Índices de comportamiento del sistema fotovoltaico conectado a la red eléctrica y teoría de errores
Performance Ratios of Grid Connected Photovoltaic Systems and Theory of Errors
Índices de comportamiento del sistema fotovoltaico conectado a la red eléctrica y teoría de errores
Tecnología Química, vol. XXXVI, núm. 3, 2016
Universidad de Oriente
Recepción: 02 Mayo 2016
Aprobación: 01 Septiembre 2016
Resumen: Se presenta un análisis detallado de los diferentes índices de comportamiento dinámico de los sistemas fotovoltaicos conectados a la red eléctrica (SFCR) y su interrelación basada en el desarrollo de un diagrama de bloques que explica el transcurso de las transformaciones energéticas desde que la radiación solar incide en el plano de los módulos solares hasta que se convierte en energía útil disponible en la red eléctrica. Se explicanlos índices definidos por la norma española UNE-EN 61724: Monitorización de sistemas fotovoltaicos. Guías para la medida, el intercambio de datos y el análisis, a partir de los elementos básicos derivados del álgebra de bloques y la función de transferencia de los sistemas lineales. Los requisitos de precisión exigidos por la mencionada norma para la medición de estos parámetros se tratan con la teoría de errores y se obtienen los límites reales de los resultados obtenidos.
Palabras clave: índice de comportamiento, módulo solar, teoría de errores.
Abstract: A detailed analysis of the different levels of dynamic performance of grid connected photovoltaic systems and its interface based on the development of a block diagram explaining the course of energy transformation from solar radiation incident on the solar modules until it becomes useful energy available in the mains. Indexes defined by the Spanish standard UNE-EN 61724: Monitoring photovoltaic systems: Guidelines for measurement, data exchange and analysis, are explained from the basics fundaments of block algebra and the transfer function of linear systems. The accuracy requirements demanded by the aforementioned standard for measuring these parameters are discussed in the theory of errors and the real limits of the results obtained.
Keywords: performance ratio, solar module, theory of errors.
INTRODUCCION
El mercado fotovoltaico español experimentó un crecimiento muy grande a lo largo de los años 2004-2010, incentivado por un conjunto de subvenciones que permitieron la introducción a gran escala de esta fuente de energía renovable en forma de SFCRy sistemas autónomos. En el año 2011 se eliminó el sistema de primas y se produjo un freno en el desarrollo y aplicación de esta tecnología en España. Por este motivo, se impone la necesidad de trabajar estos sistemas con el máximo rendimiento, lo cual se consigue con un adecuado proceso de ingeniería de diseño, selección rigurosa de los componentes que forman los diferentes subsistemas de la instalación y el correspondiente mantenimiento preventivo planificado, acorde con un estricto seguimiento del comportamiento dinámico de las variables que intervienen en el proceso de captación y transformación de la energía.
Los índices de comportamiento del sistema fotovoltaico conectado a la red eléctrica que deben evaluarse son: El índice de producción o productividad del campo fotovoltaico Y., el índice de producción o productividad final del sistema Y., el índice de producción o productividad de referencia Y., las pérdidas de captura del campo fotovoltaico o pérdidas de productividad en el proceso de captación del generador fotovoltaico PY., las pérdidas de productividad del resto del sistema PY. en el proceso de transformación de la energía de corriente continua a alterna y el coeficiente global de rendimiento del sistema fotovoltaico PR, también llamado índice de relación de comportamiento.
El objetivo del presente trabajo consiste en realizar un análisis metodológico de los diferentes elementos que influyen en el comportamiento dinámico de un sistema fotovoltaico conectado a la red eléctrica a través de un diagrama de bloques de todos los subsistemas que lo forman y los índices de comportamiento asociados a cada bloque con sus definiciones derivadas de la norma UNE-EN 61724.
