Artículo original
Influencia de la inserción de hélices cilíndricas sobre el número de Reynolds crítico de un flujo en un espacio anular
Influence of Inserting Cylindrical Helices on the Critical Reynolds number of a flow in an annular space
Influencia de la inserción de hélices cilíndricas sobre el número de Reynolds crítico de un flujo en un espacio anular
Tecnología Química, vol. XXXVI, núm. 2, 2016
Universidad de Oriente
Recepción: 15 Noviembre 2015
Aprobación: 15 Marzo 2016
Resumen: El objetivo del trabajo es obtener la influencia de la inserción de hélices cilíndricas sobre el valor del número de Reynolds crítico de un flujo que circula en un espacio anular. Se modificó el valor del flujo que circula en un espacio anular de forma paulatina y se obtuvieron valores de la velocidad crítica alta del flujo, complementado con la visualización del flujo a partir de la inyección de tinta. La medición de la temperatura del flujo integra la obtención de los números de Reynolds crítico alto en el fluido y establece las diferencias comparativas entre las hélices insertadas, así como en espacios anulares sin la presencia de estos elementos turbulizadores. La aparición de la turbulencia en el sistema de flujo indicado según el valor mínimo del Reynolds critico donde desaparecen las condiciones del régimen laminar en el sistema permite obtener las hélices cilíndricas que más influyen en el cambio del régimen hidrodinámico. Las deducciones del análisis pueden considerarse un punto de partida para desarrollar estudios experimentales sobre la presencia de las hélices cilíndricas como elemento promotor de turbulencia del flujo anular.
Palabras clave: visualización de flujo, espacios anulares, hélices insertadas, inyección de tinta, turbulencia.
Abstract: The objective of this study is to obtain the influence of inserting cylindrical helices in the high critical Reynolds number in flow an annular space. The flow rate was modified in an annular space gradually and through flow visualization, was obtained the high values of the critical velocity. By measuring the fluid temperature critical Reynolds numbers were obtained for each helix. They settled comparative differences between helices inserted and annular spaces without these elements turbulizers. The onset of the turbulence in the flow system was indicated by the minimum value of the critical Reynolds where disappear laminar flow conditions in the system allows select the cylindrical helices with more influence in hydrodynamic regime change. Deductions of the analysis can be considered a starting point to develop experimental studies about the cylindrical helices as promoter of annular flow turbulence.
Keywords: drop pressure, annular flow, hydrodynamic analysis, visualization flow, wire coil inserts.
Introducción
El constante crecimiento de la demanda de equipos de intercambio de calor ha propiciado el desarrollo de investigaciones alrededor de técnicas de incremento basadas en la incorporación de nanoparticulas [1] y materiales electroactivos [2] que modifican en alguna medida las propiedades del fluido. Sin embargo, las técnicas pasivas de incremento de la transferencia de calor, continúan siendo las más atractivas desde el punto de vista económico y las de mayores posibilidades de aplicación inmediata en la industria. Existen actualmente muchas formas disponibles y comercializadas de elementos promotores de turbulencia en el flujo tal como lo refiere Popov I. A. et al. [3], estando sometido a investigación el impacto de este tipo de dispositivos y su optimización.
Resultados de investigaciones experimentales publicadas por Siddique M. et al. [4], Hussein T. et al. [5], Eiamsa-ard S. et al. [6] y Fernández J., Uhia F. J. [7], ponen de manifiesto las posibilidades de las hélices cilíndricas como turbulizador del flujo en espacios anulares, ya que permiten modificar la hidrodinámica del flujo, con un discreto aumento de la caída de presión. Sin embargo, los análisis experimentales desarrollados no están sustentados por medio de una selección que permita predecir una modificación del régimen de flujo que inducen estos elementos turbulizadores. Este hecho fue señalado por García A. et al. [8] y Çakmak G. et al. [9], quienes además constataron que existían discrepancias significativas entre los resultados de distintas fuentes disponibles.
