Articulos Originales
Knowledge and use of medicinal plants in Yuracares communities. TIPNIS, Cochabamba, Bolivia
Conocimiento y utilización de plantas medicinales en comunidades yuracares. TIPNIS, Cochabamba, Bolivia
Knowledge and use of medicinal plants in Yuracares communities. TIPNIS, Cochabamba, Bolivia
Gaceta Médica Boliviana, vol. 43, no. 1, 2020
Universidad Mayor de San Simón

Received: 09 March 2020
Accepted: 09 May 2020
Abstract:
Objectives: The aim of this study was to analyse the socio-cultural characteristics, use and knowledge of medicinal plants in the indigenous Yuracares communities of San Benito, San Juan and San Andita.
Methods: A descriptive study was carried out, but from a qualitative and quantitative approach. The universe was the indigenous Yuracaré inhabitants over 18 years of age, belonging to one of the three communities: San Benito, San Juan and San Andita. The sampling was intentional, directed or non-probabilistic, as they are small populations, obtaining a sample of 95 participants.
Results:the average age is 29 years with a standard deviation of 11.9 years, 55% are women and 45% are men, 73% have a marital status of stable union or cohabitation. In terms of education or schooling, we find an average of 4 years of study and when grouped by levels we see that more than 50% have a basic education. Ninety-five percent of the population is aware of the existence of medicinal plants in their community, mainly used for gastroenterological conditions.
Conclusions:gastrointestinal complaints are the main reason why these communities resort to the use of medicinal plants. The species Mansoa Alliacea and Petiveria Alliacea are the most commonly used plants in the Yuracaré indigenous communities. Keywords: medicinal plants, indigenous Yuracaré people.
Keywords: gastrointestinal complaints are the main reason why these communities resort to the use of medicinal plants, The species Mansoa Alliacea and Petiveria Alliacea are the most commonly used plants in the Yuracaré indigenous communities, : medicinal plants, indigenous Yuracaré people, medicinal plants, indigenous yuracares.
Resumen:
Objetivos: el objetivo del presente estudio fue analizar las características socioculturales, el uso y conocimiento de plantas medicinales en las comunidades indígenas yuracares de San Benito, San Juan y San Andita.
Métodos: se realizó un estudio de tipo descriptivo, pero desde un enfoque cualicuantitativo. El universo fueron los habitantes indígenas yuracares mayores de 18 años, pertenecientes a una de las tres comunidades San Benito, San Juan y San Andita. El muestreo fue de tipo intencional, dirigida o no probabilístico, por tratarse de poblaciones pequeñas, obteniéndose una muestra de 95 participantes.
Resultados:la edad promedio es de 29 años con una desviación estándar de 11,9 años, 55% son las mujeres y 45% los varones, 73% tiene un estado civil de unión estable o concubinato. En cuanto a grado de instrucción o escolaridad encontramos un promedio de 4 años de estudio y cuando se agrupa por niveles vemos que más del 50% tiene una formación básica. El 95% de la población conoce de la existencia de plantas medicinales en su comunidad, utilizadas principalmente en afecciones gastroenterológicas.
Conclusiones: las afecciones gastrointestinales son la principal causa por la que estas comunidades acuden al uso de plantas medicinales. Las especies Mansoa Alliacea y Petiveria Alliacea son las plantas más utilizada en las comunidades indígenas yuracares.
Palabras clave: plantas medicinales, indígenas yuracares.
Traditional medicine, according to the WHO, is all knowledge, skills and practices based on the theories, beliefs and experiences of different cultures, whether explainable or not, used to maintain health and prevent, diagnose, improve or treat physical and mental illnesses 1.
The use of plants for medicinal purposes is as old as the history of man himself, who, out of necessity, perfected their use, and each culture has acquired knowledge that has been passed down from generation to generation 2.
Medicinal plants were from the very beginning those that provided the basic structures for numerous medicines of academic or conventional medicine 3.
The medicinal effect of plants results from their active constituents or secondary metabolites such as alkaloids, flavonoids, mucilages, bitters, glycosides, essential oils and terpenoids 4.
Today, according to WHO estimates, up to 80% of the world?s population relies on traditional herbal remedies 1. The interest in traditional medicine and herbal medicine has been the subject of several studies, but there is a trend towards a decrease in the use of herbal medicines by health professionals; their treatments are based solely on synthetic drugs, even in the treatment of health problems diagnosed as minor illnesses 5. In the case of rural populations, access to pharmacological medicines is restricted for many reasons, such as travel to a pharmacy, high costs, cultural aspects, and difficult access to health centres, with herbal medicine being the main therapeutic resource available 6.
Bolivia?s high cultural and biological diversity is expressed in a wide range of traditional medicine practices, but the main one is through the use of plants. Article 35 of the Political Constitution of the Plurinational State of Bolivia recognises the traditional medicine of indigenous peoples as an integral part of the Bolivian national health system 7.
The objective of this study was to analyse the socio-cultural characteristics, use and knowledge of medicinal plants in the Yuracares indigenous communities of San Benito, San Juan and San Andita.
The Yuracares indigenous communities of San Benito, San Juan San and Andita are located within the Indigenous Territory of the Isiboro Secure National Park (TIPNIS), an area between the departments of Cochabamba and Beni. The Yuracares communities are settled on the banks of the Isiboro River 90 km from the town of Villa Tunari, which is 160 km from Cochabamba.
Material and methods
A descriptive study was carried out, but from a qualitative-quantitative approach.
The universe was the indigenous Yuracares inhabitants over 18 years of age, belonging to one of the three communities of San Benito, San Juan and San Andita. The sampling was intentional, directed or non-probabilistic, as they are small populations, obtaining a sample of 95 participants.
The field study consisted of two phases: first, a structured household interview was conducted with 36 male and female inhabitants of San Benito on the first day; then the community of San Andita was visited, obtaining 27 participants; and finally, 32 participants were obtained in the community of San Juan. The structured interview used consisted of two parts, the first comprised 7 questions on the general data and characteristics of the inhabitants, and the second part contained 9 questions on the characteristics of knowledge and use of medicinal plants. This first part allowed for the identification of key informants, 12 of whom were willing and accepted to participate in the focus group. This focus group was held in San Benito, during which time the participants explained their knowledge and recounted their experiences in the use of the 8 most commonly used medicinal plants.
Then with the guidance of Don Gumercindo Lopez from San Benito, they proceeded to the identification and collection of the specimens or their different parts of the main plants. The main materials used were 95 copies of the structured interview, pens, a Sony 12 megapixel camera and a Sony MP3 recorder
Results
The average age is 29 years with a standard deviation of 11.9 years, 55% are women and 45% are men, 73% have a marital status of stable union or cohabitation.
In terms of education or schooling, we find an average of 4 years of study and when grouped by levels we see that more than 50% have a basic education, only 2% have an education in some technical branch, and there is an important population that has no education at all ( Figure 1).

