Articles
Anidamiento en las comunidades de parásitos en peces intermareales de Chile central: ¿Qué tan influyente es la longitud corporal del hospedero?
Nestedness of parasite communities of intertidal fish in central Chile: how influential is the body length of the host?
Anidamiento en las comunidades de parásitos en peces intermareales de Chile central: ¿Qué tan influyente es la longitud corporal del hospedero?
Revista de Biología Tropical, vol. 63, núm. 4, 2015
Universidad de Costa Rica
Recepción: 30 Octubre 2014
Aprobación: 01 Junio 2015
Resumen : La estructura de la comunidad de parásitos, determinada mediante análisis de anidamiento, varía considerablemente en función de la especie hospedera y el tamaño corporal de la misma. El patrón anidado es aquel en el que comunidades pobres en especies constituyen subunidades de comunidades de mayor riqueza, lo cual también se observa en las comunidades de parásitos. Existen grandes diferencias de riqueza y abundancia de parásitos en función del tamaño del hospedero. Por lo tanto, en este estudio determinamos, mediante análisis de anidamiento, si la estructura de la comunidad de parásitos de peces del intermareal, se relaciona con la longitud corporal de los hospederos y los descriptores parasitológicos. Se recolectaron 2 435 individuos de cinco especies de peces del intermareal rocoso de Chile central (32º02'-33º57' S y 70º30'- 70º30' W); Helcogrammoides chilensis, Scartichthys viridis, Auchenionchus microcirrhis, Gobiesox marmoratus y Sicyases sanguineus. Cada especimen fue revisado con respecto a sus parásitos y medido en su longitud total (LT). Las cinco especies muestreadas fueron clasificadas en función de la longitud corporal (LT) en tres rangos, cada uno de los cuales constituye una infracomunidad del estudio, y para la que se calculó el índice de anidamiento. Se emplearon los modelos NTCP (Nestedness Temperature Calculator Program) y NODF (Nestedness metric based on the Overlap and Decreasing Fill), utilizando la presencia/ ausencia de especies parásitas. También se empleó el modelo WNODF (Weighted - NODF) utilizando la abundancia de parásitos por especie. Así mismo, se calculó la riqueza total de especies, el promedio de riqueza, abundancia, diversidad y dominancia a nivel de la infracomunidad, para relacionarlos con los índices de anidamiento. Las infracomunidades de parásitos de la mayoría de las especies presentaron patrones de anidamiento, excepto en G. marmoratus y H. chilensis, en algunos de sus rangos de LT. No se encontró una relación directa entre el índice de anidamiento y la LT de los peces. Sin embargo, se observaron correlaciones directas de los índices de anidamiento con la riqueza promedio, abundancia y la diversidad infracomunitaria de parásitos, pero no con la riqueza total, que mostró una correlación inversa con la LT del hospedero. Además, se detectó anidamiento en la comunidad componente de parásitos en todas las especies de peces. Concluimos que las comunidades de parásitos de peces provenientes de la zona intermareal son estructuradas y predecibles, y se encuentran vagamente condicionadas por la LT de los hospederos y las características agregadas de los parásitos, especialmente a un nivel infracommunitario.
Palabras clave: anidamiento, comunidad componente, infra-comunidad, NODF, NTCP, parásitos, peces intermareales, WNODF.
