Artículo original
Primera caracterización de emisiones contaminantes y la calidad del aire en Ica, Perú
First characterization of pollutant emissions and air quality in Ica, Peru
Primera caracterización de emisiones contaminantes y la calidad del aire en Ica, Perú
Revista Cubana de Química, vol. 33, núm. 1, pp. 138-152, 2021
Universidad de Oriente
Recepción: 27 Octubre 2020
Aprobación: 10 Diciembre 2020
RESUMEN: La contaminación del aire aumenta debido a la urbanización, la industrialización, el parque automotor y otras actividades antrópicas. El material particulado y los gases de efecto invernadero son los principales contaminantes. El objetivo de la investigación fue caracterizar las emisiones contaminantes y la calidad del aire en Ica, Perú, incluida como zona de atención prioritaria. Se tomaron muestras en dos puntos durante 2019, para un análisis cualitativo y cuantitativo del aire. Las Partículas en Suspensión PM10, así como los gases (SO2, NO2, y H2S), son inferiores a los normados en las Normas Nacionales de Calidad en ambas estaciones de monitoreo (E-1 y E-2). Sin embargo, el Material Particulado PM2.5, supera lo establecido en las normas nacionales de calidad ambiental en la estación E-2.Se evidencia el mayor riesgo del MP2,5 a la salud de la población, siendo el sector transporte una de las fuentes de emisión significativa en Ica.
Palabras clave: contaminantes del aire, salud humana, exposición al aire contaminado, actividades antropogénicas.
ABSTRACT: Air pollution increases due to urbanization, industrialization, the automobile fleet and other anthropic activities. Particulate matter and greenhouse gases are the main air pollutants. The objective of the research was to characterize pollutant emissions and air quality in Ica, Peru, included as a priority attention area. Samples were taken at two points in the city during 2019, for a qualitative and quantitative analysis of the air. PM10 Suspended Particles, as well as gases (SO2, NO2, y H2S), are lower than those regulated in the National Quality Standards in both monitoring stations (E-1 and E-2). However, the PM2.5 Particulate Material exceeds what is established in the national environmental quality standards at the E-2 station. The city of Ica is included as a priority attention area. The greater risk of PM2.5 to the health of the population is evident, with the transport sector being one of the most important sources of emissions.
Keywords: air pollutants, human health, exposure to polluted air, air quality, anthropogenic activities.
Introducción
En la actualidad el mundo se enfrenta a importantes problemas ambientales, el calentamiento global, el deterioro de la capa de ozono, la acumulación de desechos, etc. En las últimas décadas, se ha planteado que el clima global está cambiando rápidamente y que este cambio continuará.1 Por lo tanto, existe una necesidad urgente de mitigar estos problemas indeseables derivados de nuestra forma de vida moderna, para salvar nuestro medio ambiente y nuestro mundo.2
La contaminación no es un problema, es más bien un conjunto de problemas relacionados entre sí, con efectos también diversos, el cual varía de acuerdo al tiempo de exposición al aire contaminado, siendo éste el que determina su efecto nocivo, por lo que cuando se habla de los agentes o materiales contaminantes se debe mencionar la cantidad y tiempo para evaluar sus efectos. Así mismo la contaminación es propagada o dispersada por la circulación de las masas de aire, los cuales son arrastrados por los vientos a grandes distancias.2
La contaminación del aire se convierte en el mayor riesgo ambiental para la salud.3) La calidad del aire ambiente se ha deteriorado hasta tal punto que sus efectos adversos pueden tener un impacto significativo en la salud y el bienestar de los seres humanos. Estos contaminantes afectan la salud de los seres humanos y los animales, dañan la vegetación y los materiales, reducen visibilidad y radiación solar y afectan el tiempo y el clima.3) Se ha observado que la exposición a éstos puede afectar la salud humana de varias maneras: enfermedades cardíacas y derrames cerebrales. Además de enfermedades respiratorias crónicas y cáncer de pulmón.3 Estudios epidemiológicos recientes han indicado que la contaminación del aire tiene un impacto negativo en los resultados del embarazo 4 los comportamientos sociales5 y las actividades de aprendizaje.6
El sudeste asiático es ahora la región más contaminada del mundo. Los países de bajos y medianos ingresos en el sudeste asiático tenían una gran carga relacionada con la contaminación del aire, con un total de 3,3 millones de muertes relacionadas con la contaminación del aire interior y 2.6 millones de muertes debido a la contaminación del aire exterior.6) Estudios previos sobre la calidad del aire reportaron altos niveles de gases ácidos en el exterior, como el NO2 y el SO2.7) Debido al aumento en el uso de energía y la población, así como al rápido desarrollo e industrialización, ha sido inevitable enfrentar problemas de contaminación del aire en muchas ciudades de todo el mundo.8 Además, en ausencia de políticas ambientales adecuadas, este crecimiento también puede tener importantes costos económicos y sociales.
