas sénior muestran numerosos beneficios fisiológicos, como tiempos de reacción mejorados, capacidades de toma de decisiones rápidas y funciones cardiacas potencialmente mejoradas, todo ello derivado de la participación a largo plazo en el deporte. Sin embargo, se enfrentan a desafíos como la disminución de la masa muscular, el equilibrio y la flexibilidad, que requieren programas de entrenamiento adaptados para mitigar los riesgos de lesiones y mantener los niveles de rendimiento (Caserta et al., 2007; Mansencal et al., 2011; Rotella y Bunker, 1978; Sariman et al., 2018). Los programas de entrenamiento centrados en la velocidad, la agilidad y la fuerza central son especialmente beneficiosos para las personas mayores, ya que ayudan a contrarrestar el declive general de la forma física asociado al envejecimiento (Gunay y Kolayıs, 2020; Miller et al., 2001).
Durante los partidos de tenis, los jugadores recorrieron distancias de aproximadamente 2.5-3 km a distintas velocidades de carrera, tanto en CA como en CD. En ambas superficies, la mayor parte de la carrera se realizó a la categoría de velocidad más baja, mientras que caminar representó aproximadamente el 85-95% del tiempo total. Los resultados del presente estudio sugieren que las CA presentan características de rendimiento más intensas en comparación con las CD, incluidas duraciones de peloteo más largas, específicamente longitudes de peloteo medias y largas, frecuencias cardiacas más altas, mayores distancias recorridas y mayor velocidad de carrera en todas las categorías de velocidad. Estos resultados indican que jugar en arcilla exige un esfuerzo físico más significativo por parte de los jugadores, lo que conlleva un ejercicio cardiovascular más vigoroso. Es probable que estas condiciones influyan positivamente en las capacidades cardiorrespiratorias y de resistencia generales de los jugadores sénior, lo que podría mejorar su salud y su resistencia física.
El tenis se juega en distintos tipos de superficie, cada una con propiedades distintas como el coeficiente de fricción, la velocidad de la pelota y la absorción de impactos. Estas variaciones conllevan diferentes riesgos de lesión. Las mayores fuerzas de impacto en la extremidad inferior durante el juego, junto con un mayor coeficiente de fricción entre el atleta y la pista, predisponen a los atletas a sufrir lesiones en las extremidades inferiores (Leach y Abramowitz, 1991; Marks, 2006; Yurgil et al., 2021). Las CA, conocidas por su ritmo más lento, dan a los jugadores más tiempo para alcanzar el balón, reduciendo potencialmente la incidencia de lesiones agudas. Sin embargo, la mayor duración de los puntos y partidos en CA podría aumentar el riesgo de lesiones por sobreuso. Por el contrario, las CD, al facilitar un ritmo de juego más rápido con un bote más bajo, requieren reacciones y movimientos rápidos. Esto puede conducir a un mayor riesgo de lesiones agudas debido a una mayor tensión en las articulaciones y los músculos (Martin y Prioux, 2015). En la literatura, se ha observado ampliamente que los tenistas sénior que han pasado la mayor parte de su carrera en pistas duras tienden a experimentar más problemas de rodilla (Kulund et al., 1979; Martin y Prioux, 2015; Pluim et al., 2018; Yurgil et al., 2021). Además, la investigación sugiere que, para los jugadores recreativos, los programas de acondicionamiento deben diseñarse para mejorar gradualmente la condición física y la capacidad de recuperación, centrándose en mejorar la capacidad aeróbica, la fuerza muscular y la flexibilidad (Sariman et al., 2018; Yurgil et al., 2021). Este enfoque no solo mejora la experiencia general de jugar al tenis para los atletas recreativos, sino que también reduce al mínimo el riesgo de lesiones, lo que es particularmente crucial para preservar la salud y la movilidad en los grupos de mayor edad (Fernández-Fernández et al., 2009).
Otro hallazgo del presente estudio fue que las velocidades de peloteo eran más altas y los tiempos de juego más cortos en CD, lo que indica golpes más rápidos y transiciones más dinámicas en el juego. Este entorno podría mejorar los tiempos de reacción y la capacidad de movimiento rápido de los jugadores, lo que afectaría positivamente a la coordinación neuromuscular y a la agilidad general. Sin embargo, la mayor velocidad de los peloteos y las fuerzas de impacto asociadas a la CD podrían aumentar el riesgo de lesiones, especialmente entre los jugadores sénior.