Abstract: Structure and richness of parasite communities varies substantially among species and body sizes of hosts, which can be determined by analyzing the nestedness. The nestedness pattern is originated when depauperate communities are subsets of those found in communities with greater species richness, and has normally used to study parasite communities. Therefore, in this study we determined whether the structure of parasite communities of the intertidal fish, of central Chile, relates to host lengths and parasitological descriptors, by the use of nested subset analyses. We collected 2 435 individuals of five fish species from the intertidal rocky zone of central Chile (32º02'-33º57' S - 70º30'-70º30' W): Helcogrammoides chilensis, Scartichthys viridis, Auchenionchus microcirrhis, Gobiesox marmoratus, and Sicyases sanguineus; each specimen was analyzed for parasites and its total body length (LT) was measured. The total species richness, average richness, abundance, diversity, and dominance of parasites infracommunity (all parasites in a host specimen) were calculated. Each fish species was classified into three LT ranges, to calculate the indices of nestedness and average of these parasitological descriptors in each LT range. We used the models given in the NTCP (Nestedness Temperature Calculator Program) and NODF (Nestedness metric based on Overlap and Decreasing Fill), considering the presence or absence of parasite species; we also used WNODF (Weighted-NODF) model for parasite abundances. The average of parasitological descriptors and LT of each host species, as well as the indices of nestedness were also calculated and related one another, considering the infracommunity and component community levels. The parasite infracommunity of most fish species exhibited a nestedness pattern structure, with the exception of G. marmoratus and H. chilensis, in some of the LT ranges. No relationship between the nestedness indices and fish LT was found. Nevertheless, direct correlations were observed among nestedness indices, average of richness, abundance and diversity of parasite infracommunity, and an inverse correlation with the parasite total richness (per LT range). Moreover, the nestedness pattern was present in all host species. We concluded that the parasite communities of intertidal fish are structured and predictable, and determined only minimally by the host LTs and the aggregated characteristics of the parasites, particularly at the infracommunity level. Rev. Biol. Trop. 63 (4): 995-1005. Epub 2015 December 01.
Key words: component community, infracommunity, intertidal fish, nestedness, NODF, NTCP, parasites, WNODF.
Los análisis de anidamiento constituyen una importante herramienta para entender los procesos que dan forma a las comunidades, así como para revelar los límites ecológicos y evolutivos de las especies, mostrando ser de gran utilidad en determinar si las comunidades son predictivas o no (Guégan & Hugueny, 1994; McQuaid & Britton, 2013; Timi & Poulin, 2003; Patterson & Atmar, 1986; Wright, Patterson, Mikkelson, Cutler, & Atmar, 1998).
Según Atmar y Patterson (1986), los grupos de especies están anidados si las especies presentes en áreas pobres en especies, son a su vez un subconjunto de áreas que presentan una mayor riqueza de especies. De modo que el anidamiento perfecto tendrá lugar cuando todas las áreas pobres en especies constituyan, a su vez, subconjuntos de los grupos encontrados en las áreas ricas en especies (Almeida-Neto, Guimares, & Lewinson, 2007). El patrón más simple de anidamiento de una comunidad es aquel que contiene al menos una especie dominante y donde varios sitios tienen al menos una especie (Atmar & Patterson, 1993), es decir, aquellas comunidades dominadas por pocas especies es probable que presenten un patrón anidado (González & Poulin, 2005), lo que las convierte en comunidades estructuradas o predecibles.
Los análisis de anidamiento se han aplicado en estudios de comunidades de parásitos (Guégan & Hugueny, 1994; Poulin, 1996; Poulin & Valtonen, 2002; Rohde, Worthen, Heap, Hugueny, & Guégan, 1998), para comprender su estructura y organización, la relación e interacción parásito-hospedero y los factores que influyen en la misma. Esto se debe a que los parásitos constituyen un modelo interesante para el estudio de la estructura de sus comunidades, donde hospederos de la misma especie se consideran hábitats similares en el tiempo y el espacio, pudiendo ser utilizados como unidades de estudio en el contexto de la teoría de la biogeografía de islas (Poulin, 2007). Además, las comunidades de parásitos tienen distintos niveles de organización y pueden ser estudiados en cualquiera de ellos: nivel infracomunitario referente a todos los parásitos presentes en un individuo hospedero, comunidad componente (de una muestra poblacional) que incluye todas las infracomunidades de parásitos de una especie de hospedero, y comunidad compuesta que incluye a todos los parásitos en distintos estado de desarrollo de un ecosistema (Bush, Lafferty, Lotz, & Shostak, 1997).
