Articles
A case of successful restoration of a tropical wetland evaluated through its Odonata (Insecta) larval assemblage
A case of successful restoration of a tropical wetland evaluated through its Odonata (Insecta) larval assemblage
Revista de Biología Tropical, vol. 63, no. 4, 2015
Universidad de Costa Rica
Received: 03 September 2014
Accepted: 08 July 2015
Abstract: Wetlands are important wildlife habitats that also provide vital services for human societies. Unfortunately, they have been disappearing due to human activities such as conversion to farmland, pollution, habitat fragmentation, invasion of alien species, and inappropriate management, resulting in declines in species diversity, wildlife habitat quality, and ecosystem functions and services. In some countries, many programs and actions have been undertaken to reverse the rate of wetland loss by restoring, creating and constructing new wetlands. We report on the assessment of Odonata larvae from a tropical and putatively restored wetland located in the La Mancha Biological Station, CICOLMA (LM, Ramsar site #1336), Veracruz, Mexico. Larval surveys were performed during the 2010 and 2011 dry and rainy seasons in both LM and a reference site, Cansaburro (CB), located approximately 2 km South of LM. Twelve samples were collected during each survey using a D-frame aquatic net (0.2 mm mesh size), sweeping 1 m2 areas along shorelines using a random design. The effect of site, season and year on Odonata larval abundance was explored and diversity and abundance patterns of the assemblages were compared. A total of 3 718 larvae from 25 species (five Zygoptera and 20 Anisoptera) in 14 genera and three families were collected from both wetlands. Species number was equal in both wetlands although abundance was significantly higher in LM. Renyi´s diversity profiles and species abundance patterns (rank abundance curves) in both sites were similar, suggesting an apparent recovery at LM. Differences in species composition (sites shared 13 species), and species dominance between both assemblages were observed and were related to differences in the aquatic plant structure between both wetlands as a result of extensive plant management in LM and cattle grazing in CB. Most evidence derived from this work shows that the LM wetland may be recovered. Rev. Biol. Trop. 63 (4): 1043-1058. Epub 2015 December 01.
Key words: wetlands, Ramsar site, restoration, dragonflies, diversity, Veracruz, Mexico.
Resumen : Los humedales son hábitats importantes para la vida silvestre y también proporcionan servicios vitales para la sociedad que, por desgracia, han ido desapareciendo debido al uso del suelo que produce una disminución en la diversidad de especies, la calidad del hábitat de vida silvestre, y de la función de los ecosistemas. En algunos países se han llevado a cabo programas y acciones para revertir la tasa de pérdida de los humedales mediante la restauración, la creación y la construcción de nuevos humedales. En este trabajo se reporta un estudio numérico de las larvas de odonatos de un humedal tropical asumido como restaurado, localizado en la Estación de Biología La Mancha, CICOLMA (LM, sitio Ramsar # 1336), Veracruz, México. Los muestreos de las larvas se realizaron durante las estaciones de secas y lluvias de 2010 y 2011 tanto en LM como en el sitio de referencia Cansaburro (CB) situado a unos 2 km al sur de LM. Se tomaron doce muestras al azar en las orillas durante cada recolecta en cada sitio utilizando una red acuática D-net (abertura de malla de 0.2 mm) barriendo una área aproximada de 1 m2. El efecto del sitio, la temporada y el año sobre la abundancia de larvas fue explorado y los patrones de diversidad y abundancia de ambas comunidades fueron comparadas. Un total de 3 718 larvas de 25 especies (cinco Zygoptera y 20 Anisoptera) de 14 géneros y tres familias se obtuvieron de ambos humedales. El número de especies fue igual en ambos humedales aunque la abundancia fue significativamente mayor en LM. Los perfiles de diversidad de Renyi y los patrones de abundancia de especies (curvas de rango abundancia) en ambos sitios fueron similares sugiriendo una evidente recuperación de LM. Las diferencias observadas en la composición de especies (los sitios compartieron 13 especies) y la dominancia de las especies entre ambas comunidades se explica con base en las diferencias en la estructura vegetal acuática entre los dos humedales que es principalmente el resultado de una amplio manejo en LM y del pastoreo de ganado en CB. La mayoría de las pruebas derivadas de este trabajo muestran que el humedal de LM puede estar recuperado.
Palabras clave: humedales, sitio Ramsar, restauración, odonatos, diversidad, Veracruz, México.
Wetlands provide vital services for human society such as food, building material, flood mitigation, aquifer recharge, climate regulation, carbon storage, and recreational and tourism opportunities (Joyce, 2012; Mitsch & Gosselink, 2007). As wildlife habitat, wetlands are also important because survival is, in many cases, totally dependent on the existence of these habitats (Sharma & Rawat, 2009).
Unfortunately, wetlands have been disappearing due to human activities such as conversion to farmlands, pollution, habitat fragmentation, invasion of alien species, and inappropriate management (Zedler & Kercher, 2005), resulting in declines in wetland species diversity, wildlife habitat quality, and ecosystem functions and services. Fortunately, many programs and actions have been undertaken worldwide to reverse the rate of wetland loss by restoring, creating and constructing new wetlands (Bang, 2001; Bradshaw, 1996). This is consistent with the Ramsar Council, Iran, 1971, whose aim is "the conservation and wise use of all wetlands through local, regional and national actions and international cooperation, as a contribution towards achieving sustainable development throughout the world". Currently, this common effort intends "to halt the worldwide loss of wetlands and to conserve, through wise use and management, those wetlands that remain".
In Mexico, the La Mancha-El Llano wetland (LM) represents one of many wetlands in the state of Veracruz. This system is known as an important site of ecological and biological interest as it has been included in the Ramsar list of International Important Wetlands (Ramsar site number 1336). The Center for Coastal Research La Mancha (CICOLMA Biological Station) is part of this Ramsar site. Recently, this site was restored with regard to its aquatic and semi-aquatic herbaceous vegetation (López-Rosas et al., 2010).
