SHORT COMMUNICATIONS
Received: 06 October 2017
Accepted: 05 July 2018
DOI: https://doi.org/10.5433/1679-0359.2018v39n5p2273
Abstract: In the search for more efficient techniques for the propagation of peach cuttings, this study aimed to evaluate the rooting of hardwood cuttings of peach rootstock genotypes under different indolebutyric acid (IBA) concentrations. In the winter of 2016, the basal end of cuttings of genotypes 1701-1, 1701-2, 102-1, 102-2, 202-1 and 'Okinawa' were dipped into solutions with five concentrations of IBA (0, 1000, 2000, 3000 and 4000 mg L-1) for 5 seconds. The cuttings were then placed in sand in plastic trays and kept in a mist chamber. The experiment was arranged in a 6x5 factorial, completely randomized design, with 5 replications, and each plot consisted of eight cuttings. After 59 days, the variables related to rooting and root quality were evaluated. Genotypes 102-1 and 202-1 showed high adventitious rooting potential in hardwood cuttings, with 76.8 and 66.5% of rooting, respectively. The concentration of 2000 mg.L-1 of IBA acid can be recommended for the treatment of hardwood cuttings of the tested rootstocks for propagation in the winter.
Key words: Prunus persica, Roots, Vegetative propagation.
Resumo: Buscando técnicas mais eficientes na propagação de mudas de pessegueiro, desenvolveu-se este trabalho com o objetivo de avaliar o enraizamento de estacas lenhosas de genótipos de porta-enxerto de pessegueiro submetidos a diferentes concentrações de ácido indolbutírico (AIB). No inverno de 2016, as estacas dos genótipos 1701-1, 1701-2, 102-1, 102-2, 202-1 e do porta-enxerto 'Okinawa' foram tratadas por imersão da base por cinco segundos em cinco doses de AIB (0, 1.000, 2.000, 3.000 e 4.000 mg L-1). A estaquia foi realizada em caixas plásticas contendo areia, em câmara de nebulização. O delineamento experimental foi o inteiramente casualizado, com 5 repetições em arranjo fatorial 6x5, sendo cada parcela composta por oito estacas. Transcorridos 59 após implantação do experimento, foram avaliadas variáveis relativas ao enraizamento e à qualidade das raízes. Os genótipos 102-1 e 202-1 apresentam alto potencial de enraizamento adventício em estacas lenhosas, com enraizamento de 76,8 e 66,5%, respectivamente. O ácido indolbutírico, na concentração de 2.000 mg.L-1, pode ser recomendado para o tratamento de estacas lenhosas dos porta-enxertos testados, para estaquia no inverno.
Palavras-chave: Prunus pérsica, Raízes, Propagação vegetativa.
In Brazil, peach cultivars are propagated by grafting on seedling rootstocks, from seeds obtained as by-products of fruit-processing industry. The use of this type of plant material results in rootstocks without ensuring genetic identity, which causes problems such as plant non-uniformity in orchards and different reactions of plants to soil pathogens and abiotic stresses (FACHINELLO et al., 2005; PICOLOTTO et al., 2010; TIMM et al., 2015). In the southeastern region of Brazil, the cultivar Okinawa predominates, which is resistant to nematodes of the genus Meloidogyne and propagated by seeds.
Several studies have confirmed the importance of rootstock selection due to its influence on plant vigor, fruit quality and orchard yield (GULLO et al., 2014; MARRA et al., 2013). The use of genetically improved rootstocks demands changes in the propagation system. Vegetative propagation maintains a genetic identity of selected rootstocks, while seed propagation generates segregation and consequently non-uniformity. Research to improve the system of obtaining peach rootstocks have been carried out (BRUCKNER; DEJONG, 2014; FORCADA et al., 2012), as well as using vegetative propagation by cutting as an alternative (CARDOSO et al., 2011; MAYER et al., 2014).
The production of fruit trees by cuttings is a widely used method and has some advantages in relation to grafting such as ease of execution, low cost, rapid clone production and descendants with the same characteristics of the mother plant (HARTMANN et al., 2011). However, cutting propagation of peach trees in Brazil is limited by the lack of efficient and safe rooting techniques for our cultivars, therefore, justifying the need for further studies.