Una de las ventajas más importantes del uso de hélices, es que pueden instalarse en espacios anulares de intercambiadores de ánulos lisos ya existentes, siendo económicamente favorables respecto a otros elementos turbulizadores [10].
Las técnicas de visualización se han empleado para complementar estudios hidrodinámicos y comprobar la turbulencia y/o estabilidad de los regímenes de flujo considerados en cada caso. En la actualidad los ensayos de visualización más empleados han sido la inyección de tinta [11], la visualización con burbujas de hidrógeno [12] y la incorporación de partículas en el flujo [13]. Entre los métodos de visualización de flujo la inyección de tinta se distingue por su economía y trazabilidad. Combinando esta técnica con la medición precisa del flujo, es posible determinar los valores de Reynolds crítico considerados en cada caso.
Atendiendo a lo expresado anteriormente, esta investigación evalúa de manera experimental la influencia de las hélices cilíndricas en la aparición de la turbulencia en el flujo anular. La determinación del número de Reynolds crítico, cuando se insertan hélices cilíndricas en un espacio anular, puede contribuir a una selección adecuada de la geometría de estos elementos turbulizadores y al diseño térmico de intercambiadores de calor más eficientes.
Materiales y métodos
El sistema experimental empleado está compuesto por un conducto anular, semejante a un intercambiador de calor de tubo en tubo (doble tubo). El tubo exterior (1) es de acrílico transparente de 61.6 mm de diámetro interior (Di) dispuesto horizontalmente, en el cual está ubicado de manera concéntrica un tubo de cobre (2) de diámetro exterior (de) igual a 21,3 mm. El agua, que es empleada como fluido de trabajo, es impulsada por una bomba centrifuga sumergible (3), siendo el caudal regulado por medio de dos válvulas de aguja (6).
La figura 1 muestra un esquema de la instalación experimental con los distintos elementos que la componen.

Elementos que componen la instalación experimental
(1) Tubo exterior de acrílico, (2) Tubo interior de cobre, (3) Bomba centrífuga sumergible, (4) Aguja inyectora, (5) Depósito de tinta, (6) Válvulas, (7) Manómetro diferencial, (8) Flujómetro de Coriolis, (9) Termómetro.
Para la determinación de la caída de presión se ubicó un manómetro diferencial de columna invertida (7) entre la entrada y la salida del flujo. El flujo se mide por medio de un flujómetro de Coriolis (8). La tabla 1 agrupa los parámetros geométricos de la instalación de visualización.

Ensayos de visualización del flujo
Para el empleo de la inyección de tinta como método de visualización del flujo se tuvieron en cuenta los aspectos expuestos por Wolfgang M. [14], que permiten reducir la perturbación en el flujo. Se empleó como inyector una aguja de 0,5 mm de diámetro, que representa una reducción mínima en el área de flujo (0,04 %). La densidad de la tinta empleada solo difiere en 0,05 % de la densidad del agua a la temperatura de trabajo. La altura piezométrica del depósito de la tinta, fue obtenida por experimentos de ajuste, regulando la salida mediante una válvula.
El empleo de la inyección de tinta, como método de visualización, de acuerdo con Lin C. K. et al. [15], combinado con la medición del flujo, se efectúo para identificar la turbulencia en el valor inferior del número de Reynolds evaluado. Como complemento del empleo de esta técnica, se utiliza una cámara fotográfica de alta velocidad, con el objetivo de realizar la captura de imágenes que sirvan de soporte a los resultados.
La sección de ensayos se sitúa a una distancia igual a 25 veces el diámetro hidráulico desde la entrada del flujo a la sección anular, para asegurar condiciones de flujo completamente desarrollado. Estos ensayos se basan en determinar la velocidad que determina el paso a la turbulencia del flujo en el espacio anular. Los experimentos se realizaron sin aporte de calor y se evitó el intercambio térmico para disminuir la influencia del cambio de las propiedades del flujo.
La geometría de los elementos que caracterizan la inserción de las hélices en el espacio anular se puede observar en la figura 2.