A pesar de los avances realizados en la parasitología acuática, los resultados sobre estructura comunitaria son variados y a veces contradictorios, siendo difícil averiguar los procesos biológicos implicados en los mismos (González & Poulin, 2005; Poulin, 1996; Poulin 2010; Poulin & Valtonen, 2002; Rohde et al., 1998; Timi & Poulin, 2003). Sin embargo, los resultados del análisis de anidamiento pueden ser relacionados con diversos factores, desde geográficos a ambientales, (Wright et al., 1998), así como con características biológicas de los parásitos o de los hospederos (Matĕjusová, Morand, & Gelnar, 2000; McQuaid & Britton, 2013), lo que permite indagar potenciales procesos que modelan los patrones de anidamiento en las comunidades de parásitos.
Uno de los modelos más empleado, en el estudio de la estructura de las comunidades ha sido el índice de anidamiento o índice de temperatura (T), estimado mediante el programa NTCP (Nestedness Temperature Calculator Program) desarrollado por Patterson y Atmar (1986). Sin embargo en los últimos años han surgido nuevos modelos, como el NODF (Nestedness metric based on Overlap and Decreasing Fill) desarrollado por Almeida-Neto y Ulrich (2011) y variantes del mismo como el WNODF (Weighted-NODF), que considera la abundancia de las especies. Cabe mencionar que los resultados de un modelo pueden diferir bastante con los de otros (Timi & Poulin, 2007), siendo necesario usar varios modelos y distintas opciones para verificar si el patrón de anidamiento es consistente.
En las comunidades de parásitos de peces del intermareal, se ha determinado al tamaño corporal del hospedero como la variable más importante sobre cualquier otra variable, como la dieta del hospedero, la estacionalidad o el lugar de muestreo (Muñoz, 2014; Muñoz & Randhawa, 2011; Muñoz-Muga & Muñoz, 2010). El tamaño corporal del hospedero constituye uno de los factores biológicos más usados, ya que representa el tamaño del hábitat para los parásitos y por lo tanto influye en las características agregadas y la composición de sus infracomunidades (Díaz & George-Nascimento, 2002). Así mismo, se ha encontrado que la riqueza total de especies, abundancias y prevalencias parasíticas se relacionan directamente con el tamaño del hospedero (Poulin, 1996; González & Poulin, 2005). De hecho, en las comunidades de parásitos de peces juveniles se ha observado una baja riqueza, prevalencia y abundancia de parásitos, situación que cambia en peces adultos, debido a las diferencias de tamaños corporales que influyen en la cantidad de parásitos. Por lo tanto, es esperable que peces de menor tamaño corporal presenten patrones azarosos de parásitos, mientras que los peces de mayor tamaño corporal presentan patrones anidados. Esto debido a que las comunidades con bajas riquezas de especies y bajas abundancias suelen presentar un patrón azaroso, ya que el anidamiento de especies está dado por la asociación y frecuencia de especies (Poulin, 2007), lo cual disminuye si la abundancia y la riqueza de parásitos son bajas.
En este estudio se analiza el anidamiento de las infracomunidades y de las comunidades componentes de parásitos en cinco especies de peces del intermareal rocoso de Chile central, como parte de un proyecto de investigación en ejecución, haciendo uso de tres modelos (NTCP, NODF y WNODF): 1) se determina si las infracomunidades de parásitos presentan patrón de anidamiento en función de la longitud total del hospedero, 2) se determina si las comunidades componentes de parásitos en cinco especies de hospederos presentan patrones anidados o azarosos, y 3) se analiza la relación entre los índices de anidamiento y los descriptores comunitarios de parásitos, a nivel infracomunitario y de comunidad componente (Bush et al., 1997).
Materiales y métodos
Se recolectó un total de 2 435 peces intermareales, pertenecientes a cinco especies, en pozas rocosas del intermareal de Chile central (32º02'-33º57' S - 70º30'-70º30' W), entre el periodo de invierno 2006 e invierno 2009, y durante el 2013. Se obtuvieron 825 especímenes de Helcogrammoides chilensis (Tripterygiidae), 630 de Scartichthys viridis (Blenniidae), 142 de Auchenionchus microcirrhis (Labrisomidae), 260 de Gobiesox marmoratus (Gobiesocidae), y 578 de Sicyases sanguineus (Gobiesocidae) (Cuadro 1).

