Articles
Fauna y flora intermareal de las costas rocosas de Quintana Roo, México
Intertidal rocky shore fauna and flora of Quintana Roo, Mexico
Fauna y flora intermareal de las costas rocosas de Quintana Roo, México
Revista de Biología Tropical, vol. 63, núm. 4, 2015
Universidad de Costa Rica
Recepción: 13 Octubre 2014
Aprobación: 08 Julio 2015
Resumen: Las costas rocosas de origen calizo, son ecosistemas comúnes en el estado de Quintana Roo en México. En el verano del 2012, se realizó una investigación de campo de comunidades inter-mareales rocosas en 10 sitios del Estado, tanto en la Riviera Maya como en la Gran Costa Maya, con el objetivo de conocer si existe algún patrón en la abundancia y diversidad de los grupos que las componen. En cada sitio se realizaron tres transecciones perpendiculares a la costa con un número variable de muestras que dependió de la longitud de la playa, en cada nivel se obtuvo una muestra de 25 cm2, realizando un total de 593. Las pendientes de las playas fueron variables (0.4-1 m); sin embargo, como patrón recurrente, la parte sur de cada playa fue más extensa que la norte. La fauna estuvo representada por los siguientes grupos: equinodermos (15 especies-11 géneros), moluscos (84-50), anélidos (10-9), crustáceos (23-22), sipunculidos (1-1) peces (1-1), algas (53-34), estableciendo un total de 187 especies pertenecientes a 128 géneros. Los resultados muestran que los moluscos dominaron en todas las zonas intermareales. Otros grupos tuvieron preferencias hacia las zonas intermareales bajas. Los patrones geográficos regionales de la abundancia, riqueza de especies y biodiversidad, son poco claros para algunos grupos. El sitio con mayor riqueza y diversidad fue Osho Oasis en la Riviera Maya. El agrupamiento de los sitios a un nivel de similitud del 50 %, presentan uniones fuertes entre sitios de la Riviera Maya y de la Costa Maya indistintamente, con excepción de los equinodermos que identifican y separan a ese nivel de similitud ambas zonas. Utilizando un análisis monotético de contenido de información de orden 2, se obtuvieron las especies responsables de las mayores caídas de información de cada grupo, se tienen los siguientes resultados: Algas- Padina santaecrucis, Moluscos-Tectarius antonii, Crustáceos- Maera inaequipes, Equinodermos- Tripneutes ventricosus y Annelidos- Pseudonereis variegata, estas especies se consideran indicadoras de cambios en la estructura de las comunidades de cada grupo y podrían ser objeto de una investigación más profunda que sirva de apoyo y soporte a programas de manejo en esas áreas.
Palabras clave: invertebrados intermareales, playas rocosas, distribución, moluscos, Caribe, Mexico.
Abstract : Rocky shores of limestone origin are common ecosystems in the state of Quintana Roo in Mexico. In the summer of 2012, a field investigation of rocky intertidal communities was performed in 10 sites in the state, both in the Riviera Maya and the Grand Costa Maya in order to know if there are any patterns in the abundance and diversity groups that compose them. In each site, three perpendicular transects were evaluated; transects had a variable number of levels, depending on the length of the beach. For each level, a sample of 25 cm2 was obtained, making a total of 593 samples. The slopes of the beaches were variable (0.4-1 m); however, as a recurring pattern, the Southern part of each beach was more extense than the Northern part. The fauna was represented by the following groups: echinoderms (15 species-11 genera), mollusks (84-50), annelids (10-9), crustaceans (23-22), sipunculids (1-1) chordates (1-1), algae (53-34), establishing a total of 187 species belonging to 128 genera. The results showed that mollusks dominated in all tidal flats; other groups were mostly found towards low intertidal areas. Regional geographical patterns of abundance, richness and biodiversity were unclear for some groups. The site with the highest richness and diversity was Osho Oasis in the Riviera Maya. Sites assemblages to a level of similarity of 50 %, had strong bonds between sites of the Riviera Maya and Costa Maya interchangeably, except echinoderms, identified and adjusted to that level of similarity among both areas. Using a monotetic content information analysis of order 2, with the aim to obtain the species responsible for the largest declines of information from each group, we have obtained the following results: Algae-Padina santae-crucis, Mollusks-Tectarius antonii, Crustacean-Maera inaequipes, Echinoderms Tripneutes ventricosus and Annelida-Pseudonereis variegata, these species are considered indicative of changes in community structure of each group and could be subject of further investigations to support management programs in the area. Rev. Biol. Trop. 63 (4): 943-958. Epub 2015 December 01.
Key words: intertidal invertebrates, rocky shore, distribution, molluscs, Caribbean, Mexico.
El análisis de procesos a través de una meso-escala espacial (10 a 100 km) proporciona un marco de trabajo con el cual los resultados de estudio a escala local pueden ser usados para hacer predicciones acerca de las respuestas de la comunidad, a través de gradientes ambientales a gran escala (Connolly & Roughgarden, 1988; Klee, 1999). Una característica que destaca a lo largo de la línea de costa del Caribe Mexicano son los afloramientos calizo-rocosos, éstos han recibido poca atención de investigación y gran parte del trabajo publicado a menudo está limitado a una sola especie, grupo faunístico o en el mejor de los casos a una lista taxonómica de algún sitio en particular (Albert, 1999; Alvarado, 1996; Engelhard, 1996; Kelly & Smith, 1994; Torruco, González-Solís, & Torruco-González, 2013); la Universidad de Texas A&M tiene tres reportes de campo en esas zonas (Engelhard, 1996; Albert, 1999) y un trabajo ficológico general de Díaz-Martin y Espinoza-Ávalos (2000) que describe la distribución de feofitas en la península y el trabajo de moluscos de la península realizado por González-Solís, Chávez, de la Cruz-Agüero y Torruco (1991).