El modelo físico que se investiga está caracterizado por un flujo que circula en un espacio anular limitado por el diámetro interior del tubo exterior (Di), y el diámetro exterior del tubo interior (de).
Las consideraciones para la evaluación del sistema s- El fluido de trabajo, se considera una sustancia pura, incompresible y sus propiedades no varían respecto al tiempo.on:
- El fluido de trabajo, se considera una sustancia pura, incompresible y sus propiedades no varían respecto al tiempo.
- No se considera la influencia de los efectos de entrada, ni la de los soportes que mantienen los tubos concéntricos.
- No se consideran pérdidas de calor al medio ambiente.
- No se considera el movimiento de las hélices provocada por el flujo.
Tanto la superficie de los tubos que conforman la instalación experimental, como las hélices presentan un elevado acabado superficial, lo que beneficia el análisis del efecto que provocan las hélices en el espacio anular.
Para seleccionar la geometría de las hélices a insertar se parte de criterios y experiencias anteriormente publicadas. Swanepoelland M. y Meyer J.P. [16] obtuvieron resultados experimentales que indican la transición a la turbulencia, para hélices de diámetro de hilo e, igual a 0,5 mm, con un paso entre hélice P, de 1,75 veces el diámetro hidráulico Dh.
Un análisis teórico por parte de Slanciauskas A. [17] y que toma como base un amplio grupo de datos experimentales para elementos turbulizadores en espacios anulares, recomienda para el caso de líquidos, cuyo valor del número de Prandtl se encuentre por encima de 5, se seleccionen elementos con menor altura relativa respecto al espesor de la subcapa laminar viscosa y con el menor paso uniforme que pueda ser incluido. En el análisis, el incremento del coeficiente de transferencia de calor, respecto a su comportamiento sin elementos turbulizadores insertados, es más efectivo en flujos en régimen transitorio, ya que permiten adelantar la turbulencia. A partir de estos criterios se seleccionan las geometrías de las hélices a evaluar, las que se presentan en la tabla 2.

El número de Reynolds se evaluó teniendo en cuenta el diámetro hidráulico según la forma:
(1)Considerando la influencia del diámetro de hilo e, en el área de flujo Af, y el perímetro mojado Pm, el diámetro hidráulico queda como:
(2)La dimensión de referencia en la determinación del factor de fricción y el número de Reynolds es el diámetro hidráulico Dh, siendo la temperatura media del flujo anular Ta, la temperatura de referencia a la cual se determinan las propiedades del flujo.
En la tabla 3 se presenta el error de los instrumentos empleados en las mediciones efectuadas.

Resultado y discusión
La inyección de tinta en espacios anulares permite determinar el flujo que provoca la transición a la turbulencia. La figura 3 muestra un ejemplo de los ensayos realizados en ánulos lisos. Siendo, A - Flujo laminar estable, B - Flujo laminar ondulado y C - Flujo turbulento establecido.

Los resultados de este análisis para ánulos lisos son los siguientes:
- Número de Reynolds en el intervalo desde 100 hasta 1 200
Flujo laminar estable. Las líneas de flujo son perfectamente paralelas en el medio del espacio anular, teniendo en cuenta que la aguja inyectora de la instalación presentada en la figura 1 está ubicada geométricamente en centro entre los tubos. No se observa difusión de la tinta. Figura 3 (A).
- Número de Reynolds en el intervalo desde 1 200 hasta 1 400
Flujo laminar ondulado con ligeras oscilaciones del flujo. Según las mediciones de flujo y las fotografías obtenidas de las que se presenta una muestra en la figura 3 (B), para valores de Re ≈ 1 450, se observa la aparición de brotes de turbulencia, en el sistema.
- Número de Reynolds superiores a 1 500
Turbulencia claramente establecida. Las mediciones de flujo, la observación de la difusión de la tinta, la inestabilidad en la medición de la presión y la tridimensionalidad de los remolinos observados por medio de la visualización del flujo, permitieron establecer el punto de transición del Reynolds en el intervalo entre 1 400 - 1 500. Figura 3 (C).