The main occupation of the inhabitants of the Yuracares indigenous communities is agriculture (40%), followed by housework and fishing for men, and housework is the second most important occupation for women.
Of the 95% of the population knows or knows of the existence of medicinal plants in their community, but only 77% of them have had recourse to medicinal plants at some time for therapeutic purposes for themselves or their closest relatives. Of all of them, 22% of those interviewed say that they practice traditional herbal medicine using existing plants in their communities, but this practice is carried out in the family or in the community ( Figure 2).

The relationship between the use of medicinal plants and years of study shows us that there is an inverse relationship, the higher the level of education of the population, the lower the use of medicinal plants ( Figure 3), in this figure the numbers in the horizontal direction from 1 to 12 are the years of study and the numbers in the vertical direction are the number of people who did or did not use medicinal plant

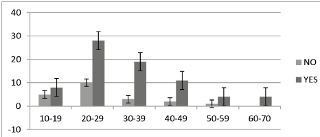
Between 20 and 40 years is the population that most uses medicinal plants, but this may be influenced by the demographic characteristics of these communities, as they are settlements with a population pyramid with a wide base and a fairly narrow top, predominantly young population ( Figure 4).

Main conditions for the use of medicinal plants
The main conditions in which medicinal plants are most frequently used are conditions that were categorised as gastroenterological (diarrhoeal diseases, abdominal colic, intestinal parasitosis, gastritis, among others). Respiratory conditions were colds, coughs, pneumonia, lung pain, and others, and the most frequently mentioned dermatological conditions were spundia, wounds, post-sores, and others ( Figure 5).