La captura de peces se realizó con redes de acuario con mango, de copa cuadrada (11x12x13 cm), y malla de 1 mm de abertura. Las capturas fueron durante la bajamar, aplicando directamente en las pozas objetivo una solución de anestésico BZ-20 diluido en agua de mar en proporción 1:10, suficiente para adormecer a los peces. Los peces fueron extraídos uno a uno y eutanasiados con sobredosis del anestésico, siguiendo protocolos establecidos por el Comité de Bioética de la Universidad de Valparaíso, referente a los aspectos éticos en el manejo de animales (http://bioetica.investigacion.uv.cl/). Seguidamente, cada espécimen fue introducido en bolsa de plástico y trasladado al laboratorio, donde se procedió al almacenamiento y congelación a -10 ºC. Durante el procesamiento de las muestras, cada individuo fue descongelado, identificado a nivel de especie; usando descripciones y claves taxonómicas, mediante un enfoque morfológico y morfométrico (Mann, 1954; Chirichigno, 1974); medido en su longitud total (LT) y diseccionado para recolectar sus parásitos. Los parásitos obtenidos de cada individuo hospedero, fueron fijados en formalina al 10 % y almacenados en un frasco plástico. Cada frasco fue etiquetado con un número de registro (uno por individuo) y especie de hospedero. Posteriormente se realizó la identificación y clasificación taxonómica de los parásitos (Muñoz & Cortés, 2009).
Para el estudio de las infracomunidades de parásitos se establecieron tres rangos de longitud (R1, R2 y R3) para cada especie de pez, en función de los mínimos y máximos observados entre el total de individuos muestreados (Cuadro 1), agrupando los de mayor longitud en el rango tres y los de menor en el rango uno, y usando como criterio el alcanzar un número de especímenes apropiado en cada rango para los análisis de anidamiento. De este modo, la infracomunidad del presente estudio, estuvo definida como los parásitos presentes en cada uno de los tres rangos de LT establecidos para cada una de las cinco especies analizadas.
Se describió la comunidad de parásitos para cada uno de los rangos de LT establecidos, mediante la riqueza total de especies parásitas, y los promedios de riqueza y abundancia de parásitos (Bush et al., 1997) (Cuadro 2). Así mismo, se realizaron cálculos para analizar la diversidad, mediante el índice de Brillouin y para la dominancia por el índice de Simpson (Cuadro 2) (Magurran, 1988).


Para la comunidad componente de parásitos, i.e. todas las infracomunidades de parásitos por cada especie de hospedero, se calculó los promedios de todos sus descriptores parasitológicos (Cuadro 3), así como el valor promedio de LT por especie hospedera, mediante planillas Excel. Como el tamaño de la matriz podría ser un factor que afectara el resultado de anidamiento, se consideró esta variable, calculada como el número de hospederos parasitados multiplicado por la riqueza total de especies de parásitos. También se usó el porcentaje de interacciones reales parásito-hospedero, calculado como el total de interacciones parásitohospedero dividido por el tamaño de la matriz y multiplicado por 100 (Cuadro 3).
En el análisis del anidamiento de parásitos, tanto a nivel infracomunitario, como de la comunidad componente, se emplearon los modelos del NTCP (Atmar & Patterson, 1993) y el NODF, operando en función de la riqueza de especies; y el WNODF en función de la abundancia (Almeida-Neto & Ulrich, 2011; Ulrich, 2009). En el NTCP se obtuvo un valor de temperatura observada (T) o índice de anidamiento, y otro valor de T simulado a través de la prueba de Monte-Carlo basado en 500 iteraciones aleatorias. La probabilidad estadística del patrón observado se obtuvo a través de la proporción de valores de temperatura simulados (T) que fueron iguales o inferiores a los valores de T observados (Guégan & Hugueny, 1994), considerándose la comunidad anidada cuando los valores de temperatura se aproximan a cero y azarosa cuando lo hace a 100. Mediante el NODF y el WNODF se obtuvieron resultados, observados y simulados, bajo condiciones de equiprobabilidad. En ambos modelos el índice de temperatura indica estructura anidada cuando se aproxima a 100 y azarosa a cero. En todos los modelos se obtuvieron niveles de confianza del 95 % (p < 0.05) (Poulin & Valtonen, 2002), entregados por el propio modelo (NTCP, NODF y WNODF).