No existen en la literatura objeto de revisión, antecedentes que puedan emplearse como comparación, sin embargo los valores obtenidos se ubican en el margen de lo esperado, en correspondencia con los estudios anteriores obtenidos [13] para tubos lisos. La visualización del flujo con la inserción de las hélices en el espacio anular recto, permitió obtener imágenes que identifican los patrones de flujo. El paso P, en las hélices evaluadas, fue referido al diámetro hidráulico Dh, siendo de 0,5 Dh, 1,0 Dh y 2,0 Dh respectivamente. En la figura 4 se expone una muestra de las fotografías para el paso entre hélices igual al diámetro hidráulico (P = Dh) y para un diámetro de hilo de la hélice ., de 0,5 mm; 1,0 mm y 1,5 mm.

A partir de la medición del flujo y con el apoyo de la visualización, se determinaron los intervalos de los valores del número de Reynolds crítico para cada una de las variantes geométricas de las hélices insertadas. En la visualización del flujo se observa que al insertar las hélices, se adelanta la turbulencia respecto al flujo anular en ánulos lisos. Este fenómeno se debe a la modificación de los parámetros hidrodinámicos del flujo en las nueve variantes geométricas analizadas.
En la figura 4, los valores de . son: A (e =1,5 mm), B (e =1,0 mm), C (e = 0,5 mm). La figura 5 muestra los números de Reynolds críticos obtenidos para las hélices insertadas en el espacio anular recto. Los valores experimentales obtenidos en los ensayos de visualización para la determinación del Reynolds crítico, responden en todos los casos a una distribución normal, por lo que se tomó el valor medio como más probable en la muestra experimental.

Las barras verticales representadas en los puntos de la figura 5 muestran la desviación estándar de los datos experimentales para cada valor del Reynolds crítico, por lo que podemos afirmar que los valores obtenidos son estadísticamente significativos para un intervalo de confianza del 95 %.
En la figura 5 se aprecia que el paso menor en las hélices (P = 0,5 Dh), produce la transición a la turbulencia con menor flujo y que para el menor paso y mayor diámetro de hilo se alcanza el menor valor del número de Reynolds crítico.
Los valores de incertidumbre para el número de Reynolds, determinados por el método de la propagación de errores [18]. se ubican entre 3,5 % y 6,1 %. Los valores se ubican dentro del intervalo de lo obtenido (2,5 % - 7,2 %) en los estudios de las técnicas de incremento por métodos pasivos descritos [12-14].
Los resultados ilustran que en el intervalo analizado, el paso entre las hélices tiene más influencia en la aparición de la turbulencia en el flujo que el diámetro del hilo. La incorporación de las hélices en el espacio anular recto, provoca una disminución del diámetro hidráulico Dh, de acuerdo con el diámetro del hilo de la hélice.
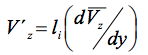
Por otra parte, la presencia de elementos promotores de turbulencia ocasiona una disminución del área de flujo, y de la longitud de mezcla de Prandtl instantánea li, entre las capas adyacentes de fluido en la corriente turbulenta, que se mueven a diferentes velocidades medias puntuales en dirección axial. Como resultado del intercambio de cantidad de movimiento entre estas capas, se desarrolla una fuerza de fricción que provoca un esfuerzo cortante adicional. La fluctuación de la velocidad en la dirección axial V´z, es del orden de la diferencia de velocidades entre las capas adyacentes del fluido.
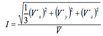
(3)Esto indica que la disminución de longitud de mezcla de Prandtl instantánea, va a favorecer el crecimiento de las componentes de fluctuación de la velocidad del flujo en sentido radial Vx´ . Vy´, lo que incide en la elevación del índice de la intensidad de la turbulencia l:
(4)El crecimiento en la magnitud de estos vectores es proporcional al diámetro de hilo de las hélices insertadas. El incremento de la intensidad de turbulencia favorece la disminución del valor del Reynolds crítico. Esto explica la aparición de valores menores del Reynolds crítico, cuando se insertan hélices.