Esta costa es la más extensa de este tipo en el Atlántico Mexicano, alcanza 564.86 km de longitud (Ortíz-Pérez, De la Lanza-Espino, Salazar-Enciso, & Carbajal-Pérez, 2006). La mayoría de las costas rocosas del Caribe mexicano, son remanentes antiguos de arrecifes coralinos, esqueletos de algas calcáreas y otros organismos microscópicos, que con el paso del tiempo, se han cementado y dado como resultado una piedra caliza altamente soluble, que la energía del oleaje ha erosionado hasta dejar una pendiente resistente y suave, que sirve de hábitat a numerosas especies de invertebrados (Kaplan, 1988).
Bajo este contexto, el presente trabajo explora la distribución espacial, la abundancia y biomasa de la flora y fauna intermareal de 10 sitios de la costa rocosa de Quintana Roo, México, tanto a una escala local, sitios separados por menos de 10 km, como a una escala regional (sitios separados entre sí por más de 10 km). El objetivo de este trabajo fue evaluar si existe algún patrón en áreas cercanas con características muy semejantes en cuanto al oleaje, las áreas protegidas en sus costas y las condiciones de temperatura, y en caso de encontrar un patrón, identificar su magnitud. Adicionalmente, también tiene como objetivo conocer la variabilidad intrínseca de los diferentes grupos de la biota intermareal, su relación con la pendiente de la playa, el gradiente de humedad, que podría darse en función de la cercanía al mar y comparar la semejanza de los patrones obtenidos con la abundancia numérica y biomasa.
Materiales y métodos
Área de estudio: Quintana Roo, presenta una línea de costa con una plataforma continental estrecha y con alternancia de playas arenosas y costas rocosas. Esta línea de costa caliza está erosionada extensivamente y proporciona numerosas pozas de marea, fracturas y crestas que son ocupadas por los organismos intermareales. Los sitios de muestreo se localizaron tanto en la zona de la Riviera Maya como en la parte sur del Estado, la Costa Maya. Existe una barrera arrecifal discontinua que inicia en las inmediaciones de Cancún y se extiende hasta Belice de manera paralela al litoral, cubriendo toda la costa del Estado (González-Solís, 1995). Esta estructura favorece la presencia de playas poco inclinadas y olas de baja energía, los efectos oceánicos de oleaje y tormenta son hasta cierto punto atenuados en la laguna arrecifal, aunados a un fondo somero, pero que por efecto del viento, se tiene una circulación, mezcla y turbulencia que usualmente es controlada o dirigida por el arreglo de los canales o bajos de la propia barrera arrecifal.
Las corrientes oceánicas en este lugar tienen un flujo con dirección norte, las cuales continúan y eventualmente forman parte de la corriente de Yucatán hasta alcanzar el golfo de México; también se han registrado contracorrientes de menor intensidad (Merino, 1986). El régimen de mareas es semidiurno con un corto rango de variación (0.24 m) (Instituto de Geofísica, 1991). El clima es cálido subhúmedo, la temperatura media anual es de aproximadamente 26 °C y la precipitación media es de 1 300 mm anuales. Los meses más calientes son julio y agosto y el más frío es enero. La oscilación térmica anual es de 4.8 °C. Se distingue una época de sequía entre diciembre y abril. Exceptuando la presencia eventual de los huracanes, el clima se clasifica como Aw (García, 1987), cálido subhúmedo con lluvias en verano. El 75 % de las precipitaciones se presentan de mayo a octubre, y la humedad relativa promedio es superior al 80 %. La región está comprendida dentro de la zona ciclónica tropical del Caribe, y los vientos dominantes tienen una dirección este-sureste. Los huracanes son frecuentes en el Caribe y las costas de Quintana Roo presentan un frente amplio a su trayectoria. Las consecuencias destructivas de los huracanes para los asentamientos humanos han sido una de las causas por las que algunas zonas se encuentran despobladas, a pesar de sus atractivos paisajísticos (Torruco & González, 2012). Los sitios de muestreo se ubicaron en la costa de Quintana Roo (20°49' - 21°10' N y 86°43' - 86°55' W) desde Puerto Morelos hasta Xcalak (Figura 1).

Variables ambientales en los sitios: En la parte final de cada transecto (inicio en parte terrestre), se registraron los siguientes parámetros ambientales: temperatura, salinidad, oxígeno disuelto y pH, con una sonda multiparámetro YSI 86, y para el registro de nutrientes, se recolectaron 400 mL de agua que se conservaron en hielo para su análisis en el laboratorio. Estas mediciones se realizaron en los niveles cercanos a la orilla del mar, donde había agua suficiente para tomar el registro. Las técnicas utilizadas para la determinación de nutrientes fueron las siguientes: amonio-técnica de Solorzano (1969); nitratos-Formación de una sal diasonizada (Váldez & Real, 1998) nitritos-Reducción de nitrato a nitrito en una columna de cadmio y cobre (Cd+ Cu+); fosfatos y silicatos-Espectrofotometría (Váldez & Real, 1998) dureza por calcio y magnesio- Titulación con E.D.T.A. (Strickland & Parsons, 1972). Durante los muestreos también se determinó la pendiente mediante un nivel marca Sokkia (Modelo SDL 50).
