Artículo original
Hidrogeles superabsorbentes basados en poliacrilamida para aplicación agrícola: estudio de hinchamiento
Superabsorbent polyacylamide based hydrogels for agricultural applications: swelling studies
Hidrogeles superabsorbentes basados en poliacrilamida para aplicación agrícola: estudio de hinchamiento
Revista Cubana de Química, vol. 33, núm. 2, pp. 46-68, 2021
Universidad de Oriente
Recepción: 30 Octubre 2020
Aprobación: 10 Enero 2021
RESUMEN: Se producen hidrogeles de poliacrilamida mediante síntesis y reticulación simultáneas inducidas por radiación gamma de una fuente de 60Co, a partir de una disolución monomérica de acrilamida 1,26 M. Los hidrogeles obtenidos se modifican químicamente mediante hidrólisis básica incompleta con hidróxido de potasio, para lograr un copolímero de poli(acrilamida-co-acrilato de potasio). El proceso de hinchamiento de las muestras se ajusta a modelos de cinética de primer orden en agua destilada y de segundo orden en condiciones de pH ácido y básico a fuerza iónica constante. Los mejores valores de hinchamiento se obtienen para las muestras irradiadas a 10 kGy y modificadas con hidróxido de potasio durante 1 h, alcanzando estas una ganancia de más de 1000 veces su peso en agua destilada, mientras que en los tampones de pH este valor excede ligeramente la capacidad de absorción óptima para un hidrogel agrícola, aumentando más de 60 veces su peso.
Palabras clave: hidrogeles superabsorbentes, agricultura, sequía, hinchamiento.
ABSTRACT: Polyacrylamide hydrogels were produced by simultaneous synthesis and crosslinking, induced by gamma radiation in a 60Co irradiator, from a monomeric solution of 1, 26 M acrylamide. Obtained hydrogels were chemically modified by incomplete basic hydrolysis, using potassium hydroxide to achieve a poly(acrylamide-co-potassium acrylate) copolymer. The swelling process of samples in distilled water fits first order kinetic models, and second order kinetics in conditions of both acid and basic pH at constant ionic force. The best swelling values are obtained for samples irradiated at 10 kGy and modified with potassium hydroxide for 1 h, thus achieving a weight gain of over 1000 times its weight in distilled water, whereas in pH buffers the optimum absorption capacity for an agricultural-used hydrogel was slightly exceeded, increasing its weight 60 times over.
Keywords: superabsorbent hydrogels, agriculture, drought, swelling.
Introducción
Los hidrogeles superabsorbentes permiten una mejor redistribución del agua en el sector de la agricultura, requiriendo solo una fracción del riego, por lo cual su producción es un tema de interés en Cuba. Para ello, en esta investigación se propone la obtención de un hidrogel mediante el uso de la radiación gamma como iniciadora de la polimerización de un monómero hidrofílico, la acrilamida, a una dosis tal que también se alcance el entrecruzamiento del polímero. Luego se somete a una modificación química (hidrólisis básica) para mejorar sus propiedades, en especial la capacidad de absorción de agua.1 El proceso combinado realizado para la obtención del hidrogel y su potencial aplicación para la agricultura en Cuba resultan novedosos, y responden al proyecto ‟Obtención de súper-almacenadores de agua a escala de laboratorio para la agricultura”, que se está desarrollando por el Ministerio de Ciencia, Tecnología y Medio Ambiente (CITMA) con el objetivo de adaptar las actividades agropecuarias y mejorar la calidad de los suelos, asegurando el uso eficiente del agua en el sector agrícola como parte del enfrentamiento a la sequía.
