Validación y aplicación del modelo Bristow Campbell para estimar la radiación solar global de la región de Junin
Validation and application of Bristow Campbell model for estimating the global solar radiation in the Junin región
Validación y aplicación del modelo Bristow Campbell para estimar la radiación solar global de la región de Junin
Tecnología Química, vol. XXXVII, núm. 3, 2017
Universidad de Oriente
Recepción: 01 Noviembre 2016
Aprobación: 01 Marzo 2017
Resumen: Con el propósito de contar con una herramienta que estime la radiación solar mensual y anual sobre la superficie horizontal terrestre en la Región Junín, zona en la cual no se dispone con esta información, se validó y aplicó el modelo Bristow-Campbell (1984) para estimar la radiación solar global media mensual [1]. Para la creación de la base de datos de la zona de estudio se utilizó la técnica documental propuesta por Espinoza [2] y fue necesario recopilar la mayor cantidad de información disponible de magnitudes como temperaturas máximas y mínimas de los registros elaborados de las localidades de Junín ubicadas dentro de la zona de estudio. Al aplicar la prueba de t Student para muestras relacionadas se contrastó que no existen diferencias entre los valores registrados y calculados con el modelo Bristow-Campbell de las radiaciones globales diarias promedias mensuales. Se muestran los valores obtenidos de las 19 estaciones meteorológicas que se encuentran en la Región Junín, encontrándose la mayor radiación solar global en la estación de Viques provincia de Huancayo en la Sierra con 6,2 kWh/m./día. La Estación Pichanaki de la provincia de Chanchamayo, que pertenece a la Selva es la que cuenta con menor radiación solar global con 3,8 kWh/m./día. La rentabilidad determinada para la Selva es menos rentable y para Sierra es muy rentable. El modelo es de funcionamiento simple y accesible a todo usuario. Se concluye que la aplicación del modelo Bristow-Campbell adaptado, resulta un instrumento de gran utilidad para generar una base de datos completa de la radiación solar disponible en la Región Junín.
Palabras clave: estimación de energía solar, radiación solar de Junín, disponibilidad de energía solar..
Abstract: In order to have a tool to estimate the monthly and annual solar radiation on the horizontal surface land in Junín region, no area in which this information is available, validated and applied adapted Bristow-Campbell model to estimate the monthly average global solar radiation. For the creation of the database of the study area was used documentary techniques proposed by Espinoza (2010) and it was necessary to gather as much information available magnitudes as maximum and minimum temperatures of the records made in the towns of Junín located within the study area. By applying the t Student test for related samples contrasted no differences between values measured and calculated with the Bristow-Campbell model of monthly average daily global radiation. It shows the values of the 19 weather stations that are in the Junín Region, with the highest global solar radiation Viques station Huancayo Province in the Sierra with 6.2 kWh/m./day. Pichanaki Station of the province of Chanchamayo, which belongs to the Selva is the one with lower global solar radiation with 3.8 kWh/m./day. Profitability is determined for the less profitable Selva and Sierra is very profitable. In addition, the operating model is simple and available to all users. We conclude that application of the Bristow-Campbell model adapted, it is an instrument of great utility to generate a comprehensive database of available solar radiation in Junín region.
Keywords: solar energy estimate, solar radiation Junín, availability of solar energy..
Introducción
El departamento de Junín está dotado de todos los climas y riquezas. En la sierra baja (pisos ecológicos de Yungas y Quechua) el clima es templado y en la sierra alta (pisos ecológicos de Suni, Punas y Cordilleras) es frío. En Tarma y el Valle del Mantaro, la época lluviosa va de octubre a abril. La zona de selva: Satipo, San Ramón y La Merced tienen un clima tropical, cálido y húmedo con lluvias intensas de noviembre a marzo.
En los valles y quebradas a menos de 3500 msnm tenemos un clima templado y seco con marcadas diferencias de temperatura durante el día de 24 h, se alcanzan 25°C durante el día y los 5°C en la noche siendo la época de lluvias entre noviembre y abril. En la sierra alta (altiplanos y cordilleras a más de 3600 msnm) el clima es frío y seco con temperaturas que descienden a menos de 0 °C. La zona de selva, provincias de Chanchamayo y Satipo con clima tropical e intensas lluvias de noviembre a marzo, las temperaturas superan los 25 ºC.
