Artículo original
Estimación del tiempo de vida útil restante en transformadores de fuerza a partir de la despolimerización de la celulosa del aislamiento
Estimation of the remaining life time in power transformers from the depolymerization of insulation cellulose
Estimación del tiempo de vida útil restante en transformadores de fuerza a partir de la despolimerización de la celulosa del aislamiento
Tecnología Química, vol. 40, núm. 1, 2020
Universidad de Oriente
Recepción: 19 Marzo 2019
Aprobación: 20 Julio 2019
RESUMEN: El tiempo de vida útil restante en transformadores depende del envejecimiento del aislamiento debido a la degradación térmica del papel, que supone la ruptura de las cadenas moleculares de la celulosa y puede cuantificarse a partir del grado de polimerización. Este tiempo es de gran interés para fabricantes, empresas eléctricas y centros de investigación pues constituye un factor decisivo para gestionar el riesgo asociado a la confiabilidad y calidad del servicio de las redes de distribución eléctricas. El objetivo de la investigación es predecir el tiempo de vida útil restante de los transformadores a partir del grado de polimerización. Se emplearon los métodos histórico lógico; inducción-deducción y generalización y matemáticos. Como principales resultados se estableció la ecuación más consistente para calcular el tiempo de vida remanente en los transformadores de fuerza a partir del grado de polimerización, del envejecimiento promedio y de los años de funcionamiento.
Palabras claves: Celulosa, degradación térmica, envejecimiento, grado de polimerización, tiempo de vida útil restante.
ABSTRACT: The useful life time residual in transformers depends on the aging of the insulation due to the thermal degradation of the paper, which supposes the rupture of the molecular chains of the cellulose and can be quantified from the degree of polymerization. This time is of great interest to manufacturers, electrical companies and research centers because it is a decisive factor to manage the risk associated with the reliability and quality of the service of the electrical distribution networks. The objective of the research is to predict the useful life time residual of the transformers from the degree of polymerization. The logical-historical; induction-deduction and generalization and mathematics methods were used. As the main results, the most consistent equation was established to calculate the remaining life time in the power transformers from the degree of polymerization, the average aging and the years of operation.
Keywords: Aging, cellulose, degree of polymerization, remaining life time: thermal degradation of insulating paper.
Introducción
Los fabricantes, empresas eléctricas y centros de investigación en el mundo, están interesadas en conocer el tiempo remanente de vida útil y el estado del asilamiento de los transformadores en los sistemas eléctricos por el considerable número transformadores envejecidos y por constituir un factor decisivo para gestionar el riesgo asociado a la confiabilidad y a la calidad del servicio, de las redes de distribución eléctricas.
El envejecimiento y la duración de vida útil del aislamiento en los transformadores ocurren casi exclusivamente, por la degradación térmica de las propiedades del papel aislante ubicado entre todos los devanados del transformador. 1,2 El envejecimiento del papel y su consecuente degradación supone la ruptura de las cadenas moleculares que conforman el polímero, lo cual puede cuantificarse a partir del grado de polimerización (GP), que representa el número de monómeros β de glucosa, C6H10O5, presentes en la molécula de la celulosa del papel y cuyo valor está críticamente relacionado con la rigidez mecánica del papel. 3 Durante el envejecimiento de los transformadores, los anillos glucósicos se rompen, disminuyendo la resistencia mecánica del papel y generando subproductos como agua, gases, grupos aldehído y grupos carboxilos.
En la evaluación del envejecimiento del aislamiento igualmente influyen otros compuestos tanto volátiles como solubles en aceite: Azúcares, ácidos orgánicos, compuestos volátiles, (4 compuestos furánicos análogos y degradación de resinas fenólicas (presentes en la madera laminada, así como en papel impregnado de resina). En general, la degradación de la celulosa es un mecanismo complejo catalizado por la presencia de agua, oxígeno disuelto y el efecto de la temperatura; además, otros factores como la presencia de cobre o aditivos pueden influir en dicho proceso.
El objetivo de la investigación es predecir el tiempo de vida útil restante de los transformadores a partir del grado de polimerización de la celulosa.
