Articulo
Seed colour affects light and temperature requirements during germination in two Lotus species (Fabaceae) of the Arabian subtropical deserts
El color de la semilla afecta los requerimientos de luz y temperatura durante la germinación en dos especies de Lotus (Fabaceae) de los desiertos subtropicales árabes.
Seed colour affects light and temperature requirements during germination in two Lotus species (Fabaceae) of the Arabian subtropical deserts
Revista de Biología Tropical, vol. 64, no. 2, 2016
Universidad de Costa Rica
Received: 26 March 2015
Accepted: 07 December 2015
Abstract: Heterogeneity in seeds mostly occurs due to physiological, environmental and genetic factors, and these could affect seed dormancy and germination. Therefore, the aim of our study was to assess the effect of seed colour on germination behavior. For this, both light and temperature requirements were assessed in Lotus glinoides and Lotus halophilus (Fabaceae) from the hyper-arid deserts of the United Arab Emirates. Germination was assessed in terms of both final germination level (percentage) and germination rate, as expressed by Timson’s germination velocity index. Lotus glinoides produces black and yellow-colored seeds, and L. halophilus produces green and yellow seeds. Different seed lots were germinated in both light and darkness at different temperatures. Yellow seeds of the two species attained significantly lower germination, compared to black and green seeds. There was no specific light or temperature requirements for the germination of the two coloured seeds of L. glinoides; the effect of interactions between seed colour and both light and incubation temperature, were not significant on the final germination percentage. in L. halophilus, green seeds germinated significantly more in both light and darkness at lower temperatures (15/25 °C) and in light at higher temperatures (25/35 °C), compared to yellow seeds. Yellow seeds germinated faster, compared to black at 15/25 °C in L. glinoides and compared to green seeds at 15/25 °C and 25/35 °C in L. halophilus. Seed colour variation, at least in L. halophilus, could be a survival strategy that would determine the time of germination throughout the year in the unpredictable desert environment. Rev. Biol. Trop. 64 (2): 483-492. Epub 2016 June 01.
Keywords: desert, germination, Lotus glinoides, Lotus halophilus, seed colour.
Resumen: La heterogeneidad en las semillas se produce principalmente debido a factores fisiológicos, genéticos y ambientales, y esto podría afectar latencia de las semillas y la germinación. Por lo tanto, el objetivo de nuestro estudio fue evaluar el efecto del color de la semilla en el comportamiento de la germinación. Para ello, tanto los requisitos de luz y temperatura fueron evaluados en Lotus glinoides y Lotus halophilus (Fabaceae) desde los desiertos hiper-árida de los Emiratos Árabes Unidos. La germinación se evaluó en términos de nivel final de germinación (porcentaje) y la tasa de germinación, expresado por el índice de velocidad de germinación de Timson. L. glinoides produce semillas negro y de color amarillo, y L. halophilus produce semillas verdes y amarillas. Los diferentes lotes de semillas fueron germinadas en luz y oscuridad a diferentes temperaturas. Semillas amarillas de las dos especies alcanzaron significativamente menor germinación, en comparación con las semillas negras y verdes. No había requisitos específicos de luz o temperatura para la germinación de las semillas de dos colores de L. glinoides; el efecto de las interacciones entre color de la semilla y la luz y la temperatura de incubación, no fueron significativas en el porcentaje final de germinación. En L. halophilus, semillas verdes germinados significativamente más en la luz y la oscuridad a temperaturas más bajas (15/25 °C) ya la luz a temperaturas más altas (25/35 °C), en comparación con semillas amarillas. Semillas amarillas germinaron más rápido, en comparación con el negro a 15/25 °C en L. glinoides y en comparación con semillas verdes a 15/25 °C y 25/35 °C en L. halophilus. La variación del color de la semilla, al menos en L. halophilus, podría ser una estrategia de supervivencia que determinaría el momento de la germinación durante todo el año en el entorno del desierto impredecible.
Palabras clave: desierto, germinación, Lotus glinoides, Lotus halophilus, color de semillas.