Se seleccionaron las 19 estaciones meteorológicas registradas por la Dirección Regional del Servicio Nacional de Meteorología e Hidrología (SENAMHI) del Perú [3], las zonas climáticas pertenecientes a estas estaciones meteorológicas son sierra y selva, de este grupo se escogieron las estaciones siguientes para validar el modelo empírico Bristow-Campbell ya que cuentan, entre otros, con datos de la radiación solar terrestre sobre una superficie horizontal:
Estación Tarma.
Estación Santa Ana.
El modelo de estimación de la distribución espacial de la radiación solar global diaria media mensual que se elaboró en este estudio, fue implementado en la zona de la Región Junín. Esta región del país presenta favorables condiciones geográficas y climáticas que permiten el buen desarrollo de los principales sectores productivos regionales.
La información obtenida permitirá captar la atención de la administración, inversionistas y público en general hacia las fuentes renovables de energía y el desarrollo de las tecnologías necesarias para obtener calor y electricidad mediante el uso de colectores solares térmicos y módulos fotovoltaicos.
Siendo el objetivo del presente trabajo, estimar la radiación solar diaria media mensual potencial de las estaciones existentes determinando su rentabilidad de sierra y selva, en la Región Junín.
Desarrollo
Base de datos de radiación solar de la región Junín
Para elaborar la base datos de las 19 estaciones meteorológicas existentes en la Región Junín se tomaron los datos existentes de temperaturas máximas y mínimas diarias registradas durante los años del 2000 al 2010 que fueron procesados por SENAMHI y facilitados para esta investigación por el Gobierno Regional de Junín.
Para obtener una adecuada base de datos, fue necesario recopilar la mayor cantidad de información disponible a través de los registros elaborados para las localidades de Junín ubicadas dentro de la zona de estudio de las temperaturas máximas y mínimas. Sin embargo, referente a la variables solarimétricas necesarias tales como la radiación solar terrestre sobre una superficie horizontal la información es muy escasa, por eso se tomaron los datos de las estaciones de Satipo, Tarma y Santa Ana por contar con estos registros.
La información necesaria para cumplir los objetivos planteados en este trabajo fue obtenida tanto de la bibliografía nacional como internacional. Se utilizaron diversos software de análisis estadístico, los cuales proporcionaron las herramientas adecuadas para evaluar toda la información recopilada.
En la creación de la base de datos,se elaboró un catastro de los parámetros meteorológicos, climáticos y solarimétricos necesarios para realizar posteriormente el análisis y caracterización de la radiación solar global diaria media mensual en la zona de la región Junín.
La información recopilada consistió en datos de latitud, longitud, altura sobre el nivel del mar y la localidad donde se encuentran emplazadas cada una de las estaciones. Además, se consideraron valores medios mensuales diarios de temperaturas máximas y mínimas y el coeficiente de transparencia de la atmósfera.
Técnicas de procesamiento y análisis de datos
Se realizó una selección y representación por variables:
Temperaturas extremas: se obtuvieron desde el 2000 al 2010, datos diarios y media mensuales, los datos de las temperaturas máximas y mínimas de las 19 estaciones de medición registradas por la Dirección Regional del Servicio Nacional de Meteorología e Hidrología del Perú, todas ellas distribuidas dentro de la zona de estudio.
Radiación Solar global diaria media mensual reales: Los datos de radiación solar registradas se procesaron a partir de las radiaciones horarias hasta determinar las radiaciones horarias diarias medias mensualmente.
Radiación Solar global diaria media mensual estimada: Para determinar la radiación solar global diaria media mensual estimada se utilizó el modelo empírico de Bristow-Campbell y una hoja de cálculo Excel en cuya validación se utilizó el coeficiente de correlación de r de Pearson para comprobar la relación entre la radiación solar global diaria promedio mensual real, y la radiación global diaria promedio mensual estimada, y aplicando la prueba de t de Student, para muestras relacionadas, se contrastó si existe o no diferencias entre los valores obtenidos.
