Artículo original
Efecto estimulador del crecimiento de dos biopreparados biotecnológicos en cultivos de remolacha (Beta Vulgaris L.)
Growth stimulating effect of two biotechnological biopreparations in cultures of beet (Beta Vulgaris L.)
Efecto estimulador del crecimiento de dos biopreparados biotecnológicos en cultivos de remolacha (Beta Vulgaris L.)
Revista Cubana de Química, vol. 30, núm. 3, pp. 483-494, 2018
Universidad de Oriente
Recepción: 21 Diciembre 2017
Aprobación: 15 Febrero 2018
RESUMEN: La investigación se realizó durante los meses de abril-junio de 2017 en el organopónico “Jardín del Caribe”, con el objetivo de evaluar el efecto de Brevibacillus borstelensis B65 e IHplus sobre la emergencia y crecimiento de plantas de remolacha (Beta vulgaris L.). Se diseñaron cuatro tratamientos: T1 (control), T2 (IHplus), T3 (IHplus+B65) y T4 (B65). El porcentaje de emergencia se evaluó hasta los siete días después de la siembra y la altura de las plantas entre los 25 y 50 días. Las semillas tratadas con B65 emergieron a los tres días, un día antes con respecto al control. Las plantas del tratamiento T3 mostraron un valor promedio de 5 cm de altura mayor que el control. Los resultados mostraron que Brevibacillus borstelensis B65 tiene mayor efecto sobre la emergencia de semillas de remolacha. La combinación de ambos biopreparados tiene mayor efecto sobre el crecimiento de las plantas.
Palabras clave: Brevibacillus borstelensis B65, IHplus, Beta vulgaris L.
ABSTRACT: The present investigation was carried out between April-June of 2017 in “Garden Caribean” organoponic wich the objective of evaluating Brevibacillus's borstelensis B65 and IHplus effect on the emergence and the growth plants of Beta vulgaris L. They designed 4 treatments: T1 (control), T2 (IHplus), T3 (IHplus +B65) and T4 (B65). The percentage of emergence was evaluated to the 7 days after planting and the height of the plants between the 25 and 50 days. The seeds treated with B65 emerged after three days, one day before with respect to the control. The T3 treatment plants showed an average value of 5 cm in height greater than the control. The results evidenced than Brevibacillus's borstelensis B65 have bigger effect on the emergence of seeds of Beet. The biopreparados's combination has bigger effect on the growth of the plants.
Keywords: Brevibacillus's borstelensis B65, IHplus, Beta vulgaris L.
Introducción
La remolacha (Beta vulgaris L.) es un vegetal cultivado en casi todo el mundo para el consumo en fresco como ensalada, por su contenido de azúcares, minerales o beta caroteno, sustancias de suma importancia para la vitalidad del organismo humano en general. Es particularmente rica en folato, encontrándose que este y el ácido fólico previenen defectos de nacimiento del tubo neural (nervioso) y ayudan contra enfermedades cardíacas y anemia.1
La biofertilización cada vez adquiere mayor importancia en el mundo, no solo por los rendimientos que suelen alcanzarse sino también por lo económico de su aplicación y su contribución a la preservación del medio.2 Recientemente se informaron las potencialidades estimuladoras del crecimiento vegetal del aislado rizosférico Brevibacillus borstelensis B65 in vitro. La bacteria produce enzimas degradadoras de residuales de origen vegetal ricos en celulosa y pectina, polímeros que utiliza como fuentes de energía. De esta manera, se facilita el aumento de la población bacteriana en el suelo y como consecuencia, se potencian sus efectos positivos sobre el desarrollo de los cultivos. Estas características permitieron recomendar el uso de Brevibacillus borstelensis B65, como bioinoculante en cultivos fertilizados con residuos agrícolas ricos en celulosa y pectina.3
El uso de los microorganismos eficientes (ME) como biofertilizantes también se ha convertido en una práctica común entre las estrategias de manejo agrícola sostenible en diversos países, entre ellos Cuba.4 De esta tecnología surge una variada gama de productos como los fertilizantes orgánicos fermentados, abonos fermentados, biofermentos y lactofermentos como el IHplus, marca registrada por la Estación Experimental de Pastos y Forrajes, Indio Hatuey. Este producto se utiliza en la producción y sanidad de vegetales, en el tratamiento de residuales líquidos y sólidos, así como en la producción y salud animal.5
En Cuba el uso de los biofertilizantes ha tomado auge en los últimos años y se han desarrollado varios estudios en cultivos como el ají, berenjena, tomate, pimiento, tabaco, cebolla, plátano y arroz, entre otros.6 No obstante, no se reportan investigaciones en el cultivo de remolacha, motivo por el cual en la presente investigación se evaluó la incidencia de Brevibacillus borstelensis B65 e IHplus, sobre la emergencia y el crecimiento de plantas de esta hortaliza cultivadas en condiciones de organopónico.