Results of the unstructured focus group interview on the use and knowledge of medicinal plants
1.1. Mansoa alliacea

Mansoa alliacea or mëmëlë in Yuracaré, is a plant of approximately 1 meter high, it can be easily found in these communities either in the bush, on their roads (puu) or near the houses. All parts of this plant release a garlic aroma (allium sativum), hence it is also known as ?ajo de monte?? or ?ajo bejuco?. In some countries such as Ecuador and Peru it is known as ?ajo sacha??, the main components are sterols, with inhibitory activity on neoplastic cells in rats, anti-inflammatory, antifungal and antibacterial activities. Their chemical composition may vary according to soil type, age of the plant, season or geographical location 8.
Those who provided the information agree that it is one of the most used natural remedies in these communities and one of its most frequent indications is colic, abdominal discomfort or pain and anaemia, the peel or bark of the plant is scraped and soaked together with the leaves in warm water, then the patient has to take a bath once a day with this preparation until he recovers (according to don Feliciano Cayuba).
Another form of application is to prepare a mate from the husk of the plant and then drink half a glass for stomach pain (binta sopto), according to doña Carmela Fabian. The antibacterial activity of Mansoa alliacea against Gram-positive bacteria is mainly due to allyl trisulphite, diallyl disulphite, tetrasulphite and methyl sulfinyl 9
1.2.Petiveria alliacea

Petiveria alliacea, eleñu or aputuqui in Yuracare, is a plant of maximum 1 metre in height, its leaves are small and sparse, the stem is thin, straight and not very branched, it is found in peri-domestic areas, and some people plant it in their backyards.
According to Gumercindo Lopez and Estelio Noza, it is a good remedy for ?desombro?, ?malviento?, ?mocheó?, ushuri (fever), binta dala (headache), anaemia, espundia, sobbo (parasite), binta sopto (stomach ache), swelling or in cases of curse.
To relieve body pain, according to Estelio Noza, the fresh root is scraped, soaked in 1 litre of warm water for 1 hour, then half a glass is drunk twice a day. For fever and discomfort, boil the leaves or the whole plant for 15 minutes, then bathe the affected person, especially children, as often as required. In case of stomach ache, discomfort and cough, scrape the fresh root in warm water and drink half a glass until you recover, ?it is quite bitter, but at the same time good medicine?, says Doña Olga Botega, from San Juan.
To cure ?espundia? or leishmaniasis, the leaves of the plant must be dried, turned into powder and applied to the site of the lesion. According to doña Carmela Fabián, it is also useful for cases of witchcraft or ?curses?, the whole plant is boiled, then the preparation is placed under the bed of the sick person, for a steam bath, and the whole body is rubbed with the same preparation. It is also useful for intestinal parasitosis, in this case the root of Petiveria alliacea is used crushed and soaked, then 2 spoonfuls of this preparation are given to drink before meals for three days.
Petiveria alliacea has a varied chemical composition, hence its many traditional uses, which have been validated by modern pharmacological research, particularly for psycho-affective disorders 10. In an experimental study on rats, Petiveria alliacea had a toxic effect by reducing antioxidant capacity and increasing methaemoglobin levels 11.
The sulphuric substances in the root of Petiveria alliacea have a toxic effect on the body, reducing antioxidant capacity and increasing methaemoglobin levels. The plant?s sulphuric substances have in vitro antimicrobial properties against P. aeruginosa, S. aureus and C. Albicans 12.
1.3.Uncaria guianensises
Uncaria guianensises, bayachi or bayabachi in yuracare, is a climbing tree, it has thorns in the shape of claws or cat?s claw, its leaves are elliptical, its color can range from red to cherry or white depending on the species. It is available everywhere, not only in these communities but throughout the tropical region.
According to Estelio Noza, it is used for abdominal pain or colic, diarrhoea, gallbladder problems, kidney ailments, body aches, wounds, spells and espundia.
According to Esperanza Noza, to cure diarrhoea it is necessary to prepare a mate from the fresh peel, you can boil the peel for half an hour or simply soak it in boiled water until it turns purple to black. The dose for adults is 1 glass and for children half a glass every 6 to 8 hours until the preparation is finished or until healed. For abdominal colic, cleansing of the body or kidney ailments, a mate is prepared from the dried branches or shells until the water turns reddish, then it can be taken 2 or 3 times a day, or even a litre can be prepared and drunk little by little until it is finished, according to Ediversa Rivero from San Andita, or a cup of the water that the plant has in its stem can be taken directly, according to Margarita Noza.
To heal wounds, according to Estelio Noza, a piece of the plant?s peel should be crushed and applied as a poultice on the wound. Now for leishmaniasis or spundia, the leaves of the plant are dried and then crushed and applied directly to the site of the lesion.
1.4. Piper peltatum