El Perú, como otros países en desarrollo, enfrenta problemas relacionados con la emisión de contaminantes que han afectado la calidad del aire.9 Entre estos se encentra el material particulado, gases, humos, los óxidos de nitrógeno producidos por las fábricas, el dióxido de azufre de las centrales termoeléctricas y fábricas, el monóxido de carbono de los tubos de escape de los vehículos en movimiento, chimeneas e incineradores, el ozono y los oxidantes fotoquímicos, los residuos provenientes de la combustión incompleta de los hidrocarburos proveniente de los tubos de escape de autobuses y aviones.9,10 La Organización Mundial de la Salud (OMS), en el informe sobre la contaminación global del aire exterior en 2014 señaló que Lima, capital de Perú, era una de las ciudades más contaminadas de las Américas.3,10) Sin embargo, la información sobre la condición del aire de la ciudad de Ica es limitada. El Plan Nacional Concertado de Salud se sostiene en los compromisos que el Estado ha asumido en materia de salud, en los objetivos de desarrollo del milenio, en los que se pretende garantizar la sostenibilidad del medio ambiente y reducir el peligro para la salud ambiental de los ciudadanos.11
En los últimos años se informa que la prevalencia del asma ha aumentado en numerosos países,con tasas más elevadas en las zonas urbanas y relacionadas con la contaminación atmosférica.12 También se plantea que el deterioro de la calidad del aire, se debe a las emisiones provenientes de las fuentes móviles como el transporte, de las actividades industriales y pesqueras en la provincia de Pisco y de la pequeña minería informal y mediana minería en la provincia de Nazca. Estas fuentes de emisión están consideradas entre las principales causas de la contaminación del aire. Además, se puede señalar la presencia de combustibles fósiles en la matriz energética del país y la limitada implementación de tecnologías limpias en las actividades productivas, debido a variables de orden tecnológico y económico que impiden disminuir las emisiones y mejorar la calidad del aire.8
Muchos de los óxidos de nitrógeno son incoloros e inodoros. Sin embargo, el dióxido de nitrógeno (NO2), un contaminante común, forma en el aire junto a las partículas en suspensión una capa entre rojiza y marrón que cubre muchas zonas urbanas.12) Para reducir el impacto de la contaminación del aire en la salud, es básico comprender la descripción general de la contaminación del aire. Por otra parte, el grado de conocimiento y sensibilización de los efectos sobre la salud de la contaminación del aire por parte de los profesionales sanitarios y de los ciudadanos en general es aún escaso. Debido a datos insuficientes, el trabajo principalmente se limita a describir el estado de la calidad del aire. En este sentido el objetivo de la investigación fue caracterizar las emisiones contaminantes en la ciudad de Ica, Perú.
Materiales y métodos
Área de estudio
El estudio se llevó a cabo en Ica, ciudad del centro sur del Perú, capital del departamento de Ica. Este departamento está ubicado en el centro oeste del país, limitando al norte con Lima, al este con Huancavelica y Ayacucho, al sur con Arequipa y al oeste con el Océano Pacifico. Con 21 327 km² es el sexto departamento menos extenso y se fundó el 30 de enero de 1866. Su territorio es casi por completo parte del desierto costero del Perú y conforma el llamado gran tablazo de Ica. La ciudad de Ica, incluye 5 distritos urbanos, es la decimoprimera ciudad más poblada del Perú y albergaba una población de más de 300000habitantes. Actualmente se destaca por su amplia producción agroexportadora.13) situada en el estrecho valle que forma el río Ica, entre el Gran Tablazo de Ica y las laderas occidentales de la Cordillera de los Andes.