Materiales y métodos
Esta investigación se desarrolló durante los meses de abril-junio de 2017 en el organopónico semiprotegido “Jardín del Caribe”, perteneciente a la Empresa Agropecuaria Guantánamo, centro de referencia del Programa Nacional de Agricultura Urbana, localizado a los 20o09´40,69” de latitud Norte y 75o12´47,19” de longitud Oeste. Las determinaciones se realizaron bajo condiciones de cultivo semiprotegido. Se utilizaron semillas de remolacha (Beta vulgaris L.), variedad Detroit, procedente del Banco de Semillas Provincial, perteneciente a la Empresa de Semillas de Santiago de Cuba.
Análisis del suelo
Para determinar la calidad del suelo del cantero escogido para dicha investigación se tomaron tres muestras del mismo y se realizó su caracterización en el Instituto Provincial de Suelos de la Delegación de la Agricultura de Guantánamo. Para la preparación de las muestras, estas se secaron en bandejas de plástico al aire libre, se trituraron en molino y luego fueron tamizadas utilizando un tamiz de 2 mm de diámetro.7 La determinación de pH se realizó a través del método Potenciométrico, utilizando un medidor de pH digital.8) Se utilizó el método Oniani para determinar el P2O5 y el K2O. El fósforo se determinó colorimétricamente utilizando un espectrofotómetro de 620 nm y el potasio por fotometría de llama.9 La cantidad de materia orgánica fue determinada por método Colorimétrico utilizando también un espectrofotómetro. El porciento de carbono y nitrógeno total se calculó a partir del por ciento de materia orgánica determinada.10
Preparados biotecnológicos utilizados
Para el tratamiento de las semillas se utilizó la bacteria Brevibacillus borstelensis B65, que se encuentra depositada en la Colección de Cultivos del Centro de Estudios de Biotecnología Industrial (CEBI), perteneciente a la Universidad de Oriente en Santiago de Cuba11, para ser utilizada como biofertilizante.12) También se utilizó el lactofermento IHplus, obtenido en el Centro de Desarrollo de la Montaña de la provincia de Guantánamo en colaboración con la Estación de Pastos y Forrajes Indio Hatuey.13
Preparación del inóculo de Brevibacillus borstelensis B65
Para la preparación del inóculo de Brevibacillus borstelensis B65, se cultivó la bacteria en Caldo Nutritivo BIOCEN a 30 ºC y pH 7 durante 18 h, en agitación a 50 rpm. Para concentrar la biomasa celular, el cultivo crecido se sometió posteriormente a centrifugación de 5 000 rpm y esta se resuspendió en agua destilada previamente esterilizada, hasta lograr una concentración celular de 108 UFC mL-1, utilizando el método turbidimétrico para ajustarla, a través de la escala de Mc Farland, reportada por el Comité Nacional de Procedimientos para Laboratorios Clínicos (NCCLS, siglas en Inglés).14 La densidad óptica se determinó a 625 nm. El ajuste del inóculo se realizó a partir del primer valor de la escala (0,5 mL) en soluciones de (1 %) de cloruro de bario dihidratado y ácido sulfúrico que corresponde a un valor de densidad bacteriana de 1,5 x 108 UFCmL-1.