Rentabilidad económica de la radiación solar global
Se tomó como referencia el estudio hecho por CENERGIA que propone para que sea rentable económicamente la energía solar debe ser mayor que 4 kWh/m2/día. Se procedió aplicar la t de Student para una muestra. Para que un dato sea evidencia, debe estar referido a una hipótesis y tener como base la teoría (Espinoza M. C., [2]). En la tabla 1 se muestra la tripartita de datos.

Pruebas estadísticas
Estaciones meteorológicas del SENAMHI
Los resultados de la estimación de la radiación solar diaria media mensual empleando la información real (registrada o medida) de la radiación global solar diaria de las estaciones facilitadas por SENAMHI Junín, ver tabla 2, permitió analizar el comportamiento de la radiación solar media mensual sobre una superficie horizontal a lo largo de la zona de estudio conformado por la estación Satipo, estación Tarma y estación Santa Ana, estaciones que tienen datos de piranómetria horarias y temperaturas máximas y mínimas diarias.
Incorporando las variables atmosféricas en la hoja de cálculo EXCEL a través de una serie de fórmulas matemáticas se desarrolló una secuencia de ecuaciones que permitieron estimar los valores de la irradiación solar global diaria media mensual sobre una superficie horizontal para la zona de la Región Junín. A continuación, en la tabla 2, se detallan y analizan los resultados en cada una de las estaciones con datos de temperaturas extremas (máximas y mínimas) y radiación solar global diaria real observados con piranometria.

Validación del modelo Bristow-Campbell
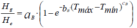
Se utilizó el modelo matemático de estimación de la irradiación solar global diaria, media mensual sobre una superficie horizontal, propuesto con Bristow- Campbell (Ec. 1), para la zona de la Región Junín y evaluando las variables astronómicas, trigonométricas, topográficas y atmosféricas que modifican de distinta magnitud la disponibilidad de radiación solar sobre la superficie terrestre:
(1)Para la validación del modelo propuesto se tomaron los datos reales de temperaturas máximas y mínimas medias mensuales, las radiaciones solares globales media mensual de las estaciones Tarma, Satipo y Santa Ana y el coeficiente empírico aB. de la estación de Huayao (Atlas de Energía Solar del Perú, [3]). Para la estación Satipo, Tarma y Santa Ana se estimó la radiación global diaria media mensual por el modelo empírico de Bristow-Campbell.
Estación de Tarma
En la tabla 3 se presentan las radiaciones solares global reales y radiación solar media mensual estimadas de la estación de Tarma; con las pruebas r de Pearson para determinar su relación de estas radiaciones tanto reales y estimados y la prueba de Student de una muestra para determinar si hay diferencias significativas entre las medias mensuales de las radiaciones reales y estimadas.

En la estación de Tarma se midió la radiación solar global diaria de todos los meses del 2010. Se probaron distintos valores del coeficiente aB del modelo hasta que los promedios mensuales de radiación solar diaria real y estimados coincidieran, confirmados con la prueba de t Student para la homogeneidad de medias de dos muestras correlacionadas, se encontró que este parámetro fluctúa entre 0,555 (diciembre) a 0,850 (agosto), con un promedio mensual anual de 0,718 como se muestra en la figura 1.

Aplicando el coeficiente de correlación de r de Pearson se comprueba que la relación entre la radiación solar global diaria promedio mensual real y la radiación global diaria promedio mensual estimada, es significativa o altamente significativa, con un grado de relación r de Pearson entre 0,350 (octubre) y 0,897 (mayo).
Aplicando la prueba de t Student para muestras relacionadas se contrastó que no existen diferencias entre los valores obtenidos de las radiaciones globales diaria promedias mensuales registradas y el valor de las radiaciones globales diarias medias mensuales estimadas con el modelo Bristow-Campbell, siendo la menor t de –0,004 9 con 30 grados de libertad y significancia de 0,996 (julio), hasta t de 0,020 1 con 30 grados de libertad y significancia de 0,984 (enero).