Puntos de Monitoreo de Calidad de Aire
Se establecieron dos puntos de monitoreo de la calidad del aire en el cercado de Ica, ambos localizados dentro de la ciudad, Icay con una distancia de 13 km entre ellos. El punto E-1 se localizó en la Ciudad Universitaria U.S.L.G. (Coordenadas UTM: 420795 E 8 442 708 N, Datum WGS84 Huso 18 Sur) a 445 m.s.n.m. El punto E-2 se localizó en la Plaza de Armas del distrito de Salas Guadalupe (Coordenadas UTM: 416539 E 8453 683 N, Datum WGS84 Huso 18 Sur) a 453 m.s.n.m. (figura 1).

Observaciones e instrumentos
Sea evaluaron las concentraciones de dióxido de azufre (SO2), dióxido de nitrógeno NO2, sulfuro de hidrogeno (H2S), material particulado (PM10) y material particulado (PM2.5). El período de observación fue del 10 al 11 del mes de enero y del 30al 31 de agosto del 2019, en los dos puntos seleccionados. La toma de muestras en campo se realizó siguiendo los criterios establecidos en el Reglamento de Estándares Nacionales de Calidad de Aire.14 La climatología en la ciudad de Ica fue obtenida de Servicio Nacional de Meteorología e Hidrología del Perú (SENAMHI).
Para el registro en campo de los parámetros meteorológicos se ha empleado una estación meteorológica Davis Instruments, modelo Vantage Pro Plus #6162. Se utilizó un GPS (Garmin ETREX) para georreferenciar la zona, levantar información de las coordenadas UTM, sistema: WGS-84, Zona: 18L. Además, se utilizó un tren de muestreo de gases electrónico TECHXPERT, medidor de flujo para recoger y/o concentrar los compuestos químicos de interés. Se empleó un muestreador de material particulado Hi-vol (TISCH) y el método separación inercial/ filtración.
Los muestreos puntuales se realizaron según la normativa peruana vigente.15,16 Reglamento de Estándares Nacionales de Calidad de Aire,14 Estándares de Calidad Ambiental para Aire;17 yEstándares de Calidad Ambiental para Aire.18
Norma de Calidad Ambiental para el Aire
Los resultados se compararon con los normas de calidad ambiental (NCA) para el Aire, según la normativa ambiental vigente (tabla 1).14-18

Resultados y discusión
Climatología
La temperatura promedio se relaciona con dos períodos regularmente definidos durante el año. La primera de dato máximo tomado en el mes de enero (verano) con temperatura de 28,50°C, y la segunda de dato mínimo tomado en el mes de agosto (invierno) con temperatura 19 °C. La tabla 2 muestra la humedad relativa. Basamos el nivel de comodidad de la humedad sobre la base del punto de rocío. Cuando los puntos de rocío son más bajos se siente más seco y cuando son altos se siente más húmedo.

Caracterización de emisiones contaminantes y la calidad del aire
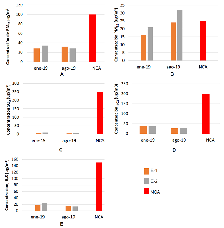
En ambas estaciones (E-1 y E-2) se registró una concentración de material particuladoPM10 inferior a lo recogido en la norma de calidad ambientalvigente, comparado con los límites máximos permisibles del Decreto Supremo N°003-2017-MINAM en el que se establecen las Normas Nacionales de Calidad Ambiental del Aire18, cuyo valor 100 µg/m3 (figura 2 A).

Leyenda:
A. Concentración de PM10. B. Concentración de PM2.5. C. Concentración de SO2. D. Concentración de NO2. E Concentración de H2S.