Muestreo de organismos: La investigación se llevó a cabo en el verano de 2012. El método de muestreo utilizado consistió en tres transectos perpendiculares a la playa separados por un máximo de 50 m (González-Solís, Chávez, de la Cruz-Agüero, & Torruco, 1991) y de longitud variable según cada localidad y el ancho de la playa. El número de muestras a lo largo del transecto fue variable (definido por los límites impuestos por la humedad y fuerza del oleaje), y tuvieron una separación de un metro entre cada una a lo largo de todos los transectos. No obstante, al ser un gradiente de varios factores directrices como la temperatura y la humedad, se realizó una aproximación que implicaba tanto el número de muestra como el área mínima que cubrirán las muestras para que fueran estadísticamente representativas de las localidades mencionadas. Así, en un muestreo prospectivo, se analizaron diferentes áreas de muestras contra el número de especies de cada una de ellas, y con ello se estableció una curva de número de especies-área; se seleccionó el área de 625 cm2 (cuadrado de 25 cm de lado), valor que alcanzó la curva al volverse una asíntota; todos los organismos circunscritos a dicha área, se recolectaron y fijaron en formalina al 30 % (Laurent, 1978).
En el laboratorio los organismos fueron separados, contados y pesados con una balanza digital Mettler-Toledo (Modelo ME con capacidad de 4 200 a 0.01 gr), posteriormente al pesaje los organismos se identificaron siguiendo diferentes referencias de acuerdo a su especialidad taxonómica: Warmke y Abbot (1962), Rehder (1981) y Abbot (1996) para moluscos; se siguió a Hendler, Miller, Pawson y Kier (1995) para equinodermos; Taylor (1960) y Littler y Littler (1989) para macroalgas; Bohlke y Chaplin (1993) para peces; Fauchald (1977) para anélidos y finalmente, Felder (1973), Powers (1977) y Williams (1984) para crustáceos.
Para el análisis de las comunidades bentónicas, inicialmente se realizaron acercamientos con estadística descriptiva para conocer los patrones generales de la biocenosis encontrada. Posteriormente, para cada grupo encontrado, se realizaron acercamientos de la dominancia mediante el índice del valor de importancia (IVI), de la diversidad ecológica para identificar de manera objetiva las diferentes categorías e importancia relativa de cada uno de sus elementos (Pielou, 1984), siguiendo las condicionantes del índice de Shannon-Wienner (Magurran, 1988). Una ventaja que presenta el índice de Shannon-Wienner es que es posible asociarle una prueba estadística para definir la diferencia entre dos valores de diversidad (α= 0.05), la prueba de t de Student modificada por Hutchinson (Zar, 1999), cuya fórmula es:

Dónde: H'1= Índice de diversidad de la muestra 1. H'2= Índice de diversidad de la muestra 2.
Var (H'1)= Varianza del índice de diversidad de la muestra 1.
Var (H'2)= Varianza del índice de diversidad de la muestra 2.
En este caso se utilizó este estadístico para contrastar la diversidad en el gradiente de humedad, tomando el siguiente criterio: Secos (niveles cercanos a la vegetación pionera), semihúmedos (niveles que durante el día y la noche recibían solo salpicaduras y rocío de las olas) y húmedos (niveles que por efecto de marea y oleaje siempre tenían un aporte constante de humedad). Con este criterio las abundancias totales se contrastaron con un ANOVA para determinar diferencias en estas zonas, dado que los supuestos de homogeneidad y homocesticidad fueron adecuados.
Las relaciones y la dinámica estructural de la biocenosis se analizó mediante una clasificación multifactorial (similaridad entre estaciones) con la técnica de Bray-Curtis para datos cuantitativos. La matriz obtenida se sometió a un análisis de agrupamiento mediante el algorítmo flexible de Lance y Williams con una β= -0.25 (Orlóci, 1978). Las líneas de corte de los dendrogramas obtenidos se realizó al 50 % de similitud, bajo el criterio de provincialidad, considerando que las localidades con diferencias mayores a ese porcentaje eran conceptuadas diferentes.