The use of aquatic insect assemblage structure is an important tool in monitoring successional changes during restoration (Heino, 2009) because aquatic insects use multiple habitats for different life stages and habits, and respond to the vegetation structure in each habitat they occupy. Particularly, dragonflies and damselflies are a constant component of the freshwater aquatic fauna, and as obligate predators, they play important roles in the balance of aquatic invertebrate communities. Although odonates generally show little response to particular terrestrial or aquatic plant species (Foote & Hornung, 2005), their diversity and abundance is often positively correlated with the structure and abundance of vegetation (Campbell & Novelo-Gutiérrez, 2007; Mabry & Dettman, 2010; Remsburg & Turner, 2009). Thus, successive changes in plant regeneration are positively correlated with the diversity of Odonata, and their increased diversity can be seen as an indicator of changes resulting from successful wetland management (Catling, 2005; Clark & Samways, 1996; Sahlén & Ekestubbe, 2001; Steward & Downing, 2008). Although the role of Odonata as biondicators is well documented (Carle, 1979; Clark & Samways, 1996; Mabry & Dettman, 2010), to date they are a poorly evaluated insect group at La Mancha (Peralta-Peláez, Deloya, & Moreno-Casasola, 2007). It has been suggested that many species, especially those which are endo- and epiphytic ovipositors, are strongly dependent on the abundance and diversity of floating and submerged vegetation (Butler & deMaynadier, 2008; Westfall & May, 1996), suggesting they may be good bioindicators of the conservation status of aquatic vegetation structure. Also, the diversity and abundance of Odonata can be adversely affected by the removal or disturbance of riparian vegetation where adults perch, refuge, emerge, forage, and reproduce (Foote & Hornung, 2005). Thus, vegetation provides critical habitat for odonates throughout their life-cycles (Corbet, 1999; Stewart & Samways, 1998).
The objective of this work was to assess the structure of the Odonata larval assemblage in La Mancha (LM), and compare it to Cansaburro (CB) wetland, assumed a priori as a reference site because never has been desiccated by invasive grass (pers. comm. local inhabitants), in order to assess the success of the recovery program. Our hypothesis was that species diversity from LM is equal to that from CB, implying that recovery was successful and had promoted the establishment of a similar odonate assemblage in LM. Rejection of this hypothesis may imply that: 1) recovery is not complete, or 2) that recovery has exceeded expectations if LM diversity is greater than that of CB.
Materials and methods
Study area: The wetland in CICOLMA had been invaded and almost desiccated by antelope grass Echinochloa pyramidalis (Lam.) Hitchc. & Chase, which was introduced for grazing purposes in the 1960's. E. pyramidalis is a highly invasive grass which has caused declines in biodiversity because it replaces most of the native plant species such as bulltongue (Sagittaria lancifolia L.), pickerelweed (Pontederia sagittata C. Presl), and Southern cattail (Typha domingensis Pers.) (López-Rosas, Moreno-Casasola, Mendelssohn, 2005). The recovery program began in March 2007, and consisted of removing antelope grass in about 2.6 ha by manipulating the level of inundation that maintained it over 16 continuous months. This action opened space for aquatic and sub-aquatic native plants to germinate and establish, resulting in an herbaceous marsh known locally as "popal", and to promote successional changes in biodiversity (Moreno-Casasola, Sánchez-Higueredo, Vázquez, & López-Rosas, 2012). Thus, the first evaluation of the popal restoration at LM was carried out a short time later, and was considered successful based only on aquatic and sub-aquatic vegetation (López-Rosas et al., 2010), where aquatic macroinvertebrates were not included.
The CICOLMA is located on the Gulf Coast of the state of Veracruz, Mexico, in the Municipality of Actopan (19°36'00" N - 96°22'40" W), at 10 masl (Figure 1), 24.5 km N of Cardel on the federal highway Cardel-Nautla (Moreno-Casasola, 2006). The reserve covers 23 ha of which approximately 2.6 ha correspond to the wetland. The climate is humid tropical (Aw1) with summer rainfall annually averaging 1 550 mm, with an average annual temperature above 22 °C and the temperature in the coldest month 18 °C (López-Portillo, Lara-Domínguez, Ávila-Ángeles, & Vázquez-Lule, 2009). During the rainy season (June to October), the average monthly precipitation and temperature were 224 mm ( ± 25 mm) and 30 °C ( ± 3.5°C), respectively, while for the dry season (November to April), they were 44 mm ( ± 37 mm) and 22 °C ( ± 3 °C). La Mancha is a mixed wetland where the primary water source is the Gallegos creek-pipe (75 %), and the remaining 25 % provided by rainfall (Moreno-Casasola 2015, pers. comm.; López-Portillo et al., 2009). During this study we observed patches of Sagittaria lancifolia (Alismataceae), Pontederia sagittata (Pontederiaceae), Typha domingensis (Typhaceae), Nymphaea spp. (Nymphaeaceae), Cyperus spp. (Cyperaceae), Salvinia auriculata Aubl. (Salviniaceae), Spirodela polyrrhiza (L.) Schleid and Lemna minor L. (Araceae), with some isolated individuals of Pachira aquatica Aubl. (Malvaceae), surrounded by remnants of tropical forest. It is a eutrophic system with a thick layer of plant detritus on the bottom, and a permanent water column in some areas. The reference site, Cansaburro (CB), also located in the Actopan municipality, at 20 masl (19º33'00'' N - 96º22'41'' W), is a 6 ha plot having a coastal dune system along the oriental margin. This site was selected for comparative purposes because of its proximity to LM (about 2 km directly South), it belongs to the same geomorphological unit, is a mixed wetland filled by rains and subterranean water (Moreno-Casasola 2015, pers. comm.), has acceptable coverage of aquatic vegetation, has no dredging or diversion activities, and has easy accessibility, although it does have some influence from cattle grazing along its periphery. This wetland is composed of large patches of Pistia stratiotes L. (Araceae), Typha domingensis, Thalia geniculata L. (Marantaceae) and emergent grasses, smaller patches of Cyperus spp. and Nymphaea spp., and some isolated individuals of Pachira aquatica and Crinum americanum L. (Amaryllidaceae). It is a widely open wetland surrounded by large areas covered with abundant grasses, including Cynodon plectostachyus (K. Schum.) Pilg. and Echinochloa pyramidalis.