Temporal and spatial heterogeneity in natural environments, especially in unpredictable and harsh desert environments, tend to enhance the selective advantage of multiple survival strategies of plants (Venable, Dyreson, & Morales, 1995; El-Keblawy, 2003). Seed heterogeneity, which is the variations in size, colour and weight is a phenomena commonly reported in many species of the desert environment (Volis, & Bohrer, 2013; El-Keblawy, Bhatt, & Gairola, 2013). Heterogeneity in seeds mostly occurs due to physiological, environmental and genetic factors (Dickson, & Boettger, 1982; Atak et al., 2008). in legumes, sequential development and spatial heterogeneity of the pod position usually result in seed weight, colour, shape and size variations (Fenner, 1993; Coste, Ney, & Crozat, 2001; Coste, Raveneau, & Crozat, 2005). Such heterogeneity within a seed population could affect physiological properties of seed dormancy and germination (Matilla, Gallardo, & Puga-Hermiada, 2005).
Seed coats can cause seed dormancy by acting as a mechanical barrier for embryo protruding, the presence of chemical inhibitors, interference with water uptake and /or oxygen exchange and can also obstacle the embryo from light (Baskin, & Baskin, 1998; Morris, Tieu, & Dixon, 2000). Different seed colours resulted from various level of pigment accumulation could affect seed coat structure. The formation of seed coat colour/pigment has been reported to be affected by the environment (Bhatia et al., 1979; Liu et al., 2007), sequential developments on the maternal plants and/or genetically inherited (Bortnem, & Boe, 2003). Differences in the amounts of colour pigments in the seed coat can lead to seed colour variation. For example, melanin pigment content was reported to be higher in red and black seed coat of the rapeseed, compared to yellow seeds (Zhang et al., 2008).
Seed colour has been reported to play a role in seed dormancy and germination (Powell, 1989). Some studies have showed that coloured seeds absorb water rapidly, and consequently have greater germination, compared to less coloured seeds (Atis, Atak, Can, & Mavi, 2011, Liu et al., 2007). For example, the black seeds of Cyamopsis tetragonoloba showed faster water uptake and higher germination than that of dull-white-coloured seeds (Liu et al., 2007). Similarly, some dark soybean cultivars showed greater rate of imbibitions and fast germination (Chachalis, & Smith, 2000). However, the light coloured seeds of wild mustard showed fastest and higher germination percentage than the dark seeds (Ochuodho, & Modi, 2010). in addition, seeds of three anthocyanin less mutants in tomatoes were reported to germinate faster than the wild type with coloured seeds (Atanassova, Shtereva, Georgieva, & Balatcheva, 2004).
Genus Lotus belongs to family Fabaceae, comprising 125-180 species (Sokoloff & Lock, 2005). Several species of Lotus are economically important and used as highly productive crops in pasture systems in a diverse range of landscapes, including some often subjected to extreme environments and soil conditions (Blumenthal, & McGraw, 1999; Diaz, Borsani, & Monza, 2005). Due to high nutrition content, seeds of Lotus have been reported to be eaten by predators such as Euryloma platyptera, Cydia compositella and Apion loti (Ollerton, & Lack, 1996). We have noticed that two Lotus species of the subtropical arid deserts of the United Arab Emirates (UAE) produce different seed colours: yellow and black in L. glinoides L. and green and yellow in L. halophilus Boiss. & Spruner. Several studies have assessed the effect of seed colours on dormancy and germination (Rolston, 1978; Souza, & Marcos-Filho, 2001; Zhang et al., 2008; Atis et al., 2011; Liu et al., 2007), but, to our knowledge, no study has yet assessed the seed colour variation on the germination requirements. Therefore, the aim of our study was to assess the impact of colour variation on germination behavior of yellow and green seeds of L. halophilus and yellow and black seeds of L. glinoides. in addition, the study aimed to assess the impact of seed colour on light and temperature requirements during germination for the two species. We assume that colours of structures surrounding seeds and seed colours would affect light filtering properties, which in turn affect germination requirements, especially light of incubation (xing et al. 2013, El-Keblawy, Bhatt, & Gairola, 2013). Germination behavior of the two species was assessed through studying final germination percentage and germination rate.