La matriz binaria de presencia y ausencia, se sometió a un análisis exploratorio del contenido de información de segundo orden (modificado de Escurra & Equihua, 1984) bajo un procedimiento monotético divisivo para identificar las especies que discriminan cada una de las caídas de información del conjunto de datos y obtener con ello las especies que ocasionan las caídas más fuertes de diversidad de cada localidad, la fórmula del estadístico es la siguiente:

Donde:
S Número de descriptores (Especies)
n Número de objetos (Sitios)
ai Número de objetos donde está presente el descriptor i
El protocolo utilizado para la obtención de especies indicadoras (consideradas así como las responsables de los principales descensos de información), tiene la base de la biodiversidad de cada sitio para cada grupo. Este procedimiento calcula el contenido de información de todos los sitios como un todo, posteriormente procede a dividirlo en subconjuntos de acuerdo a criterios preestablecidos. Si hay n objetos (en este caso sitios) habrá entonces 2n-1-1 divisiones diferentes para comparar unas con otras (Pielou, 1977). Una vez seleccionada la mejor división, el proceso se repite sucesivamente en cada uno de los subgrupos resultantes de cada división hasta que queda solo el sitio. El criterio de partición al dividir un conjunto en dos grupos, el descriptor que produce el máximo cambio se elige como el discriminante para el que los dos grupos resultantes tienen la mayor homogeneidad posible, la expresión de decisión es la siguiente:

donde:
i Es el descriptor discriminante,
I t Es la información en el conjunto original,
I p Es la información para el grupo donde i está presente y
I a Es la información para el grupo donde i está ausente.
El proceso continúa hasta que los grupos no pueden ser subdivididos, eventualmente quedando los propios sitios.
Resultados
Características ambientales: Las variables ambientales fueron consideradas como independientes en el análisis de las expectativas en las condiciones alternantes, y sirvieron solo como marco de referencia, sin realizar ningún análisis entre ellas y la biota, ya que estrictamente, las muestras se tomaron en la costa rocosa y las muestras de los parámetros ambientales en el agua marina adyacente a éstas. Tal consideración se realizó bajo el conocimiento que al ser un área de transición tierramar, la influencia del oleaje y las características del agua marina podrían ser importantes para la biota. Los rangos promedio de los diferentes parámetros están plasmados en el Cuadro 1. En todos los sitios la fluctuación de la marea estuvo entre 5-20 cm.

Los perfiles obtenidos en cada una de las playas se muestran en la Figura 2. En ella se presentan los tres transectos realizados para cada localidad y el número de niveles alcanzados en cada una. Las costas rocosas son muy heterogéneas en su perfil. La mayoría de las playas tienen valores cercanos a los 40 cm, con excepción de los Farallones de Kilbride, que es el único acantilado existente en toda la costa mexicana del Caribe (12 m), es el mayor de los afloramientos rocosos y también es de origen coralino, consecuentemente, fue el de mayor diferencias en su perfil (casi 1 m).

Características ecológicas: Para los 10 sitios se analizaron en total 593 muestras que correspondieron a 37 m2 de litoral rocoso. De las especies registradas para la fauna se encontraron: 84 especies de moluscos (50 géneros), 15 de equinodermos (11 géneros), 23 de crustáceos decápodos (22 géneros), 10 de anélidos (9 géneros), un sipuncúlido, un pez, lo que reportó un total de 134 especies en este ambiente (Anexo 1), representadas por una abundancia de 33 492 organismos cuya biomasa fue de 56 909.55 g; las algas representaron 53 especies (34 géneros) con una biomasa de 36 634.2 g (para fines del análisis estadístico sólo se consideraron los grupos que presentaron más de dos especies).
Los moluscos se distribuyeron en casi todos los niveles de la playa; sin embargo, las abundancias de la mayoría de los grupos en las playas rocosas se desplazaron a los niveles más bajos en todos los sitios de muestreo (Figura 3).

La dominancia de las tres especies más importantes de cada grupo se muestra en el Cuadro 2. Pocas especies alcanzan una dominancia relevante en sus grupos como son el caso de Scolelepis squamata (Müller, 1806) en los anélidos y Echinometra lucunter (Linnaeus, 1758) en los equinodermos. Las demás especies no alcanzaron porcentajes importantes, lo que significa que no hubo una dominancia de alguna especie en particular. Aún cuando los valores de las tres especies de cada grupo no son muy diferentes en cuanto a su porcentaje, en conjunto reúnen más del 30 % para cada grupo, con la excepción de los anélidos y los equinodermos, cuyo valor de las tres especies rebazó el 60 %, y en donde la dominancia de la especie principal es determinante.

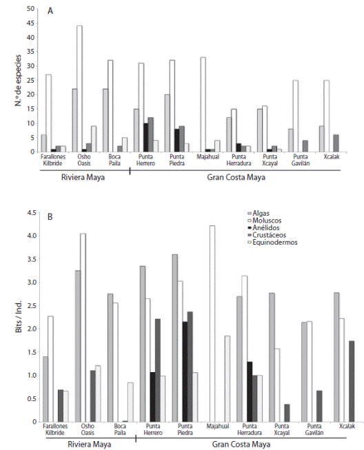
La riqueza de especies para las algas, fue mayor en Boca Paila y Osho Oasis (22 especies), ambas poseen una amplia protección al oleaje por la barrera arrecifal, y la menor se registró en la localidad de los Farallones de Kilbride (seis especies), donde la barrera arrecifal sufre una discontinuidad. Punta Herrero fue el sitio con mayor riqueza de crustáceos y anélidos, esta es una localidad cercana a la bahía del Espíritu Santo (mayor porte de detritus), Majahual solo resgistró una especie de crustáceos; la menor riqueza de anélidos se presentó en los Farallones de Kilbride, Osho Oasis, Majahual y Punta Xcayal todas ellas con una especie. Mientras que la mayor riqueza de equinodermos se presentó en Osho Oasis (nueve especies) y la menor en Punta Xcayal (una especie). Los moluscos registraron su mayor riqueza en Osho Oasis (44 especies) y la menor en Punta Herradura (15 especies) (Figura 4A).