Preparación del lactofermento IHplus
Para elaborar el IHplus, primeramente se obtuvo un lactofermento sólido. Se depositó sobre una superficie limpia 30 kg de hojarasca o mantillo del bosque y 45 kg de harina, se mezcló para que fuera totalmente homogénea. Luego se diluyeron 5 L de melaza, en 5 L de suero lácteo y se adicionó con una regadera a la mezcla de hojarasca y harina, para una mejor distribución de la humedad. Se depositó este sustrato en un tanque fermentador de 200 L en capas de 20 cm, realizando la compactación de cada capa con un mazo de madera, se selló herméticamente el tanque y se dejó fermentar por 21 días en un lugar fresco. Después de obtener este inóculo sólido se realizó una fermentación líquida: se disuelven 2 L de melaza en 10 L de suero lácteo y esta mezcla se vierte en el fermentador con 5 L de agua, agitando constantemente con una paleta de madera. Se colocó en una malla el inoculo sólido y se sumergió en el sustrato líquido, dejándose fermentar por un periodo de 7 días.15
Se controló la humedad de la mezcla sólida a través de la prueba del puño, la cual consiste en apretar una porción en el puño de la mano. Si se desmorona significa que la muestra escogida está muy seca. Si al presionarla escurre agua demuestra que la misma está muy húmeda. Si apretamos una muestra en el puño y se evidencia la humedad de la misma y al soltarlo mantiene la forma del interior del puño significa, que la mezcla está en óptimas condiciones para ser utilizada.15
Inoculación de los biopreparados biotecnológicos
Para la inoculación de Brevibacillus borstelensis B65, fueron embebidas 300 semillas de remolacha en la suspensión de esta bacteria e inmediatamente después fueron sembradas en el cantero. Luego 300 semillas más fueron embebidas en el lactofermento IHplus y secadas a la sombra por 30 min y fueron rápidamente sembradas en el cantero.
Otras 300 semillas fueron sumergidas en la mezcla de 1 L de suspensión bacteriana de Brevibacillus borstelensis B65 con 1L de IHplus, las que luego fueron sembradas inmediatamente. Todas las semillas fueron sembradas en un cantero orgánico consistente en una mezcla de tierra y estiércol vacuno (1:1). En los tres tratamientos se le aplicó a las semillas el mismo tiempo de inmersión de 20 min.
Experimentos
Las corridas experimentales se establecieron en un cantero dividido en 16 parcelas de 1,5 m de largo x 1 m de ancho con 4 tratamientos, T1 (control), T2 (semillas inoculadas con IHplus), T3 (semillas inoculadas con IHplus+B65) y T4 (semillas inoculadas con B65). Se realizaron 4 réplicas por cada tratamiento. Para la estimación de los parámetros estimuladores del crecimiento vegetal se seleccionaron 20 plantas de cada tratamiento (5 por cada réplica) y se desecharon las plantas de los extremos para evitar el efecto de borde. Se determinó el porcentaje de emergencia y la altura de las plantas.