Diversos autores, tales como Peppas 2 y Buchholz 3, han abordado el estudio de los hidrogeles, y en sus aportes se sustentan muchas de las investigaciones actuales en el campo de la Química de los Materiales. La modificación de las propiedades de la poliacrilamida ha sido considerada por Bocourt 1 para fines médicos, con resultados satisfactorios. Algunos, como Lentz 4, han investigado sus aplicaciones en la agricultura, aunque estos estudios no incluyen el proceso de modificación química de la poliacrilamida realizado en el presente trabajo. El objetivo de la presente investigación es obtener hidrogeles superabsorbentes para su potencial empleo en la agricultura, y evaluar la capacidad de absorción de agua de los mismos.
Los polímeros son largas moléculas que contienen un gran número de unidades estructurales conectadas entre sí por enlaces covalentes.5 Los hidrogeles o polímeros superabsorbentes (SAPs, como serán referidos indistintamente en el transcurso de esta investigación) son redes poliméricas entrecruzadas, insolubles en agua, que pueden absorber y retener una gran cantidad de disolución acuosa o de fluidos biológicos, dentro de su estructura y están constituidos por polímeros hidrofílicos, que pueden ser lineales o ramificados.6,7) A la forma no hidratada se le denomina xerogel.8
Se han reportado diversos métodos para la preparación de hidrogeles.2) Estos se hinchan hasta alcanzar el equilibrio físico-químico, formando materiales blandos y elásticos.9 El grado de entrecruzamiento tiene un efecto directo sobre la capacidad de hinchamiento del polímero y la fortaleza de la cadena, o sea, un incremento de la densidad de entrecruzamiento da lugar a que decrezca la capacidad de hinchamiento y se incremente la fortaleza del gel.3
Una de las actividades más importantes de la agricultura es el proceso de irrigación, el cual ayuda al crecimiento de los cultivos y facilita el aprovechamiento de los nutrientes del suelo por parte de las plantas. Los procesos de irrigación son muy caros en las áreas con escasez de agua, así que los hidrogeles se han convertido en una alternativa atractiva para resolver este problema. Ellos reducen el costo, además de proveer la irrigación continua característica de este proceso.10 Ha sido reportado que estas estructuras granulares contribuyen a estabilizar la estructura del suelo, a mejorar la aireación, la permeabilidad y la calidad del suelo, reduciendo el agrietamiento, minimizando la compactación del suelo para prevenir que se endurezca, y ofrecen un ambiente favorable para el crecimiento de los cultivos.11 Los hidrogeles de poliacrilamida entrecruzada, añadidos a los suelos en proporciones de entre 5 y 10 g/kg, reducen la infiltración del agua en los suelos hasta en un 87-94 %.4
Materiales y métodos
Reactivos y equipamiento
Para la realización del trabajo experimental se emplearon como reactivos: acrilamida para síntesis (Merck Schuchardt OHG, Alemania), utilizada sin purificación previa, hidróxido de potasio e hidróxido de sodio (Fluka, Suiza), ácido bórico (Riedel-de Haën, Alemania), ácido acético y ácido fosfórico (Panreac, España). Se usó el gas inerte argón (Gases Industriales Habana, Cuba). Todos los experimentos fueron llevados a cabo con agua bidestilada, obtenida a partir de un destilador (MRC Scientific Instruments, Modelo AWC/4D, Reino Unido) sito en el CEADEN.
La irradiación de las muestras se llevó a cabo en un irradiador autoblindado de 60Co, de categoría I (Modelo ISOGAMMA LL.Co, Hungría). Todos los pesajes fueron realizados en una balanza analítica de la marca Sartorius Lab Instruments GmbH & Co. KG (Modelo QUINTIX224-1S, Alemania), mientras que las mediciones de pH se efectuaron con un pHmetro de la marca Mettler Toledo (Estados Unidos). El secado de los hidrogeles se completó en una estufa de la marca Mera-Lumel (Modelo SPT-200, Polonia).