Resultados
Estaciones meteorológicas de la Región Junín
A través de las herramientas de cálculo que ofrece la hoja de Excel, se procedió al uso del modelo empírico de Bristow-Campbell.
En este caso, fue necesario utilizar los valores de temperaturas máximas y mínimas promedio de 10 años desde el 2000 al 2010 registrados por 19 estaciones señaladas en el anexo III facilitadas por el Gobierno Regional, y los datos de latitud, longitud y altitud correspondiente a las 19 estaciones estudiadas y los valores de la constante a. se tomaron de los hallados por aproximaciones experimentales de la zona de estudio y los datos actinométricos de la Estación Huayao, luego se propone por analogía de acuerdo a la altitud y clima para las demás estaciones que no tiene datos de piranometría los valores de a. (tabla 4).

Estimación de la radiación solar global diaria media mensual
De esta manera, los valores estimados de irradiación global diaria media mensual, para las 19 estaciones de monitoreo por SENAMHI Junín situadas dentro de la zona del gobierno regional Junín se presentan en el tabla 5. Se observa que los menores valores de radiación solar son de la zona de la selva siendo menor en la estación Pichanaki con 3,83 kWh/m2/día que pertenece a la Provincia de Chanchamayo, seguido por la Estación Satipo con 3,98 kWh/m2/día, que pertenece a la provincia de Satipo.
En la zona de la sierra se da los mayores valores de radiación solar, siendo la Estación Viques, de la provincia de Huancayo la que cuenta con la mayor radiación solar con 6,23 kWh/m./día, seguida de la Estación Huayao con 6,13 kWh/m2/día.
El valle del Mantaro cuenta con las estaciones de Jauja, Ingenio, Viques, Huayao, Santa Ana y Shullcas que en promedio es la zona que cuenta con mayor radiación solar global diaria media mensual de la Región Junín con 5,93 kWh/m2/día.
En la tabla 5, se observa la rentabilidad por estaciones meteorológicas siendo la mayoría, estaciones rentables comparadas con 4,00 kWh/m2/día, lo que se confirma con la t de Student para una muestra con significaciones menores que 0,05 a excepción de la estaciones de Pichanaki, y Satipo con significaciones de la t de Student mayores de 0,05.
En la tabla 6, se observa la rentabilidad por estaciones meteorológicas de la sub zona sierra, la cual es muy rentable comparada con 5,00 kWh/m2/día, lo que se confirma con la t de Student para una muestra con significaciones menores que 0,05.
En la tabla 7, se observa la rentabilidad por estaciones de la sub zona selva, en general no es rentable comparada con 4,00 kWh/m2/día, lo que se confirma con la t de Student para una muestra con significaciones mayores que 0,05, a excepción de las estaciones de sub zona selva alta y de Estación San Ramón con significaciones de la t de Student menores de 0,05, más no en sub zona de selva baja.



Para la estimación de la radiación solar global diaria media mensual de la Región Junín se optó por el modelo Bristow-Campbell validado y se siguió la metodología de Carlos Nickl Huanka que propone considerar los datos promedios de temperaturas máximas y mínimas mensuales del 2000 al 2010, promedios de altitudes de 2,872 m.s.n.m. y el valor medio de la constantes aB que es de 0,73 para las estaciones que se encuentran en la Región, los resultados se muestran en la tabla 8.

En la tabla 8, se observa que en la Región Junín la menor radiación solar global diaria media mensual se tiene en el mes junio con 4,640 kWh/m2/día y la mayor radiación solar global diaria media mensual en el mes de noviembre con 6,130 kWh/m2/día con un promedio diario anual de radiación solar de 5,373 kWh/m./día con unas temperaturas promedios máximas de 20,04 °C y mínimas de 6,99 °C.