La diversidad medida con el índice de Shannon-Wiener dió los siguientes resultados: los mayores valores para algas (3.59 bits/ind.), crustáceos (2.36 bits/ind.) y anélidos (2.15 bits/ind.), se obtuvieron en Punta Piedra una localidad cercana a la desembocadura de la Bahía del Espíritu Santo; mientras que para los moluscos (4.2 bits/ind.) y los equinodermos (1.85 bits/ind.) los valores más altos se registraron en Majahual, ambos sitios corresponden a la Gran Costa Maya. Los menores registros de los diferentes grupos se reparten entre sitios de la Riviera Maya (Farallones de Kilbride para las algas 1.39 bits/ind.) y sitios de la Gran Costa Maya (Punta Xcayal para moluscos 1.5 bits/ind. y anélidos 0 bits/ind.); algunos grupos no se recolectaron en algunos sitios como fue el caso de los equinodermos (ausentes en Pta. Gavilán y Xcalak) o de los anélidos (ausentes en Boca Paila, Pta. Gavilán y Xcalak), aún cuando estuvieron presentes en sitios cercanos (Figura 4B). La comprobación con la prueba de T de Hutchenson, no indicó diferencias significativas para moluscos y crustáceos (P < 0.05, 95 % de confiabilidad), pero sí para los anélidos y equinodermos (Cuadro 3).

La similitud de sitios con los diferentes grupos, proporcionaron los siguientes resultados: para las algas, se encontró tres grupos bien definidos, el primero incluye a los Farallones de Kilbride, Punta Herrero y Punta Piedra, todos ellos en las cercanías de las bahías del Espíritu Santo y la Ascención; el segundo grupo aglutinó los sitios de Punta Herradura, Punta Xcayal, Gavilán y Xcalak, todas ellas se corresponden a la parte sur; el último grupo une Osho Oasis y Boca Paila, localidades cercanas y que se presentan hacia el norte de las bahías (Figura 5 (A)).

El grupo de los moluscos también formó tres grupos con el mismo algoritmo de Bray Curtis; el primero lo conformaron los Farallones de Kilbride, Punta Xcayal, Punta Gavilán y Xcalak; el segundo grupo fue formado por Osho Oasis, Majahual y Punta Herradura y el tercero estuvo representado por Boca Paila, Punta Herrero y Punta Piedra (Figura 5 (B)).
Los anélidos presentan tres grupos; el primero incluyó a Los Farallones de kilbride, Punta Piedra y Punta Herradura; el segundo lo formaron Osho Oasis y Punta Xcayal y el tercero estuvo conformado por Punta Herrero y Majahual (Figura 5 (C)).
Los crustáceos también formaron tres grupos a niveles superiores; el primero incluyó a Los Farallones de Kilbride, Majahual, Punta Herrero, Punta Piedra, estos dos últimos unidos con mayor fuerza; el segundo grupo lo componen Punta Xcayal, Punta Gavilán y Xcalak, los tres localizados al sur del Estado; el último aglutinó las localidades de Osho Oasis, Boca Paila y Punta Herradura (Figura 5 (D)).
Los equinodermos presentaron dos agrupaciones, la primera incluye los sitios: los Farallones de Kilbride, Boca Paila y Punta Herrero; la segunda fue formada por Punta Piedra, Majahual, Punta Xcayal y Punta Herradura. El primer grupo identificó localidades del norte y el segundo del sur (Figura 5 (E)).
Las especies que fueron obtenidas como un indicador ecológico del estado de las diferentes playas se encuentran en la figura 6, en ella se definió para cada localidad una especie discriminante, que podrían seleccionarse para ser un monitor ecológico de las condiciones de las playas en un futuro; los mayores contenidos de información se presentaron en el grupo de los moluscos y las algas (Figura 6 (A) y Figura 6 (B)), seguidos de los crustáceos (Figura 6 (D)), equinodermos (Figura 6 E) y finalmente los anélidos (Figura 6 (C)). El Cuadro 4 muestra las especies discriminantes de cada grupo, el Contenido de Información total y el descenso de información que originan.