Síntesis de los hidrogeles
Se preparó una disolución de acrilamida (AAm) 1,26 M en agua bidestilada y luego esta fue confinada en ámpulas cilíndricas de vidrio de 4 mL, que fueron sometidas a un burbujeo de gas inerte (Ar) durante 10 min, para desplazar el oxígeno disuelto y evitar reacciones radicálicas indeseadas con el mismo, en el medio acuoso.12) Posteriormente las ámpulas fueron selladas.
Las ámpulas fueron situadas en la región de isodosis del irradiador con una tasa de dosis de 2,433 kGy/h, a una temperatura constante de 30°C. El tiempo de irradiación se determinó mediante una hoja de cálculo en Excel, elaborada en el Laboratorio de Técnicas de Irradiación Gamma, del Centro de Aplicaciones Tecnológicas y Desarrollo Nuclear (CEADEN) en La Habana, Cuba, para alcanzar las dosis de 2,5; 5; 10; 15; 20; 25 y 30 kGy. La irradiación fue efectuada según los parámetros de calidad enunciados en la norma ISO 9001:2015.13
Luego de ser extraídas del irradiador, las ámpulas se rompieron y los hidrogeles con suficiente estabilidad mecánica para ser manipulados fueron lavados exhaustivamente con agua bidestilada. Los hidrogeles cilíndricos fueron pesados y después se cortaron en discos de aproximadamente 3-4 mm de grosor. A continuación, se mantuvieron en exceso de agua bidestilada durante 24 h para eliminar el monómero residual y luego se dejaron secar a temperatura ambiente hasta peso constante (xerogeles).
Tratamiento con KOH 0,5 y 1 M
Los discos se sumergieron en disoluciones de KOH 0,5 y 1 M durante tiempos de ½, 1, 2, 3, 5 y 6 h en cada caso. Luego fueron lavados con exceso de agua bidestilada durante 24 h hasta neutralidad y se secaron a temperatura ambiente hasta peso constante.
Preparación de las disoluciones tampón
Se prepararon tampones de pH 5,5 y 8,5 para simular condiciones extremas de pH de los suelos, aunque el pH ideal para tierras de cultivo se encuentra en el rango de 6,5 a 7.14 Para ello se siguió el procedimiento descrito por 15, que consiste en adicionar 1,247 5 g de ácido bórico a una mezcla previamente preparada de 1,15 mL de ácido acético glacial y 1,35 mL de ácido fosfórico. La disolución resultante se enrasó hasta 500 mL con agua bidestilada (Disolución A). Después se tomaron 200 mL de porciones de la Disolución A y se ajustaron al pH deseado adicionándoles la cantidad adecuada de NaOH 0,2 mol·L-1 (Disolución B). Las mediciones se realizaron con un pHmetro (Mettler Toledo). Los volúmenes adicionados de Disolución B para ajustar el pH de los tampones fueron de 110 y 190 mL respectivamente.
Ensayos de hinchamiento dinámico
El estudio de hinchamiento se llevó a cabo midiendo gravimétricamente la ganancia en peso de agua con el tiempo de inmersión. Los discos previamente secados a peso constante poseían un diámetro aproximado de 0,6 ± 0,1 cm y un espesor de 0,2 ± 0,1 cm. Se sumergieron a 25°C en viales de 100 mL con exceso de agua bidestilada y los tampones de pH ácido y básico representativos, según parámetros agrícolas, con el objetivo de obtener las isotermas de hinchamiento.
A un tiempo determinado se sacó el disco, se secó cuidadosamente su superficie con un papel absorbente para eliminar el agua en la superficie, se pesó en la balanza analítica y se devolvió al recipiente. Las mediciones se realizaron primero cada 15 min, luego cada 30 min, después cada 1 h y finalmente para obtener el valor máximo se esperaban 24 h. Si los valores de dos mediciones sucesivas se repetían, se asumía que se había alcanzado el equilibrio. Cada experiencia fue llevada a cabo por triplicado, y los valores que se reportan son los valores promedio y sus correspondientes desviaciones estándar.
La ganancia en peso se determinó mediante la ecuación:

donde:
es la masa del gel hinchado en el tiempo
, y
es la masa del gel seco. Las isotermas de hinchamiento se obtuvieron al graficar la ganancia en peso en función del tiempo.
El grado de hidratación en el equilibrio se determinó como:

Ajuste a modelos cinéticos
A partir de los gráficos de hinchamiento en el tiempo, se evaluó primeramente su ajuste a la ecuación de difusión propuesta por Ritger y Peppas (16) para tiempos cortos:

donde:
es el grado de hinchamiento máximo (en el equilibrio)
es el grado de hinchamiento alcanzado en un tiempo
determinado
es una constante característica del sistema polímero/medio de disolución, y
es un exponente característico del modo de transporte del soluto, conocido como coeficiente de difusión. A partir de una gráfica de
vs.
se obtiene una ecuación lineal, en la cual la pendiente corresponde al coeficiente
y el intersecto es
.
A continuación se evaluó su ajuste a las ecuaciones integradas de cinética de primer y segundo orden con respecto al hinchamiento remanente, respectivamente, según planteadas por Schott (17):


Resultados y discusión
Hinchamiento de los hidrogeles
El proceso de hinchamiento de las muestras no tratadas con KOH fue estudiado según el procedimiento explicado anteriormente, y su comportamiento en el tiempo puede ser apreciado en el gráfico de la figura 1.
En la figura 1 se aprecia que más del 50 % de la absorción tuvo lugar en las primeras horas de la inmersión en agua, lo cual es una característica de gran importancia, para los hidrogeles usados en la agricultura. El hidrogel alcanzó el equilibrio en las siguientes 24 - 48 h en todas las muestras. Sin embargo, solo la muestra irradiada a 10 kG y logró una ganancia de peso de más de 200 g/g. Teniendo en cuenta que un hidrogel superabsorbente se considera como tal si puede absorber de 100 a1000 veces su peso en agua (18), el valor obtenido para la muestra irradiada a 10 kGy es relativamente bajo y justifica la posterior modificación química del hidrogel para mejorar dicha propiedad.

El mayor hinchamiento en las muestras sometidas a una dosis de irradiación de 10 kGy puede deberse a la existencia de un menor grado de entrecruzamiento en los hidrogeles con respecto a las demás dosis. Por otro lado, la poca variación de los hinchamientos máximos de las demás muestras puede deberse a que los procesos de escisión y entrecruzamiento de las cadenas hayan alcanzado un equilibrio para esas dosis. Esto se asemeja a los resultados obtenidos por Chen (19), que evaluó el hinchamiento de discos de poliacrilamida, si bien estos fueron obtenidos mediante polimerización química y no irradiación. Sin embargo, Mina y Alam (20) obtuvieron resultados mucho menores según la dosis, un hinchamiento en agua destilada de 20 a 60 veces el peso del hidrogel, para una concentración de monómero de 2,83 M. En este caso no se reporta la tasa de dosis empleada, pero el hinchamiento máximo de las muestras también alcanza un valor estable luego de los 5 kGy.
Efecto del tratamiento con KOH sobre el hinchamiento
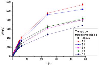
El incremento de la capacidad de absorción de agua de los hidrogeles irradiados a 10 kGy y modificados químicamente con el KOH fue evidente desde el primer lavado hasta pH neutro. En las figuras 2 y 3 se pueden apreciar los hinchamientos dinámicos de dichas muestras, según el tiempo de tratamiento de la hidrólisis básica:


Estos resultados son altos, comparables a los obtenidos por Guillerme y cols. (21), quienes sintetizaron un hidrogel superabsorbente, a partir de acrilamida y resina de anacardo con glicidil metacrilato, ambos extremadamente hidrofílicos, obteniendo un polímero capaz de retener hasta 1500 veces su peso en agua. La mejora considerable en la capacidad de hinchamiento de los hidrogeles debido a su tratamiento con KOH, se debe a que la hidrólisis básica de los grupos amida de la poliacrilamida da lugar a grupos carboxilato, que tienen un mayor carácter hidrofílico e incrementan la presión osmótica que provoca el hinchamiento.
Al observar a continuación en la figura 4 el grado de hidratación máximo que alcanzaron las muestras tratadas con KOH, se puede constatar que este valor es considerablemente alto, sobre todo al ser comparado con el valor alcanzado por las muestras de poliacrilamida que no fueron tratadas. Estos resultados indican que para obtener hidrogeles superabsorbentes basados en poliacrilamida, resultan adecuadas una dosis de irradiación de 10 kGy y 1 h de tratamiento con KOH 1 M, maximizando así su capacidad de absorción de agua. Cabe recordar que estos experimentos fueron conducidos con agua bidestilada, por lo cual en sistemas de riego es de esperarse un hinchamiento menor debido a la presencia de iones en el agua. En este caso, el apantallamiento de los contraiones sobre las cargas fijas de la red polimérica conduce a un decrecimiento de la presión osmótica.