Métodos utilizados y condiciones experimentales
El análisis de los antecedentes y evolución del tema (Método Histórico Lógico), permitió determinar que los modelos clásicos para el cálculo de la vida remanente de un transformador de potencia han sido los de Arrhenius - Dakin y de Montsinger. El modelo de Arrhenius - Dakin es un modelo de fatiga simple, porque solo tiene en cuenta la temperatura como único factor que degrada el papel aislante. Su ecuación es:
(1)Donde:
A: Vida inicial (años)
B: Constante que depende de la energía de activación de una reacción química específica que depende de la temperatura (adimensional)
T: Temperatura en grado Kelvin.
McNutt propone 15000 como un posible valor de B. 5
Esta ecuación suele representarse como:
(2)El modelo se basa en la existencia de una reacción química dominante (hidrólisis, oxidación y pirolisis) para cada temperatura. El modelo de Arrhenius permite obtener una medida de la vida esperada de un material aislante a temperatura de operación normal.
La expectativa de vida normal de un transformador es una referencia convencional que se basa en considerar su funcionamiento en servicio continuo con su carga nominal, en un medio ambiente cuya temperatura es de 20 ºC y con una sobreelevación de temperatura del punto caliente de 78 ºC (temperatura 98 ºC). Este punto más caliente se encuentra en la zona de los enrollados. Esta la parte del aislamiento que soporta una temperatura más alta y donde se alcanza la mayor tasa de degradación térmica.
Las leyes de Arrhenius-Dakin y de Montsinger tienen dos inconvenientes: Primero no tienen en cuenta otros factores diferentes de la temperatura como factor de envejecimiento y segundo, requieren conocer la vida base del transformador sobre la que se expresa la vida en p.u. Debido a ello surgen otros modelos que permiten calcular el grado de polimerización del papel del transformador en lugar de la vida de papel que se explican detalladamente más adelante.
Resultados y su discusión
De esos modelos, los autores proponen el modelo basado en el uso de cuatro indicadores de envejecimiento del papel de celulosa (CO, CO2, 2-FAL y GP). En la medida que el papel va envejeciendo, cambian sus propiedades físicas y químicas disminuyendo su grado de polimerización GP y generando compuestos furanos. Consecuentemente, el papel pierde fuerza, se vuelve quebradizo y disminuyen sus propiedades mecánicas, especialmente la resistencia a la tracción (mecánica) del aislamiento de celulosa. En las condiciones actuales, resulta fácil determinar esos cuatro componentes en nuestros laboratorios y aplicar las ecuaciones correspondientes para el cálculo de vida útil restante de los transformadores.
La bibliografía relacionada con la investigación, (Método Inducción-deducción y generalización) permitió establecer que cuando se obtiene el papel, éste presenta un grado de polimerización (GP) aproximadamente de 1200. Las reacciones químicas que pueden provocar la despolimerización de la celulosa son la acido-hidrólisis, pirólisis y la oxidación. Por tanto, los principales factores que influyen en el envejecimiento de la celulosa en los transformadores son la temperatura, la humedad y el oxígeno.
La degradación de la celulosa se debe a la hidrólisis y la posterior oxidación de los productos. La hidrólisis además de producir agua produce CO, CO2, ácidos y furanos que son productos del envejecimiento del papel y no del aceite. La oxidación es la segunda causa principal de envejecimiento del pape y es esencialmente una forma de pirolisis o combustión lenta.
De los materiales que componen los transformadores los aislamientos son los que tienen un mayor envejecimiento (Método deductivo) y los que determinan la vida útil del transformador por el deterioro de su resistencia mecánica.
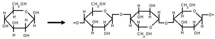
La celulosa para la producción de papel aislante (Figura 1) es un polímero de condensación lineal que consiste en anhidroglucosas unidas entre sí por enlaces glucosídicos.

Las sustancias hemicelulósicas son un grupo no uniforme de polisacáridos complejos que forman la matriz real en el que las fibras de celulosa están incrustadas, tiene un grado de polimerización menor y juega un papel importante en la resistencia mecánica, pues sus grupos hidroxilo forman los puentes de hidrógeno necesario para el enlace químico. 6
Los métodos matemáticos permitieron determinar la relación entre la ruptura de las cadenas y el grado de polimerización (GP).