Materials and methods
Lotus glinoides and L. halophilus are two annual species of the subtropical arid desert of the Arabian Peninsula (Ghazanfar, & Fisher, 1998). Lotus halophilus is common, but L. glinoides is rare in sandy habitats of the UAE. The two species are prostrate or decumbent small herbs (up to 25 cm), but can reach bigger sizes in more favorable habitats (Jongbloed, 2003).
Seed collection: At the end of the growing season (i.e. May 2013), 50 plants from the common L. halophilus were collected from Kalba-Maliha Road (25° 8’ 2.32” N - 55° 54’ 46.98” E, Alt.: 163 m a.s.l.) and 30 plants from the rare L. glinoides from Kalba (25° 1’ 48.936” N - 56° 21’ 45.18” E, Alt.: 25 m a.s.l.), UAE. Plants were randomly collected from the whole population to represent genetic diversity. The plants were air-dried and pods of each species were separated and seeds were sorted according to their colours. Seeds were sorted into black and yellow in L. glinoides, and green and yellow in L. halophilus. The two coloured seeds are produced within the same individual plant. Seeds were stored in brown paper bags in the laboratory at approximately 20 ± 2 °C until they were used in the germination experiment during the last week of July 2013. The seed mass was determined by weighting three replicates, each with 50 seeds from each colour of the two species.
Effect of light and temperature on seed germination: To investigate the effect of temperature and light requirements during germination, seeds of each colour of both L. glinoides and L. halophilus were incubated in three incubators set at daily (12/12-h) temperature regimes of 15/25, 20/30 and 25/35 °C in either continuous darkness or 12 hr darkness/12 hr light. Darkness was applied by wrapping two layers of aluminum foil around the Petri dishes. Four replicates of 25 seeds each were used for each treatment. The germination was conducted in 9-cm tight-fitting Petri dishes containing one disk of Whatman No. 1 filter paper moistened with 10 mL of distilled water. Germinated seeds were counted and removed every second day in the light treatments and at the end of the experiment in dark treatments. Seeds were considered to be germinated with the emergence of the radical system.
Rate of germination was calculated with a modified Timson’s germination velocity index: ∑ G/T, where G is the percentage of seed germinated on two-day interval, and T is the total germination period (Khan, & Ungar 1998). The maximum possible value for our data using this germination rate index (GRi) was 50. The higher the value, the more rapid the germination occurs. The germination rate was only calculated for seeds incubated under light conditions.
Three-way ANOVA was used to test the significance of main effects (seed colour, temperature and light of incubation) and their interactions on final germination percentage. Two-way ANOVA was used to assess the significance of seed colour, and temperature of incubation and their interactions on GRi. One-way ANOVAs were used to assess the significance of mass difference between the two seed colours of each studied species. Tukey’s test (Honestly significant differences, HSD) was used to estimate least significant range between means. The germination rate was logtransformed and germination percentages were arcsine-transformed to meet the assumptions of ANOVA. This transformation improved normality of distribution of data. All statistical tests were performed using SYSTAT, version 13.0 (SYSTAT, 2013).
Results
The average mass of yellow seeds (0.0272 ± 0.0003 mg/50 seeds) was almost the same as that of black seeds (0.0266 ± 0.0007 mg/50 seeds) in L. glinoides (F1,4 = 1.46, P>0.05). However in L. halophilus, the mass of green seeds (0.0304 ± 0.0003 mg/50 seeds) was significantly heavier, compared to yellow seeds (0.0232 ± 0.0006 mg/50 seeds) (F1,4 = 4.681, P < 0.0001).