It is also a eutrophic system with large amounts of detritus (peat) in the bottom.

Sampling: Odonate larval surveys were performed during the dry and rainy seasons in both sites during 2010 and 2011 as follows: LM (dry: April 28, 2010 and May 24, 2011; rainy: October 12, 2010 and September 9, 2011); CB (dry: April 29, 2010 and May 24, 2011; rainy: October 13, 2010 and September 22, 2011). Twelve samples were collected during each survey (48 samples per site, 96 samples in total) using a D-frame aquatic net (0.2 mm mesh size), sweeping 1 m2 areas randomly along shorelines. All samples were sorted within 24 h after collection and collected specimens were preserved in 80 % ethanol. Additionally, adults were collected each time for taxonomical references. A Carl Zeiss Stemi 2000 C dissecting stereomicroscope was used for species identification. All specimens were deposited in the Entomological Collection at the Instituto de Ecología, A.C., Xalapa, Veracruz, Mexico (IEXA).
A three-way ANOVA was used to explore site, season and year effects on Odonata larval abundance transformed as log (x + 1) (Zar, 2010). This transformation allowed for the assumptions of normality and homoscedasticity to be met. If a significant effect was found in interactions, a multiple paired Bonferroni test was then used (Zar, 2010). This was performed using Statistica version 7.1 (StatSoft, 2006).
To analyze the abundance distributions of both assemblages, rank-abundance species plots (Whittaker, 1965) were generated in an Excel Spreadsheet, which displayed logarithmic species abundances against species rank order. Rank abundance curves were plotted with rank from the most abundant species to those least abundant on the horizontal axis, with the log of proportional abundance on the vertical axis. The last data point corresponds to the number of species observed, and the first point shows the degree to which the community is dominated by the most abundant species. The slope of the declining graph indicates evenness with more even communities producing flatter graphs. We compared the LM and CB rank abundance structure using a Kolmogorov-Smirnov two-sample test (Magurran, 2004; Rex, Kelm, Wiesner, Kunz, & Voigt, 2008; Sokal & Rohlf, 2012).
Rényi diversity profiles (Jakab, Müller, Dévai, & Tóthmérész, 2002; Tóthmérész, 1995; Tóthmérész, 1998), which provide information on richness and evenness of assemblages, were used for comparing diversity (Southwood & Henderson, 2000). Rényi's function is dependent on a scalar parameter, alpha. When the value of alpha is low, the method is extremely sensitive to the presence of rare species. As the value increases, diversity is less sensitive to rare species. At high values, the method is sensitive only to common species. The result of this scale-dependent characterization of diversity can be used in a graphical form to visualize the diversity relationships of assemblages. This curve is usually called 'the diversity profile of the assemblage' (Horváth, 2014) and curves of two diversity profiles may intersect. For two assemblages, the intersection of the profiles means that one of them is more diverse in rare species, while the other is more diverse in common species. The Species Diversity and Richness package 3.0 (Seaby & Henderson, 2007) was employed to generate the profiles.
Subsequently, the Shannon diversity index (H'), the Simpson index (S) and Pielou's equitability (J) were used to provide a measure of relative diversity and evenness for larvae assemblages, respectively. The values of H', S and J were then tested using bootstrapping and permutation methods implemented in PAST version 2.17b (Hammer, Harper, Ryan, & 2001). The effective number of species was calculated according to Jost (2006) as exp H . Finally, the faunal similarity for incidence data using the Sorensen index and for abundance data using the Bray-Curtis index was evaluated in PC-ORD version 4.5 (McCune & Grace, 2002).
Results
Richness and composition: A total of 3 718 larvae from 25 species (five Zygoptera and 20 Anisoptera) in 14 genera and three families were collected from both wetlands (Table 1). Numerically dominant species across sites were: Erythemis attala (29.5 %), Micrathyria dissocians (17.9 %) and Telebasis digiticollis (11.9 %). Libellulidae was the most diverse family with 18 species (72 %) as was the genus Erythemis with five species, while only two species of Aeshnidae were recorded, Coryphaeschna adnexa and Remartinia luteipennis florida. Among the Zygoptera, only five species were recorded, with Telebasis digiticollis (11.9 %) as dominant. Approximately 48 % of the species had a relative abundance lower than 1 %. Differences in composition expressed by the Sorensen index were 68 % and quantitative similarity was 60 % (Bray-Curtis index).

A total of 2 347 larvae from 19 species (four Zygoptera and 15 Anisoptera) in 12 genera and three families were collected at LM. Numerically dominant species were E. attala (27.1 %), M. dissocians (23 %) and T. digiticollis (15.1 %). A total of 1 371 larvae from 19 species (five Zygoptera and 14 Anisoptera) in 11 genera and three families were collected at CB. Numerically dominant species were: E. attala (33.77 %), Micrathyria aequalis (10.4 %) and M. dissocians (9.3 %).