Discusión
En el Estado de Quintana Roo, la dinámica de la zona costera está influenciada por las características topográficas y el tipo de suelo de la Península de Yucatán, debido a su constitución de roca caliza que no permite que exista un flujo de agua superficial, lo que determina que prevalezca una red de aguas subteráneas que fluyen hacia el mar favoreciendo la presencia de grandes zonas de humedales costeros (Torruco et al., 2013). Desde el punto de vista de la conservación del ecosistema marino, las playas rocosas proporcionan alojamiento a una amplia variedad de organismos especializados que no se hallan en ningún otro lugar (Lubchenco & Menge, 1978). Las playas rocosas del Estado de Quintana Roo son variables en su forma, aún cuando su origen sea la placa cársica con la que está constituida la Península de Yucatán. Torruco y González-Solís (1992) mencionan que estas costas están formadas por elevados arrecifes de corales fósiles. La roca puede ser agujereada, quebrada o agrietada y a veces forman salientes, barrancos, cuevas o pozas como en la zona sur (Costa Maya), donde se presentan inumerables pozas de marea que originan un ambiente extremo donde escasas especies sobreviven. Un organismo de playa rocosa puede estar sometido a niveles variables de deshidratación, temperaturas altas y bajas, grados diversos de salinidad, el embate de las olas, largos períodos sin alimento y variados niveles de depredación (Stephenson & Stephenson, 1972; Wiley, Roland, & Tunnell, 1982). En respuesta a estos factores, los organismos de la costa rocosa se han adaptado para hacer frente a particulares regímenes ambientales, lo que ha dado como resultado una zonificación vertical distintiva y unas diferencias muy importantes entre las comunidades costeras expuestas a las olas y las de playas protegidas como se presenta en este estudio. Los valores de los parámetros registrados en la orilla del mar se encontraban en los intervalos característicos de la zona tropical y sobre todo para áreas con arrecifes coralinos (Comisión Nacional de Áreas Naturales Protegidas-Fondo Mexicano para la conservación de la naturaleza A.C.-The Nature Conservancy, 2011; Torruco, GonzálezSolís, & Ordáz, 2003), y parece ser que sólo la presencia de agua hace la diferencia. A pesar de las distancias entre los sitios, no se presentó una proporción significativa de la variación regional de la abundancia en algunos de los grupos funcionales más abundantes asociado con el gradiente latitudinal en la temperatura media, ni en otro parámetro.
En este estudio, los patrones de zonificación y preferencia de exposición están sujetos inicialmente a la amplitud de la playa, pero las tendencias generales no son evidentes. Las comunidades de la zonas más cercanas al mar son mucho más diversas y productivas que las que se presentan en las zonas de salpicaduras, con menor presencia de algas y animales de cuerpo blando. El desplazamiento de la abundancia de la mayoría de los grupos, significa que están totalmente influenciados por la mayor humedad, con excepción de los moluscos que es un grupo que por su estructura orgánica al producir mucílago y por el poseer concha y en algunos casos opérculo, hacen posible que puedan soportar con mayor éxito la desecación al mantenerse húmedos aún en las horas de alta insolación a lo largo del día (Torruco & González-Solís, 2012). Las localidades de Punta Piedra y Punta Herrero, son playas con una extensión pequeña y con un fuerte oleaje, lo que origina que la mayor distribución de los organismos se presente en los primeros niveles y disminuyan conforme se acercan al mar. Osho Oasis es una playa protegida con alta humedad en todas partes, es por ello que la distribución de los grupos es consistente a todo lo largo de ella. Como era esperado, el grupo de las algas siempre se encontró relacionada con la cercanía del mar. No obstante, en playas muy dinámicas (Punta Herrero y Punta Piedra), llegan a presentarse en los primeros metros, apenas adelante de la vegetación pionera.
Aún cuando el grupo de los moluscos, presentó una amplia distribución a lo largo del perfil de playa durante los periodos de muestreo, no se presentó un patrón de zonación definido por alguna especie como ocurre en otras latitudes, lo cual podría estar asociado al tiempo de residencia y arraigo de la misma. En éste caso, tenemos una dominancia relevante de muy pocas especies que tampoco se presentan con un patrón de zonación definido, aunque algunas especies se encentran con mayor abundancia en áreas con fuerte protección. Posiblemente sea causa de la intensa dinámica del oleaje, la erosión y la reducida plataforma continental, lo que hacen que la fauna no tenga el tiempo suficiente para evolucionar hacia una comunidad más madura y por ende más estable.
Las agrupaciones detectadas variaron de acuerdo con los cambios en composición de las especies, como consecuencia de las fluctuaciones tanto morfológicas del perfil de playa como del desplazamiento a lo largo del perfil de los grupos, debido probablemente a la disponibilidad y hábitos del alimento. Así, la distribución de los organismos refleja patrones de distribución variables en el espacio en playas rocosas de baja energía, donde la diversidad media y baja dominancia se pueden atribuir a las condiciones ambientales de este medio. Con las algas parece ser que presentan una fuerte influencia de la posición geográfica de los sitios. Los moluscos están influenciados por el tamaño de la playa, ya que los grupos identifican playas pequeñas como el primero, playas medias como el segundo y playas extensas como el tercer ensamble.
Existe una gran importancia entre las relaciones en la distribución espacial de los organismos y la hidrodinámica marina dentro del sistema, controlada por la reducida plataforma y la combinación de los efectos de mareas y vientos los cuales producen dispersiones advectivas horizontales e intercambios verticales dentro de las masas de agua que repercuten de manera importante en el gradiente de humedad de la playa, algunas de ellas como Osho Oasis presentan una alta humedad en toda la playa, mientras otras como Majahual solo se presentan humedades adecuadas en la parte media o al final de los transectos. En esta distribución es probable que la distancia de cada estación de muestreo, y la magnitud de la energía cinética podrían ser considerados como predictores.
Los resultados confirman la gran sensibilidad de los organismos bentónicos a las condiciones ambientales prevalecientes en las playas rocosas de Quintana Roo, ya que existe una estrecha relación entre la macrofauna béntica y las características hidrodinámicas, especialmente dentro de la variabilidad espacial.