Se añaden dos conceptos no incluidos en la norma: el índice de relación de comportamiento del campo fotovoltaico PR. y el índice de relación del comportamiento del resto del sistema PR., que permiten realizar la evaluación de cada una de las partes fundamentales de un sistema fotovoltaico: la transformación de la energía de la radiación solar en energía de corriente continua realizada por el generador fotovoltaico y la transformación a energía de corriente alterna efectuada por el resto del sistema. El efecto útil de esta metodología es que permite identificar la falla en cada subsistema de forma independiente, como resultado de la afectación del índice particular.
Diferentes conceptos de eficiencia asociados al sistema fotovoltaico
Antes de poner en marcha una instalación fotovoltaica, resulta de máximo interés predecir la cantidad de energía eléctrica que generará el sistema. Esto es un tema complejo y las estimaciones siempre llevan asociadas una gran incertidumbre. Por ello, las especificaciones técnicas dadas por el fabricante del módulo fotovoltaico juegan un papel fundamental y resultan claves en la selección del tipo de módulo para un SFCR.
Eficiencia pico
Uno de los parámetros más importantes en el diseño y cálculo de la instalación fotovoltaica es la potencia pico, Pm CEM, que se define como la potencia máxima del módulo en condiciones estándar de medida (CEM), definidas como temperatura del módulo 25 °C, irradiancia solar GCEM=1000 W/m. y distribución espectral correspondiente a una masa de aire AM 1,5G. Al conocer esta potencia y el área del módulo ., se puede hallar la eficiencia pico, ηpico,o eficiencia del módulo en CEM.
(1)La ecuación anterior puede ser representada en el siguiente diagrama de bloques: Ver figura 1.

Eficiencia energética
También hay que conocer el rendimiento energético del módulo en función del lugar de instalación y de las condiciones climáticas a las que va a estar expuesto. Para esto se emplea la eficiencia energética, ηenergética, que es la energía total producida por el módulo fotovoltaico en relación con la energía solar que incide en él, durante un periodo de tiempo dado.
(2)donde
Pm representa la potencia máxima en condiciones reales de operación. La ecuación (2) viene representada por: Ver figura 2.

Indice de relación de comportamiento o coeficiente global de rendimiento A partir de las definiciones de los dos tipos de eficiencia definidos anteriormente, se puede obtener una figura de mérito adimensional conocida como coeficiente global de rendimiento, PR, que puede hallarse con la ecuación siguiente:
(3)Dependiendo del tipo de módulo, el PR puede variar entre 0,6 y 1. En él se engloban todas las pérdidas de eficiencia que el módulo puede tener por no encontrarse en las condiciones de referencia de laboratorio, es decir, por estar a una temperatura diferente a 25 ºC, expuesto a niveles de irradiancia distintos a 1,000 W/m., con un cierto grado de suciedad acumulada sobre el vidrio, con un gran porcentaje de radiación difusa, diferente a la del espectro de AM 1,5G y otras causas de pérdidas.
Haciendo uso de la ecuación (3), se puede representar un diagrama de bloques equivalente al de la figura 2 de la siguiente manera: Ver figura3 y figura 4.

(4)
(5)

El numerador de la ecuación (5) se conoce como productividad energética o productividad final Y., definida como la energía eléctrica producida dividida entre la potencia pico. Esta magnitud se mide en kWh/kW., mientras que el denominador representa la productividad de referencia Y.,definida como la irradiación total sobre el plano de los módulos respecto a la irradiancia solar en condiciones estándar de medida (1, 000 W/m.).
Por tanto, otra manera de expresar el coeficiente global de rendimiento PR es:
(6)A menudo se habla también del PR, la productividad, o la eficiencia energética del sistema fotovoltaico completo, en lugar del módulo. En este caso, además de las pérdidas de eficiencia en el módulo, se incluyen otras pérdidas asociadas al sistema fotovoltaico, como por ejemplo pérdidas en el cableado de CA, en el inversor, en el transformador, etcétera.