Finalmente, se aplicó la correlación de Pearson junto con la corrección de Bonferroni, mediante Statistica v 7, entre los descriptores parasitológicos y los índices de anidamiento (NTCP, NODF y WNOF), tanto a nivel infracomunitario (Cuadro 4) como para la comunidad componente (Cuadro 5).


Resultados
De las cinco especies de peces, se recopiló un total de 11 565 parásitos correspondientes a 32 taxa. Los taxa parasitarios correspondieron a los siguientes grupos: Annelida, Copepoda, Platyhelminthes (Monogenea, Digenea, Cestoda, Turbellaria), Acanthocephala y Nematoda. En S. viridis se recolectaron 6 577 parásitos correspondientes a 22 taxa, en H. chilensis 921 parásitos de 8 taxa, en A. microcirrhis 1 311 parásitos de 17 taxa, en G. marmoratus 666 parásitos de 15 taxa, y en S. sanguineus 1 874 parásitos de 16 taxa. El detalle de las cargas parasitarias en éstos hospederos se encuentran publicadas en Muñoz & Delorme (2011), Muñoz & Castro (2012) y Muñoz (2014).
La riqueza total de parásitos, disminuyó con la LT (rangos) de los hospederos (Cuadro 2), no así la riqueza y abundancia infracomunitaria promedio, ni la diversidad y la dominancia que aumentaron con la LT, especialmente en aquellas especies que alcanzan mayor tamaño corporal, A. microcirrhis, S. sanguineus y S. viridis (Cuadro 2 y Cuadro 4). Sin embargo, en las otras especies de peces, los descriptores parasitológicos no tuvieron un notorio incremento con la LT del pez.
El tamaño de la matriz, en general, disminuyó en el rango de mayor LT (R3) en cada especie de pez (-0.30 > r > -0.99), dado a que el número de hospederos parasitados y la riqueza total de parásitos fue menor en dicho rango de LT (Cuadro 1 y Cuadro 2). Sin embargo, el porcentaje de interacciones parásito-hospedero aumentó a mayor LT en las cinco especies (0.98 > r > 0.79) estando correlacionado negativamente con el número de hospederos (-0.85 > r > -0.99).
Los valores de los índices de anidamiento indicaron que las infracomunidades de parásitos son anidadas. Específicamente, S. sanguineus y S. viridis presentaron comunidades de parásitos anidadas, en los tres rangos de LT, con los tres índices de anidamiento empleados (Cuadro 2). En las otras especies hubo solo algunas diferencias entre los índices, por ejemplo la comunidad de parásitos de A. microcirrhis no fue anidada en el rango mayor de LT (R3) mediante el índice NODF pero sí lo fue según los otros modelos (NTCP y WNODF), mientras que G. marmoratus y H. chilensis tuvieron configuraciones de especies más azarosas en el rango menor (R1) y mayor (R3) de LT, respectivamente, con dos de los modelos utilizados (NTCP y WNODF) (Cuadro 2).
Los coeficientes de correlación entre los índices de anidamiento y los descriptores parasitológicos infracomunitarios de los peces fueron altos para varias de las correlaciones realizadas, pero su valor de significancia estadística ocurrió solo en algunas especies y en algunos modelos de anidamiento, y siendo no significativas en general tras la aplicación de Bonferroni (Cuadro 4), debido al bajo número de datos (N = 3). Sin embargo, destacamos las correlaciones sobre 0.9 para no despreciar aquellos valores altos que a pesar de su falta de significancia son importantes para el análisis global de este estudio. En general, la riqueza total de parásitos se correlacionó negativamente con los índices de anidamiento, mientras que la riqueza promedio se correlacionó positivamente con el índice NCTP (Cuadro 4). Sólo en S. viridis hubo una correlación positiva entre el índice WNODF y la riqueza total de parásitos (Cuadro 4). La abundancia y la diversidad promedio de parásitos tuvo correlaciones positivas con el anidamiento, especialmente con el índice NCTP excepto en G. marmoratus. Con respecto a la dominancia, se observaron correlaciones variadas aunque predominando las positivas; se destaca el caso S. sanguineus donde a mayor dominancia hubo mayor anidamiento, pero contrastando con S. viridis cuyas correlaciones entre las variables difirieron entre índices de anidamiento (Cuadro 4).