En los experimentos se observó que la aparición de remolinos en el flujo tiene lugar detrás del elemento turbulizador. Esto corrobora resultados anteriores sobre la presencia de elementos promotores de turbulencia [17], que indicaron como consecuencia la perturbación de la subcapa laminar viscosa que se ubica alrededor de las superficies sólidas y la disminución de su espesor.
Otro elemento a considerar es que en la cercanía de la pared del tubo interior, la velocidad del flujo adquiere un componente rotacional, de acuerdo con la orientación de las hélices. Estos aspectos son las causas fundamentales del cambio hidrodinámico del sistema, ya que provocan la reducción del espesor de la capa límite hidrodinámica y la aparición de la turbulencia en el flujo a bajos números de Reynolds.
Si se identifica la presencia de la turbulencia con el incremento de la transferencia de calor, podría inferirse que los turbulizadores señalados en la figura 5 provocan un incremento en el coeficiente de transferencia de calor con respecto a los ánulos lisos, con menor potencia necesaria para el bombeo. Este aspecto es de vital importancia y nos permite adoptar los elementos brindados como criterio de selección, a partir de la visualización del flujo. La tabla 4 resume los elementos geométricos de las hélices seleccionadas.

En la tabla 4 se puede apreciar la semejanza geométrica entre las hélices seleccionadas y la igualdad en el paso.
Para la selección de las tres hélices se tuvo en cuenta que existe un "adelanto" en la aparición de la turbulencia de manera significativa con la inserción de estas, respecto al resto de las geometrías observadas (figura 5). La aparición de la turbulencia provoca en el flujo una disminución del espesor de la capa límite hidrodinámica con menor flujo.
La aparición de fuerzas de rotación más acentuadas en el flujo, provocadas por una componente rotacional de la velocidad, es otro aspecto a tener en cuenta en la selección. Esta rotación del flujo alrededor del tubo interno puede provocar un aumento del intercambio de calor, ya que se eleva el tiempo de permanencia del flujo junto a la superficie del tubo interior.
Aunque la relación anular bajo la cual se realizan los ensayos experimentales (a = 2,9), se ubica dentro de las más generales y frecuentes empleadas en el diseño de intercambiadores de tubo en tubo, los resultados obtenidos no pueden emplearse para otra relación anular. Este elemento constituye una limitante, sin embargo al considerar las diferentes variantes en los tubos estandarizados empleados en la construcción de intercambiadores de calor, se advierte que los resultados tienen un campo de aplicación no despreciable.
Conclusiones
1. Los ensayos de visualización de flujo por el método de inyección de tinta han permitido determinar que todas las hélices cilíndricas insertadas propician la aparición del Reynolds crítico a valores por debajo del obtenido para ánulos lisos.
2. El valor del Reynolds crítico para espacios anulares lisos con relación anular de 2,9 se encuentra en el intervalo entre 1 400 y 1 500.
3. Las hélices cilíndricas insertadas que más favorecen la presencia de un flujo turbulento son aquellas donde el paso entre hélices es menor. Esta deducción indica que el paso entre hélices (P), es una variable más influyente que el diámetro de hilo (e), en la aparición de los efectos turbulentos. Es posible afirmar que un sistema de flujo anular con números de Reynolds igual o superior a 1 500 con hélices insertadas, no presenta características de flujo laminar.
4. El análisis realizado puede ser aplicado en otras relaciones anulares diferentes de 2,9, teniendo en cuenta las consideraciones señaladas. La selección de hélices cilíndricas a partir de criterios que incluyen la visualización del flujo, permite el empleo de estos promotores de turbulencia en instalaciones de intercambio de calor.
Agradecimientos
Se agradece el apoyo brindado por la Unidad de Educación Continua y por la Coordinación de Refrigeración y Bombas de Calor del Instituto de Energías Renovables, IER de la Universidad Nacional Autónoma de México, UNAM, para la realización de esta investigación y en especial al Dr. Jorge I. Hernández profesor del Departamento de Refrigeración del IER y el MSc. Emilio Arenas, doctorante del mismo instituto, por haber brindado las facilidades técnicas necesarias para los experimentos desarrollados.