El SFCR puede descomponerse en los diferentes subsistemas: generador fotovoltaico, inversor y transformador de baja a media potencia. Ver figura 6

Las variables que describen el rendimiento energético de un módulo son función de la ubicación del SFCR y del tipo de instalación. Además de ello, deben tenerse en cuenta las especificaciones técnicas de los subsistemas dadas por el fabricante, que permiten realizar estimaciones de la energía producida por el conjunto y comparar el comportamiento de diferentes tipos de módulos, o tecnologías, ante unas condiciones climáticas dadas. Estos datos son los coeficientes o curvas de dependencia de la eficiencia de los módulos con la temperatura y con la irradiancia.
Índices de comportamiento del sistema fotovoltaico
Los sistemas fotovoltaicos de distintas configuraciones y en distintas localizaciones pueden compararse fácilmente mediante la evaluación de sus índices de comportamiento del sistema normalizados, tales como los índices de producción, pérdidas y rendimiento. Los índices de producción son cantidades de energía normalizadas a la potencia nominal del campo fotovoltaico. Los rendimientos del sistema se normalizan al área del campo fotovoltaico y las pérdidas son las diferencias entre los índices de producción correspondientes.
En condiciones normalizadas, respecto a las CEM, aparecen los conceptos de Y., Y. . Y., que corresponden al diagrama de bloques siguiente: Ver figura 7.

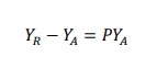
Pérdidas de productividad de captura del generador fotovoltaico (PYA): se deben exclusivamente al generador del sistema y son consecuencia de tener una temperatura en las celdas distinta a 25 °C, caídas de tensión en el cableado, suciedad, sombreado.
Pérdidas de productividad del resto del sistema (PYs): causadas por ineficiencias de los subsistemas (inversor y transformador), pérdidas en el cableado de corriente alterna y debidas a la falta de disponibilidad del sistema y conexión de la red por diferentes motivos: parada de equipos por mantenimiento, roturas o problemas en la red, entre otros.
Equivalente a: Ver figura 8.

(7)
(8)
(9)
(10)
(11)
(12)donde:
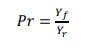
Yf es la productividad final
Yr es la productividad de referencia
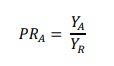
YA es la productividad del generador fotovoltaico
PYA son las pérdidas de productividad en el proceso de captación
PYs son las pérdidas de productividad del resto del sistema
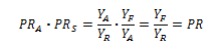
PRA es el coeficiente de rendimiento parcial del generador fotovoltaico
PRs es el coeficiente de rendimiento parcial del resto del sistema
PR es el coeficiente de rendimiento global
Monitorización y teoría de errores aplicada al cálculo de los índices de comportamiento de los sistemas fotovoltaicos
A la evaluación de sistemas fotovoltaicos bajo condiciones reales de operación se le atribuye mucha importancia, sobre todo cuando se realiza la comparación del rendimiento de sistemas fotovoltaicos de diferentes tecnologías y donde los datos se presentan a menudo derivados de diferentes tipos de instrumentos de medición y mediante valores aproximados o subestimados. Los parámetros de evaluación del rendimiento se basan en datos colectados en tiempo real a partir de instrumentación instalada para medir parámetros meteorológicos y operacionales para su posterior análisis, entre los cuales se encuentran la irradiancia total en el plano del campo fotovoltaico, la dirección y velocidad del viento, así como la temperatura ambiente a la sombra y la temperatura del módulo. Los parámetros eléctricos obtenidos, mediante el sistema de monitorización, incluyen la medición de corriente y voltaje correspondientes al punto de máxima potencia (PMP), la potencia y energía de DC y AC.