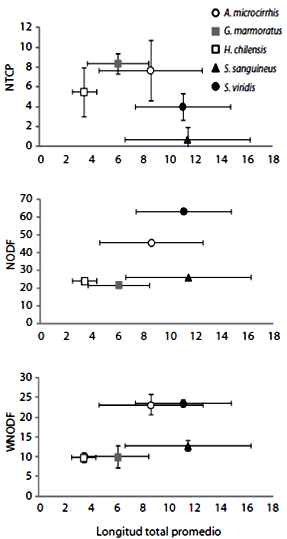
A nivel de la comunidad componente de parásitos, se observaron patrones anidados en las cinco especies analizadas, con valores del NTCP bajos (0.69-8.37), indicando un alto grado de estructuración. Los índices NODF y WNODF mostraron rangos variados, entre 21.7-63.17 y 9.82-23.54, respectivamente (Cuadro 3). Los peces de mayor tamaño, como S. viridis y en algunos casos A. microcirrhis y S. sanguineus mostraron, en general, mayor grado de anidamiento con al menos dos de los índices aplicados (Figura 1).

El índice WNODF se correlacionó significativamente con la riqueza promedio, la abundancia, la dominancia y la diversidad de parásitos, mientras que el NTCP no mostró correlación con ninguno de los descriptores comunitarios (Cuadro 5). En el caso del NODF presentó correlaciones significativas con la riqueza promedio, la dominancia y la diversidad. Independiente del tamaño de la matriz, el porcentaje de interacciones parásito-hospedero observadas no superó el 15 % (Cuadro 3). Esta última variable tampoco se relacionó con ninguno de los descriptores comunitarios de parásitos (0.50 > r > -0.33, p < 0.39) ni con los índices de anidamiento, así como tampoco se observó correlación significativa alguna entre el tamaño de la matriz y los índices (Cuadro 5).
Discusión
Los estudios realizados a la fecha han mostrado resultados muy variables en cuanto a la existencia de anidamiento en las comunidades de parásitos. Algunos autores han encontrado escasa o ninguna evidencia de anidamiento en los sistemas parásito-hospedero (Poulin & Valtonen, 2002; Poulin, 2007), mientras otros estudios indican que las comunidades de parásitos son en general anidadas (Poulin, 1996; Rohde et al., 1998).
En este estudio se detectó que el anidamiento de las infracomunidades de parásitos en peces intermareales, fue generalizado en los tres rangos de LT considerados, independientemente del modelo empleado (NTCT, NODF y WNODF), lo cual rechaza nuestra hipótesis inicial referida a que los peces de menor tamaño tendrían comunidades azarosas dado la baja riqueza y abundancia de parásitos. Las matrices de composición de las comunidades de parásitos entre especies de peces y dentro de los rangos de longitudes corporales en cada una de ellas, fueron distintas en tamaño, factor que puede ser influyente en el anidamiento (Atmar & Paterson, 1993). Sin embargo, se observó que el tamaño de la matriz tuvo poca influencia en el anidamiento ya que incluso en los rangos con menor número de hospederos, las comunidades de parásitos estuvieron anidadas. La ganancia de especies parásitas también es un factor de causa en los patrones anidados; en el R3 de LT había menos especies parásitas totales, pero mayor coexistencia de especies parásitas por hospedero que en otros rangos, de esta forma, el número de relaciones parásitohospedero fue mayor que en las matrices de mayor tamaño, obtenidas de peces pequeños. Esto último resultó importante en los patrones de anidamiento, dado que la asociación entre especies es una característica de la estructura anidada (Poulin, 2007).