Resultados y su discusión
En la estimación del tiempo de vida útil restante en transformadores de fuerza a partir de la despolimerización de la celulosa del aislamiento, los autores referenciados han propuesto varios modelos que permiten calcular el grado de polimerización (GP) del papel en función del contenido en furanos.
Modelo que sugiere que por cada tres cadenas de celulosa que rompen, se genera una molécula de 2-furfural. 7 La cantidad de furfural disuelto en el aceite se define por la fórmula:
(3)Donde:
GP0: Grado de polimerización inicial (800).
162: Peso molecular de las unidades de glucosa que constituyen la celulosa.
N: Número de roturas de la cadena.
96: Peso molecular del furfural.
0,3: Rendimiento de la reacción.
Partiendo de una relación (R) entre el aceite y el papel de 25 y relacionando el número de roturas de enlaces (N) se obtiene:
(4)La ecuación (5) permite relacionar la cantidad de furfural (2-FAL) en mg/kg de aceite, analizada en transformadores en servicio, con el grado de polimerización (GP) del papel de celulosa de los devanados de los transformadores.
(5)Modelo que propone una relación entre el grado de polimerización (GP) de un transformador y el contenido en furanos y CO obtenidos de transformadores desmantelados. 8
(6)Donde GP es el grado de polimerización y X= [FurfuralFAL].[CO].
Modelo que propone una relación entre el grado de polimerización y el contenido en furanos distinguiendo entre transformadores con aislamiento sólido de papel Kraft y transformadores con aislamiento sólido de papel térmicamente mejorado. (9)
Para transformadores sin papel térmicamente enriquecido la mejor estimación del grado de polimerización (GP) se obtiene usando el contenido del furano tipo 2-furaldehído (2-FAL), que es el de mayores concentraciones obtenidas en las pruebas experimentales.
(7)Para transformadores con papel enriquecido térmicamente el cálculo se basa en el contenido total de furanos.
(8)Con el valor del grado de polimerización (GP) obtenido de las ecuaciones (12) y (13) es posible calcular la vida utilizada:
(9)Modelo basado en el uso de cuatro indicadores de envejecimiento del papel de celulosa (CO, CO2, 2-FAL y GP) y aplicando un análisis estadístico para evaluar la vida remanente de un grupo de transformadores. (9)
La ecuación (10) que relaciona el grado de polimerización (GP) con los productos de envejecimiento es la siguiente:
(10)Donde:
GP: Grado de polimerización.
CO: Concentración de monóxido de carbono.
CO2: Concentración de dióxido de carbono.
2-FAL: Concentración de 2-furfural.
2-Acetil-furano: Concentración de 2-acetilfurano.
5-Metil-2-FAL: Concentración de 5-Metil-2-Furfural.
C0, a, b, c, d, e y f: Coeficientes.
El tiempo de vida transcurrido se calcula aplicando el valor del grado de polimerización (GP) obtenido en la ecuación (11):
(11)La estimación del tiempo de vida útil restante en transformadores se puede estimar a partir del grado de polimerización (GP).
(12)En 2010 fue propuesta una relación entre el tiempo de funcionamiento de un transformador y la concentración de 2-furfural (2-FAL) (10).
(13)Donde 2-FAL es la concentración de furfural en mg/L de aceite y T es el tiempo de funcionamiento del transformador en años.
Se propuso además la relación entre el CO, CO2 y el furfural con el tipo de envejecimiento que se produce en el transformador: 10
(14)Si el valor de Y se acerca a cero el nivel de envejecimiento se considera anormal y debe haberse producido una falla. Por el contrario, si el valor de Y se acerca a 1 el envejecimiento que se produce en el transformador es el normal.
Si el contenido de furfural está por debajo del valor de la estadística de distribución en los diferentes años de funcionamiento significa que el transformador no ha envejecido y que la operación normal.
Si, por el contrario, el contenido de furfural está por encima del valor de la estadística de distribución en los diferentes años de funcionamiento, la vida útil restante resultará:
(15)
(16)Donde el parámetro r es el envejecimiento promedio del transformador, L años de funcionamiento y n la vida útil restante.