En el muestreo de enero la concentración fue ligeramente mayor en el punto E-2 (34 µg/m3) mientras que en agosto fue ligeramente mayor en el punto E-1 (32 µg/m3). Sin embargo, ambos puntos E-1 y E-2 cumplen con la norma de calidad ambiental (NCA), ya que su concentración es inferior los límites máximos permisibles, que hacen referencia a los niveles máximos de material particulado establecidos por la norma y que no representa un riesgo significativo a la salud y el ambiente.14-18
Respecto al material particulado PM2,5, en el muestreo de enero se registró en ambas estaciones una concentración inferior límitenormado parala calidad ambiental.18 Sin embargo, en la segundo muestreo de agosto, se detectó una concentración cercana al NCA en el punto E-1 (21µg/m3) y superior al NCA en el punto E-2 (32 µg/m3) (Fig. 2 B). Según los criterios planteados por Cuesta et al.19 existe una calidad deficiente del aire en esta estación, respecto a los valores de PM2.5en agosto. En este sentido sobrepasa hasta un 128 % el valor de la norma de calidad ambiental (NCA), estipulados en la legislación peruana.14-18) Este resultado alerta sobre la importancia de este tipo de monitoreo, ya que los valores pueden estar relacionado con un ligero incremento en la frecuencia y severidad de los efectos adversos agudos y crónicos en la población general, que reside en las inmediaciones de este lugar, y principalmente en personas con enfermedades cardiovasculares, respiratorias, alérgicas y en otras de elevada susceptibilidad.20 Con estudios similares se pueden identificar los periodos en que pueda agravarse la calidad del aire y así emitir una alerta para minimizar su impacto.
Las PM2.5 son partículas ultra finas con capacidad de alcanzar las membranas más internas de los tejidos pulmonares.21) El origen de estas partículas puede ser natural o antropogénico. La partícula natural es producida por acciones propias del funcionamiento de la vida, como son las partículas del suelo arrastrado por el viento: polen, esporas, actividades volcánicas, sales marinas que son parte del agua que se evapora, residuos de hojas, pieles y plumajes y excrementos transportados por el aire. Las partículas artificiales o antropogénicas son producidas por el hollín vehicular, el desgaste de llantas y los neumáticos. Otra fuente artificial importante lo constituyen las actividades industriales especialmente relacionadas con el consumo de combustible fósil, carbón y gasolina.3,10
Estas partículas son más tóxicas y más dañinas para la salud humana que las partículas gruesas (diámetro aerodinámico promedio> 2.5 μm). Cuando se inhala, el PM2.5 ingresa al torrente sanguíneo y se trastoca a órganos vitales, como el hígado, el bazo, el corazón y el cerebro. Los resultados adversos para la salud derivados de la inhalación de PM2.5 incluyen entre otros, el deterioro de la función pulmonar, el aumento de la presión arterial y el déficit cognitivo.22 PM2.5 también puede provocar un accidente cerebrovascular, cáncer de pulmón y algunas otras enfermedades.23
Los datos de concentraciones de dióxido de azufre (SO2) se encuentran con concentraciones por debajo del ECA vigente, de 20 μg/m3 (figura 2 C).14-18 La combustión de carburantes fósiles ricos en azufre es la principal fuente antropogénica de estos óxidos y representa cerca de un tercio del total del SO2 atmosférico.24 Varias especies de animales y humanos, pueden verse afectados negativamente con el dióxido de azufre, por lo que su monitoreo es importante en los inventarios sobre las emisiones de contaminantes a la atmósfera.
Las concentraciones de NO2y H2S que se registró en ambas estaciones, también se encuentran muy por debajo del valor que indica el ECA (figura2 D y E). En los puntos de muestreo seleccionados prioritarios se cuenta con información de calidad del aire referida a los parámetros NO2. Esto debería tener programa de vigilancia de la calidad del aire permanentemente y en otras, realizado como parte del diagnóstico de línea base, siendo por tanto, muestreo puntual. Según los estudios de Cuesta, et al12 las elevadas concentraciones de dióxido de nitrógeno pueden estar relacionadas con un incremento en la frecuencia y severidad de los efectos adversos agudos y crónicos en la población general y principalmente en personas con enfermedades cardiovasculares, respiratorias, alérgicas y en otras de elevada susceptibilidad, solo detectable mediante investigaciones muy específicas y sensibles. Las investigaciones vinculadas a la contaminación atmosférica a nivel local, está relacionado con las altas concentraciones que producen los centros industriales y urbanos y de ahí su importancia de realizarlos en ciudades como ICA.1,4
Conclusiones
Esta es la primera vez que se realiza una caracterización sobre las emisiones de contaminantes a la atmósfera en la ciudad de Ica. Los niveles de concentración de Partículas en Suspensión PM10, así como los gases (SO2, NO2, y H2S), hallados en las dos estaciones de monitoreo fueron inferiores a las referidas en la normativa ambiental peruana vigente. Sin embargo, se identifica una alerta en el parámetro de material particulado PM2.5.
