Artículo original
Obtención de un modelo para la determinación del coeficiente medio de transferencia de calor por condensación en sistemas ACC
Obtaining a model for the determination of the mean coefficient of heat transfer by condensation in ACC systems
Obtención de un modelo para la determinación del coeficiente medio de transferencia de calor por condensación en sistemas ACC
Tecnología Química, vol. 38, núm. 1, 2018
Universidad de Oriente
Recepción: 08 Septiembre 2017
Aprobación: 16 Diciembre 2018
RESUMEN: En este trabajo se exponen los resultados de la continuidad del proceso investigativo llevado a cabo en el centro de Estudios de Energía, perteneciente a la Facultad de Ciencias Técnicas de la Universidad de Matanzas, relacionado con la obtención de modelos adimensionales para la determinación del coeficiente medio de transferencia de calor por condensación en sistemas Air Coleed Condenser (ACC), en el interior de tubos rectos e inclinados. La investigación consiste en obtener de forma analítica la solución de la ecuación diferencial del perfil de velocidades, considerando que la condensación es de tipo pelicular, finalmente es combinada la condición empírica de Roshenow con la solución teórica, para generar una expresión numérica que permite obtener con un 15,2 % de desviación en 2192 pruebas, un valor del coeficiente medio de transferencia de calor por condensación muy similar al obtenido con el empleo del modelo más referenciado en la literatura consultada, el modelo empírico de Chato.
Palabras clave: corrección de roshenow, coeficiente de transferencia de calor, condensación.
ABSTRACT: This paper presents the results of the continuity of the research process carried out at the Center for Energy Studies, belonging to the Faculty of Technical Sciences of the University of Matanzas, related to the production of dimensionless models for the determination of the mean coefficient of heat transfer by condensation Air Coleed Condenser (ACC) systems, inside straight and inclined tubes. The research consists in analytically obtaining the solution of the differential equation of the velocity profile, considering that the condensation is of the film type, finally the Roshenow empirical condition is combined with the theoretical solution, to generate a numerical expression that allows obtaining with A 15,2 % deviation in 2192 tests, a mean value of the heat transfer coefficient by condensation very similar to that obtained with the use of the most referenced model in the literature known and consulted, Chato's empirical model.
Keywords: roshenow correction, heat transfer coefficient, condensation.
Introducción
En numerosos procesos de transferencia de calor en los que interviene un vapor saturado se experimenta un cambio de fase al estado líquido mediante el mecanismo de condensación. Este fenómeno ocurre cuando el vapor entra en contacto con una superficie a menor temperatura. 2,12
Es conocido por lo estudiado en termodinámica, que cuando se eleva la temperatura de un líquido a una presión específica hasta la temperatura de saturación
se presenta la ebullición. Del mismo modo, cuando se reduce la temperatura de un vapor hasta
, ocurre la condensación.
Debido a que en las condiciones de equilibrio la temperatura permanece constante durante un proceso de cambio de fase a una presión fija, se pueden transferir grandes cantidades de calor, debido al valor elevado del calor latente de vaporización
liberado o absorbido durante la condensación, en esencia a temperatura constante. Sin embargo, en la práctica es necesario mantener alguna diferencia entre la temperatura superficial
, para tener una transferencia efectiva de calor. Típicamente, los coeficientes de transferencia de calor
asociados con la condensación son mucho más altos que los que se encuentran en otras formas de procesos de convección que se relacionan con una sola fase. (4,6,8,11).
El proceso de condensación exige un agente refrigerante que sea capaz de absorber la entalpía del agente de trabajo. Como la entalpía de cambio de fase resulta poseer un valor elevado (por ejemplo la del agua es
a 43,7 0C y 0,009 MPa), por lo que los coeficientes medios de transferencia de calor también resultarán ser grandes. En la mayor parte de las aplicaciones industriales, tanto la fase líquida como el vapor son concurrentes al mismo equipo de transferencia de calor. Así la transferencia de calor a la interfaz entre el líquido y el vapor es en esencia un proceso de convección, pero a menudo se ve complicado por un interfaz regular, como la que producen las burbujas o las gotas.