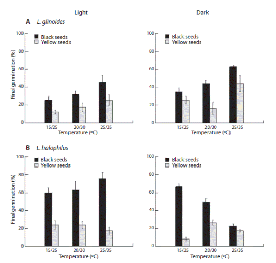
L. glinoides germination: All the main three factors (seed colour, and temperature and light of incubation), but none of their interactions, showed significant effects on the final germination percentage of L. glinoides (P < 0.001, Table 1). Black seeds germination was significantly higher (40.7 %), compared to yellow seeds (23.3 %). in addition, germination in dark condition was 44 % higher than in light conditions (continuous darkness -37.8 %), and 12 hr light/12 hr darkness - 26.2 %, respectively). Furthermore, germination at high temperatures (25/35 °C) was significantly higher than that of both middle (20/30 °C) and lower (15/25 °C) temperatures. Germination at 25/35 °C was 44.3%, compared to 24.3% and 27.3% at 15/25 °C and 20/30 °C, respectively (Fig. 1a). The lack of significant interactions between seed colour and both light and temperature of incubation, indicates that there is no specific light or temperature requirement for the germination for both seed colours of L. glinoides.


Two way ANOVA showed insignificant effects for both seed colour and temperature of incubation (P > 0.05) on germination rate index (GRi), but their interaction had significant effect (P < 0.01, Table 2). Yellow seeds germinated faster at 15/25 °C (GRi = 37), compared to higher temperatures (GRi = 27 and 30.1 at 20/30 °C and 25/35 °C, respectively). However, black seeds germinated faster at 20/30 °C and 25/35 °C (GRi = 35 and 33.9, respectively), compared to 15/25 °C (GRi = 27.2) (Fig. 2a).


L. halophilus germination: Three-way ANOVA showed significant effects for seed colour and incubation light conditions (P < 0.001), but not for the incubation temperature (P > 0.05) on the final germination percentage of L. halophilus (Table 1). Green seeds germination resulted almost three times higher than yellow seeds (56.2 % for green vs. 19.6 % for yellow seeds). in addition, seed germination under light conditions (12 hr light /12 hr darkness) was 38 % higher than those under continuous darkness (light and dark germinations were 44 % and 31.8 %, respectively).
The interactions of the three main factors (seed colour, and light and temperature of incubation) on final germination results were significant (P < 0.05, Table 1). At higher temperatures (25/35 °C), green seeds germinated significantly greater than yellow seeds under light conditions, but no significant differences between them were observed in darkness. The germination of green seeds was 339 % higher than that of yellow seeds at 25/35 °C under light conditions, but was only 31 % higher in darkness. At lower temperatures, however, more yellow seeds significantly germinated under light conditions, compared to darkness, but no significant difference was observed for green seeds under dark and light germination conditions. The germination of yellow seeds was 200 % higher in light than in darkness at 15/25 oC, but germination of green seeds was 11 % higher in darkness than in light conditions. The overall results indicated that green seeds germinated better in light at higher temperatures, but yellow germinated better in light at lower temperatures (Fig. 1b).
Two way ANOVA showed significant effects for seed colour and the interaction between seed colour and temperature of incubation (P < 0.05) on GRi of L. halophilus (Table 1). Green seeds germinated faster (GRi = 40.4) compared to yellow seeds (GRi = 28.9). Whereas there was no significant difference between GRi of green seeds at different temperatures, yellow seeds germination was significantly greater at 20/30 oC (GRi = 32.6), when compared to 15/25 oC (GRi = 27.4) and 25/35oC (GRi = 25.9) (Fig. 2b).
Discussion
Different coloured seeds of L. glinoides and L. halophilus varied in mass, dormancy and requirements for attaining high germination. Yellow seeds of the two species germinated significantly less, compared to black seeds of L. glinoides and green seeds of L. halophilus. Similar to L. glinoides, black seeds of the annual drought tolerant legume Cyamopsis tetragonoloba germinated significantly greater than the dull-white-coloured seeds (Liu et al., 2007). in addition, black seeds of Sinapis arvensis exhibited a reduced dormancy, compared with red seeds (Duran, & Retamal, 1989). The greater germination in black-coloured seeds has been attributed to the greater water uptake rate, which was attributed to greater permeability of seed coat to water. This was supported by the less seed coat quantity in black seeds than in dull-white-coloured seeds of Cyamopsis tetragonoloba, and the cracks found on the seed coat of black seeds (Liu et al., 2007). Whereas degradation of seed coat quality in Cyamopsis tetragonoloba was attributed to storage, it seems that this is not the case in L. glinoides, as the different coloured seeds of the two lotus species were freshly harvested.