Cabe señalar ciertas limitaciones inherentes a este estudio. En primer lugar, la investigación se llevó a cabo con jugadores de tenis masculinos sénior recreativos; por lo tanto, los resultados pueden no ser generalizables a jugadores de diferentes edades, géneros y niveles de habilidad. Además, no se tuvo en cuenta la influencia del juego en otras superficies, como la hierba o las pistas cubiertas. Otra limitación es la exclusión de tipos de movimiento específicos en el análisis, como saltos, giros, aceleraciones y desaceleraciones. Además, aunque los dispositivos GPS son ampliamente reconocidos como el método más popular y conveniente para medir la intensidad del ejercicio, la velocidad y la distancia recorrida, presentan limitaciones significativas (ICC = .70-.99; CV = 1.1-24.8%), especialmente en actividades caracterizadas por duraciones cortas y alta intensidad. Por lo tanto, es aconsejable que los lectores tengan en cuenta el margen de error inherente a estos instrumentos de medición al evaluar los resultados de este estudio (Duffield et al., 2010; Kilit et al., 2017).
5. Conclusiones
Los resultados de este estudio demuestran que jugar en CA provoca respuestas fisiológicas, velocidades de movimiento y atributos de juego superiores a los de CD. Concretamente, al jugar en CC, los tenistas sénior masculinos mostraron una mayor duración del partido, aumentaron la velocidad y cubrieron mayores distancias en varias zonas de velocidad en comparación a cuando jugaron en CD. Además, la CA fomentó un mayor número de golpes y una mejor sincronización. Por el contrario, la velocidad de los peloteos fue mayor y la duración de los partidos más corta en CD, lo que indica que los golpes fueron más rápidos durante el juego. Estos resultados sugieren que la superficie de juego influye directamente en las respuestas físicas de los tenistas sénior. En definitiva, este estudio mejora la comprensión de cómo las diferentes superficies de la cancha afectan a las respuestas fisiológicas y al rendimiento en el juego de los jugadores de tenis masculinos sénior.
Conflicto de intereses: los autores declararon no tener conflictos de intereses.
Financiación: los autores no tienen ninguna fuente de financiación.
Traducción al español: Este artículo fue traducido con la herramienta DeepL-Pro; la traducción fue revisada por Luis Fernando Aragón V., Ph.D., FACSM., Centro de Investigación en Ciencias del Movimiento Humano, Universidad de Costa Rica.
6. Referencias
Caserta, R. J., Young, J., y Janelle, C. M. (2007). Old dogs, new tricks: training the perceptual skills of senior tennis players. Journal of Sport and Exercise Psychology, 29(4), 479-497. http://dx.doi.org/10.1123/jsep.29.4.479
Chapelle, L., Clarys, P., Meulemans, S., y Aerenhouts, D. (2017). Physiological responses, hitting accuracy and step count of a tennis drill in function of court surface: A randomised cross-over design. International Journal of Performance Analysis in Sport, 17(4), 622-629. http://dx.doi.org/10.1080/24748668.2017.1378985
Drust, B., Waterhouse, J., Atkinson, G., Edwards, B., y Reilly, T. (2005). Circadian rhythms in sports performance-an update. Chronobiology International, 22(1), 21-44. http://dx.doi.org/10.1081/cbi-200041039
Duffield, R., Reid, M., Baker, J., y Spratford, W. (2010). Accuracy and reliability of GPS devices for measurement of movement patterns in confined spaces for court-based sports. Journal of Science and Medicine in Sport, 13(5), 523-525. http://dx.doi.org/10.1016/j.jsams.2009.07.003
Fernandez-Fernandez, J., Mendez-Villanueva, A., y Pluim, B. M. (2006). Intensity of tennis match play. British Journal of Sports Medicine, 40(5), 387-391. http://dx.doi.org/10.1136/bjsm.2005.023168