Abundance: The three-way ANOVA showed significant effects on larval abundance for the evaluated sites (F1, 84 = 4.91, p = 0.029), seasons (F1, 84 = 10.99, p = 0.001), and interactions of site*year (F1, 84 = 15.83, p = 0.0001), site*season (F1, 84 = 15.13, p = 0.0002) and site*year*season (F1, 84 = 12.74, p = 0.0006). There was no significant effect of collecting year or year*season interaction (p > 0.05). Larval averages for sites, years, seasons, and interactions are shown in Table 2. Among the significant results is that the average number of larvae was higher in LM than in CB, as well as during the rainy season. Post hoc paired Bonferroni tests showed that there were more larvae in LM than in CB during 2011, and more larvae during the rainy than the dry season in LM. Additionally, for the interaction of site*year*season, there were only five differences: the average number of larvae in La Mancha during the 2010 dry season (LMd-10, see abbreviations in Table 1) was lower than that of LMr-10 and was different from LMr-11. Also, the average of LMr-10 was higher than CBd-11, while that of LMr-11 was higher than those for CBr and CBd.

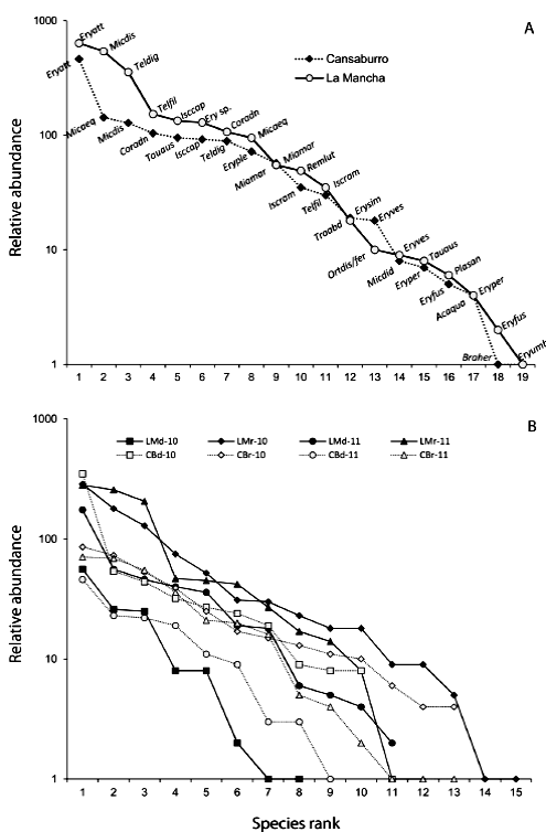
Species abundance structure: There was no significant difference in species abundance structure between both assemblages (Kolmogorov-Smirnov two sample test, (p > 0.05). However, differences in species assemblage composition (Sorensen index = 68 %, BrayCurtis = 60 %) and dominance order were found (Figure 2 A). Four libellulids and one aeshnid dominated in CB, while two libellulids and three coenagrionids dominated in LM. Dominance of E. attala was stronger in CB, followed by M. aequalis, M. dissocians, C. adnexa and T. australis, while in LM E. attala dominated, followed by M. dissocians, Telebasis digiticollis, T. filiola and Ischnura capreola.

Seasonal variation of dominance: Species abundance patterns were more stable in CB than in LM (Figure 2 B). The four patterns in CB (dotted line) were included within of the range of variation of LM patterns (solid line). Dry season assemblages in LM showed high dominance in 2010 and 2011 due to T. filiola (44.1 %) and E. attala (43 %), respectively (Table 1), while during the rainy season, assemblages with greater evenness were observed, with the dominance of M. disscocians (33.1 %) and T. digiticollis (29.7 %) in 2010 and 2011, respectively. On the other hand, higher dominance was observed in CB during the 2010 dry season due to E. attala (60.8 %), while during the 2011 dry season, Miathyria marcella (33.6 %) dominated the assemblage. During the 2010 rainy season, two species dominated, M. aequalis (24.2 %) and E. attala (20.5 %), while during the 2011 rainy season, M. dissocians (23.5 %) and Erythemis plebeja (22.8 %) dominated.
Diversity: The Rényi diversity profiles (Figure 3 A) showed slight effects of rare and dominant species (similar species evenness), so both diversity patterns were similar. Figure 3 B showed no clear grouping of diversity patterns for LM or CB, rather LM patterns were included within the CB range of diversity variation. More variation in species number was observed in LM when alpha = 0 than when alpha varied from 1 to 3 (near to the Shannon, Simpson and Berger-Parker indices, respectively) (Figure 3 B), showing that the diversity in LM was more uniform and similar. Higher diversity occurred in CB during the rainy season in both 2010 and 2011 because their patterns were located above all others. Although the Shannon diversity and richness patterns appeared similar over the two years between sites (Figure 4), permutation and bootstrapping (t= -3.79, df= 2811.3, p= 0.0001) showed Shannon diversity was significantly higher in CB (2.25) than in LM (2.12, Table 1). True diversity varied from 4.46 (dry season 2010) to 7.30 (rainy season 2010) in LM, and from 4.33 (dry season 2010) to 8.65 (rainy season 2010) in CB. In general, true diversity was lower in LM (8.31) than in CB (9.48), indicating that LM diversity represented 87.6 % of that in CB. Finally, no clear grouping for sites, seasons or years were observed in the cluster analysis (Figure 5).



Discussion
The Odonata larvae assemblages from La Mancha and Cansaburro possessed an equal number of species, composed mainly of wide-ranging and common species, with most belonging to the neotropical Libellulidae, with Erythemis as the most diverse genus, and dominated numerically by E. attala, followed by M. dissocians and T. digiticollis in LM, and by M. aequalis and M. dissocians in CB. In addition, the faunal similarity between LM and CB was high according to the presenceabsence and abundance data. Cluster analysis suggests both wetlands were very similar in richness and species abundance variation. This can be explained, in part, by the high dispersal capacity of odonates among water bodies. The dispersal power of some zygopterans such as Ischnura elegans and Coenagrion puella almost 200 m (Conrad, Willson, Whitfield, Harvey, Thomas, & Sherratt, 1999) and some Anisopterans such as Hemicordulia spp. (Corduliidae), Anax junius (Aeshnidae) and Pantala flavescens (Libellulidae), which can move hundreds of kilometers, has been reported (Dijkstra, 2007; McLachlan, 1896; Russell, May, Soltesz, & Fitzpatrick 1998).