Cabe destacar en este gráfico que la capacidad de absorción de agua alcanza un máximo en las muestras tratadas durante 1 h, para luego disminuir. Esto puede deberse al comportamiento anómalo que presenta la hidrólisis básica de la poliacrilamida, en el sentido de que no llega al 100% a tiempos largos de tratamiento, como debía esperarse. La velocidad de reacción es muy elevada en la etapa inicial y decrece rápidamente, lo cual puede ser interpretado en términos de la estructura de la propia poliacrilamida.
Según Zeynali y Rabbii (22), en medio alcalino la acumulación de cargas negativas en las cadenas del polímero ejerce un efecto de repulsión hacia los iones hidroxilo, y como consecuencia, causa un decrecimiento de la velocidad de reacción. Como resultado de este efecto de retardación en la velocidad de reacción, la introducción de grupos carboxilo no puede aumentar por encima de 67% aún a tiempos de reacción largos. Aunque esta cifra está reportada para tratamientos con NaOH, el resultado debe ser similar para el sistema de estudio. Para lograr porcentajes de hidrólisis mayores del 90 % sería necesario emplear KOH 10 M y temperatura de 100 °C, con la consecuente degradación de las cadenas.(23) De hecho, producto de la hidrólisis con KOH, lo que se obtiene en esta investigación es un copolímero compuesto por unidades estructurales de acrilamida y acrilato de potasio distribuidas a lo largo de la cadena. Es decir, se obtiene poli(acrilamida-co-acrilato de potasio).
Mediante estudios de RMN, Yasuda y cols. (24) encontraron que los grupos carboxilato producidos durante la hidrólisis no están distribuidos aleatoriamente a lo largo de la cadena del polímero, sino que su distribución depende de la concentración de álcali empleada. Por ejemplo, para una concentración de álcali de 5% en peso (semejante a los sistemas empleados en esta investigación, que son de aproximadamente 2 y 4% en peso), comprobaron que la proporción de secuencias de triadas era como se muestra en la figura 5:

Como se puede apreciar, predomina la secuencia alternada en los grupos carboxilo. Eso es explicable porque los grupos amida bloqueados por dos grupos carboxilato se inactivan, lo que se puede representar esquemáticamente como se muestra a continuación en la figura 6:

Una posible explicación para el decrecimiento de la capacidad de absorción de agua a partir de la primera hora de tratamiento puede deberse a la interacción del esquema anterior, pero entre cadenas diferentes que se encuentren cercanas en el enrejado y que posean secuencias del tipo BAA. A mayores tiempos de reacción, aunque ya no pueda aumentar la conversión, existe la posibilidad de que las cadenas se acomoden como se muestra en la figura 7:

Esto daría lugar a entrecruzamientos adicionales entre cadenas diferentes que se encuentren cercanas en el enrejado y que posean secuencias del tipo dos grupos amida consecutivos a un carboxilo, en cuyo caso se incrementa la fuerza retráctil de las cadenas y, consecuentemente, disminuye la capacidad de hinchamiento.
Cinética de hinchamiento
Al graficar
vs.
para cada una de las curvas de hinchamiento, se obtuvieron los correspondientes ajustes lineales, a partir de cuyas ecuaciones fue posible determinar el coeficiente difusional
y la constante característica
del hinchamiento de los hidrogeles, los cuales se encuentran expuestos en la tabla 1.

Es importante destacar que el ajuste a la ecuación se realizó solo con los datos relativos a las primeras cuatro horas del hinchamiento, pues según Ritger y Peppas, solo es válida hasta que el hidrogel alcanza el 25% de su peso hidratado en el equilibrio. Estos autores demostraron que la constante
está relacionada con el sistema de la red macromolecular, mientras que el coeficiente de difusión
es indicativo del mecanismo de trasporte.
Según los valores de
obtenidos en esta investigación, se puede afirmar que el hinchamiento de todos los hidrogeles estudiados es de difusión anómala o no fickeana, aunque para varias muestras el valor de
es muy cercano a la unidad, correspondiéndose al caso II de transporte.25 Esta desviación de las predicciones de la ley de Fick es frecuente en los polímeros vítreos 26, y ha sido asociada con una velocidad finita de difusión en la que la estructura de la matriz del polímero se reagrupa para que se acomoden las moléculas del disolvente, característica de los procesos donde la difusión está controlada por la relajación de las cadenas 17, contribuyendo a modificar el propio mecanismo de transporte fickeano.
En su investigación, Fregolente y cols. 25 reportaron valores de las constantes de hinchamiento características
de un orden de magnitud superior para sistemas de poliacrilamida y poli(acrilato de sodio-co-acrilamida) con posible aplicación en la remoción de agua del biodiesel. Esta diferencia puede deberse a que la vía de síntesis utilizada por los autores fue química, pudiendo causar una mayor cantidad de entrecruzamientos y debiendo contar además con impurezas causadas por el agente entrecruzante, dando lugar a hinchamientos máximos considerablemente menores. Por supuesto, estos parámetros se refieren a agua desionizada, o como el caso de la presente investigación, agua bidestilada. En sistemas reales, con alta concentración de sales, la cinética de hinchamiento será más lenta, así como se observará una disminución considerable del valor máximo de ganancia de peso en agua.
Al graficar
y
vs. t, y evaluar su ajuste a las ecuaciones (4) y (5) de cinética de primer y segundo orden, respectivamente, se obtienen los gráficos mostrados en las figuras 8 y 9:


Los coeficientes lineales de los ajustes a las cinéticas de primer y segundo orden, referidas en las figuras 8 y 9 se muestran en la tabla 2.