Fernandez-Fernandez, J., Mendez-Villanueva, A., Fernandez-Garcia, B., y Terrados, N. (2007). Match activity and physiological responses during a junior female singles tennis tournament. British Journal of Sports Medicine, 41(11), 711-716. http://dx.doi.org/10.1136/bjsm.2007.036210
Fernandez-Fernandez, J., Kinner, V., y Ferrauti, A. (2010). The physiological demands of hitting and running in tennis on different surfaces. The Journal of Strength & Conditioning Research, 24(12), 3255-3264. http://dx.doi.org/10.1519/jsc.0b013e3181e8745f
Fernandez-Fernandez, J., Sanz-Rivas, D., Fernandez-Garcia, B., y Mendez-Villanueva, A. (2008). Match activity and physiological load during a clay-court tennis tournament in elite female players. Journal of Sports Sciences, 26(14), 1589-1595. http://dx.doi.org/10.1080/02640410802287089
Fernandez-Fernandez, J., Sanz-Rivas, D., Sanchez-Muñoz, C., Pluim, B. M., Tiemessen, I., y Mendez-Villanueva, A. (2009). A comparison of the activity profile and physiological demands between advanced and recreational veteran tennis players. The Journal of Strength & Conditioning Research, 23(2), 604-610. http://dx.doi.org/10.1519/jsc.0b013e318194208a
Ferrauti, A., Kinner, V., y Fernandez-Fernandez, J. (2011). The Hit & Turn Tennis Test: An acoustically controlled endurance test for tennis players. Journal of Sports Sciences, 29(5), 485-494. http://dx.doi.org/10.1080/02640414.2010.539247
Galé-Ansodi, C., Castellano, J., y Usabiaga, O. (2016). Effects of different surfaces in time-motion characteristics in youth elite tennis players. International Journal of Performance Analysis in Sport, 16(3), 860-870. http://dx.doi.org/10.1080/24748668.2016.11868934
Girard, O., Eicher, F., Fourchet, F., Micallef, J. P., y Millet, G. P. (2007). Effects of the playing surface on plantar pressures and potential injuries in tennis. British journal of sports medicine, 41(11), 733-738. http://dx.doi.org/10.1136/bjsm.2007.036707
Gunay, H., y Kolayis, İ. E. (2020). The Relatıonship Between Functional Movement And Body Stability With Service Speed On Veteran Tennis Players. Turkish Journal of Sport and Exercise, 22(3), 464-472. https://dergipark.org.tr/en/pub/tsed/issue/58596/699174
Hopkins, W. G., Marshall, S. W., Batterham, A. M., y Hanin, J. (2009). Progressive Statistics for Studies in Sports Medicine and Exercise Science. Medicine & Science in Sports & Exercise, 41(1), 3-12. https://doi.org/10.1249/MSS.0b013e31818cb278
Hoppe, M. W., Baumgart, C., Bornefeld, J., Sperlich, B., Freiwald, J., y Holmberg, H.-C. (2014). Running activity profile of adolescent tennis players during match play. Pediatric Exercise Science, 26(3), 281-290. http://dx.doi.org/10.1123/pes.2013-0195
Hornery, D. J., Farrow, D., Mujika, I., y Young, W. (2007). An integrated physiological and performance profile of professional tennis. British Journal of Sports Medicine, 41(8), 531-536. http://dx.doi.org/10.1136/bjsm.2006.031351
International Tennis Federation. (2004). Assessment guide: ITN on court assessment. https://specialolympicspa.org/images/stories/Sports_Offered_Files/ITN_AssesmentGuide_Level_5_HP.pdf
International Tennis Federation. (2024). ITF Rules of Tennis. https://www.itftennis.com/media/7221/2024-rules-of-tennis-english.pdf
The International Tennis Number Test. (2016). ITN Categories. http://www.thaitennisfriendship.net/itn-mean--categories.html
Johnstone, J. A., Ford, P. A., Hughes, G., Watson, T., Mitchell, A. C., y Garrett, A. T. (2012). Field based reliability and validity of the bioharnessTM multivariable monitoring device. Journal of Sports Science & Medicine, 11(4), 643-652. https://www.ncbi.nlm.nih.gov/pmc/articles/PMC3763310/
Kachel, K., Buszard, T., y Reid, M. (2015). The effect of ball compression on the match-play characteristics of elite junior tennis players. Journal of sports sciences, 33(3), 320-326. http://dx.doi.org/10.1080/02640414.2014.942683