Agradecimientos
Reconocimiento al apoyo prestado por los profesionales de la Consulting A&B Group Perú, por su apoyo en el monitoreo y análisis respectivos y las personas que han colaborado con el desarrollo del presente Proyecto de Investigación, en especial al Dr. Ramiro Zuzunaga Morales, Docente de la Facultad de Ingeniería Ambiental y Sanitaria de la Universidad Nacional “San Luis Gonzaga” de Ica. También a los estudiantes del IX Ciclo de Ingeniería Ambiental y Sanitaria Pedro Luis Berrocal Pacheco y Emily Zuzunaga Concha.
Referencias bibliográficas
1. SHARMA, A., SAXENA, A., SETHI, M., & SHREE, V. Life cycle assessment of buildings: a review. Renewable and Sustainable Energy Reviews, 2011, 15 (1), 871-875. ISSN: 1364-0321. https://doi.org/10.1016/j.rser.2010.09.008
2. HOUGHTON, J. T., DING, Y., GRIGGS, D. J., NOGUER, M., VAN DER LINDEN, P. J., DAI, X., MASKELL, K., & JOHNSON, C. A., et al. Climate change 2001: The Scientific Basis. 1ra Edición. Cambridge, England: Cambridge University Press, 2001. ISBN 0521-01495-6.
3. WORLD HEALTH ORGANIZATION. Ambient air pollution: A global assessment of exposure and burden of disease. Geneva, Switzerland: WHO Document Production Services, 2016. ISBN 9789241511353.
4. QIAN, Z., ZHANG, B., LIANG, S., WANG, J., YANG, S., HU, K., TREVATHAN, E. & HU, R. Ambient air pollution and adverse pregnancy outcomes in wuhan, China.Research Report 189. Boston, MA: Health Effects Institute. ISBN 0624-03445-1.
5. WIN-SHWE, T. T., KYI-THA-THU, C., MOE, Y., FUJITANI, Y., TSUKAHARA, S., & HIRANO, S. “Exposure of BALB/c mice to diesel engine exhaust origin secondary organic aerosol (DE-SOA) during the developmental stages impairs the social behavior in adult life of the males”. Frontiers in neuroscience. 2016, 9, 524. ISSN 1662-453X https://doi.org/10.3389/fnins.2015.00524.
6. NWAY, N. C., FUJITANI, Y., HIRANO, S., MAR, O., & WIN-SHWE, T. T. “Role of TLR4 in olfactory-based spatial learning activity of neonatal mice after developmental exposure to diesel exhaust origin secondary organic aerosol”. Neuro Toxicology. 2017, 63, 155-165. ISSN 0161-813X. https://doi.org/10.1016/j.neuro.2017.10.001.
7. SIMKHADA, K.; MURTHY, K. V.; KHANAL, S. N. “Assessment of ambient air quality in Bishnumati corridor, Kathmandu metropolis”. International Journal of Environmental Science & Technology. 2005, 2(3), 217-222. ISSN 1735-2630. https://doi.org/10.1007/BF03325878.
8. OZKURT, N., SARI, D., AKALIN, N., & HILMIOGLU, B. “Evaluation of the impact of SO2 and NO2 emissions on the ambient air-quality in the Çan-Bayramiç region of northwest Turkey during 2007-2008. Science of the total environment”. 2013, 456, 254-266. ISSN: 0048-9697. https://doi.org/10.1016/j.scitotenv.2013.03.096.
9. MINAM. (2014). Informe Nacional de la Calidad del Aire 2013-2014. Ministerio del Ambiente (MINAM), Viceministerio de Gestión Ambiental y Dirección General de Calidad Ambiental. https://www.minam.gob.pe/wp-content/uploads/2016/07/Informe-Nacional-de-Calidad-del-Aire-2013-2014.pdf. [fecha de consulta: 08 febrero 2021].
10. HANSEL, N. N., ROMERO, K. M., POLLARD, S. L., BOSE, S., PSOTER, K. J., et al. “Ambient air pollution and variation in multiple domains of asthma morbidity among Peruvian children”. Annals of the American Thoracic Society, 2019, 16(3), 348-355. ISSN 2325-6621. https://doi.org/10.1513/AnnalsATS.201807-448OC.
11. MINSA. (2007). Ministerio de Salud con la Resolución Ministerial N°589-2007/MINSA, aprobar el Plan Nacional Concertado de Salud. http://bvs.minsa.gob.pe/local/MINSA/000_PNCS.pdf. [fecha de consulta: 08 febrero 2021].