Se puede apreciar que el hinchamiento de los hidrogeles se ajusta mejor a una cinética de primer orden, lo cual se relaciona a los coeficientes de difusión
cercanos a 1, mostrados en la tabla 1. Estos resultados se asemejan a los obtenidos por Kipcak y cols. 27 para un sistema preparado en base acrilamida y acrilato de sodio, aunque al ser sus hinchamientos máximos mucho menores, sus constantes
eran de órdenes de magnitud de 102.
Hinchamiento y cinética de hinchamiento en tampones de pH ácido y básico
En la figura 10 se muestra el hinchamiento de la muestra irradiada a 10 kGy y tratada durante 1 h en KOH 1 M (referida anteriormente como M-1-B) en disoluciones representativas de pH ácido y básico:

Este resultado no es el esperado, pues lo común es que los hidrogeles tanto basados en acrilamida como en poliacrilato se hinchen mejor en medio básico.20) La diferencia puede deberse a un mayor valor de fuerza iónica en la disolución básica, así como a un efecto de apantallamiento de cargas debido a la mayor concentración en de iones Na+ en la disolución. (28
Al ajustar estos valores a la ecuación de difusión de empírica de Ritger-Peppas, se obtienen los ajustes lineales que permiten determinar el coeficiente difusional
y la constante característica
del hinchamiento de los hidrogeles, y se presentan en la tabla 3.

De estos valores de
es importante destacar que son mucho menores que los reportados para el hinchamiento del mismo sistema en agua destilada que, aunque siguen correspondiéndose a una difusión anómala, se acercan más al valor de difusión fickeana de 0,5. En cuanto a la constante
, resulta ser un orden de magnitud superior respecto a las obtenidas anteriormente. En ambos tampones, esto se corresponde al decrecimiento de la velocidad de absorción de agua del sistema de estudio.
Al ser mucho más lento el proceso de difusión, este se aleja de la cinética de primer orden, y se acerca más a la de segundo orden, lo que significa que la cinética de hinchamiento está controlada por la relajación de las cadenas. Esto se puede comprobar en el ajuste a la cinética de segundo orden que se muestra en la figura 11:

El tratamiento básico de estos polímeros produce sistemas con una mayor capacidad de hinchamiento y más sensibles al pH y la fuerza iónica del medio. A pH extremadamente ácidos y básicos puede tener lugar una disminución del hinchamiento debido a que la presencia de altas concentraciones de iones provoca un aumento de la fuerza iónica del medio y cuando la fuerza iónica de la disolución se incrementa, la diferencia de la presión osmótica entre el hidrogel y el medio disminuye, disminuyendo el hinchamiento de los mismos.1
Cannazza y cols. 29 reportaron un SAP con absorción de 74 g de agua destilada por g de SAP, sin embargo, al evaluar la absorción de agua corriente esta cifra fue de 40 g, lo cual, se encuentra en el rango de capacidad de absorción típica de un SAP en medio salino, que es de 30-60 g agua/g SAP. El sistema tratado en esta investigación, al ser sometido a pHs extremos mostró un hinchamiento cercano al límite superior en el caso del pH básico, e incluso superándolo en medio ácido. Además, autores como Hashmi y cols. 30 han encontrado que los hidrogeles se hinchan mejor a pHs neutros, por lo cual estos resultados podrían ser incluso superiores en sistemas agrícolas reales.
Conclusiones
Se obtuvieron los hidrogeles de poliacrilamida mediante síntesis y reticulación simultáneas inducidas por radiación gamma, a una disolución acuosa del monómero. Los hidrogeles obtenidos fueron modificados químicamente mediante una hidrólisis básica incompleta y los nuevos sistemas mostraron un comportamiento característico de un copolímero de poli(acrilamida-co-acrilato de potasio). El estudio del proceso de hinchamiento reveló que todas las muestras en agua destilada se ajustan a una cinética de primer orden. Las muestras con mejores valores de hinchamiento en este sistema, al ser evaluadas en disoluciones tampón de pHs representativos de sistemas agrícolas, mostraron una cinética de hinchamiento de segundo orden y una capacidad de absorción que se ajusta a los parámetros para hidrogeles de aplicación agrícola, lo que avala su potencialidad para estos fines
Referencias bibliográficas
1. BOCOURT, M., ARGÜELLES, W., CAUICH, J., MAY, A., BADA, N., PENICHE, C. “Interpenetrated Chitosan-Poly(Acrylic Acid-Co-Acrylamide) Hydrogels. Synthesis, Characterization and Sustained Protein Release Studies”. Materials Sciences and Applications. 2011, 2, 509-520. ISSN impresión 2153-117X, ISSN en línea 2153-1188
2. PEPPAS, N., LUSTING, R. “The rol of crosslinkings, entanglements and relaxation of the macromolecular carriers in diffusional release of biologically active materials”. Ann. N.Y. Acad. Sci. 1985, 446, 26-41. ISSN en línea 1749-6632
3. BUCHHOLZ, F.; GRAHAM, A. Modern Superabsorbent Polymer Technology. New York, NY: Wiley VCH, 1998. ISBN 978-0-471-19411-8
4. LENTZ, R. “Inhibiting Water Infiltration into Soils with Cross-linked Polyacrylamide: Seepage Reduction for Irrigated Agriculture”. Soil Sci. Soc. Am. J. 2007, 71 (4), 1352-1362. ISSN en línea 1435-0661
5. YOUNG, R., LOVELL, P. Introduction to Polymers. Boca Ratón, Florida: CRC Press. Third Ed. pp. 688. ISBN 9780849339295
6. TALLY, M.; ATASSI, Y. “Optimized synthesis and swelling properties of a pH sensitive semi-IPN superabsorbent polymer based on sodium alginate-g poly(acrylic acid-co-acrylamide) and polyvinylpyrrolidone and obtained via microwave irradiation”. Journal of Polymer Research. 2015, 22 (9), 1-13. ISSN 1988-4206
7. CHANG, C.; DUAN, B.; CAI, J; ZHANG, L. “Superabsorbent hydrogels based on cellulose for smart swelling and controllable delivery”. European Polymer Journal. 2012, 46, 92-100. ISSN 0014-3057
8. TOMIC, S.; MICIC M.; DOBIC, S.; FILIPOVIC, J.; SULJOVRUJIC, E. “Smart poly(2- hydroxyethyl methacrylate/itaconic acid) hydrogels for biomedical application”. Radiation Physics and Chemistry. 2010, 79, 643-649. ISSN 0969-806X
9. IVANOV, V. Radiation Chemistry of Polymers. Boca Ratón, Florida: CRC Press . First Ed 1992. pp 320. ISBN 9789067641371
10. MILANI, P.; FRANÇA, D.; BALIEIRO, A.; FAEZ, R. “Polymers and Its Applications in Agriculture”. Polímeros. 2017, 27, ISSN en línea 1988-4206