The most notable difference in composition between both assemblages was observed in libellulids such as E. simplicicollis, Erythrodiplax umbrata, Erythrodiplax spp., Orthemis ferruginea/discolor and Planiplax sanguiniventris, only recorded from LM, while Brachymesia herbida, Erythemis plebeja, Micrathyria didyma, Tauriphila azteca and Tramea abdominalis were only recorded from CB. Meanwhile, all Zygoptera were Coenagrionidae belonging to the genera Telebasis and Ischnura; the exception was Acanthagrion quadratum which was only recorded from CB.
Both assemblages also were similar in the ratio of Zygoptera to Anisoptera (Z/A; 0.27 to 0.31) and Coenagrionidae to Libellulidae (C/L; 0.36 and 0.38) for LM and CB, respectively. In general, we would expect that similar wetlands can hold similar richness and proportions of Z/A and C/L. For example, Wagh and Kurhade (2013) reported 21 species (6 Zygoptera and 15 Anisoptera) from the Nandur Madhmeshwar wetland (India) (Z/A = 0.40 and C/L= 0.29); Altamiranda-S, Pérez-G. and GutiérrezM. (2010) reported 14 species (4 Zygoptera and 10 Anisoptera) from Ciénega de San Juan Tocagua (Colombia) (Z/A = 0.40 and C/L = 0.50); Mabry and Dettman (2010) reported 30 species (9 Zygoptera and 21 Anisoptera) from restored and native wetlands of the Prairie Pothole Region (USA) (Z/A = 0.43 and C/L = 0.32); Reece and McIntyre (2009) reported 24 species (4 Zygoptera and 20 Anisoptera) from a complex wetland in Texas (USA) (Z/A = 0.21 and C/L= 0.16), and Braccia, Voshell and Christman (2007) reported 19 species (5 Zygoptera and 14 Anisoptera) from newly constructed ponds in Virginia (USA) (Z/A = 0.36 and C/L = 0.42). Some of these studies also show great similarity in family or genera composition, agreeing with our findings in LM and CB, and even specific coincidence for some of the dominant species (Altamiranda et al., 2010). In some of these reported assemblages, representative species of Telebasis, Ischnura (Zygoptera), and Erythemis, Erythrodiplax, Libellula or Sympetrum (Anisoptera) tend to be dominant, with equivalent species at certain latitudes-longitudes. For example, Domsic (2009) reported Erythemis simplicicollis as a dominant species from wetlands of the Waterloo Region in Ontario (Canada) and Altamiranda et al. (2010) reported Telebasis filiola as a dominant zygopteran in San Juan Tocagua, Colombia. Differences in Z/A and C/L among our wetlands may be due to differences in wetland size, richness and structure of aquatic and submerged vegetation which allow for the establishment of obligate endophytic species (all Zygoptera and Aeshnidae), and some epiphytic species such as Micrathyria aequalis, which have been observed ovipositing on the undersides of floating leaves while perched on those leaves (Needham, 1943), and other species of Micrathyria (Forster, 1998; Paulson, 1969). Also, Miathyria marcella has been reported as highly dependent on the invasive water hyacinth Eichhornia crassipes (Pontederiaceae) (Beckemeyer, 2009), although we found it associated with floating Pistia stratiotes in CB and Salvinia auriculata in LM. The high abundance of Telebasis digiticollis, T. filiola and I. capreola in both wetlands appears related to the presence of Salvinia auriculata, as was reported for I. capreola by Guillermo-Ferreira and Bispo (2013) who recorded this small zygopteran from a lake in Sao Paulo, Brazil with abundant Salvinia molesta D. Mitch. and Egeria densa Planch. They, as we, also recorded the libellulids M. marcella and Erythrodiplax fusca.
Undoubtedly vegetation structure plays an important role for Odonata richness in wetlands because it provides critical habitat for odonates during larval, adult and emergence phases of their life cycle (Hornung & Rice, 2002). Thus, riparian vegetation provides adult odonates with perch platforms, refuge from predators and wind, as well as habitat cues for oviposition sites (Corbet, 1999; Stewart & Samways, 1998). Aquatic macrophytes reduce the risk of predation for larvae and decrease detection by potential predators (Andersson, 2006), while emergent vegetation provides a platform for odonate emergence (Corbet, 1999). Fewer odonate species have been reported to exist in monotypic stands of invasive Phalaris arundinacea L. or Typha spp. compared to rich stands of plant species in the same site (Mabry & Dettman, 2010).
The difference in oviposition modes among odonates, and their dependence on the availability of aquatic vegetation, have made some authors suggest that the assemblage of damselflies is a good indicator of plant freshwater system integrity, because they are obligate endophytic ovipositors (Butler & deMaynadier, 2008); they use a variety of aquatic plants within which to lay their eggs (stems and leaves), thus depending on the diversity and abundance of these substrates. In fact, oviposition sites can act as foci of territorial activity (Corbet, 1999). It is assumed that endophytic and epiphytic species likely locate suitable oviposition sites through their appearance, morphology and texture. Thus, the dominance of zygopterans such as Telebasis and Ischnura could be correlated with the abundant aquatic and floating vegetation structure at LM and CB. Particularly, the presence of Remartinia can be correlated with the presence of Typha domingensis (Novelo-Gutiérrez, 1998) and Thalia geniculata in CB, and with Sagittaria and Pontederia in LM, because females of these dragonflies are also endophytic ovipositors.