Cuttings are usually treated with auxin to improve the efficiency of the cutting propagation. The most used product is indolebutyric acid (IBA), which is applied by dipping the basal end of the cuttings (HARTMANN et al., 2011). The optimal concentration, however, is variable and dependent on the other external factors, as well as on the physiological status of the mother plant (AGUIAR et al., 2005; CARDOSO et al., 2011). Mayer et al. (2014) obtained higher root rooting and root lengths of softwood cuttings of cultivars 'Okinawa', 'Tsukuba-1', and 'Tsukuba-2' using 6000 mg L-1 IBA.
The objective of this work was to evaluate the rooting of hardwood cuttings of peach rootstock genotypes treated with different doses of indolebutyric acid (IBA).
The experiment was conducted in June 2016, in an intermittent mist chamber at the Teaching, Research and Extension Unit of the Federal University of Viçosa (20°45'26'' South Latitude and 42°52'08 '' West Longitude), elevation of 648 m.
Hardwood cuttings of six peach rootstock genotypes were collected during the winter from branches of mother plants from the collection of the Peach Tree Improvement Program, at the Experimental Orchard, UFV, Campus Viçosa.
After collection and identification, the branches were placed in plastic buckets with water depth of about 5 cm, and then they were taken to an intermittent mist chamber to avoid dehydration of the leaves during the preparation of the cuttings. Cuttings were 15 cm in length and 8 mm of average diameter, cut straight at the base and the apex cut just above an auxiliary bud. Then, two opposite lesions (± 3 cm) were cut at the base of the cutting to expose the vascular cambium.
The basal ends of cuttings were dipped into hydro-alcoholic solutions with five concentrations of IBA (98.7%, NEON) (0, 1000, 2000, 3000 and 4000 mg L-1) for 5 seconds. The cuttings were then placed in (36.5 x 26.5 x 9.5 cm) perforated plastic trays containing sand, at 4 to 5 cm depth. The boxes were kept under intermittent mist spraying programmed for every 5 minutes for 10 seconds, only operating in daytime. The nozzle tip (Mist Nozzle Dan Sprinkles, Israel) operated at flow rate of 35 L/hour. The greenhouse is covered with polyethylene film and sides with anti-aphid screen.
The experiment was arranged in a 6x5 factorial, completely randomized design, with five replications (6 rootstocks and 5 IBA doses), each plot consisting of eight cuttings. Five rootstock genotypes of the UFV Peach Breeding Program were tested: 1701-1, 1701-2, 102-1, 102-2 and 202-1, as well as the 'Okinawa' rootstock (Table 1).

After 59 days of the experiment installation, the following variables were evaluated: rooted cuttings (% of cuttings with at least one root); number of roots per cutting (only roots that originated directly from the cutting); length of roots per cutting (cm), leaf number, weight of fresh matter of root and shoot.
Data were examined by analysis of variance, and dose effects were tested and fitted to regression equations. The models were chosen based on the significance of the regression coefficients, using a 5% probability test, on the coefficient of determination (R2), and on the potential to explain the biological phenomenon. Pearson correlations between variables were also performed using the GENES statistical program (CRUZ, 2016).
The genotypes showed different potential for growing adventitious roots, with differences in all studied variables (Figure 1 and 2). The ability of a cutting to root depends on endogenous factors, also the environmental conditions provided to rooting (TIMM et al., 2015).


The percentage of rooted cuttings of the six genotypes fitted the quadratic model, as a function of the IBA concentration levels (Figure 1A). The maximum efficiency points ranged from 1829 mg L-1 ('Okinawa') to 2410 mg L-1 (1701-2) IBA. These results agree with reports in the literature (FACHINELLO et al., 2005), in which the optimal IBA dose for peach tree cuttings is between 2000 and 4000 mg.L-1. The rootstocks 102-1 and 202-1 had the highest rooting rates (76.8 and 66.5%, respectively). The lowest rooting rates were recorded for genotypes 1701-1 and 1701-2 (30.6 and 31.2%, respectively). Hartmann et al. (2011) consider economically acceptable rooting percentages starting from 50%. Cardoso et al. (2011) classified as successful rooting percentages between 58 and 68% for 'Okinawa' semi-hardwood cuttings carried out in April, Londrina-PR.