Análisis estadístico
Para el procesamiento estadístico se empleó el análisis de ANOVA y la comparación de medias se llevó a cabo a través de la prueba de Rangos Múltiples de Duncan, para un nivel de significación de 95 %. Se empleó el análisis de varianza de clasificación múltiple por rangos de Kruskal-Wallis para analizar el porciento de emergencia, además del análisis de regresión simple para determinar la relación entre el tiempo y la respuesta en altura de cada tratamiento. Se utilizó el paquete estadístico Statgraphics Plus 5.1 para Windows. 16
Resultados y discusión
La tabla 1 nos muestra los resultados del análisis físico-químico del suelo. Se observa que las 3 muestras poseen altos porcientos de materia orgánica y carbono (> 5 mg/100 g). Los valores de potasio también son elevados (> 20 mg/100 g) y los del fósforo son medios (entre 31 y 45 mg/100 g). Estos resultados demuestran que el suelo cumple con los condiciones para ser cultivado.17,18

La emergencia es un proceso que se extiende hasta que las plántulas son capaces de desarrollarse por sí mismas, independientemente de las reservas de nutrientes existentes en las semillas.19

En la figura 1 se muestra el comportamiento de la emergencia de las semillas de remolacha con los cuatro tratamientos y una desviación estándar (σ) del 5 %. Se observa que las semillas tratadas con Brevibacillus borstelensis B65 comenzaron a germinar a los 3 días de sembradas. Las semillas tratadas con el IHplus y las no tratadas comenzaron a emerger al cuarto día. Nápoles y colaboradores obtuvieron resultados similares con esta bacteria en la emergencia de semillas de berenjena y ají(20), al igual que en semillas de Moringa.(21)
Las semillas tratadas con la combinación de la suspensión bacteriana y el lactofermento IHplus comenzaron a germinar también al tercer día, aunque en menor porcentaje, por lo que se puede concluir que el efecto sobre la emergencia en las semillas tratadas con la combinación de ambos productos es producido por Brevibacillus borstelensis B65.
Este resultado puede estar relacionado con la capacidad que posee esta bacteria de liberar fitohormonas como etileno y ácido indolacético.(3) Ambas hormonas vegetales pueden influir sobre varios procesos fisiológicos de la planta, entre los que se encuentra la emergencia.(20) Además el ácido indolacético actúa sobre la elongación y la diferenciación de las células en la zona de crecimiento activo de la raíz(22), por lo cual es posible asociar los efectos que ejerció Brevibacillus borstelensis B65 sobre el incremento de la plantas germinadas.
En la figura 2 se grafica las medianas del porciento de emergencia para un 95 % de confianza. Se muestra que los mejores resultados se alcanzaron el cuarto día después de la siembra, con un 95 % de semillas germinadas.

La tabla 2 muestra los resultados obtenidos al realizar la prueba de Kruskal-Wallis donde se determinó si existían o no diferencias significativas entre las medianas de los porcientos de emergencia. Al evaluar el comportamiento de dicho parámetro se demuestra que el Valor-P obtenido es menor que 0,05 por lo que existe una diferencia estadísticamente significativa entre las medianas con un nivel del 95 % de confianza.

Se realizó el test de Levene's considerando como hipótesis nula que la desviación estándar es igual dentro de cada una de las 3 columnas. El Valor-P obtenido es mayor o igual que 0,05, resultado que evidencia que no existe una diferencia estadísticamente significativa entre las desviaciones estándar, con un nivel del 95,0 % de confianza.
En la figura 3 se puede apreciar que las plantas del tratamiento T3 (B65+IHplus) alcanzaron alturas promedios de 5 cm más que las plantas del control. El resultado obtenido puede estar relacionado a la capacidad que posee Brevibacillus borstelensis B65 de liberar fitohormonas como etileno y ácido indolacético3, y a la capacidad que posee el IHplus de proporcionar la rápida descomposición de macromoléculas que propicia la estimulación del crecimiento de las plantas.15

Las plantas tratadas solo con el lactofermento (T2), mostraron mayor crecimiento que las tratadas con la bacteria (T4), por lo que se puede sugerir que el biopreparado a partir de microorganismos eficientes tiene mayor efecto estimulador que la suspensión bacteriana en el crecimiento de las plantas. Lo anteriormente expuesto puede ser posible por la acción beneficiosa que ejercen los lactofermentos en las condiciones físicas, químicas y biológicas de los suelos. Estos efectos beneficiosos permiten aumentar la actividad fotosintética de los cultivos, asegurando un mejor desarrollo de las plantas.23
Se puede observar que en todas las ecuaciones de regresión existe un coeficiente de determinación (R2) mayor al 97 %, lo cual quiere decir que existe una probabilidad igual o mayor que el 97 % de que con la aplicación de estos tratamientos puede existir un mejor resultado en el crecimiento y rendimiento productivo de la planta.