Piper peltatum, isunayle ati in yuracare, is a 1 metre high plant, peri-domestic, characteristically with large laminated leaves, with several thin stems, each with 2 to 3 flat leaves.
It is used for bruises (contusion), postema (swelling or abscess), ushuri (fever), inflamed wounds, stomach ache, ear-shock (fright) and for joint pains.
According to Pascual Cartagena, the fresh leaves are used to cure postema (swelling or abscess) for which about 10 leaves should be crushed and mixed with tobacco and then applied as a poultice on the area of injury, some leave the poultice on until the next day. According to don Gumercindo Lopez, the sooner it is applied, the faster the post-sore will disappear. The same man indicates its usefulness in cases of fever and headache, in which case several leaves of the plant must be crushed, then soaked in water and the child is bathed with this preparation. The root of the isunayle is also useful according to don Humberto Nuñes, for tummy ache (abdominal pain), a mate is prepared from the crushed root and once soaked in water a glass is taken twice a day until recovery.
To treat mocheo (frightened or scared in yuracare) a bath is prepared; branches and leaves are boiled for 15 minutes and once it has cooled, a bath is taken three times a day.
The extract (4-nerolidylcatechol) from the leaves of Piper peltatum and Piper umbellatum has been studied to have inhibitory effects on the toxic activities of Bothrops myotoxin 13. However, the study participants did not mention the use of this plant for viper bites.
1.5. Laportea aestuans

Laportea aestuans, wishe in yuracare, is a plant up to 2 metres tall, its leaves have many small thorns, which when in contact with the skin produce itching and urticaria type reaction, hence the name ?pica pica?. They are used for mocheo (fright) and lung disease (productive cough), especially in children, in this case it is prepared as a mate in warm water only from its leaves and drink a glass every day until healed.
According to Margarita Noza, this plant is easy to obtain and its use is mainly in children, in case of fright or some ?evil?, with a branch or just the leaves is gently tapped on the soles of the feet. In Brazilian folk medicine, laportea aestuans is used for the prevention of osteoporosis, due to its high content of free calcium 14.
A chromatographic analysis of laportea aestuans extract concluded the presence of an essential oil with antioxidant and antimicrobial activities in vitro, but also with a toxic effect on brine shrimp 15.
1.6. Ficus insípido

Ficus insipido, puchcha in yuracare, is a fairly large tree 35 metres or more, it is found in the bush, its stems have well-developed aileron-like branches and abundant milky sap under the bark.
It is used for parasitosis, leishmaniasis (leishmaniasis), diarrhoea, stomach ache (abdominal pain), dental pain and anaemia.
For intestinal parasites, take 3-12 drops of the bark resin prepared with lukewarm water on an empty stomach, children should take only four drops. It is forbidden for pregnant women and small children in whom it can cause a lot of diarrhoea and complications, according to Freddy Cartagena.
For leishmaniasis, the wound is cleaned with soap and water, then the resin is applied to the site of the lesion, the resin is obtained by scraping the inner side of the bark with a spoon. In a study, Concha Benavente F, identified that Ficus insipidus latex has an anticoagulant effect in vitro, which is dose-dependent on the extrinsic pathway of blood coagulation. 16This would explain why Freddy Cartagena recommends against its use in pregnant women.
Another study showed that Ficus insipida has an in vitro anthelmintic effect against monogenans in the gills of Colossoma macropomum (tambaqui) 17.
1.7. Aspidosperma rigidum rusby

Aspidosperma rigidum rusby, chayapana in yuracare, is a medicinal plant found in the peri-domestic forests of these communities, it grows up to a height of approximately 25 metres, according to don Gumercindo Lopez, its trunk is grooved, its inner bark is yellowish white with a little white latex.
It is used for respiratory infections, diarrhoea and tummy ache (abdominal pain), they mention that it can sterilise women, but they did not use it for that purpose.
According to Estelio Noza, chajapana is a dangerous plant and should be handled with care, soak the peel or scrape the inner side of the bark and boil it in water for an hour, then take a spoonful 2 or 3 times a day, both for lung ailments (productive cough) and for tummy ache (abdominal pain). It is forbidden for children and pregnant women. Ruiz Mesía, W, et al, in their book on the search for antiparasitic active principles, identified and isolated alkaloids from Aspidosperma rigidum and A. schultesii, with certain antiparasitic activity against Trypanosoma cruzi and Leishmania infantum 18.
1.8. Jacaratia adigitata