The variation in weight, colour, shape and size in seeds of some legumes has been attributed to the sequential development and spatial heterogeneity of the pod position (Fenner, 1993; Coste, Ney, & Crozat, 2001; Coste, Raveneau, & Crozat, 2005). in addition, seed coat colour variation within a species was reported to be associated with harvesting seeds at different developmental stages (Elias, & Copeland, 2001; Atis, Atak, Can, & Mavi, 2011). Consequently, seed colour could be an important indicator of maturity. in our case, however, it is important to note that both L. glinoides and L. halophilus are annuals, and they have to finish their life cycle before the onset of very harsh summer season of the hyper-arid subtropical deserts. By the end of the growing season, seeds that are not fully developed should be ripened (Harper, & Ogden, 1970). Such scenario might result in seeds with different colours. The green colour of L. halophilus seeds could be an indicator that they are not fully ripened, compared to yellow seeds. Further studies should be conducted to determine whether the different seed colours of the two studied species are formed early in the growing season, or only yellow seeds are formed early, and if green and black seeds arise by the end of the growing season.
Seed maturation is characterized by the accumulation of storage products, preparation for desiccation, and the first stages of normal germination (Bewley, & Black, 1994). The difference in germination pattern of different coloured seeds could be related to the difference in seed maturity, which might affect seed coat structure and the balance between different hormones. The incomplete ripening of the seeds could explain their heavier weight and germination behavior. it has been reported that biologically active Gibberellic acids (GAs) are known to be present in high concentration in unripened seeds (El-Keblawy, & Lovett-Doust, 1998). During seed maturation, GAs concentration decreased and abscisic acid (ABA) increased (Karssen, & Lacka, 1986; Karssen, Brinkhorst-Van der Swan, Breekland, & Koornneef, 1983). The higher and faster germination of the green seeds could be attributed to higher GAs (Jacobsen, Gubler, & Chandler, 1995). However, the lower germination of the fully ripened yellow seeds could be attributed to the lower level of GAs and higher levels of ABA. it has been reported that ABA plays a central role in embryo maturation, both to suppress precocious germination and to induce storage product accumulation and acquisition of desiccation tolerance (White, Proebsting, Hedden, & Rivin, 2000). Further studies should be conducted to assess the levels of different promoting (e.g., GAs) and inhibiting (e.g., ABA) phytohormones and their role in germination and dormancy in the different seed colours of the studied species.
Different seed coat colours exert differential germination-restrictive actions by providing different levels of impermeability to water and/or oxygen or the mechanical resistance to radicle protrusion (Debeaujon, LéonKloosterziel, & Koornneef, 2000). The lower germination in coloured seed of some legumes was attributed to the presence of phenolic compounds and tight adherence of the seed coat to the embryo (Ochuodho, & Modi, 2010). in our study, the lower germination of yellow seeds in the two lotus species, compared to green or black colours, could be attributed to the greater amount of pigmentations that solidify the seed coat and increase its impermeability to water and/or oxygen (Debeaujon, Léon-Kloosterziel, & Koornneef, 2000).
In unpredictable desert conditions, variability in seed germination due to seed coat colour variation has been reported as a survival strategy that widens the range of germination timing and increase the possibility for seedling establishment (Luzuriaga, Escudero, & PerezGarcia, 2005). Black seeds of Atriplex centralasiatica were more sensitive to light than brown ones (Li et al., 2008). Similar results have been observed in A. triangularis (Khan, & Ungar, 1986) and Suaeda salsa (Li, Liu, Khan, & Yamaguchi, 2005). Our results showed no specific light or temperature requirements for the germination of the two colours of L. glinoides. However, green seeds of L. halophilus germinated better in light at higher temperatures, but yellow seeds germinate better in light at lower temperatures.