12. CUESTA, O.; CABRERA, A. “El dióxido de nitrógeno (NO2) troposférico en diferentes sistemas meteorológicos en dos localidades de la Cd. de La Habana”. Atmósfera, 1994, 7 (1), 31-46. ISSN 0187-6236. http://www.redalyc.org/pdf/565/56507102.pdf.
13. Gómez, R., & Flores, F. Agriculture and ecosystem services: A case study of asparagus in Ica, Peru. Apuntes. 2015, 42(77). ISSN 0252-1865
14. PERÚ, Presidencia del Consejo de Ministros. Decreto Supremo Nº 074-2001-PCM: Reglamento de estándares nacionales de calidad ambiental del aire. Lima: Presidencia del Consejo de Ministros. 2001. p. 1-16. http://www.digesa.minsa.gob.pe/norma_consulta/DS-074-2001-PCM.pdf [fecha de consulta: 08 febrero 2021].
15. N°074-2001-PCM, D. S. (2001). Reglamento de Estándares Nacionales de Calidad Ambiental del Aire. Decreto Supremo N ° 074-2001-Pcm Reglamento De Estandares Nacionales.
16. LEY, Nº. 28611. Ley general del ambiente. Diario Oficial El Peruano, Lima, Perú, 2005, vol. 13.
17. DS_N°003-2008-MINAM. (2008). Aprueban Estándares de Calidad Ambiental Para Aire. Decreto Supremo N°003-2008-MINAM. In ecret Diario Oficial El Peruano (p. 4 Pag.).
18. D.S._N°003-2017-MINAM. (2017). Aprueban Estándares de Calidad Ambiental (ECA) para Aire y establecen Disposiciones Complementarias. Decreto Supremo No 003-2017-MINAM. http://www.digesa.minsa.gob.pe/norma_consulta/Protocolo-de-Calidad-del-Aire.pdf
19. CUESTA, O., COLLAZO, A., WALLO, A., SÁNCHEZ, P., LABRADOR, R. “Utilización de un índice de calidad del aire (ICA) en asentamientos humanos. Resultados preliminares”. Revista Cubana de Meteorología. 2002, 9(2), 8-12. ISSN: 0864-151X.
20. CUESTA SANTOS, O.; WALLO, A.; COLLAZO, A. y CASTELLANOS, P. “Contaminación atmosférica en el municipio Regla: Aplicación del índice de calidad del aire (ICA)”. Revista Cubana de Meteorología. 2005, 12(1), 38-44. ISSN: 0864-151X.
21. HUANG, K.; SHI, C.; MIN, J.; LI, L.; ZHU, T.; YU, H.; DENG, H. “Study on the mechanism of curcumin regulating lung injury induced by outdoor fine particulate matter (PM2. 5)”. Mediators of inflammation. 2019, 613523, 1-10. ISSN 1466-1861. https://doi.org/10.1155/2019/8613523
22. POLEZER, G., TADANO, Y. S., SIQUEIRA, H. V., GODOI, A. F., YAMAMOTO, C. I., DE ANDRÉ, P. A., & TAYLOR, P. E. “Assessing the impact of PM2. 5 on respiratory disease using artificial neural networks”. Environmental pollution. 2018, 235, 394-403. ISSN 1741-5101. https://doi.org/10.1016/j.envpol.2017.12.111.
23. GAO, M., ZHU, L., PEH, C. K., & HO, G W.. “Solar absorber material and system designs for photothermal water vaporization towards clean water and energy production”. Energy & Environmental Science. 2019, 12(3), 841-864. ISSN 1754-5706. https://doi.org/10.1039/c8ee01146j.
24. NÚÑEZ-CARABALLO, V., RODRÍGUEZ, R., GÓMEZ, L., HERRERA, I., & MORALES, M. “Emisiones de dióxido de azufre a la atmósfera por fuentes fijas del MINAG y su influencia en la calidad del aire en la provincia de Villa Clara”. Centro Agrícola. 2019, 46 (3), 86-95. ISSN 2072-2001. http://scielo.sld.cu/pdf/cag/v46n3/0253-5785-cag-46-03-86.pdf
Notas de autor
*Autor para correspondencia: correo electrónico: pedrocordovamendoza@hotmail.com
Declaración de intereses