Jacaratia digitata, uruna in yuracare, is a tall tree of more or less 12 metres, its trunk is thorny, straight, almost without branches, whitish leaves and flowers only at the upper end, the thorns are conical, very hard and pointed, inside the trunk it has a kind of sponge or latex of white colour, sticky and very juicy, its fruit is oval of about 15 cm, orange colour, very similar to a small papaya.
Don Gumercindo Lopez, mentions that, once a piece of the bark is removed, worms proliferate inside the trunk and then the uruna tree dries up completely, and also indicates that some people eat these insects.
According to Doña María Parada de San Benito, for anaemia, tummy ache (abdominal pain) and intestinal parasites, it is prepared by boiling the root in 1 litre of water until it turns black, then drink half a glass every mo rning for 1 month.

Discussion
The three Yuracaré communities of San Benito, San Juan and San Andita belong to the TIPNIS region. Due to the existence of family ties within the three communities, the statistical analysis takes them into account as a single community. The socio-demographic characteristics of these communities indicate that they are predominantly made up of young people, with a population pyramid with a wide base and a very narrow top.
The level of schooling is mainly basic, and an important group reports no education at all, because as we said, they are new settlements (approximately 20 years old) that migrated from other Yuracaré communities.
The Pearson correlation between age and years of schooling is 0.59, which tells us that there is a negative relationship, i.e. the older the age, the fewer years of study.
One of the main occupations of these communities is agriculture, with cassava, rice and bananas among the main crops, but due to the geographical characteristics of the place, the distance and access to markets, this agriculture is only for self-consumption or community consumption. Hunting and fishing are also widely practised for the supply of food of animal origin, mainly fishing, which is almost a daily practice. Fishing is also one of the main sources of income for Yuracaré families, especially in the second half of the year.
In the characteristics of the use of medicinal plants, we found that nearly 100% of the population knows or knows about the existence of plants with medicinal properties, of which a good percentage use them personally or in their families for therapeutic purposes. In these communities there are no people classified as traditional doctors, with the exception of Doña María Parada from San Benito, who is recognised and sought after by inhabitants of other communities.
These communities have a young population between 20 and 40 years of age, however, they are aware of the existence of plants with healing properties.
Also one of the characteristics of this community is that they maintain the cultural tradition of oral knowledge transmission from generation to generation about the use of medicinal plants, parents and grandparents were the most mentioned as a source of learning.
In this study several pathologies or ethnopathologies were mentioned in which medicinal plants are used, which were grouped according to the system or organ mentioned by the affection, gastrointestinal diseases are the main cause or reason why medicinal plants are used in these indigenous communities, this is related to the epidemiological profile, precarious basic services, the cultural custom of walking barefoot, overflowing of the river with floods during the rainy season, contamination of the Isiboro river by settlements of colonist populations, among others.
In relation to the qualitative results, we see that each plant has its own indications, its form of preparation and even its doses, which indicates that it is not used just for the sake of using it, but on the basis of knowledge and experience acquired from their ancestors.
Several of the plants studied are used in other communities in other countries, with small variations in preparation, doses and indications, but this is the result of different contexts and realities, and therefore of different experiences.
It is also worth mentioning that there are currently many studies on the active principles of some plants, with surprising results in terms of health benefits, such as the anti-tumour effect of a component of Petiveria alliacea studied in Colombia.
Therefore, the validation of the biological activity of plants will lay the scientific foundations of traditional knowledge and will also lead to the development of new medicines derived from natural products that can be used in the therapy of different conditions or as adjuvants to conventional therapy.
Conclusions