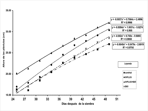
En la figura 4 se muestra el comportamiento de la altura de las plántulas con los diferentes tratamientos, para una deviación estándar (σ) con un 5 % de error. Se puede apreciar que todos los tratamientos mostraron mayor porciento de altura de las plantas que el control. Se distingue que las plantas tratadas con IHplus mostraron mejores resultados que las plantas tratadas con Brevibacillus borstelensis B65 y que el mejor promedio de altura se obtuvo en el tratamiento de la combinación de ambos, por lo que se puede concluir que ambos bioestimulantes tienen efecto sobre el crecimiento de las mismas.
Este resultado puede estar relacionado con la capacidad que posee los lactofermentos de excretar vitaminas, ácidos orgánicos, minerales, quelatos y sustancias antioxidantes que contribuyen a suprimir el crecimiento de los microorganismos fitopatógenos generando nutrientes asimilables por las plantas, estimulando su crecimiento.15 Este lactofermento proporciona una rápida descomposición de macromoléculas, haciendo que los macro y micro nutrientes solubles estén disponibles por la rápida descomposición, la cual es causa directa de la hidrólisis que realizan los microorganismos como funcionamiento normal de su metabolismo para la obtención de nutrientes.15

Conclusiones
El biopreparado elaborado a partir de Brevibacillus borstelensis B65 mostró un mayor efecto estimulador sobre la emergencia de semillas de remolachas cultivadas. Se observó que las semillas bajo este tratamiento comenzaron a emerger a partir de los 3 días, mientras que las semillas de la muestra control comenzaron germinar a partir de los 4 días. La mezcla de Brevibacillus borstelensis B65 e IHplus mostró un mayor efecto en el crecimiento de las plantas de remolacha con respecto al control, alcanzando alturas promedio mayores en 5 cm que las plantas pertenecientes al control. La inoculación de la combinación de IHplus y Brevibacillus borstelensis B65 demostró un mayor efecto estimulador en la emergencia de semillas y crecimiento de las plantas de remolacha con respecto al control.
Referencias bibliográficas
1. TERRANOVA ROCHA, D. P. Comportamiento agronómico del cultivo de remolacha (Beta vulgaris L.), variedad “tall top early wonder AGF” sembrada en diferentes distanciamientos, en la zona de Babahoyo. Tesis de Grado, Universidad Central del Ecuador, Ecuador, 2014.
2. NÚÑEZ SOSA, D. B. et al. “Resultado de la aplicación de biofertilizantes a base de Azospirillum y micorrizas en asociaciones de cultivos hortícolas en condiciones de semiprotegido”. Centro Agrícola. 2013, 40 (1), 23-28. ISSN 0253-5785
3. KUMAR, A.; PRAKASH, A.; JOHRI, B. N. Bacillus as PGPR. Bacteria in Agrobiology: Crop Ecosystems. DOI 10.1007/978-3-642-18357-7_2, 2011.
4. MESA, J. et. al. “Efecto de los Microorganismos Eficientes (ME) en la producción de posturas de fruta bomba (Carica papaya L.) en la Empresa Agropecuaria “Horquita”. Agroecosistemas. 2015, 3 (1), 372-378. ISSN-L 2415-2862
5. SÁNCHEZ, V. Evaluación de alternativas de inversión para la producción del bioproducto IHplus. Tesis en opción al Título de Máster, Universidad de Matanzas Camilo Cienfuegos, Cuba, 2011.
6. HERNÁNDEZ, M. et al. “Utilización de los microorganismos biofertilizantes en los cultivos tropicales”. Pastos y Forrajes. 1994, 17 (3), 183-192. ISSN: 2078-8452
7. COMITÉ TÉCNICO DE NORMALIZACIÓN. NC-ISO 11464:1999. Calidad del suelo. Pretratamiento para análisis físicos-químicos. 1ra Edición. La Habana, Cuba, 1999.