Procedimiento de cálculo a modo de ejemplo
A continuación se muestra el procedimiento de cálculo de estimar la radiación solar global mensual realizado con el programa Excel:
Día Juliano, dn, contado desde el primero de enero;
Temperatura máxima, Tmax, [ °C];
Temperatura mínima, Tmin, [ °C];
Latitud, (f), [grados y minutos].
f = 3.14159*f /180, [radianes]
E0 = 1+ (0,033*COS (2*3.14159* dn /365))
δ = 0,409*SENO ((2*3,14159* dn /365)-1.39)
ωsh = ACOS (-TAN (f)*TAN(δ))
Heh=(24*60*0,082*E0/3,14159)*(ωsh)*SENO(f)*SENO(δ)+COS(f)*COS(δ)*SENO(
ωsh))
aB: constante de la zona más representativa.
cB = (2,116-(0,072*(Tmax-Tmin))+57,574*EXP(f))
bB = 0,107*POTENCIA(cB,-2,6485)
Hsh= (Heh*aB)*(1-EXP(-bB*POTENCIA((Tmax-Tmin),cB)))

Discusión
De los modelos empíricos de estimación de la radiación solar global citados por el Atlas de Energía Solar del Perú [3], se utilizó el modelo de Bristow-Campbell por adaptarse mejor a las condiciones de todas las estaciones meteorológicas y contar con valores de temperaturas extremas como lo corroboran Meza y Varas [5] y Baigorria et al. [6] que llegaron a la conclusión que el modelo Bristow-Campbell era el que mejor se adecuaba a las condiciones de Perú.
También, De la Casa A. et al. [7] en su trabajo “Estimación de la Radiación Solar Global en la Provincia de Córdova, Argentina” llega a la conclusión que la utilización de valores estimados de radiación solar global con el modelo (Bristow-Campbell) produce simulaciones similares a las que se obtiene con datos observados de radiación solar global.
El modelo Bristow-Campbell presenta mejor capacidad predicativa a escala de estimación de la radiación solar diaria media mensual. En cambio, para elaborar el Atlas de Energía Solar del Perú [3] se utilizó el modelo de Ångström-Prescott con información diaria de las estaciones con instrumentación piranométrica y actinométrica, por eso solo evaluaron la Estación de Cosmos y Huayao de la Región Junín.
En el contexto de los modelos de estimación de la radiación solar de naturaleza menos compleja, los que emplean como variable independiente la heliofonia relativa o la nubosidad presentan mejor capacidad predicativa a escala diaria que los procedimientos basados en la amplitud térmica.
Valores estimados de la radiación solar global en la región Junín
Junín, es una región con un potencial de 5,37 kWh/m2/día promedio anual determinado por el modelo Bristow-Campbell, valor mayor que el estimado por Organización Latinoamericana de Energía (OLADE, 1992) de 4,70 kWh/m2/día promedio anual. En cambio SENAMHI [3] da un valor intervalo entre 5,13 – 5,63 kWh/m2/día, por lo que los valores estimados obtenido en este trabajo se encuentra dentro de los valores estimados por SENAMHI, valores muy dispersos que se representa por intervalos de colores en valores de ± 0,5 kWh/m./día, esto genera un mayor grado de incertidumbre.
Con este modelo se ha estimado en forma puntual las 19 estaciones meteorológicas que se encuentran en la Región Junín, encontrándose la mayor radiación solar global en la estación de Viques provincia de Huancayo con 6,2 kWh/m2/día, seguido por la Estaciones de Huayao y Laive con 6,1 kWh/m2/día. La Estación Pichanaki es la que cuenta con menor radiación solar global con 3,8 kWh/m2/día, seguido por la Estación Satipo con 3,9 kWh/m2/día ambas estaciones pertenecen a la zona de selva de las provincias de Chanchamayo y Satipo respectivamente.
El Valle del Mantaro es el que tiene el mayor potencial de energía solar global con un valor promedio de 5,9 kWh/m./día. Dentro del Valle del Mantaro la que tiene menor radiación solar global tiene es la Estación Santa Ana con 5,3 kWh/m2/día promedio anual por contar con un microclima especial con reforestación tupida y situarse como quebrada sin embargo, en las zonas abiertas del Valle del Mantaro se sobrepasa los 6 kWh/m2/día promedio anual. Estas altas radiaciones solares son adecuadas para proyectos térmicos y fotovoltaicos de gran potencia.