Por otro lado el desarrollo óptimo de grupos como: crustáceos, algas, nemertinos, sipunculidos y anélidos se presenta en niveles bajos de energía del oleaje, asociado con una dominancia de sedimentos finos, y sin embargo otros grupos como los equinodermos presentaron un desarrollo óptimo en niveles de mayor energía asociado con lugares más cercanos al mar y relacionados con un aumento en los flujos de las aguas para promover el incremento de la suspensión de los nutrientes.
El área en su totalidad presenta condiciones ambientales particulares: 1) No existe una red fluvial con excepción de cenotes y ojos de agua, por lo que no se aportan sedimentos a la plataforma (Carranza-Edwards & NolazcoMontero, 1988). 2) Dominio de los factores que influyen en la sedimentación (corriente y fauna bentónica). 3) Presencia de una baja llanura litoral, compuesta por ciénagas, lagunas costeras y una rica población de mangles, fuente importante de materia orgánica. 4) Un prevaleciente intemperismo químico y biológico. Un aspecto que ocasiona una gran diferencia en la zona: En la Riviera Maya existe un predominio de la porción arenosa en todas las localidades, cuya textura es heterogénea, ya que está representada por partículas gruesas y finas pero todas ellas de origen carbonatado y restos de organismos marinos, mientras que en la Costa Maya hay una mayor presencia de zonas rocosas con alternancia de pequeñas playas arenosas, generalmente de restos biogénicos también de corales y conchas. Las características en ambos sitios probablemente presenten una etapa de transición de las condiciones sedimentarias caracterizada por la erosión y redeposición de los substratos antiguos que afloran en el margen litoral, mezclado con gran cantidad de fragmentos de diferentes texturas de origen biogénico como lo mencionan Raffaelli y Hawkins (1996). Es posible que éste conjunto de variables tengan una influencia importante tanto en el agrupamiento de los sitios como en la discriminación de las especies que representan cada uno. Otro factor que influye en estos agrupamientos es el amplio desarrollo costero que se presente en la Riviera Maya en contraposición al incipiente desarrollo de la Costa Maya, donde muchos grupos identifican eficientemente esta variable. Los resultados obtenidos son importantes porque detectan un incremento en abundancia en la zonas que pertenecen a Reservas de la Biosfera (Sian Ka'an), pero no en los Parques Naturales (Xcalak).
Referencias
Abbott, R. T. (1996). Seashells of North America: A Guide to field identification. (Golden Field Guides). New York: Golden Books Publishing Company.
Albert, E. (1999). A characterization of marine algae associated with rocky points long Quintana Roo, Mexico (Report of Biology No. 5632-Coral Reef Ecology). Texas: Texas A&M University-Corpus Christi, Corpus Christi.
Alvarado, S. A. (1996). The ocurrence and zoogregraphy of Mollusca from rocky shores of the southwestern Gulf of Mexico, Veracruz, Mexico (Master's Thesis). Texas A&M University-Corpus Christi, Corpus Christi, Texas.
Bohlke, J. E., & Chaplin, C. C. G. (1993). Fishes of the Bahamas and adjacent tropical waters Texas: University of Texas Press.
Carranza-Edwards, A. & Nolazco-Montero, E. (1988). Estudio sedimentológico regional de playas de Yucatán y Quintana Roo, México. Anales del Instituto de Ciencias del Mar y limnología1549-66.
Comisión nacional de áreas naturales protegidas-Fondo Mexicano para la conservación de la naturaleza AC-The Nature Conservancy. (2011). Programa de adaptación al cambio climático en áreas naturales protegidas del complejo del Caribe de México México: CONAMP, FMCN, TCN.
Connolly, S. R., & Roughgarden, J. (1998). A latitudinal gradient in Northeast Pacific intertidal community structure: evidence for an oceanographically-based synthesis of marine community theory. The American Naturalist151 311-326.
Díaz-Martín, M. A., & Espinosa-Ávalos, J. E. (2000) Distribution of Brown seaweeds (Phaeophyta) in the Yucatán Peninsula, Mexico. Bulletin of Marine Science66279-289.
Engelhard, T. K. (1996). A baseline evaluation of a rocky seashore on the Sian Ka'an Biosphere Reserve, Quintana Roo, Mexico (Report of Biology No. 532Coral Reef Ecology). Texas: Texas A&M UniversityCorpus Christi, Corpus Christi.
Escurra, E. & Equihua, M. (1984). La teoría de la información aplicada a la clasificación de datos biológicos. En E. Ezcurra, M. Equihua, G. B. Kohlmann, & S. Sánchez (Eds). Métodos cuantitativos en la biogeografía (pp. 9-40). México: Instituto de Ecología A.C. México. DF.
Fauchald, K. (1977). The polychaete worms: definitions and key to the orders, families and genera Los Angeles, California: Natural History Museum of Los Angeles Country.
Felder, D. L. (1973). An Annotated Key to Crabs and Lobsters (Decapoda, Reptantia) from Coastal Waters of the Northwestern Gulf of México Louisiana: Louisiana State University Center for Wetland Resources.
Garcia, E. (1987). Modificaciones al sistema de clasificación de Köepen México: UNAM. Instituto Nacional de Geografía.
González-Solís, M. A., Chávez, E. A., de la Cruz-Agüero, G., & Torruco, D. (1991). Distribution patterns of gastropods and bivalves at the Yucatan Peninsula, Mexico. Ciencias Marinas17147-172.