Kilit, B., y Arslan, E. (2017). Physiological responses and time-motion characteristics of young tennis players: Comparison of serve vs. return games and winners vs. losers matches. International Journal of Performance Analysis in Sport, 17(5), 684-694. http://dx.doi.org/10.1080/24748668.2017.1381470
Kilit, B., y Arslan, E. (2018). Playing tennis matches on clay court surfaces are associated with more perceived enjoyment response but less perceived exertion compared to hard courts. Acta Gymnica, 48(4), 147-152. http://dx.doi.org/10.5507/ag.2018.021
Kilit, B., Arslan, E., y Soylu, Y. (2018). Time-motion characteristics, notational analysis and physiological demands of tennis match play: A review. Acta Kinesiologica, 12(2), 5-12. https://akinesiologica.com/time-motion-characteristics-notational-analysis-and-physiological-demands-of-tennis-match-play-a-review/
Kilit, B., Şenel, Ö., Arslan, E., y Can, S. (2016). Physiological responses and match characteristics in professional tennis players during a one-hour simulated tennis match. Journal of Human Kinetics, 51, 83-92. https://doi.org/10.1515/hukin-2015-0173
Kulund, D. N., McCue III, F. C., Rockwell, D. A., y Gieck, J. H. (1979). Tennis injuries: prevention and treatment: A review. The American Journal of Sports Medicine, 7(4), 249-253. https://doi.org/10.1177/036354657900700409
Leach, R. E., y Abramowitz, A. (1991). The senior tennis player. Clinics in sports medicine, 10(2), 283-290. https://doi.org/10.1016/S0278-5919(20)30633-5
Mansencal, N., Perrot, S., Marcadet, D., Montalvan, B., y Dubourg, O. (2011). 266 Is cardiac remodeling physiological in veteran tennis players? Archives of Cardiovascular Diseases Supplements, 3(1), 87-88. http://dx.doi.org/10.1016/S1878-6480(11)70268-3
Marks, B. L. (2006). Health benefits for veteran (senior) tennis players. British Journal of Sports Medicine, 40(5), 469-476. https://doi.org/10.1136/bjsm.2005.024877
Martin, C., y Prioux, J. (2015). Tennis playing surfaces: The effects on performance and injuries. Journal of Medicine and Science in Tennis, 21(1), 11-19.
Martin, C., Thevenet, D., Zouhal, H., Mornet, Y., Delès, R., Crestel, T., Abderrahman, A. B., y Prioux, J. (2011). Effects of playing surface (hard and clay courts) on heart rate and blood lactate during tennis matches played by high-level players. The Journal of Strength & Conditioning Research, 25(1), 163-170. https://doi.org/10.1519/jsc.0b013e3181fb459b
Murias, J. M., Lanatta, D., Arcuri, C. R., y Laino, F. A. (2007). Metabolic and functional responses playing tennis on different surfaces. The Journal of Strength & Conditioning Research, 21(1), 112-117. https://doi.org/10.1519/00124278-200702000-00021
O’Donoghue, P., y Ingram, B. (2001). A notational analysis of elite tennis strategy. Journal of Sports Sciences, 19(2), 107-115. https://doi.org/10.1080/026404101300036299
Pereira, L. A., Freitas, V., Moura, F. A., Aoki, M. S., Loturco, I., y Nakamura, F. Y. (2016). The activity profile of young tennis athletes playing on clay and hard courts: Preliminary data. Journal of Human Kinetics, 50(1), 211-218. https://doi.org/10.1515/hukin-2015-0158
Pluim, B. M., Clarsen, B., y Verhagen, E. (2018). Injury rates in recreational tennis players do not differ between different playing surfaces. British Journal of Sports Medicine, 52(9), 611-615. https://doi.org/10.1136/bjsports-2016-097050
Pluim, B. M., Jansen, M. G., Williamson, S., Berry, C., Camporesi, S., Fagher, K., Heron, N., Janse van Rensburg, D. C., Moreno-Pérez, V., Murray, A., O’Connor, S. R., de Oliveira, F. C., Reid, M., van Reijen, M., Saueressig, T., Schoonmade, L. J., Thornton, J. S., Webborn, N., y Ardern, C. L. (2023). Physical demands of tennis across the different court surfaces, performance levels and sexes: a systematic review with meta-analysis. Sports medicine, 53(4), 807-836. http://dx.doi.org/10.1007/s40279-022-01807-8