Medida de la irradiancia
Los datos de la irradiancia se miden en el plano del campo fotovoltaico y se usan en el análisis del comportamiento del sistema fotovoltaico. La irradiancia en el plano horizontal también puede registrarse para realizar comparaciones con datos meteorológicos estándar de otros lugares.La irradiancia en el plano se debe medir a través de dispositivos de referencia calibrados o mediante piranómetros. Si se usan las células o los módulos de referencia deben calibrarse y mantenerse, conforme conla norma IEC 60904 partes 2 y 6, respectivamente. La localización de estos sensores será representativa de las condiciones de irradiancia del campo fotovoltaico. Su precisión, incluyendo el acondicionamiento de la señal, debe ser mejor que el 5 % de la lectura.
Medida de la temperatura ambiente
La temperatura ambiente se debe medir en un lugar representativo de las condicionesdel campo fotovoltaico, por medio de sensores de temperatura colocados a la sombra. La precisión de los sensores de temperatura ambiente, incluyendo el acondicionador de la señal, debe ser superior a 1K.
Medida de la temperatura del módulo
La temperatura del módulo fotovoltaico se debe medir por medio de sensores de temperatura colocados en la parte posterior de uno o más módulos. La selección de estos módulos se especifica en el método A de la norma IEC 61829. Se debe tomar la precaución de que la temperatura de la célula no se vea alterada por el propio sensor. La precisión de estos sensores, incluyendo el acondicionamiento de la señal, será mejor que 1K.
Medida de la velocidad del viento
Se debe medir la velocidad del viento a una altura y en un lugar que sean representativos de las condiciones del arreglo fotovoltaico. La precisión de los sensores de velocidad del viento será mejor que 0,5 m.s-1 y mejor que el 10 % para lecturas del viento superiores a 5 m.s-1.
Medida de la tensión y de la intensidad de corriente
Los parámetros tensión e intensidad pueden ser de c.c. o de c.a. La precisión de los sensores de intensidad y tensión, incluyendo el acondicionamiento de la señal, será superior al 1% de la lectura.
Medida de la potencia eléctrica
Los parámetros de potencia eléctrica pueden ser de corriente continua (c.c), de corriente alterna (c.a), o de ambas. La potencia de c.c. puede calcularse en tiempo real como el producto de la tensión por la intensidad o medirse directamente con un sensor de potencia. Si se calcula la potencia de c.c., se usará una medida de tensión por una de intensidad; no podrá utilizarse el producto de valores medios de tensión por valores medios de intensidad. Puede usarse un vatímetro de c.c. para medir la potencia de c.c. con precisión. La potencia de c.a. se medirá usando un sensor de potencia que tenga en cuenta el factor de potencia y la distorsión armónica. La precisión de los sensores de potencia, incluyendo el acondicionamiento de la señal, debe ser superior al 2% de la lectura. Un sensor integrador de potencia con alta velocidad de respuesta (por ejemplo un medidor de kWh) se puede usar para reducir los errores de muestreo.
Fuentes de errores en la evaluación del rendimiento de sistemas fotovoltaicos
En este trabajo, las fuentes de error asociadas con las mediciones al aire libre debidas a la instrumentación y a su impacto en la evaluación de los parámetros del rendimiento, tales como el índice de producción final del sistema Y., el índice de producción de referencia Y., el índice de producción o productividad del campo fotovoltaico Y., las pérdidas de captura o de productividad del campo fotovoltaico PY., las pérdidas de productividad del resto del sistema PY. y el índice de relación de comportamiento PR, se tratan mediante el análisis lineal de la teoría de propagación de errores.
Como consecuencia de la existencia de diferentes fuentes de error, al resultado de una medida se le asocia un valor que indica la calidad de la medida o su grado de precisión. El error de precisión constituye la primera fuente de incertidumbre o error. Éste viene determinado por la precisión del aparato de medición. El error aleatorio se debe a numerosas causas imprevisibles que parecen fruto del azar. Si las fuentes de error son únicamente de carácter aleatorio, es decir, si influyen unas veces por exceso y otras por defecto en el resultado de la medida, puede demostrarse que el valor que más representa al verdadero valor es precisamente el valor medio y ello será más cierto cuanto mayor sea el número de mediciones.