En la aplastante mayoría de las fuentes disponibles consultadas, es coincidente el criterio unificado sobre el empleo de la expresión de Chato para la obtención del coeficiente medio de transferencia de calor por condensación en el interior de tuberías horizontales. Sin embargo la ecuación de Chato posee como inconveniente el hecho que en su generalización fueron empleados puntos experimentales de diferentes fluidos, entre ellos el agua, aunque la gran mayoría de estos corresponden a refrigerantes. Otro inconveniente de la expresión de Chato es que está limitada por la velocidad del agente de trabajo, siendo válida solamente para números de Reynolds menores de 35000, evitando así la operación en la zona estratificada, con el consiguiente peligro de estancamiento de condensado en el interior del tubo. Este inconveniente es eliminado parcialmente en tuberías inclinadas, siempre que sean coincidentes las normales del flujo y las fuerzas gravitacionales. La ecuación de Chato considera que el vapor posee una velocidad despreciable, por lo que no ejerce influencia en el calentamiento del líquido estratificado en el fondo del tubo, y tampoco ejerce esfuerzo de arrastre sobre este.
Roshenow generalizó datos experimentales disponibles y reportados por diversos autores 6,9,10 y creó una corrección empírica nombrada en su honor, corrección empírica de Roshenow, la cual permite afectar al calor latente para tener en cuenta el efecto del subenfriamiento del vapor y el arrastre de este, y demostró que el empleo de su corrección en la ecuación de Nusselt permite un ligero incremento en la precisión de los resultados obtenidos. Según 4,7 este mejoramiento en la precisión oscila en el entorno
.
Este inconveniente de la ecuación de Chato fue resuelto parcialmente por Shah y sus colaboradores. 3,9) Estos autores generaron un modelo que permite determinar el número adimensional del Nusselt, combinando las cantidades correspondientes al flujo de calor en la fase líquida mediante la ecuación de Dittus-Boelter y la ecuación obtenida por Nusselt mediante sus hipótesis simplificadoras para la condensación de un vapor puro. Sin embargo la ecuación de Shah proporciona resultados con una pobre precisión en medios condensantes que se encuentran próximos al estado de líquido, a pesar de que si tiene en cuenta el efecto del arrastre del vapor brindado por la corrección de Roshenow.
Criterios más modernos brindados por Martineli y Brender, 1,2,4,12 subdividen la condensación en cuatro grupos básicos, y atribuyen expresiones de cálculo generalizadas específicamente para cada zona particular, sin embargo, en la zona taponada, la ecuación de Dobbson que es la más recomendada puede generar errores que pueden alcanzar hasta el 30 %, lo que es eventualmente resuelto con la aplicación de la corrección de Roshenow.
Esta problemática incentivó a los autores a crear una metodología de cálculo que tenga en cuenta el efecto del arrastre del vapor y del subenfriamiento del líquido, y que sea tan precisa como la expresión más recomendada y referenciada en la literatura especializada sobre el tema, 1,5,12 la ecuación de Chato.
Para cumplir con este objetivo se efectuó una combinación de la relación diferencial del perfil de velocidades en el interior de un tubo y la solución de la ecuación diferencial de la distribución de temperaturas. La solución teórica obtenida es afectada posteriormente por la corrección empírica de Roshenow. Aunque acá se proporcionan los resultados primarios obtenidos, los autores aún continúan perfeccionando el modelo en un intento futurista de disminuir los errores de correlación con respecto a datos experimentales disponibles y de reducir la complejidad matemática de la relación obtenida.
Desarrollo
Elementos de condensación en sistemas ACC
El intercambio de calor es un proceso decisivo en la eficiencia del ciclo. Aproximadamente el 90 % del calor extraído en un ciclo de potencia se hace a través del sistema de condensación. El calor de desperdicio proveniente de la turbina de vapor se libera a la atmósfera a partir del sistema de enfriamiento, el cual, dependiendo de las condiciones ambientales realiza este intercambio a partir de sistemas de circulación de agua o enfriamiento directo con el medio ambiente. 1,4,11,12 En la figura 1 se muestra esquemáticamente un ejemplo de una unidad de condensador de vapor refrigerado por aire de tubo con aletas en forma de A.
Un intercambiador de calor precisa de un determinado gradiente de temperaturas para que se pueda efectuar la transferencia de calor. El aerocondensador es un intercambiador de calor aire-agua, el cual sufre el mismo tratamiento de un condensador clásico, donde el calor extraído por el aire es igual al calor retirado del fluido a condensar. El calor que libera el flujo a condensar puede ser determinado mediante la variación de entalpías que sufre el fluido, de acuerdo a la siguiente expresión:

donde
es el flujo de vapor a la salida de turbina, en
es la entalpía del fluido a la salida de turbina
es la entalpía del fluido a la salida del condensador

El calor que absorbe el aire del fluido es determinado mediante la relación:

donde
es el flujo de aire, en
es el calor específico del aire a las temperaturas de salida de la turbina
y de bulbo seco
.
O sea, las ecuaciones (1) y (2) son las clásicas ecuaciones de balance de energía.
Deducción de una ecuación para la determinación del coeficiente medio de transferencia de calor en sistemas ACC
Las plantas generadoras de potencia y en las industrias procesadoras que emplean sistemas ACC, la condensación se lleva a cabo en un haz de tubos inclinados. La fuerza de flotación ejercida por el líquido en la superficie del tubo viene dada por
, esto es justificado pues, la superficie del tubo no es plana sino curva y esta fuerza de flotación es siguiendo la aproximación dada por una línea tangente a la superficie del tubo que surge como resultado de la trayectoria de la porción superior a la inferior, tramo a tramo., tal como se muestra en la figura 2.

Por lo tanto, el ángulo
se mide desde la parte superior del tubo. La ecuación diferencial para el perfil de velocidades
a través de la película, para cualquier valor particular de
y considerando
viene dada por la siguiente expresión. 6,8,10,11

La ecuacion diferencial (3) es afectada ahora por el término
por la presencia de la inclinación ya mencionada en la pared del tubo, por lo tanto la expresión (3) se transforma y queda de la forma siguiente 1,3,5,12

La ecuación diferencial (4) es una ecuación diferencial de perfil de velocidades, en este caso la velocidad
a través de la película para cualquier valor particular de x. Para solucionarla se requieren dos condiciones de contorno. Sobre la pared se toma la condición de no deslizamiento del fluido real, por lo tanto:

En la superficie de la película se supone que el arrastre de vapor es mínimo. Si se toma
como el espesor de la película, la condición de contorno requerida entonces vendrá dada por:

El espesor de la película
es una función todavía pendiente por determinar. La condición de arrastre del vapor despreciable o insignificante es válida en muchas ocasiones en que la velocidad del vapor no es demasiado grande.
Integrando la ecuación diferencial (4) se obtiene:

Introduciendo en la ecuación (7) la condición de contorno expresada en la expresión (7) se tiene que:

Despejando en (8) la constante de integración
y sustituyendo nuevamente se tiene que:

Integrando nuevamente la ecuación diferencial (10) se obtiene:

Tomando las condiciones de contorno dadas en (7), al aplicarlas en (11) se obtiene que
. Reordenando la ecuación (11) se llega a:

La relación (11) indica que el perfil de velocidades
es parabólico. La velocidad alcanzará un máximo sobre la superficie de la película cuando
. Sustituyendo esta condicionante en (11) se puede determinar la velocidad máxima, la cual viene dada por (2, 4, 6)

Estableciendo una comprobación de la velocidad máxima sobre la superficie de la película en un tubo inclinado con igual condición de velocidad máxima para una superficie vertical, se obtienen soluciones idénticas con la salvedad de que la primera viene afectada por
, ocasionado por la curvatura de la superficie y la inclinación de los tubos. El flujo másico de condensado por unidad de ancho de la película en superficies verticales e inclinadas también son idénticas, (1, 12) y se recuerda que deben ser afectadas por
, por lo tanto se cumple que:

Por lo tanto el número de
de película viene dado por:

Considerando que la longitud del tubo es mucho mayor que su diámetro, y que el proceso es asumido como estacionario, entonces la distribución de temperaturas puede ser tratada de forma simplificativa como unidimensional, por lo tanto, de acuerdo a lo planteado en (7, 9), la ecuación diferencial de distribución de temperaturas se reduce a.

Para integrar la ecuación diferencial (16) se requieren dos condiciones de frontera. La continuidad de la temperatura en la superficie de la película exige que
, (
es la temperatura de saturación correspondiente a la presión
del vapor), por lo tanto se tiene que la primera condición de frontera, viene dada por:
Como segunda condición de contorno se supone que la pared es isotérmica a la temperatura
, por lo tanto:

Integrando la ecuación diferencial (16) dos veces se arriba a:

Introduciendo en (18) las condiciones de contorno dadas (16.a) y (17) se obtiene:

La relación (19) es un perfil de temperaturas lineal, puesto que el problema es idéntico al de la conducción a través de una placa plana. Por lo tanto el flujo de calor por unidad de área hacia la pared es simplemente el flujo por unidad de área a través de la película, o sea:

El coeficiente local de transferencia de calor
se define como el cociente que existe entre el flujo de calor por unidad de área y la diferencia de temperaturas a través de la película, por lo tanto 8,10,11

En la ecuación (21)
se ha supuesto positivo para la condensación, por lo tanto se puede escribir el balance de energía como:

Especificando la condición de frontera sobre la pared, se obtiene la expresión para una pared isotérmica a
. Despejando el espesor
en la ecuación (22)

Sustituyendo la ecuación (22), (14) y (15) en (22), se obtiene que:

Integrando en (24) con
se obtiene:

Una observación curiosa e importante. Se le dio preferencia a emplear
en lugar del espesor
como variable independiente, la explicación es simple. El número de
vale cero en
porque, por simetría, la velocidad del gasto másico es nula en la parte superior del tubo, mientras que el espesor de la película en
es finito y desconocido. 1,3,5,7
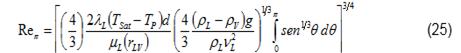
Un balance global de energía sobre la mitad del tubo proporciona el coeficiente medio de transferencia de calor, de forma que:

Sustituyendo el valor de
en la ecuación (25) y reordenando se obtiene:

La integral presente en la ecuación (27) puede ser resuelta por las técnicas de integración conocidas, obteniéndose que:
Solución interesante la alcanzada en (28), porque
y
, son funciones gamma, con sus particularidades y propiedades especiales. En definitiva para
, se tiene que:

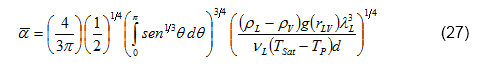
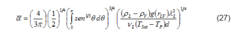
Sustituyendo (29) y (30) en (28) se obtiene:

Por lo tanto

Sustituyendo (32) en (27) se obtiene:

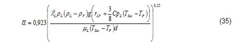
El calor latente
en (33) es reemplazado por la corrección de Roshenow
, la cual plantea que cuando existe la posibilidad del subenfriamiento del líquido, el calor latente debe ser afectado de la forma siguiente. (2, 4, 6)

Además es conocido que la viscosidad cinemática es igual al cociente de la viscosidad dinámica y la densidad; por lo tanto, aplicando este criterio y sustituyendo (34) en (33) se arriba a:

Finalmente como se trata de una superficie inclinada, pues la aceleración de la gravedad se haya presente en el denominador se afecta en forma de producto por el seno del ángulo
formado con la horizontal, quedando en definitiva:

En la expresión (36):
La ecuación de Chato, la cual queda descrita mediante la expresión siguiente [12]:

En la expresión (37) los números adimensionales de Re y Pr se determinan en funcion de los parametros del estado liquido , mientras que x es la calidad del vapor.
Validación experimental del nuevo modelo para la determinación del coeficiente medio de transferencia de calor por condensación
En la referencia (1) se proporciona un grupo numeroso de puntos experimentales para la condensación de vapor de agua y otros agentes refrigerantes (R-22, R-134a, R-410, etc.), de los cuales fueron tomados arbitrariamente un total de 2192 valores que se ubican en los intervalos
, abarcando calidades del vapor desde 0 hasta 1, las temperaturas del vapor se hayan comprendidas entre
, y las presiones abarcan el rango
. En todos los casos que existe subenfriamiento la temperatura del líquido se haya comprendida en los intervalos
, mientras que el factor de fricción
es evaluado para el medio en dos fases (líquido +vapor) mediante la bien conocida ecuación de Martinelli. 1,12 En la validación del modelo obtenido la temperatura de la pared es tomada como la media aritmética de las temperaturas a la entrada y la salida del tubo. Mediante el software profesional TkSolver 5.0 se puede ejecutar una función comparativa, estableciendo para ello un valor de tolerancia (error permisible) igual a
y empleando para la determinación de las propiedades físicas del agua.el modelo IAPWS Formulation 1995 for the Thermodynamic Properties of Ordinary Water Substance for General and Scientific Use. Los resultados obtenidos son graficados en coordenadas cartesianas, tomando como el eje de las ordenadas el complejo
y por el de las accisas el cociente
. El error cometido con el empleo de la ecuación (36) tiende al decrecimiento en la medida que se incrementa el valor del complejo
, encontrándose para
un error medio igual al 12,86% y para
un error medio igual al 8,75 %. Las pruebas efectuadas permiten además obtener que la expresión (36) correlacione de forma general con un error medio del orden
para el 84,12 % de las muestras experimentales disponibles, tal como se muestra en la figura 2 .
En la propia figura 1 fue representada la ecuación de Chato (37) por una línea continua roja, la misma representa aproximadamente el mismo patrón de error de correlación que la ecuación (36) en el intervalo
, sin embargo, este parámetro se agudiza fuera de este intervalo, llegando a ser del orden de
en las zonas
y
.
En la tabla 1 se proporciona una comparación entre los valores del coeficiente medio de transferencia de calor obtenido con el uso de la ecuación (37) y el modelo propuesto (36) para 3 valores experimentales. Todos los coeficientes vienen dados en
. Todos los valores de Re empleados en la comparación son menores de 35000, teniendo en cuenta que para valores mayores de este número adimensional la expresión (37) no es válida.
En la figura 3 se representan gráficamente los errores de correlación de las expresiones (36) y (37).