8. COMITÉ TÉCNICO DE NORMALIZACIÓN. NC-ISO 10390:1999. Calidad del suelo. Determinación de pH. 1ra Edición. La Habana, Cuba, 1999.
9. COMITÉ TÉCNICO DE NORMALIZACIÓN. NC 52:1999. Calidad del suelo. Determinación de las formas móviles de fosforo y potasio. 1ra Edición. La Habana, Cuba, 1999.
10. COMITÉ TÉCNICO DE NORMALIZACIÓN. NC 51:1999. Calidad del suelo. Análisis químicos. Determinación del por ciento de Materia Orgánica. 1ra Edicion. La Habana, Cuba, 1999.
11. TERRAGNO, R. et al. Base de Colecciones de Cultivos Microbianos. 2014 [Consultado: 6/09/2017]. Disponible en <Disponible en http://www.aam.org.ar/cultivos_microbianos. shtml>.
12. ORBERÁ, T. et al. “Aislamiento y caracterización de endospora aeróbica formando Bacilos de rizósfera de caña de azúcar para la selección de tensiones con potencialidades en la agricultura”. Publicación Mundial de Microbiología y Biotecnología. 2012, 28, 1593-1603. ISSN 0959-3993
13. BLANCO, D. et al. “Effect of the bioproduct IHplus® on the productive and health indicators of pre-fattening pigs”. Pastos y Forrajes. 2017, 40 (3), 201-205. ISSN 2078-8452
14. THORNSBERRY, C. NCCLS. “Estándares para la prueba de suceptibilidad antimicrobiana”. Laboratory Medicine. 2016, 14 (9), 549-553. ISSN 0007-5027.
15. DÍAZ, A. et al. Lactofermentos. Guía Técnica para su elaboración y aplicación en la producción agropecuaria. Cuba: FUNDASES, 2015. ISBN 978-959-234-100-5.
16. VAN BELLE, G. et al. Bioestadística: Una metodología para las Ciencias de la Salud. 2da Edición. Nueva Jersey: John Wiley & Sons, INC, 2004. ISBN 0-471-03185-2.
17. RODRÍGUEZ, J. Determinación de propiedades químicas de suelos pardos mullidos medianamente lavados mediante espectroscopia de reflectancia VIS/NIR. Tesis en opción al Título de Máster, Universidad Central Marta Abreu de las Villas, Santa Clara, 2015.
18. PANEQUE, V. M. et al. Manual de Técnicas analíticas para análisis de suelo, foliar, abonos orgánicos y fertilizantes químicos. La Habana, Cuba: Ediciones INCA, 2010. ISBN: 978-959-7023-51-7
19. NÁPOLES, S. Efectos de Brevibacillus borstelensis B65 sobre el crecimiento y la productividad de hortalizas en condiciones de organopónico. Tesis en opción al Título de Máster, Universidad de Oriente, Santiago de Cuba, 2013.
20. NÁPOLES, S. et al. “Efectos de Brevibacillus borstelensis B65 sobre la germinación y el desarrollo de posturas de hortalizas en fase de semillero”. Cultivos Tropicales. 2014, 35 (3), 17-23. ISSN 1819-4087.
21. NÁPOLES, S. et al. “Impacto de los productos naturales Pectimorf® y biopreparado bacteriano rizosférico en la producción de Moringa Oleifera L. en vivero”. Ciencia en su PC. 2017, 3, 53-65. ISSN: 1027-2887.
22. ORBERÁ, T. Bacterias rizosfericas de la clase Bacilli con potencialidades para la estimulación del crecimiento vegetal y el control de hongos fitopatógenos. Tesis en opción al Título de Doctor en Ciencias Biológicas, Universidad de Oriente, Santiago de Cuba, 2012.
23. LUNA, M. A.; MESA, J. R. “Microorganismos eficientes y sus beneficios para los agricultores”. Agroecosistemas. 2016, 4 (2), 31-40. ISSN: 2415-2862.
Notas de autor
*Autor de correspondencia: Correo electrónico: taniyurkis.tellez@gtm.emcomed.cu