(13)El error aleatorio de la media se determina mediante la desviación estándar de la media.
(14)El error de medida σ . será el mayor entre el error aleatorio y el de precisión. La magnitud que se desea medir x vendrá dada por:
(15)Propagación de errores
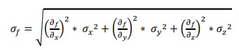
Hay una clase de magnitudes que no se pueden obtener por medición directa y que requieren de la aplicación de la teoría de propagación de errores. El cálculo del error de una magnitud derivada a partir de los errores de las magnitudes medidas, con las cuales está relacionada a través de una determinada expresión matemática se realiza mediante la propagación de errores que consiste en determinar el error de la magnitud f que está relacionada con varias magnitudes (por ejemplo x, y, z,…) por medio de una función genérica. Las magnitudes x, y, z,… han sido medidas y se conoce sus valores medios y sus errores. La expresión que da el error de f es:
(16)donde los términos entre paréntesis son las derivadas parciales de la función f respecto a cada una de las variables.
Para el cálculo del error asociado a la determinación del coeficiente de rendimiento de los SFCR se requiere medir la productividad final instantánea del sistema Y. y la productividad de referencia instantánea Y.. La productividad final instantánea del sistema se determina a partir de la medición de la producción a la salida del inversor PCA, según la fórmula:
(17)donde Po es la potencia pico del SFCR
La productividad de referencia instantánea de referencia se obtiene mediante la medición de la irradiancia G sobre el plano de los módulos, a través de la expresión:
(18)donde GSTC representa la irradiancia de referencia en condiciones estándar de medida, equivalente a 1 kW/m..
El coeficiente de rendimiento instantáneo pr se calcula mediante la ecuación:
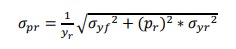
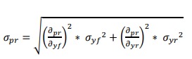
(19)El error en el cálculo de pr del SFCR, σpr, se obtiene mediante la propagación de errores:
(20)σY.: error en la determinación de Y.
σY.: error en la determinación de Y.
Sustituyendo las derivadas parciales en la ecuación anterior, se obtiene:
(21)Se pueden obtener los valores de σY. y de σy. a partir de las mediciones de PCA y de G. Esto es:
(22)
(23)El error en la medición de potencia de corriente alterna, σPCA, según establece la norma española UNE-EN 61724 no debe ser mayor que el 2 % de la lectura, mientras que el error de medición de la irradiancia sobre el plano de los módulos, σ., no debe ser mayor que el 5% de la lectura. Finalmente, se obtiene:
(24)La expresión que precede al radical depende de los valores medidos de PCA y G, así como de los parámetros conocidos: potencia pico de la instalación P. e irradiancia en condiciones estándar de medida GSTC. El resultado de esa expresión sería el valor del pr del SFCR calculado a partir de las mediciones. Por tanto, el error de medición del pr resulta aproximadamente igual al 5 % del valor calculado:
(25)Y el valor del coeficiente de rendimiento instantáneo de un SFCR afectado por el error de medición será:
(26)Un resultado similar se puede obtener para el cálculo del error en la medición del coeficiente de rendimiento instantáneo del arreglo fotovoltaico pr..