Entre los métodos de diagnóstico que se utilizan en la actualidad para conocer el estado del transformador se encuentra el análisis de compuestos furánicos. El análisis de compuestos furánicos es una técnica relativamente nueva, se viene utilizando desde mediados de los años 90 para determinar el grado de envejecimiento de los aislamientos sólidos de un transformador a través de muestras del aceite aislante.
La vida de los transformadores está determinada por el deterioro de la resistencia mecánica del aislamiento de papel. El aislamiento es el que tiene mayor peso en el envejecimiento, pues este principalmente consiste en la pérdida de propiedades de su material aislante. Por lo tanto, resulta muy importante estimar el grado de deterioro del papel en el punto más caliente de los transformadores, que es el punto en el que el papel está más envejecido.
La figura 2 muestra la dependencia del grado de polimerización del aislamiento de celulosa de las condiciones de funcionamiento del transformador. Este se reduce de forma más rápida cuanto mayor es la temperatura a la cual se realiza el proceso de envejecimiento térmico acelerado.

A diferencia del resto de los productos de degradación, los furanos sólo pueden surgir de la descomposición de los materiales celulósicos en un transformador. Por ello el análisis de su presencia se ha visto como una oportunidad de evaluar el estado de los materiales aislantes celulósicos en un transformador de potencia. 11
Los compuestos furánicos son los principales productos de la degradación del papel aislante de celulosa. Algunos autores han intentado correlacionar la concentración de compuestos furánicos medidos en el aceite de un transformador con el grado de envejecimiento de su aislamiento celulósico. Debido a que el grado de polimerización (GP) se acepta como indicador confiable del deterioro de aislamiento de papel, la correlación directa entre este y el contenido de furanos resulta por tanto mejor indicador para determinar el grado de envejecimiento del papel. 12 Los análisis realizados (13 sugieren que existe una relación aproximadamente lineal entre el logaritmo de la concentración de Furfural (2-FAL) en aceite y el grado de polimerización (GP) de papel estándar.
El contenido de Furfural (2-FAL) en el aceite aumenta en la medida que aumenta el contenido de humedad y la carga del transformador. La evolución de los compuestos furánicos depende de las condiciones de funcionamiento del transformador. Los niveles de compuestos furánicos (CF) determinan el estado de un transformador: Para un transformador en buen estado, CF < 1 mg / L aceite; para un transformador con un envejecimiento intermedio, 1 < CF <2 mg / L de aceite y para un transformador con una tasa alta de envejecimiento, CF > 2 mg / L aceite
Existe consenso que eventos anormales como sobretensiones y fallos en el sistema son mucho más perjudiciales que el envejecimiento a largo plazo. Sin embargo, el envejecimiento de largo plazo puede hacer al transformador propenso al fallo ante tales eventos. 14
Conclusiones
En la medida que el papel va envejeciendo, cambian sus propiedades físicas y químicas y disminuye su grado de polimerización (GP). El papel pierde fuerza, se vuelve quebradizo debido a la disminución de sus propiedades mecánicas, especialmente la resistencia a la tracción (mecánica) del aislamiento de celulosa. El Grado de Polimerización (GP) está críticamente relacionado con el envejecimiento del papel aislante de los transformadores en servicio. Por lo tanto, se puede estimar el tiempo de vida útil restante de los transformadores a partir del grado de polimerización.
En la estimación del tiempo de vida útil restante en transformadores de fuerza a partir de la despolimerización de la celulosa del aislamiento, los autores referenciados en esta investigación han propuesto varios modelos que permiten calcular el grado de polimerización (GP) y a partir de él, el tiempo de vida útil consumido por estos equipos. Los autores proponen el modelo basado en el uso de cuatro indicadores de envejecimiento del papel de celulosa (CO, CO2, 2-FAL y GP). El valor de esos cuatro indicadores puede determinarse en nuestros laboratorios y aplicar la ecuación (20) del modelo y estimar la vida útil restante de los transformadores (ecuación 21).