Las radiaciones solares globales diarios medias mensuales en la zona de la Sierra tiene un valor de 5,6 kWh/m2/día y la zona de la Selva tiene menor radiación solar global diaria media mensual considerada baja con 4,2 kWh/m2/día.La radiación solar, varía según la latitud (a mayor distancia de la línea ecuatorial menor radiación), la altura sobre el nivel del mar (a más altura más radiación), la orografía (valles profundos tienen menos horas de sol) y la nubosidad (a mayor nubosidad menos radiación).
Conclusiones
1. El modelo físico Bristow-Campbell se ha validado para la Región Junín y es un modelo que permite estimar confiablemente la radiación solar global solar diaria media mensua;
2. El modelo físico Bristow-Campbell permite estimar y calcular la radiación solar global diaria media mensual potencial en la región Junín con datos de las temperaturas máximas y mínimas diarias;
3. Es necesario ampliar más las estaciones meteorológicas de acuerdo a las altitudes y microclimas de cuencas y sub cuencas e implementarles con instrumentos como piranómetros que permita elaborar un mapa solar detallado de la Región Junín.
4. Al tener la región Junín un potencial de radiación solar global diaria media mensual de 5,3 kWh/m2/día, que es considerado muy rentable por la OLADE, es posible considerar en planes y programas de desarrollo sostenibles la aplicación de la energía con fines sociales y económicos. En este sentido se destaca el Valle del Mantaro con una radiación solar global diaria media anual de 6 kWh/m2/día.
Bibliografía
1. CAMAYO LAPA, Becquer Frauberth. “Radiación solar y calidad ambiental de la región de Junín”. Director: José Cerrón Rojas. Tesis Doctoral. Universidad Nacional el Centro. Facultad de Ciencias Forestales y del Ambiente, Perú, 2013.
2. ESPINOZA MONTES, Ciro. “Metodología de investigación tecnológica. Pensando en sistemas”. Huancayo, Perú: Imagen Gráfica SAC, 2010. 187 p. ISBN: 978-612-00-0222-3.
3. SERVICIO NACIONAL DE METEOROLOGÍA E HIDROLOGÍA (SENAMHI). Ministerio de Energía y Minas. Atlas de Energía Solar del Perú. Lima, Perú. 2003. 72 p.
4. CENTRO DE CONSERVACIÓN DE ENERGÍA Y EL AMBIENTE (CENERGIA). Diagnóstico del uso de la energía solar y eólica en el Perú. MINEM. Lima, Perú 2004, 123 p.
5. MEZA, F.; VARAS, E. “Estimation of mean monthly solar global radiation as a function of temperature. Agricultural and Forest Meteorology”. 100, 2000, pp. 231–241.
6. BAIGORRIA, G.A.; VILLEGAS, E.B.; TREBEJO, I.; CARLOS, J.F. R. QUIROZ, R. “Atmospheric transmissivity: distribution and empirical estimation around Central Andes”. International Journal of Climatology. 2004, vol. 24, num.9, pp.1121-1136.
7. DE LA CASA A.; OVANDO G.; RODRÍGUEZ A. “Estimación de la Radiación Solar Global en la Provincia de Córdova y su empleo en un modelo de rendimiento potencial de papa”. Revista de Investigaciones Agropecuarias. 2011, agosto, vol 32, núm. 002.
8. MUÑOZ ANTICONA, Delfor Flavio. “Aplicación de la energía solar para electrificación rural en zonas marginales del país”, Tesis de grado, Universidad Nacional de Ingeniería, Perú, 2005.
9. IQBAL, M. “An introduction to solar radiation”. Academic Press. 1983. p. 390 ISBN: 0-12-373750-8.
Apéndice
Nomenclatura
Hg : radiación solar global, [Wh/m2] ;
He: radiación solar extraterrestre, [Wh/m2];
Tmáx: temperatura máxima, [ºC];
Tmín: temperatura mínima., [ºC]. aB: coeficiente;
bB: coeficiente;
cB: coeficiente.
Notas de autor