In fact, the differences in the order of species dominance in LM versus CB might be related to the availability of particular substrates or habitats in both wetlands. Some of these substrates may be equivalent in either site, but major differences observed in vegetal composition between sites were due to Thalia geniculata, Pistia stratiotes, Acacia sp. and Crinum sp. which were only observed in CB, while others such as Hydrocotyle, Sagittaria, and Salvinia were only observed in LM. Differences in vegetal structure between LM and CB were also observed with a large number of aquatic plants distributed in patches in LM, while in CB the plant distribution was less diverse and more homogeneous, with a higher predominance of water lettuce Pistia stratiotes and cattail Typha domingensis, with the latter species forming large stands along and close to the shore. In fact, the codominance of T. digiticollis at LM appears related to the availability of large patches of Salvinia auriculata, where the majority of larvae of this species were collected.
Wetland vegetation in LM, which was successfully restored during 2008, increased from 16 to 35 plant species in one year and presently varies between 28-39 species (Moreno-Casasola et al., 2012), has undoubtedly played an important role in the establishment of Odonata. Although the LM wetland has not reached an equilibrium (Moreno-Casasola et al., 2012), the odonate larvae assemblage shows a relative and comparable "maturity" to that of the CB larval assemblage. It is likely that the succession of Odonata and other aquatic insects in LM has been related to vegetation recovery by restoring microhabitat.
Since dominant bottom substrates at both sites were composed of plant detritus (peat), the main modifier of odonate richness and abundance should be related to plant diversity and abundance variation. Moreno-Casasola et al. (2012) mentioned that such plant variation is greatest during the rainy period, remaining so until the end of the year or early in the following year, then reduced during the dry season because of lower water tables (López-Rosas et al., 2010). This agrees well with the fact that species richness and abundance were lower during both dry seasons in LM and CB. This climatic period may not be as dramatic for species such as E. attala, which are mainly dependent on bottom peat, but it is for species with endophytic oviposition. The role of E. attala as a dominant species in both assemblages appears related to the quantity of detritus (peat) because it was a constant substrate in LM samples where the frequency of this species among samples was 94.3 %. Altamiranda et al. (2010) also reported E. attala as one of the most abundant species in a Colombian wetland from San Juan Tacagua, although they related this fact mainly to pH, salinity and turbidity. E. attala may be a pioneer species in the succession process in some tropical wetlands, according to the random fraction model of niche apportionment (Tokeshi, 1990), since this species was the most abundant in our study and that of Altamiranda et al. (2010).
On the other hand, the seasonal dominance of species showed significant changes between sites, but the seasonal dominance patterns do not seem to repeat similarly from year to year. For example, during the 2010 dry season, T. filiola and T. digiticollis dominated in LM by adding 64 % of the abundance (moving E. attala to the third position of abundance), while E. attala dominated in CB, reaching 66 % of the abundance. During the rains of 2010, M. dissocians and E. attala dominated in LM, reaching 53.7 % of the abundance, whereas M. aequalis and E. attala dominated in CB reaching 64.7 % of the abundance. During the 2011 dry season, E. attala and Ischnura capreola dominated in LM reaching 56.8 %, whereas M. marcella, I. capreola and C. adnexa dominated in CB, adding 66.4 % of the abundance. Finally, during the 2011 rainy season, T. digiticollis and M. dissocians dominated in LM, reaching 78.6 % of the abundance, whereas M. dissocians and T. digiticollis dominated in CB, reaching 64.6 % of abundance. In CB there are differential cattle grazing intensity throughout the year, trampling of shoreline microhabitat and deterioration of water quality because of defecation and urination, whereas in LM there is a plant and water filling management program. The physical structure of the aquatic and riparian vegetation in a wetland is crucial to adult odonates for mating and oviposition (Westfall & May, 1996). Trampling of vegetation by grazing cattle negatively impacts odonate species richness and diversity in wetlands. Likewise, some plant species such as Salvinia auriculata, Lemna minor and Spirodela polyrhiza are eventually removed as part of the management in LM as a result of excessive growth and coverage of the water surface, which would otherwise produce system instability and limit oxygen exchange between the atmosphere and water in the marsh, thus preventing the development of other aquatic plant species (Moreno-Casasola et al., 2012). Thus, variation in the Odonata larval assemblage at LM might be related to such management actions.
Furthermore, the variation in richness, composition and structure of Odonata larval assemblages depends on seasonality, as well as in changes in plant richness and composition in a wetland. Vegetation structure depends, in turn, on the variations in water depth, temperature, water movement, physical and chemical properties of the substrate, salinity, water transparency and competition (Mitsch & Gosselink, 2007; Moreno-Casasola et al., 2009), which make wetlands highly heterogeneous systems.
The successful restoration of La Mancha's popal has been supported (López-Rosas et al., 2010). We started with the hypothesis that a recovered popal meant that insect populations were also restored. Statistical tests of permutation and bootstrapping applied to the diversity indices (i.e. H', S, J) rejected the hypothesis of equal assemblages between the two sites, showing that the diversity of La Mancha (i.e. Shannon 2.12) was lower than Cansaburro
(2.25). Yet, Rényi's diversity profiles and rankabundance patterns suggest that both sites have similar Odonata larval assemblages and that La Mancha shows greater diversity compared to Cansaburro. Certainly, the recovery program has been successful, but the results indicate that the diversity of La Mancha is still lower (Table 1) than that of the reference site. It is possible that other Odonata species could yet arrive and successfully establish in La Mancha in subsequent years. The ecological implications arising from the acceptance of both LM and CB as similar sites is that LM was appears to have recovered in a short time due to the eradication of Antelope grass, repopulating the area with original wetland plant species and followed by maintenance. Finally, and also linked to the successful development of a recovery program, would be the aesthetic value this site has acquired ecotouristically.