Por supuesto que resulta difícil estimar de forma absoluta ese tiempo de vida útil restante en los transformadores de fuerza, debido a que el tiempo de vida de los transformadores de fuerza puede superar la vida del aislamiento. Además, la estimación implica muchas suposiciones (clara definición de “final de vida”, certeza de las fallas futuras que pudiera experimentar, etc.). No obstante que el punto de final de vida del aislamiento es una variable desconocida aún, especialmente a partir de los debates en la comunidad de especialistas sobre los valores esperados de “vida normal” y el criterio de “final de vida”, 15,16 es muy importante tener una estimación del tiempo de vida restante en los transformadores de fuerza, ya que constituyen elementos vitales para el Sistema Electroenergético Nacional, por su significación y por sus costos. Su intervención o mantenimiento a tiempo, puede reducir sus índices de fallas y evitar defectos mayores y más costosos.
El valor del grado de polimerización (GP) en el papel de aislamiento es el criterio más importante en la estimación de la vida útil restante de los transformadores. Durante la fabricación de un transformador, el Grado de Polimerización se encuentra entre 1000 y 1300, el secado del transformador lo reduce a 950 y el envejecimiento en servicio lo reduce mucho más. Con un Grado de Polimerización entre 500 y 950, la rigidez mecánica es constante, pero entre 200 y 500 su rigidez mecánica decrece directamente proporcional al Grado de Polimerización. 17
Para retardar el envejecimiento del papel aislante y consecuentemente alargar el tiempo de vida útil restante en los transformadores, se puede mejorar el papel mediante la vinculación de sustituyentes voluminosos como los grupos éter-cyanoethyl a los grupos HO- de la celulosa y la hemicelulosa, o agregar bases débiles orgánicas como diciandiamida, la urea o la melamina con el fin de neutralizar los ácidos producidos por la oxidación del aceite y el papel. Resulta importante destacar, que estas bases están sujetas a la hidrólisis acida, y el agua que se consume, por lo que se pueden considerar como agentes químicos orgánicos desecantes. 18 Los papeles con este tipo de tratamiento se denominan papeles térmicamente mejorados, muy utilizados en EEUU, pero mucho menos en Europa.
Como los principales productos de la degradación de la celulosa son los furanos y el grado de polimerización (GP) varía de forma equivalente a la variación de furanos, algunos autores han visto como una oportunidad evaluar el estado de los materiales aislantes celulósicos en un transformador de potencia a partir de la concentración de furanos. 7,11 Otros consideran que la estimación del tiempo de vida útil restante en transformadores a partir del grado de polimerización (GP) y del contenido de furanos, son equivalentes. 13,18,19
Debido al gran número de parámetros que afectan a la generación de compuestos furánicos (fundamentalmente la temperatura, la humedad, la presencia de oxígeno, el diseño del transformador y el tipo de papel) y la pérdida de vida de un transformador, no es posible predecir la vida útil del transformador a partir del contenido de compuestos furánicos. La dependencia entre el 2-FAL y el grado de polimerización del aislamiento de celulosa, depende de las condiciones de funcionamiento del transformador.
El grado de polimerización (GP) se acepta como indicador confiable del deterioro de aislamiento de papel. Debido a la relación directa entre este y el contenido de furanos otros autores consideran esta relación entre ellos mejor indicador para determinar el grado de envejecimiento del papel. 12
Nomenclatura
A: Vida inicial (años)
B: Constante que depende de la energía de activación de una reacción química específica que depende de la temperatura (adimensional)
2-FAL: 2-Furfural
GP: Grado de polimerización.
IEC: Comité Electrotécnico Internacional.
IEEE: Instituto de Ingenieros Eléctricos y Electrónicos.
ppb: Partes por billón.
T: Temperatura en grado Kelvin.
CF: Niveles de compuestos furánicos
Referencias
NORMA IEEE C57.91-1995, “IEEE Guide for loading mineral oil-immersed transformers,” IEEE, USA, 1996.
NORMA INTERNATIONAL IEC 60354, “IEC Loading guide for oil-immersed power transformers,” IEC publication 354, Second Edition 1991-09, pp. 1-11, Geneva, Switzerland1991.
ORMA IEC 60450, “Measurement of the Average Viscometric Degree of Polymerization of New and Aged Cellulosic Electrically Insulating Materials,” Second Edition 2004-04. Edition 2.1 2007-7. 60450 ©IEC: 2004+A1:2007. Geneva, Switzerland, 2007.