González-Solís, M. A. (1995). Contribución al estudio de los moluscos marinos de la Península de Yucatán, México (Tesis Doctoral). Universidad de Barcelona, España.
Hendler, G., Miller, J. E., Pawson, D. L., & Kier, P. M. (1995). Sea stars, sea urchins and allies echinoderms of Florida and the Caribbean Washington, D.C: Smithsonian Institution Press.
Instituto de Geofísica. (1991)Tablas de predicción de mareas. 1992. Puertos del golfo de México y mar CaribeMéxico, D.F: Servicio Mareográfico Nacional. Instituto de Geografía, Universidad Nacional Autónoma de México.
Kaplan, E. H. (1988). Southeastern and Caribbean Seas shoresNew York: Houghton Mifflin.
Kelly, K., & Smyth, T. (1994). A quiantitative assessmentof the rocky seashore of Punta Piedra, Quintana Roo, Mexico (Report for BIO No. 532- Coral Reef Ecology). Texas: Texas A&M University-Corpus Christi, Texas.
Klee, G. A. (1999). The coastal environment: Toward integrated coastal and marine sanctuary managementNew Jersey: Prentice Hall.
Laurent, B. (1978). Quantitative sampling by quadrant in the rocky littoral. Abundance Estimation. New York: Workshop, American Institute of Fishery Research Biologists.
Littler, D. S., & Littler, M. M. (1989) Marine plants of the Caribbean a field guide from Florida to Brazil. Washington, D.C: Smithsonian Institution Press
Lubchenco, J., & Menge, B. (1978). Community development and persistence in a low rocky intertidal zone. Ecological Monographs5967-94.
Magurran, A. E. (1988). Ecological diversity and its mesurement Princeton, New Jersey: Princeton University Pree.
Merino, M. (1986). Aspectos del acirculación superficial del Caribe mexicano con base a observaciones utilizandpo tarjetas de deriva. Anales del Instituto de Ciencias del Mar y limnología, 15 31-45.
Orlóci, L. (1978). Multivariate analysis in vegetation research Netherlands: Springer.
Ortíz-Pérez, M. A., De la Lanza-Espino, G., Salazar-Enciso, M. P. & Carbajal-Pérez, J. L. (2006). Diferenciación del espacio costero de México México: UNAM. Instituto de Geografía.
Pielou, E.C. (1977). Mathematical ecology New York: John Wiley and Sons.
Pielou E.C. (1984). The interpretation of ecological data: A premier on classification and ordination. New York: Wiley Interscience.
Powers, L. W. (1977). A Catalogue and Bibliography to the Crabs (Brachyura) of the Gulf of MéxicoPort Aransas, Texas: Port Aransas Marine Laboratory. University of Texas Marine Science Institute.
Raffaelli, D., & Hawkins, S. (1996). Intertidal Ecology London, England: Chapman & Hall.
Rehder, A. H. (1981). National Audubon Society Field Guide to North American Seashells New York: Alfred A. Knopf, Inc.
Solorzano, L. (1969). Determination of Ammonia in natural water by the phenol hypochlorite method. Limnology and Oceanography14 799-801.
Stephenson, T. A., & Stephenson, A. (1972). Life between tidemarks on rocky shores San Francisco, California: W.H. Freeman and Co.
Strickland, J. D. H., & Parsons, T. R. (1972). A practical Handbook of sea water analysisOttawa: Fisheries Research Board of Canada.
Taylor, W. R. (1960). Marine algae of the eastern tropical and subtropical coast of the Americas Michigan: University of Michigan Press.
Torruco, D. & González-Solís, A. (1992). Caracterización ecológica del Sistema Arrecifal costero del Borde Este de la Península de Yucatá (Reporte No. 87). México: CINVESTAV-IPN.
Torruco, D. & González-Solis, A. (2012). Evaluación de las playas del litoral de Quintana Roo: Extensión y Biodiversidad. Revista Innovación para la vinculación FOMIX-Quintana Roo251-61.
Torruco, D., González-Solís, A., & Ordáz, J. (2003). The role of environmental variables in the lagoon coral community structure on the Chinchorro Bank, México. Bulletin of Marine Science 7323-36.
Torruco, D., González-Solis, A., & Torruco-González, A. D. (2013). Las playas de Quintana Roo: Sus riesgos y vulnerabilidad. Periplo Sustentable24 155-172.
Váldez, D. & Real, E. (1998). Variations and relationships of salinity, nutrients and suspended solids in Chelem coastal lagoon at Yucatán, MexicoIndian Journal of Marine Science27,149-156.
Warmke, G. L., & Abbot, R. T. (1962). Caribbean seashells a guide to the marine mollusks of Puerto Rico and other West Indian Island, Bermuda and the Lower Florida Keys New York: Dover Publications, Inc.
Wiley, G. N., Roland, C. C., & Tunnell, J. W. (1982). Mollusca of the rocky shores of east central Veracruz, Mexico. Nautilus9655-61.
Williams, A. B. (1984). Shrimps, Lobsters and Crabs of the Atlantic Coast of the Eastern United State Maine to FloridaWashington, D. C: Smithsonian Institute Press.
Zar, J. H. (1999). Biostatistical analysis New Jersey: Prentice-Hall.