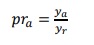
El pra se calcula a partir de la fórmula:
(27)Donde:
(28)
(29)Aplicando la propagación de errores, se puede obtener el error de la medición del coeficiente de rendimiento instantáneo σpr. a partir de la ecuación anterior:
(30)Luego de calcular las derivadas parciales de la ecuación 30 a partir de la ecuación 29 y aplicar lo establecido en la norma UNE-EN 61724 respecto a la precisión exigida en la medición de voltaje dc y corriente dc (1 % de la lectura en ambos casos) e irradiancia (5% de la lectura), se obtiene:
(31)La expresión que precede al radical depende de los valores medidos de Vdc, Idc y G, así como de los parámetros conocidos: potencia pico de la instalación e irradiancia en condiciones estándar de medida GSTC. El resultado de esa expresión sería el valor del pr instantáneo del arreglo fotovoltaico, calculado a partir de las mediciones. Por tanto, el error de medición del pra es aproximadamente el 5 % del valor medido indirectamente:
(32)Y el índice de rendimiento instantáneo del arreglo fotovoltaico será:
(33)CONCLUSIONES
1. El análisis de los sistemas fotovoltaicos a partir del diagrama de bloques permite una mejor comprensión del transcurso de los procesos de transformación de la energía desde su captación, transformación y conversión en energía útil. Con ello se facilita la interpretación de los conceptos expresados en la norma UNE-EN 61724 en relación con los índices de comportamiento del sistema.
2. Se obtuvo con rigor científico el origen del concepto: coeficiente de rendimiento de los sistemas fotovoltaicos como una relación entre la eficiencia energética y la eficiencia pico.
3. El álgebra de bloques justifica la introducción del coeficiente de rendimiento del arreglo fotovoltaico y del resto del sistema por separado, lo que ayuda a la detección de fallas en cada una de las 2 partes fundamentales del sistema fotovoltaico.
4. La aplicación de la teoría de errores al cálculo de los coeficientes de rendimiento del sistema fotovoltaico y del generador fotovoltaico, en particular, advierte que aun cumpliéndose estrictamente con la norma UNE-EN 61724 respecto a la clase de precisión de los instrumentos de medición utilizados para su cálculo indirecto, el mínimo error cometido es del orden del 5 % del valor obtenido. Para valores actuales alrededor de 0,8 se tendría una incertidumbre en el resultado de ± 0,04, lo que significa que la precisión en los reportes de este indicador están en el orden de las centésimas.
BIBLIOGRAFIA
[1]. BETTS, T. et al. Consideration of error sources for outdoor performance testing of photovoltaic modules. España, 2005, pp. 2127-2130.
[2]. DECKER B., JAHN, U. Performance of 170 grid connected PV plants in Northern Germany-analysis of yields and optimization potentials. Solar Energy, vol.59, Nº 4, Alemania, 1997, pp. 127-133.
[3]. DREWS, A. et al. Monitoring and remote failure detection of grid-connected PV systems based on satellite observations. Solar Energy, Vol. 81, Nº 4, EE.UU, 2007, pp. 548-564.
[4]. DUNLOP, E., HALTON, D. The performance of crystalline silicon photovoltaic solar modules after 22 years of continuous outdoor exposure. Research and Applications, Vol. 14, EE.UU, 2006, pp. 53-64.
[5]. JAHN, U & NASSE, W. Operational performance of grid-connected PV systems on buildings in Germany. Research and Applications, Vol. 12, Nº 6, Alemania, 2004, pp. 441-448.
[6]. KYMAKIS, E., KALYKAKIS, S. & PAPAZOGLOU, T.M. Performance analysis of a grid connected photovoltaic park on the island of Crete. Energy Conversion and Management, Vol. 50, Grecia, 2009, pp. 433-438.
[7]. MARION, B. et al. Performance parameters for grid-connected PV systems. EE.UU, 2005. pp. 1601-1606.
[8]. SIDRACH DE CARDONA, M. et al. Performance analysis of a grid connected photovoltaic system. Energy, Vol. 24, Nº 2, España, 1999, pp.93-102.
[9]. VAZQUEZ, M., & REY- STOLLE, I. Photovoltaic module reliability model based on field degradation studies. Research and Applications. Vol. 16, España, 2008, pp 419-433.
[10]. ZHOU, W., YANG, H., & FANG, Z. A novel model for photovoltaic array performance prediction. Applied Energy. Vol. 84, EE.UU, 2007, pp 1187-1198.