11. LIU, M.; LIANG, R.; ZHAN, F.; LIU, Z.; NIU, A. “Synthesis of a slow-release and superabsorbent nitrogen fertilizer and its properties”. Polym. Adv. Technol. 2006, 17, 430-438. ISSN en línea 1099-1581
12. BORROTO, J. Química de las Radiaciones. La Habana: Ed. InSTEC, Segunda Ed. 2015. pp. 118. ISBN 9786071203120
13. ISO 9001:2015. “Sistemas de gestión de la calidad - Requisitos”. 2015. ISSN 1688-6615.
14. PRASAD, R.; POWER, J. Soil fertility management for sustainable agriculture. Boca Raton, Florida: Lewis Publishers, First Ed. 1997. pp. 384. ISBN 9781566702546.
15. LURIE, Y. Handbook of Analytical Chemistry. Moscow: Nauka, First Ed. 1979. pp. 480. ISBN 9780824790943
16. RITGER, P.; PEPPAS, N. “A simple equation for description of solute release II. Fickian and anomalous release from swellable devices”. Journal of Controlled Release. 1987, 5, 37-42. ISSN impresión 0168-3659, ISSN en línea 1873-4995
17. SCHOTT, H. “Kinetics of Swelling of Polymers and Their Gels”. Journal of Pharmaceutical Sciences. 1992, 81 (5), 467-470. ISSN impresión 0120-2804, ISSN en línea 2357-3791
18. LEJCUS, K.; SPITALNIAK, M.; DABROWSKA, J. “Swelling Behaviour of Superabsorbent Polymers for Soil Amendment under Different Loads”. Polymers. 2018, 10, 271. ISSN 1996-1944
19. CHEN, L. “Kinetic Modeling for Macromolecule Loading into Crosslinked Polyacrylamide Hydrogel Matrix by Swelling”. Pharmaceutical Development and Technology. 1998, 3 (2), 241-249. ISSN 1083-7450
20. MINA, M.; ALAM, M. “Swelling behavior of acrylamide hidrogel in different solvents and pHs”. Chinese Journal of Polymer Science. 2005, 23 (3), 269-274. ISSN impresión 0256-7679, ISSN en línea 1793-7043
21. GUILHERME, M.; REIS, A.; TAKAHASHI, S.; RUBIRA, A.; FEITOSA, J.; MUNIZA, E. “Synthesis of a novel superabsorbent hydrogel by copolymerization of acrylamide and cashew gum modified with glycidyl methacrylate”. Carbohydrate Polymers. 2005, 61, 464-471. ISSN 0144-8617
22. ZEYNALI, M.; RABBII, E. “Alkaline Hydrolysis of Polyacrylamide and Study on Poly(acrylamide-co-sodium acrylate) Properties”. Iranian Polymer Journal. 2002, 11 (4), 269-275. ISSN impresión 1026-1265, ISSN en línea 1735-5265
23. KURENKOV, V.; HARTAN, H.; LOBANOV, F. “Alkaline hydrolysis of polyacrylamide”. Russian Journal of Applied Chemistry. 2001, 74 (4), 543-554. ISSN 1070-4272.
24. YASUDA, K.; OKAJIMA, K.; KAMIDE, K. “Study on alkaline hydrolysis of polyacrylamide by 13C-NMR”. Polymer Journal. 1988, 20 (12), 1101-1107. ISSN 0032-3896
25. FREGOLENTE, P.; GONÇALVES, H.; MACIEL, M.; FREGOLENTE, L. “Swelling Degree and Diffusion Parameters of Poly (Sodium Acrylate-Co-Acrylamide) Hydrogel for Removal of Water Content From Biodiesel”. Chemical Engineering Transactions. 2018, 65, 445-450. ISSN 2283-9216
26. SATISH, C., SATISH, K., & SHIVAKUMAR, H. “Hydrogels as controlled drug delivery systems: Water transport synthesis, crosslinking, water and drug transport mechanism”. Journal of Indian Pharm. Sci. 2006, 68 (2), 133-140. ISSN impresión 0250-474X, ISSN en línea 1998-3743
27. KIPCAK, A., ISMAIL, O., DOYMAZ, I., & PISKIN, S. “Modeling and Investigation of the Swelling Kinetics of Acrylamide-Sodium Acrylate Hydrogel”. Hindawi Journal of Chemistry. 2014, pp 8. ISSN impresión 2090-9071, ISSN en línea 2090-9063
28. ZHOU, W.; YAO, K.; KURTH, M. “Synthesis and Swelling Properties of the Copolymer of Acrylamide with Anionic Monomers”. Journal of Applied Polymer Science. 1996, 62, 911-915. ISSN 0021-8995
29. CANNAZZA, G.; CATALDO, A.; DE BENEDETTO, E.; DEMITRI, C.; MADAGHIELE, M.; SANNINO, A. “Experimental Assessment of the Use of a Novel Superabsorbent polymer (SAP) for the Optimization of Water Consumption in Agricultural Irrigation Process”. Water. 2014, 6, 2056-2069. ISSN 2073-4441
30. HASHMI, S.; NADEEM, S.; AWAN, Z.; REHMAN, A.; GHANI, A. “Synthesis, Applications and Swelling Properties of Poly (Sodium Acrylate-Coacrylamide) Based Superabsorbent Hydrogels”. J. Chem. Soc. Pak. 2019, 41 (4), 668-678. ISSN 0253-5106
Notas de autor
*Autor para la correspondencia: correo electrónico: togarcia970316@gmail.com
Declaración de intereses