Pluim, B. M., Staal, J. B., Marks, B. L., Miller, S., y Miley, D. (2007). Health benefits of tennis. British Journal of Sports Medicine, 41(11), 760-768. http://dx.doi.org/10.1136/bjsm.2006.034967
Ponzano, M., y Gollin, M. (2017). Movement analysis and metabolic profile of tennis match play: Comparison between hard courts and clay courts. International Journal of Performance Analysis in Sport, 17(3), 220-231. http://dx.doi.org/10.1080/24748668.2017.1331572
Prieto-Lage, I., Paramés-González, A., Argibay-González, J. C., Reguera-López-de-la-Osa, X., Ordóñez-Álvarez, S., y Gutiérrez-Santiago, A. (2022). Match analysis in women’s tennis on clay, grass and hard courts. International Journal of Environmental Research and Public Health, 19(13), 7955. http://dx.doi.org/10.3390/ijerph19137955
Reid, M. M., Duffield, R., Minett, G. M., Sibte, N., Murphy, A. P., y Baker, J. (2013). Physiological, perceptual, and technical responses to on-court tennis training on hard and clay courts. The Journal of Strength & Conditioning Research, 27(6), 1487-1495. http://dx.doi.org/10.1519/jsc.0b013e31826caedf
Rotella, R. J., y Bunker, L. K. (1978). Field dependence and reaction time in senior tennis players (65 and over). Perceptual and Motor Skills, 46(2), 585-586. http://dx.doi.org/10.2466/pms.1978.46.2.585
Sariman, M. H., Nik Yusof, N. N., Azam, M. Z., Wan Norman, W. M. N., y Abdul Razak, F. A. (2018). Comparison of Flexibility, Muscular Endurance, and Speed Among Veteran Male Tennis Player Between Clubs. In Regional Conference on Science, Technology and Social Sciences (RCSTSS 2016) Theoretical and Applied Sciences (pp. 1001-1006). Springer Singapore. https://acortar.link/n7lgZi
Sobel, J., Ellenbecker, T. S., y Roetert, E. P. (1995). Flexibility training for tennis. Strength & Conditioning Journal, 17(6), 43-51. https://www.researchgate.net/publication/245762630_Flexibility_Training_for_Tennis
Swank, A. M., Condra, S., y Yates, J. W. (1998). Effect of long term tennis participation on aerobic power, body composition, muscular strength, flexibility and serum lipids. Research in Sports Medicine: An International Journal, 8(2), 99-112. http://dx.doi.org/10.1080/15438629809512520
Therminarias, A., Dansou, P., Chirpaz-Oddou, M. F., y Quirion, A. (1990). Effects of age on heart rate response during a strenuous match of tennis. The Journal of sports medicine and physical fitness, 30(4), 389-396. https://pubmed.ncbi.nlm.nih.gov/2079845/
Therminarias, A., Dansou, P., Chirpaz-Oddou, M. F., Gharib, C., y Quirion, A. (1991). Hormonal and metabolic changes during a strenuous tennis match. Effect of ageing. International journal of sports medicine, 12(01), 10-16. http://dx.doi.org/10.1055/s-2007-1024647
Turkish Tennis Federation. (2024). TTF Tournament Guidelines. https://www.ttf.org.tr/images/talimatlar/2024/Masters_Tenis_Turnuvalari_Talimati.pdf
Vodak, P. A., Savin, W. M., Haskell, W. L., y Wood, P. D. (1980). Physiological profile of middle-aged male and female tennis players. Medicine & Science in Sports & Exercise, 12(3), 159-163. http://dx.doi.org/10.1249/00005768-198023000-00006
Yurgil, J. L., Meredith, T. J., y Martin, P. M. (2021). Athletic play surfaces and injury risk. Current sports medicine reports, 20(4), 188-192. http://dx.doi.org/10.1249/jsr.0000000000000828
Notas
Información adicional
Editor asociado responsable:: PhD. Luis Fernando Aragón Vargas
Este manuscrito fue sometido a una revisión mixta.: Damos las gracias al doctor Rafael Martínez Gallego, al doctor Miguel Crespo y al revisor doble ciego por sus revisiones.
Información adicional
redalyc-journal-id: 4420