The mean root size also fitted the quadratic model, as a function of the IBA concentrations, for the six genotypes evaluated (Figure 1B) and was considered high (ranging from 3.55 to 18.3 roots per cutting). The highest values were observed for the genotypes 102-1 (18.3 roots) and 202-1 (14.3 roots), at the concentrations of 2140 and 2000 mg L-1 of IBA, respectively. These results are much higher than those found by Cardoso et al. (2011) and Mayer et al. (2014) in 'Okinawa' softwood cuttings, with results between 1.82 and 4.3 roots per cutting. According to Osterc et al. (2009), the number of roots depend on the physiological characteristic of the cutting, since the more juvenile, the greater the possibilities of increasing the number of roots. However, in the present work, hardwood cuttings performed well for this characteristic. The number of roots is an important variable to be evaluated in the propagation by cutting because it is related to cutting survival after being removed from the rooting environment (MAYER et al., 2014).
The rootstocks 102-1 and 202-1 showed, on average, rooting percentage and number of roots per cutting 62.1% and 127.8% higher than 'Okinawa', which is the most used by the producers in the Southeast region of Brazil. These results show the adventitious rooting potential of the genotypes selected by the UFV Peach Breeding Program.
The number of leaves per cutting showed a quadratic behavior, as a function of the IBA doses, for the rootstocks 102-1, 202-1 and Okinawa (Figure 1C), with maximum numbers of 12.5; 9.6 and 8.3 leaves per cutting at 1662, 1820 and 1471 mg L-1 of IBA, respectively. However, the genotypes 1701-1 and 102-2 had linear behavior, reducing the number of leaves with the increase in IBA doses, which shows that there is an adequate dose of the growth regulator for each cultivar.
The average length of the five large roots had a quadratic behavior as a function of the IBA doses for all genotypes tested (Figure 2A). The points of maximum efficiency ranged from 1788 mg L-1 (102-1) to 2620 mg L-1 (202-1) of IBA, with root lengths ranging from 4.62 cm (102-1) to 7.78 cm (202-1). Similar results were found by Mayer et al. (2014) and Cardoso et al. (2011) on softwood cuttings, after 60 and 108 days of IBA treatment, respectively. According to Hartmann et al. (2011), the differences between genotypes are possibly due to endogenous reserves in the cuttings, which is a phenomenon directly or indirectly controlled by genes. However, as it was observed by Tsipouridis et al. (2006), the content of reserves (sugars, starch and sucrose) in rootstocks and scions of peach varies according to the season of the year. The amount of reserves also influences the length of adventitious roots (AHMED; MOKHTAR, 2011).
In the production of cuttings in a commercial scale, growth of roots in greater number and greater length is the predominant factor in orchard formation, as a well-formed root system favors nutrient and water absorption, thus providing a better development of the trees in the field (CARDOSO et al., 2011; CARVALHO JUNIOR et al., 2009; HARTMANN et al., 2011).
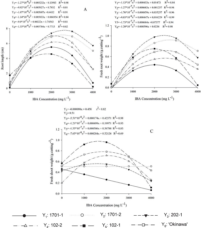
Fresh matter weight of roots per cutting (RFM) increased with the increase in IBA doses up to certain ranges; thereafter, the weight decreased with the larger IBA doses in all genotypes (Figure 2B). Maximum RFM ranged from 0.46 g (1701-1) to 1.08 g (202-1) per cutting, with optimal IBA doses ranging from 1976 mg L-1 (102-1) to 2689 mg L-1 (1701-2). Camolesi et al. (2007), in a study with semi-hardwood cuttings of 'Okinawa' peach, observed increase of volume and fresh mass of roots, due to the increase of IBA concentration. In the present study, we found RFM, on average, 191% higher than that reported by Aguiar et al. (2005) for semi-hardwood cuttings of 'Okinawa' peach 56 days after treating the cuttings with 2000 mg.L-1 of IBA. According to Dutra et al. (2002), the application of IBA to the cuttings affects both quantitatively and qualitatively the number of roots and the dry matter weight of the roots produced.