Acknowledgments
We thank Gonzalo Castillo (INECOL) for the determination of several aquatic plants. Special thanks are due to Patricia Moreno-Casasola for her critical review which improved an early version of the manuscript and to W. Bruce Campbell who provided comments and revised the context, spelling and English syntax. This study was supported by CONACyT grant No. 106451.
References
Altamiranda-S., M., Pérez-G., L. A., & Gutiérrez-M., L. C. (2010). Composición y preferencia de microhábitat de larvas de Odonata (Insecta), en la ciénaga de San Juan de Tocagua (Atlántico, Colombia). Caldasia, 32, 399-410.
Andersson, D. (2006)Effect of the diversity, ecology and composition of species of fish on the odonate community (Master's Thesis). Halmstad University, Sweden.
Bang, C. (2001). Constructed wetlands: high-quality habitats for Odonata in cultivated landscapes. International Journal of Odonatology, 4, 1-15.
Beckemeyer, R. J. (2009). First record of the dragonfly Miathyria marcella (Selys) for Kansas (Odonata: Anisoptera: Libellulidae). Transactions of the Kansas Academy of Science, 112, 130-132.
Braccia, A., Voshell, J. R., & Christman, V. D. (2007). The Odonata of newly constructed ponds with life history and production of dominant species. Aquatic Insects: International Journal of Freshwater Entomology, 29, 115-130.
Bradshaw, A. D. (1996). Underlying principles of restoration. Canadian Journal of Fisheries and Aquatic Science, 53, 3-9.
Butler, R. G., & deMaynadier, P. G. (2008). The significance of littoral and shoreline habitat integrity to the conservation of lacustrine damselflies (Odonata). Journal of Insect Conservation, 12, 23-36.
Campbell, W. B., & Novelo-Gutiérrez, R. (2007). Reduction in odonate phylogenetic diversity associated with dam impoundment is revealed using taxonomic distinctness. Fundamental and Applied Limnology, 168, 83-92.
Carle, F. L. (1979). Environmental monitoring potential of the Odonata, with a list of rare and endangered Anisoptera of Virginia, United States. Odonatologica, 8, 319-323.
Catling, P. M. (2005). A potential for the use of dragonfly (Odonata) diversity as a bioindicator of the efficiency of sewage lagoons. The Canadian Field Naturalist, 119, 233-236.
Clark, T.E., & Samways, M.J. (1996). Dragonflies (Odonata) as indicators of biotope quality in Kruger National Park, South Africa. Journal of Applied Ecology, 33, 1001-1012.
Conrad, K.F., Willson, K.H., Whitfield, K., Harvey, I.F., Thomas, C.J., & Sherratt, T. N. (1999). Dispersal characteristics of seven odonate species in an agricultural landscape. Ecography, 22, 524-553.
Corbet, P.S. (1999). Dragonflies. Behavior and Ecology of Odonata. Ithaca: Comstock.
Dijkstra, K.D. (2007). Gone with the wind: westward dispersal across the Indian Ocean and island speciation in Hemicordulia dragonflies (Odonata: Corduliidae). Zootaxa, 1438, 27-48.
Domsic, K. (2009). Odonata exuviae as indicators of wetland restoration success in the Waterloo Region, Ontario Retrieved from https://uwaterloo.ca/environment-resource-studies/sites/ca.environmentresource-studies/files/uploads/files/2009Domsic490.pdf
Foote, A.L., & Hornung, C.L.R. (2005). Odonates as biological indicators of grazing effects on Canadian prairie wetlands. Ecological Entomology, 30, 273-283.
Forster, S. (1998). Oviposition high above water in Micrathyria dictynna Ris (Anisoptera: Libellulidae)., Odonatologica 27, 365-369.
Guillermo-Ferreira, R., & Bispo, P.C. (2013). Description of the larva of Telebasis griffinii (Martin, 1896) (Zygoptera: Coenagrionidae)., Odonatologica 42, 403-407.
Hammer, Ø., Harper, D.A.T., & Ryan, P.D. (2001). PAST: Paleontological Statistics Software Package for Education and Data Analysis. Palaeontologia Electronica. Retrieved from http://palaeo-electronica.org/2001_1/past/issue1_01.htm.
Heino, J. (2009). Biodiversity of aquatic insects: spatial gradients and environmental correlates of assemblage-level measures at large scales. Freshwater Reviews, 2, 1-29.
Hornung, J.P., & Rice, C.L. (2002). Odonata and wetland quality in southern Alberta, Canada: a preliminary study., Odonatologica 32, 119-129.
Horváth, R., Elek, Z., & Lövei, G.L. (2014). Compositional changes in spider (Araneae) assemblages along an urbanisation gradient near a Danish town. Bulletin of Insectology, 67, 255-264.
Jakab, T., Müller, Z., Dévai, G.Y., & Tóthmérész, B. (2002). Dragonfly assemblages of a shallow lake type reservoir (Tisza-Tó, Hungary) and its surroundings. Acta Zoologica Academiae Scientiarum Hungaricae, 48, 161-171.
Jost, L. (2006). Entropy and diversity. Oikos, 113, 363-374.
Joyce, C. (2012). Preface: wetlands services and management. Hydrobiologia, 692, 1-3.
López-Portillo, J., Lara-Domínguez, A.L., Ávila-Ángeles, A., & Vázquez-Lule, A. D. (2009). Caracterización del sitio de manglar La Mancha, en Comisión Nacional para el Conocimiento y Uso de la Biodiversidad (CONABIO). Sitios de manglar con relevancia biológica y con necesidades de rehabilitación ecológica. México, D.F.: CONABIO.
López-Rosas, H., López-Barrera, F., Moreno-Casasola, P., Aguirre-León, G., Cázares-Hernández, E., & Sánchez-Higueredo, L. (2010). Indicators of recovery in a tropical freshwater marsh invaded by an African grass. Ecological Restoration, 28, 324-333.