En el presente estudio todas las comunidades de parásitos de las cinco especies de peces tuvieron al menos una especie parásita más abundante y frecuente (Muñoz, 2014; Muñoz & Castro, 2012; Muñoz-Muga & Muñoz, 2010; Muñoz & Cortés, 2009) lo que explicaría la presencia del patrón anidado detectado a nivel infracomunitario, especialmente para A. microcirrhis, S. sanguineus y S. viridis; en las que el patrón anidado se presentó consistentemente en las distintas LT y con distintos índices. Sin embargo, H. chilensis y G. marmoratus, presentaron patrones azarosos y / o anidados, que estuvieron asociados a diferentes longitudes corporales e índices de anidamiento; a pesar de que también presentaron cierta dominancia por parte de una especie parásita. Además, aquellas infracomunidades de parásitos con mayor riqueza, abundancia, diversidad y dominancia fueron las que se correlacionaron con el anidamiento. Para el caso del NTCP, hubo correlaciones significativas con la riqueza, abundancia y diversidad de parásitos. En los modelos, NODF y WNODF, no se observaron correlaciones consistentes con los descriptores comunitarios de parásitos, aunque fueron en general positivas.
Los análisis de las comunidades componentes de parásitos mostraron que las cinco especies de peces del estudio, independiente del índice de anidamiento usado, eran anidadas, lo cual manifiesta que los peces del intermareal tienen comunidades de parásitos estructuradas y predecibles.
En este estudio se detectaron algunas diferencias en el resultado de anidamiento mostrado por el NTCP, NODF y WNODF. El índice NTCP tuvo rangos de valores muy bajos siendo coincidente con el anidamiento encontrado. Por otro lado, los valores de NODF y WNOF mostraron rangos muy amplios en los resultados obtenidos. Así mismo, se encontraron valores de NODF y WNOF que a pesar de ser muy bajos (< 10), dieron como resultado patrones anidados (p < 0.05), lo cual los hace inconsistentes.
En resumen, en el presente estudio se observó anidamiento en gran parte de las muestras analizadas, aunque sin una relación directa entre la LT del hospedero y la carga parasitaria o riqueza total como se esperaba. No se observan grandes diferencias entre los resultados obtenidos del análisis de anidamiento realizado mediante los tres índices empleados. Las infracomunidades de parásitos que tenían más especies y mayores abundancias, en su mayoría, tuvieron patrón anidado. Además, las bases de datos pequeñas pero con un mayor número de relaciones especie-hospedero, también presentaron patrones anidados. A pesar de que encontramos algunas relaciones positivas entre los descriptores y los índices de anidamiento, hubo variaciones en los resultados, lo que nos indica que los factores que contribuyen al anidamiento son muy variados, demostrando que la estructuración de las comunidades de parásitos son complejas, siendo modeladas por combinaciones de factores biológicos y ambientales, que en consecuencia hacen difícil analizar y descubrir las variables que realmente les afectan.
Agradecimientos
El presente trabajo corresponde a un seminario de investigación de la primera autora (PAR) dentro del programa de Doctorado en Ciencias, Mención Recursos Naturales Acuáticos, de la Universidad de Valparaíso. Se agradece a los proyectos Fondecyt 11060006 y 1130304 por el financiamiento de este trabajo en distintas etapas de su desarrollo.
Referencias
Almeida-Neto, M., Guimaraes Jr, P.R., & Lewinsohn, T.M. (2007). On nestedness analyses: rethinking matrix temperature and anti-nestedness. Oikos116, 716-722.
Almeida-Neto, M., & Ulrich, W. (2011). A straightforward computational approach for measuring nestedness using quantitative matrices. Environmental Modeling & Software26, 173-178.
Atmar, W., & Patterson, B.D. (1993). The measure of order and disorder in the distribution of species in fragmented habitat. Oecologia96, 373-382.
Bush, A.O., Lafferty, K.D., Lotz, J.M., & Shostak, A.W. (1997). Parasitology meets ecology on its own terms: Margolis et al. revisited. The Journal of Parasitology83, 575-583.
Chirichigno, N. (1974). Clave para identificar a los peces marinos del Perú Perú: Instituto del mar del Perú.