Conclusiones
Se ha obtenido, de forma analítica un modelo para la determinación del coeficiente medio de transferencia de calor por condensación en sistemas ACC, el cual es válido para tubos rectos horizontales e inclinados, y posee un ajuste superior al modelo de mayor difusión en la literatura conocida, la ecuación de Chato, en los intervalos, no siendo así en el intervalo
en el cual la ecuación (37) presenta un mejor ajuste a los datos experimentales disponibles. El nuevo modelo obtenido es válido para un mayor intervalo del número de Re
, a diferencia de (37) que solo es válida para
, y correlaciona de forma general con un error medio del orden para el 84,12% de las muestras experimentales disponibles, superando al 18,2 % de error atribuido al modelo de Chato, lo cual es coincidente con el criterio inicial que
fundamento la investigación, considerándose cumplidos los objetivos de la misma. Los autores consideran que posibles ajustes con nuevas cantidades experimentales logren disminuir el error de correlación en el intervalo
. El nuevo modelo obtenido responde a la siguiente expresión:
Bibliografía
1. WATSON, R., Radiant heating and cooling handbook, Chapman, Kirby (ed. Lit.). New York: McGraw-Hill, 2014. 657 p. ISBN: 978-0071485562
2. BOHDAL, T., et al. “Dominant dimensionless groups controlling heat transfer coefficient during flow condensation inside tubes”. International Journal of heat and mass transfer, 2017, vol 112, p. 465-479, ISSN 1301-9724
3. KRöGER, D., Air-cooled heat exchanger and cooling tower, Oklahoma: PennWell Corporation, 2012, 502 p., ISBN 978-0878148967
4. HEYNS, A., “Performance Characteristics of an Air-Cooled Steam Condenser with a Hybrid Dephlegmator”, Journal of the South African Institution of Mechanical Engineering, 2012, Vol. 28, p. 31-36 . ISSN 0257-9669
5. RAHMANI, Khanman, et al. “Feasibility study for reduce water evaporative loss in power plant cooling tower by using air heat exchanger with auxiliary fan”, Desalination, 2015, vol. 17, no. 1, p. 19-23. ISSN 0011-9164
6. MORTENSEN, K., “Improved performance of an air cooled condenser using SPX wind guide technology”, California: SPX Technology , 2013, pp. 28-52.
7. O’DONOVAN, Alan, et al. “The influence of the steam-side characteristics of a modular air-cooled condenser”, Energy Procedia, 2017, vol. 49, p. 1450-1459. ISSN 1876-6102.
8. GUANG, X., et al. “Thermo-economic optimization of a combined cooling, heating and power system based on small-scale compressed air energy storage”, Energy Conversion and Management, 2017,vol. 118, p. 377-386. ISSN 0196-8904.
9. CHEN, Lin, et al. “A novel layout of air-cooled condensers to improve thermo-flow performances”, Applied Energy, 2016, vol. 165, p. 244-259. ISSN 0306-2619.
10. SALIMPOUR, M., et al. “Thermodynamic, heat transfer analysis and optimization of air-cooled heat exchangers”. Heat and Mass Transfer, 2017, Vol. 63, p. 47-49. ISSN 0947-7411.
11. XIAO, Li, et al. “Operation of air-cooling CHP generating unit under the effect of natural wind”, Applied Thermal Engineering, 2017, vol. 107, p. 827-836. ISSN 1359-4311.
12. CAMARAZA, Y., “Introducción a la termo transferencia”, La Habana: Editorial Universitaria, 2017, 1341 p., ISBN 978-959-16-3286-9.
Notas de autor
*Autor para la correspondencia. Correo electrónico: ycamaraza1980@yahoo.com.
Declaración de intereses