SOARES S., RICARDO N, HEATLY F., RODRIGES E., “Low temperature thermal degradation of cellulosic insulating paper in air and transformer oil,” Polymer International,. 50( 3), pp. 303-308, Jan. 2001.
MCNUTT W, “Insulation Thermal Life Considerations for Transformer Loading Guides,” IEEE Transactions on Power Delivery, 7 (1), pp. 392-401, Jan. 1992.
FOLLETO TÉCNICO CIGRÉ BROCHURE 323, “Ageing of cellulose in mineral-oil insulated transformers,” SC D1Task Force D1.01.10., p. NB: 88, Romania, 2007.
DE PABLO A. “Furfural and ageing: How are they related,” presented at the IEE Colloquium on Insulating Liquids (Ref. No. 1999/119), Leatherhead, UK, 24-27 May 1999, pp. 5/1-5/4.
J.M. Wetzer, G.J. Cliteur, W.R. Rutgers, and H.F.A. Verhaart, “Diagnostic- and Condition Assessment-Techniques for Condition Based Maintenance,” presented at the Conference on Electrical Insulation and Dielectric Phenomena, 2000. 15-18, Victoria, BC, Canadá, 2000, pp. 47-51.
FLORES W., MOMBELLO E., RATTÁ G., JARDINI J. A., “Vida de transformadores de potencia sumergidos en aceite: Situación actual. Parte II. Correlación entre resultados de ensayos físico-químicos,” IEEE LATIN AMERICA TRANSACTIONS,. 5(8), pp. 591-598, Dic. 2007.
LIN CHAOHUI, ZHANG BIDE, YUAN YUCHUN, “The Aging Diagnosis of Solid Insulation for Oil-Immersed Power Transformers and Its Remaining Life Prediction,” presented at the IEEE. Power and Energy Engineering Conference (APPEEC), 2010 Asia-Pacific, Chengdu, China, 28-31 March 2010, pp. 1-3.
HILL, LE T., DARVENIZA M., SAHA T, “A Study of Degradation of Cellulosic Insulation Materials in a Power Transformer. Part 3. Degradation Products of Cellulose Insulation paper,” Polymer Degradation and Stability, 51(2), pp. 211-218, Feb. 1996.
CHEIM LUIZ, PLATTS DONALD, Thomas Prevost, and Shuzhen Xu, “Furan Analysis for Liquid Power Transformers,” IEEE Electrical Insulation Magazine, 28(2), pp. 8-21, March-Apr. 2012.
HEYWOOD, EMSLEY A. M.et al., “Degradation of Cellulosic Insulation in Power Transformer. Part 2: Formation of Furan Products in Insulating Oil,” IEE Proceedings - Science, Measurement and Technology, 147( 3), pp. 110-114, May 2000.
WORKING GROUP 09 OF STUDY COMMITTEE 12. (WG 12.09), “Life time evaluation of transformers,” Electra, 150, pp. 39-51, Oct. 1993.
VIJAYA, KUMARI S., VISWANATH G.R., DHEEPALAKSHMI DWARAKANATH K, TRIPATHY A. K., “Remaining life assessment of power transformers,” Water and Energy International, 65 (3), pp. 30-33, Central power research institute. Bangalore, India, Cigré 2008.
UNSWORTH AND MITCHELL, F, “Degradation of electrical insulating paper monitored with high performance liquid chromatography,” IEEE Transactions on Electric Insulation,. 25, pp. 737-746, 1990.
ALTMAN G, PFEIFFER R. “Fire protection aspects of transformers in electrical plants”. Siemens Power Eng., 6 (3), 1984.
PAHLAVANPOUR B, EKULD DR, MARTINS M.A., “Insulating paper aging and furfural formation,” presented at the Electrical Insulation Conference and Electrical Manufacturing & Coil Winding Technology. Proceeding, Indianapolis, Indiana, USA, October 2003, pp. 283-288.
JOHN R. SANS et al., “Large-scale survey of furanic compounds in operating transformers and implications for estimating service life,” presented at the IEEE International Symposium on Electrical Insulation, Arlington, VA USA, 1998,. 2, pp. 706-709.
Notas de autor
*Autor para la correspondencia. Correo electrónico: gcsanchez@ucf.edu.cu
Declaración de intereses