Díaz, F. & George-Nascimento, M. (2002). Estabilidad temporal de las infracomunidades de parásitos en la borrachilla Scartichthys viridis (Valenciennes, 1836) (Pisces: Blenniidae) en la costa central de Chile. Revista Chilena de Historia Natural75, 641-649.
González, M.T., & Poulin, R. (2005). Spatial and temporal predictability of the parasite community structure of a benthic marine fish along its distributional range. International Journal for Parasitology35, 1369-1377.
Guégan, J.F., & Hugueny, B. (1994). A nested parasite species subset pattern in tropical fish: host as major determinant of parasite infracommunity structure. Oecologia 100, 184-189.
Magurran, A.E. (1988). Ecological diversity and its measurements. London, U.K: Croom Helm Ltd.
McQuaid, C.F., & Britton, N.F. (2013). Host-parasite nestedness: A result of co-evolving trait-values. Ecological Complexity13, 53-59.
Mann, G.F. (1954). La vida de los peces en aguas chilenas. Santiago de Chile: Ministerio de Agricultura y Universidad de Chile.
Matĕjusová, I., Morand, S., & Gelnar, M. (2000). Nestedness in assemblages of gyrodactylids (Monogenea: Gyrodactylidea) parasitizing two species of cyprinid - with reference to generalists and specialists. International Journal of Parasitology30 1153-1158.
Muñoz, G. (2014). Parasites communities in the clingfish Gobiesox marmoratus from central Chile. Acta Parasitologica50, 108-114.
Muñoz, G., & Castro, R. (2012). Comunidades de parásitos eumetazoos de peces labrisómidos de Chile central. Revista de Biología Marina y Oceanografía4, 565-571.
Muñoz, G., & Cortés, Y. (2009). Parasite communities of a fish assemblage from the intertidal rocky zone of central Chile: Similarity and host specificity between temporal and resident fish. Parasitology, 1291-1303.
Muñoz, G., & Delorme, N. (2011). Variaciones temporales de las comunidades de parásitos de peces intermareales de Chile central: hospedadores residentes vs temporales. Revista de Biología Marina y Oceanografía 46, 313-327.
Muñoz, G., & Randhawa, H. (2011). Monthly variation in the parasite communities of the intertidal fish Scartichthys viridis (Blenniidae) from central Chile: are there seasonal patterns? Parasitology Research109, 53-62.
Muñoz-Muga, P. & Muñoz, G. (2010). Comunidades de parásitos de Scartichthys viridis (Pisces: Blenniidae) de Chile central: localidad vs. longitud del hospedador. Revista de Biología Marina & Oceanografía45, 165-169.
Patterson, B.D., & Atmar, W. (1986). Nested subsets and the structure of insular mammalian faunas and archipelagos. Biological Journal of the Linnean Society28, 65-82.
Poulin, R. (1996). Richness, nestedness, and randomness in parasite infracommunity structure. Oecologia 105, 545-551.
Poulin, R . (2007). Evolutionary Ecology of ParasitesPrinceton: Princeton University Press.
Poulin, R. (2010). Network analysis shining light on parasite ecology and diversity. Trends in Parasitology 26, 492-498.
Poulin, R., & Valtonen, E.T. (2002). The predictability of helminth community structure in space: a comparison of fish populations from adjacent lakes. International Journal for Parasitology 32, 1235-1243.
Rohde, K., Worthen, W.B., Heap, H., Hugeny, B., & Guégan, J.F. (1998). Nestedness in assemblages of metazoan ecto- and endoparasites of marine fish. International Journal for Parasitology 28 543-549.
Timi, J.T., & Poulin, R. (2003). Parasite community structure within and across host populations of a marine pelagic fish: how repeatable is it? International Journal for Parasitology 33, 1353-1362.
Timi, J.T., & Poulin, R. (2007). Different methods, different results: Temporal trends in the study of nested subset patterns in parasite communities. Parasitology 135, 131-138.
Ulrich, W. (2009). Nestedness analysis as a tool to identify ecological gradients. Ecological Questions11, 27-34.
Wright, D.H., Patterson, B.D., Mikkelson, G.M., Cutler, A. & Atmar, W. (1998). A comparative analysis of nested subset patterns of species composition. Oecologia 113, 1-20.