The Yuracaré indigenous communities are new settlements, predominantly inhabited by young people. Although these communities are small, with precarious basic services and limited access, they enjoy a wealth of medicinal plants, an environment with clean air and plenty of food of natural origin.
In general, these populations are mainly engaged in agriculture for self-consumption or community consumption, and secondarily in fishing, but the latter is the main source of income for their economy.
The predominant level of schooling is basic education, and a good percentage of those surveyed do not have any academic degree, but they know about the use of medicinal plants, knowledge passed down from generation to generation.
Gastrointestinal ailments are the main reason why these communities resort to the use of medicinal plants. The species Mansoa Alliacea and Petiveria Alliacea are the most commonly used plants in these indigenous communities of the Yuracaré culture.
References
1. World Health Organization. ?Estrategia de la OMS sobre medicina tradicional 2014-2023.? World Health Organization. Hong Kong, China (2013).
2. Fonnegra, Fonnegra Gómez. Plantas medicinales aprobadas en Colombia. Universidad de Antioquia, 2007.
3. Carballo, Marta Ana, C. M. Cortada, and A. B. Gadano. ?Riesgos y beneficios en el consumo de plantas medicinales.? Theoria 14.2 (2005): 95-108.
4. Oloyede, Ganiyat K. ?Toxicity, antimicrobial and antioxidant activities of methyl salicylate dominated essential oils of Laportea aestuans (Gaud).? Arabian Journal of Chemistry 9 (2016): S840-S845.
5. Martínez Ávila Y, Gómez López LL. Impacto social de una estrategia de intervención sobre prescripción racional de medicina verde en Céspedes durante 2011. Rev Cuba Plantas Med. 2013;18(4):609?18.
6. Gallegos-Zurita, Maritza. ?Las plantas medicinales: principal alternativa para el cuidado de la salud, en la población rural de Babahoyo, Ecuador.? Anales de la Facultad de Medicina. Vol. 77. No. 4. UNMSM. Facultad de Medicina, 2016.
7. Constitución Política del Estado Plurinacional Boliviano. Artículo 35, Capítulo Segundo. Principios, valores y fines del Estado. 7 de febrero de 2009.
8. Govas Llamocca, Jenny E., et al. ?Esteroles presentes en el extracto apolar de las raíces de ajo sacha Mansoa alliacea.? Revista de la Sociedad Química del Perú 84.4 (2018): 513-521.
9. Olivera Condori M. y cols. propiedades fisicoquímicas y bioactivas in vitro del aceite esencial de Mansoa alliacea (LAM.) A. Gentry, EL CEPROSIMAD. 2013; 2(1): 96-102.
10. Mallone Lopes S. et al. Etnobotánica, fitoquímica y efectos neurofarmacológicos de Petiveria alliacea L. (Phytolaccaceae): una revisión. Journal of Ethnopharmacology Volume 169, 1 July 2015, Pages 124-129
11. Montenegro de AndradeT. posibles efectos conductuales y prooxidantes del extracto de Petiveria alliacea L. en ratas adulta. Revista de Etnofarmacología Volumen 143, Número 2, 28 de septiembre de 2012, páginas 604-610
12. Santander S.P. Influencia del tratamiento de Petiveria alliacea en la expresión diferencial de genes en células tumorales. Universidad. Medicina. Bogotá (Colombia): 284-296, julio-septiembre, 2009.
13. Núñez, Vitelbina, et al. ?Inhibitory effects of Piper umbellatum and Piper peltatum extracts towards myotoxic phospholipases A2 from Bothrops snake venoms: isolation of 4-nerolidylcatechol as active principle.? Phytochemistry 66.9 (2005): 1017-1025.
14. De Oliveira, Gisele Lopes, Laise de Holanda Cavalcanti Andrade, and Antonio Fernando Morais de Oliveira. ?Xanthosoma sagittifolium and Laportea aestuans: species used to prevent osteoporosis in Brazilian traditional medicine.? Pharmaceutical biology 50.7 (2012): 930-932.
15. Oloyede, Ganiyat K. ?Toxicity, antimicrobial and antioxidant activities of methyl salicylate dominated essential oils of Laportea aestuans (Gaud).? Arabian Journal of Chemistry 9 (2016): S840-S845.
16. Concha-Benavente, Fernando. ?Efecto in vitro del látex de Ficus insipida sobre la cascada de la coagulación sanguínea.? Revista Medica Herediana 21.3 (2010): 146-152.
17. Gonzales, Anai Paola Prissila Flores, Gracienhe Gomes Santos, and Marcos Tavares-Dias. ?Anthelminthic potential of the Ficus insipida latex on monogeneans of Colossoma macropomum (Serrasalmidae), a medicinal plant from the Amazon.? Acta parasitologica 64.4 (2019): 927-931.
18. Ruiz Mesía, W, et al. BÚSQUEDA DE PRINCIPIOS ACTIVOS ANTIPARASITARIOS EN PLANTAS DE USO TRADICIONAL DE LA AMAZONIA PERUANA. ESPECIAL ENFASIS EN ALCALOIDES INDOLICOS. Ciencia Amazónica (Iquitos),2012. 2(2), 116-123.
Author notes
E-mail: traumandres2018@gmail.com
Conflict of interest declaration
Alternative link
http://www.scielo.org.bo/scielo.php?script=sci_arttext&pid=S1012-29662020000100008&lng=es&nrm=iso (html)