Bibliografía
1. HAGHIGHI E. B. et al. "Cooling performance of nanofluids in a small diameter tube". Journal of Experimental Heat Transfer, Thermodynamics, and Fluid Mechanics. 2013, vol. 49, p. 114-122.
2. LEAL L. et al. "An overview of heat transfer enhancement methods and new perspectives: Focus on active methods using electroactive materials". International Journal of Heat and Mass Transfer. 2013, vol. 61, p. 505-524.
3. POPOV I. A.; GORTYSHOV YU. F.; OLIMPIEV V. "Industrial Applications of Heat Transfer Enhancement: The Modern State of the Problem (a Review)". Thermal Engineering. 2012, vol. 59, p. 1-12.
4. SIDDIQUE M. et al. "Recent Advances in Heat Transfer Enhancements: A Review Report". International Journal of Chemical Engineering. 2010, vol. 1, p.1- 28.
5. HUSSEIN T. et al. "An experimental study of heat transfer to turbulent separation fluid flow in an annular passage". International Journal of Heat and Mass Transfer. 2011, vol. 54, p. 766-773.
6. EIAMSA-ARD S.; THIANPONG C.; EIAMSA-ARD P. "Turbulent heat transfer enhancement by counter/co-swirling flow in a tube fitted with twin twisted tapes" Experimental Thermal and Fluid Science. 2010, vol. 34, p. 53-62.
7. FERNANDEZ J.; UHIA, F. J. "Heat transfer and friction characteristics of spirally corrugated tubes for outer ammonia condensation". International Journal of Refrigeration. 2012, vol. 35, p. 2022-2032.
8. GARCIA A. et al. "The influence of artificial roughness shape on heat transfer enhancement: Corrugated tubes, dimpled tubes and wire coils". Applied Thermal Engineering. 2012, vol. 35, p. 1359-4311.
9. ÇAKMAK G. et al. "Experimental investigation of Thermal Performance in a Concentric-Tube Heat Exchanger with Wavy Inner Pipe". International Journal Thermophys. 2012, vol. 33, p. 1055-1067.
10. JOSHIS S.; KRIPLANI V.M. "Review of heat transfer augmentation with tape inserts". International Journal of Engineering Science and Technology. 2011, vol. 3, p. 162-164.
11. HO K.; ABDALLA Y.A.; CHAN A. "An experimental set-up for investigating swirling decaying flow in an annular pipe". International Communications in Heat and Mass Transfer. 2011, vol. 38, p.1253-1261.
12. EIAMSA-ARD S.; THIANPONG C.; EIAMSA-ARD P. "Turbulent heat transfer enhancement by counter/co-swirling flow in a tube fitted with twin twisted tapes". Experimental Thermal and Fluid Science. 2010, vol. 34, p. 53-62.
13. GARCÍA A. "Mejora de la transmisión de calor en tubos circulares lisos mediante la inserción de espirales en espiral". Tesis de Doctorado. Universidad de Cartagena. Murcia, España. 2006.
14. WOLFGANG M. "Flow visualization", 2th ed. Academic Press (LONDON) LTD. 1987.
15. LIN C. K. et. al. "Flow Visualization in a Circular-to-Rectangular Transition Duct". International Journal of Turbo and Jet-Engines. 1993, vol. 10, p.61-74.
16. SWANEPOELLAND W.; MEYER J.P. "Preliminary investigation of heat transfer augmentation by means of spiral wires in the annulus of tube-in-tube heat exchangers". R & D Journal. 1997, vol. 13, p. 98-100.
17. SLANCIAUSKAS A. "Two friendly rules for the turbulent heat transfer enhancement". International Journal of Heat and Mass Transfer. 2001, vol. 44, p. 2155-2161.
18. GOLDSTEIN R. "Fluid Mechanics Measurements". 2th ed. John Wiley & Sons. 1996. Philadelphia.