There were no significant differences for shoot fresh matter weight (SFW) among the IBA concentrations for genotype 1701-2 (Ŷ = 0.51 g). The SFW of rootstock 1701-1 decreased with the increasing doses of IBA. The other genotypes showed a quadratic behavior of this characteristic with the increase in the dose of the regulator (Figure 2C). The rootstock 102-1 presented the best result, with a maximum weight of 0.98 g per cutting, at an optimal estimated dose of 1632 mg L-1 of IBA. This result can be explained by the higher number of leaves produced by the genotype 102-1 (12.5 leaves per cutting) (Figure 1C).
The benefits of IBA to the vegetative propagation of peach rootstocks such as increased rooting rates, length of the root system, root number per cutting, and fresh root weight have been reported by several authors (AGUIAR et al., 2005; CARDOSO et al., 2011; MAYER et al., 2014). Similar results were found in the present study.
Positive correlations were found among the variables studied (Table 2). The correlations between the number and the mean length of roots and number of leaves stand out, which means, the larger the number and the mean length of the roots, the greater the number of leaves (Table 1). These variables are important for rooting studies, because one should look for a certain condition or treatment that leads to their balance, as they are indicative of vigor and quality of the cuttings. Similar results were reported by Timm et al. (2015) for rooting of softwood mini-cuttings of peach rootstocks.

The use of woody branches for production of cuttings in early-winter provides satisfactory results for the propagation of the rootstocks 102-1, 202-1 and 'Okinawa'
IBA at a concentration of 2000 mg.L-1 can be recommended for the treatment of hardwood cuttings of the rootstocks tested, for cutting propagation in the winter.
The genotypes 102-1 and 202-1 have high adventitious rooting potential in hardwood cuttings.
Acknowledgements
The authors want to thank CNPq, CAPES and FAPEMIG for the financial support to this study.
References
AGUIAR, R. S.; SANTOS, C. E.; ZIETEMANN, C.; ASSIS, A. M.; MORAIS, V. J.; ROBERTO, S. R. Enraizamento de estacas semilenhosas do pessegueiro Okinawa submetidas a diferentes dosagens de ácido indolbutírico. Acta Scientiarum. Agronomy, Maringá, v. 27, n. 3, p. 461-466, 2005.
AHMED, M. K. A. E.; MOKHTAR, M. S. Why some grapevine cultivars are hard to root? Australian Journal of Basic and Applied Sciences, Amman v. 5, n. 2, p. 110-116, 2011.
BRUCKNER, C. H.; DEJONG, T. M.. Proposed pre-selection method for identification of dwarfing peach rootstocks based on rapid shoot xylem vessel analysis. Scientia Horticulturae, Amsterdam v. 165, n. 1, p. 404-409, 2014.
CAMBRA, R. Adafuel, an almond x peach hybrid rootstock. HortScience, Alexandria v. 25, n. 5, p. 584-584, 1990.
CAMOLESI, M. R.; UNEMOTO, L. K.; SACHS, P. J. D.; ROBERTO, S. R.; SATO, A. J.; FARIA, A. P.; RODRIGUES, E. B.; SILVA, J. V. Enraizamento de estacas semilenhosas de pessegueiro Okinawa sob efeito de lesão e ácido indolbutírico. Ciência Rural, Santa Maria v. 37, n. 6, p. 1805-1808, 2007.
CARDOSO, C.; YAMAMOTO, L. Y.; PRETI, E. A.; ASSIS, A. M.; NEVES, C. S. V. J.; ROBERTO, S. R.. AIB e substratos no enraizamento de estacas de pessegueiro Okinawa coletadas no outono. Semina: Ciências Agrárias, Londrina, v. 32, n. 4, p. 1307-1314, 2011
CARVALHO JUNIOR, W. G. O.; MELO, M. T. P.; MARTINS, E. R. Comprimento da estaca no desenvolvimento de mudas de alecrim-pimenta. Ciência Rural, Santa Maria v. 39, n. 7, p. 2199-2202, 2009.