López-Rosas, H., Moreno-Casasola, P., & Mendelssohn, I.A. (2005). Effects of an African grass invasion on vegetation, soil and interstitial water characteristics in a tropical freshwater marsh in La Mancha, Veracruz (Mexico). Journal of Plant Interactions, 1, 187-195.
Mabry, C., & Dettman, C. (2010). Odonata richness and abundance in relation to vegetation structure in restored and native wetlands of the Prairie Pothole Region, USA., Ecological Restoration 28, 475-484.
Magurran, A. E. (2004). Measuring Biological Diversity. Oxford: Blackwell Publishing, Oxford.
McCune, B., & Grace, J. B. (2002). Analysis of Ecological Communities. Oregon: M.J.M. Publishers.
McLachlan, R. (1896). Oceanic migration of a nearly cosmopolitan dragonfly (Pantala flavescens, F)The Entomologist's Monthly Magazine7, 254.
Mitsch, W.J., & Gosselink, J.G. (2007). Wetlands. New York: J. Wiley and Sons, Inc.
Moreno-Casasola, P. (Ed.). (2006). Entornos Veracruzanos: La Costa de La Mancha. Xalapa: Instituto de Ecología, A.C.
Moreno-Casasola, P., López-Rosas, H., Infante-Mata, D., Peralta, L.A., Travieso-Bello, A. C., & Warner, B. G. (2009). Environmental and anthropogenic factors associated with coastal wetland differentiation in La Mancha, Veracruz, Mexico. Plant Ecology, 200, 37-52.
Moreno-Casasola, P., Sánchez-Higueredo, L., Vázquez, J., & López-Rosas, H. (2012). Cambios en la composición de la comunidad vegetal después de la restauración de un humedal tropical en Veracruz, México. CienciaUAT, 21, 52-57.
Needham, J. G. (1943). Life history notes on Micrathyria. Annals of the Entomological Society of America, 36, 185-189.
Novelo-Gutiérrez, R. (1998). Description of the larva of Remartinia secreta and notes on the larva of Remartinia luteipennis florida (Odonata: Aeshnidae). Canadian Entomologist, 130, 893-897.
Paulson, D.R. (1969). Oviposition in the tropical dragonfly genus Micrathyria (Odonata: Libellulidae). Tombo, 12, 12-16.
Peralta-Peláez, L.A., Deloya, C., & Moreno-Casasola, P. (2007). Insectos acuáticos asociados a las lagunas interdunarias de la región central del estado de Veracruz, México. Neotropical Entomology, 36, 342-355.
Reece, B.A., & McIntyre, N.E. (2009). Community assemblage patterns of odonates inhabiting a wetland complex influenced by anthropogenic disturbance. Insect Conservation and Diversity, 2, 73-80.
Remsburg, A.J., & Turner, M.G. (2009). Aquatic and terrestrial drivers of dragonfly (Odonata) assemblages within and among north-temperate lakes. Journal of the North American Benthological Society, 28, 44-56.
Rex, K., Kelm, D.H., Wiesner, K., Kunz, T.H., & Voigt, C.C. (2008). Species richness and structure of three Neotropical bat assemblages. Biological Journal of the Linnaean Society, 94, 617-629.
Russell, R.W., May, M.L., Soltesz, K.L., & Fitzpatrick, J.W. (1998). Massive swarm migrations of dragonflies (Odonata) in Eastern North America. The American Midland Naturalist, 140, 325-342.
Sahlén, G., & Ekestubbe, K. (2001). Identification of dragonflies (Odonata) as indicators of general species richness in boreal forest lakes. Biodiversity and Conservation, 10, 673-690.
Seaby, R.M., & Henderson, P.A. (2007). Species Diversity and Richness IV. Lymington: Pisces Conservation Ltd.
Sharma, R.C., & Rawat, J.S. (2009). Monitoring of aquatic macroinvertebrates as bioinidicators for assessing the health of wetlands: a case study in the central Himalayas, India. Ecological Indicators, 9, 118-128.
Sokal, R.R., & Rohlf, F.J. (2012). Biometry: The Principles and Practice of Statistics in Biological Research. New York: W.H. Freeman and Co.
Southwood, T.R.E., & Henderson, P.A. (2000). Ecological Methods. Oxford: Blackwell Science Publishers.
StatSoft. (2006). STATISTICA (data analysis software system and computer program manual) (Version 7.1) [Computer Software]. Tulsa: StatSoft Inc.
Steward, T. W., & Downing, J. A. (2008). Macroinvertebrate communities and environmental conditions in recently constructed wetlands., Wetlands 1, 141-150.
Stewart, D., & Samways, M.J. (1998). Conserving dragonfly (Odonata) assemblages relative to river dynamics in an African game reserve. Conservation Biology, 12, 683-692.
Tokeshi, M. (1990). Niche apportionment or random assortment: species abundance patterns revisitedJournal of Animal Ecology59, 1129-1146.
Tóthmérész, B. (1995). Comparison of different methods for diversity ordering. Journal of Vegetation Science, 6, 283-290.
Tóthmérész, B. (1998). On the characterization of scaledependent diversity. Abstracta Botanica22, 149-156.
Wagh, P., & Kurhade, S. (2013). Odonata of Nandur Madh'yieshwar wetland, a proposed Ramsar site in Maharashtra, India. Notulae, Odonatologica 8, 17-36.
Westfall, M., & May, M. (1996). Damselflies of North America. Gainseville: Scientific Publishers, Inc.
Whittaker, R.H. (1965). Dominance and diversity in land plant communities. Science, 147, 250-260.
Zar, J.H. (2010). Biostatistical Analysis. Upper Saddle River: Pearson Prentice-Hall.
Zedler, J.B., & Kercher, S. (2005). Wetland resources: status, trends, ecosystem services, and restorabilityAnnual Review of Environment and Resources, 30, 39-74.