CRUZ, C. D. Genes Software - extended and integrated with the R, Matlab and Selegen. Acta Scientiarum. Agronomy, Maringá, v. 38, n. 4, p. 547-552, 2016.
DUTRA, L. F.; KERSTEN, E.; FACHINELLO, J. C. Época de coleta, ácido indolbutírico e triptofano no enraizamento de estacas de pessegueiro. Scientia Agrícola, Piracicaba v. 59, n. 2, p. 327-333, 2002.
FACHINELLO, J. C.; HOFFMANN, A.; NACHTIGAL, J. C. Propagação de plantas frutíferas. Brasília: EMBRAPA Informações Tecnológicas, 2005. 221 p.
FELIPE, A. J. Felinem, Garnem, and Monegro almond x peach hybrid rootstocks. HortScience, Alexandria v. 44, n. 1, p. 196-197, 2009.
FORCADA, C. F.; GOGORCENA, Y.; MORENO, M. A.. Agronomical and fruit quality traits of two peach cultivars on peach-almond hybrid rootstocks growing on Mediterranean conditions. Scientia Horticulturae, Amsterdam v. 140, n. 1, p. 157-163, 2012.
GULLO, G.; MOTISI, A.; ZAPPIA, R.; DATTOLA, A.; DIAMANTI, J.; MEZZETTI, B. Rootstock and fruit canopy position affect peach [Prunus persica (L.) Batsch] (cv. Rich May) plant productivity and fruit sensorial and nutritional quality. Food Chemistry, Oxford v. 153, n. 1, p. 234-242, 2014.
HARTMANN, H. T.; KESTER, D. E.; DAVIES JUNIOR, F. T.; GENEVE, R. L. Plant propagation: principles and practices. 8th ed. Boston: Prentice Hall, 2011. 928 p.
MARRA, F. P.; BIANCO, R.; MANTIA, N.; CARUSO, T. Growth, yield and fruit quality of Tropic Snow peach on size-controlling rootstocks under dry Mediterranean climates. Scientia Horticulturae, Amsterdam v. 160, n. 1, p. 274-282, 2013.
MAYER, N. A.; PICOLOTTO, L.; BASTOS, P. V.; UENO, B.; ANTUNES, L. E. C.. Estaquia herbácea de porta-enxertos de pessegueiro no final do verão. Semina: Ciências Agrárias, Londrina, v. 35, n. 4, p. 1761-1772, 2014
OSTERC, G.; STEFANCIC, M.; STAMPAR, F. Juvenile stockplant material enhances root development through higher endogenous auxin level. Acta Physiologica Plantarum, Warszowa v. 31, n. 5, p. 899-903, 2009.
PICOLOTTO, L.; FACHINELLO, J. C.; BIANCHI, R. M. B.; PASA, M. S.; SCHMITZ, J. D. Yield and fruit quality of peach scion by using rootstocks propagated by air layering and seed. Scientia Agricola, Piracicaba v. 67, n. 6, p. 646-650, 2010.
RIGITANO, O. Quatro novas variedades de pêssegos precoces selecionadas para as condições do estado de São Paulo. O Agronômico, Campinas v. 16, n. 7, p. 1-4, 1964.
TIMM, C. R. F.; SCHUCH, M. W.; TOMAZ, Z. F. P.; MAYER, N. A.. Enraizamento de miniestacas herbáceas de porta-enxertos de pessegueiro sob efeito de ácido indolbutírico. Semina: Ciências Agrárias, Londrina, v. 36, n. 1, p. 135-140, 2015
TSIPOURIDIS, C.; THOMIDIS, T.; BLADENOPOULOU, S. Rhizogenesis of GF677, early crest, may crest and arm king stem cuttings during the year in relation to carbohydrate and natural hormone content. Scientia Horticulturae, Amsterdam v. 108, n. 1, p. 200-204, 2006.
Author notes
*Author for correspondence