Hard seed coat has been considered as a survival mechanism of plants from arid or desert regions, where rainfalls are very variable or unpredictable (Baskin, & Baskin, 1998). in addition, dormancy imposed through seed colour variation is also considered as a part of the seed survival strategy of many species (Werker, 1981; Kelly, Van Staden, & Bell, 1992). it seems that natural selection would favor the production of yellow seeds in the two Lotus species. The low germination of yellow seeds help both L. glinoides and L. halophilus to contribute more for building soil seed bank that ensure the persistence of the species even with repeated drought that usually happens in desert environments (El-Keblawy, Shaltout, Lovett-Doust, & Ramadan, 1997). in addition, the fast germination of yellow seeds of L. glinoides at lower temperatures would enable the seedlings to establish themselves early in the growing season, especially if the rainfall is not enough to wet the soil for long time. Deserts of the Arab Gulf regions receive few showers during December and January of most years, when the temperatures are lower at this time (Böer, 1997).
In conclusion, our study demonstrated variation in mass, germination level and requirements for light and temperature during germination associated with seed colour variation, especially in L. halophilus. it is evident that by the end of the growing season, the different coloured seeds of the two species are added to the soil seed bank, regardless the causes of the development. However, the mechanism that could result in such seed colour variation should be further studied. in addition, seed coat structure and chemical composition, especially the phytohormones, should be also studied to assess their role in reported variation in seed germination behaviour.
Acknowledgments
This work was supported by a grant from the Qatar National Research Fund, QNRF (Grant # 5-260-1-053). The statements made herein are solely the responsibility of the authors.
References
Atak, M., Kaya, M. D., Kaya, G., Kaya, M., & Khawar, K. M. (2008). Dark green colored seeds increase the seed vigor and germination ability in dry green pea (Pisum sativum L.). Pakistan Journal of Botany, 40, 2345-2354.
Atanassova, B., Shtereva, L., Georgieva, Y., & Balatcheva, E. (2004). Study on seed coat morphology and histochemistry in three anthocyanin less mutants in tomato (Lycopersicon esculentum Mill.) in relation to their enhanced germination. Seed Science & Technology, 32, 79-90.
Atis, i., Atak, M., Can, E., & Mavi, K. (2011). Seed coat color effects on seed quality and salt tolerance of red clover (Trifolium pratense). International Journal of Agriculture and Biology, 13, 363-368.
Baskin, C. C., & Baskin, J. M. (1998). Seeds: ecology, biogeography, and evolution of dormancy and germination. San Diego: Academic Press.
Bewley, D. J., & Black, M. (1994). Seeds: Physiology of Development and Germination. New York: Plenum Press.
Bhatia, i. S., Nagpal, M. L., Singh, P., Kumar, S., Singh, N., Mahindra, A., & Parkash, O. (1979). Chemical nature of the pigment of the seed coat of guar (cluster bean, Cyamopsis tetragonolobus L. Taub). Journal of Agricultural and Food Chemistry, 27, 1274-1276.
Blumenthal, M. J., & McGraw, R. L. (1999). Lotus adaptation, use and management. in P. R. Beuselinck (Ed.), Trefoil: The Science and Technology of Lotus (pp. 97-119). Madison, Wisconsin: CSSA Special Publication Number 28.
Böer, B. (1997). An introduction to the climate of the United Arab Emirates. Journal of Arid Environments, 35, 3-16.
Bortnem, R., & Boe, A. (2003). Colour index for red clover seed. Crop Sciences, 43, 2279-2283.
Chachalis, D., & Smith, M. L. (2000). imbibition behaviour of soybean (Glycine max (L.) Merrill) accessions with different testa characteristics. Seed Science & Technology, 28, 321-331.
Coste, F., Ney, B., & Crozat, Y. (2001). Seed development and seed physiological quality of field grown bean (Phaseolus vulgarisL.). Seed Science & Technology, 29, 121-136.
Coste, F., Raveneau, M. P., & Crozat, Y. (2005). Spectrophotometrical pod colour measurement: a non-destructive method for monitoring seed drying. Journal of Agricultural Science, 143, 183-192.
Debeaujon, i., Léon-Kloosterziel, K. M., & Koornneef, M. (2000). influence of the testa on seed dormancy, germination and longevity in Arabidopsis. Plant Physiology, 122, 403-413.
Diaz, P., Borsani, O., & Monza, J. (2005). Lotus-Related Species and their Agronomic importance. Netherlands: Springer.
Dickson, M. H., & Boettger, M. A. (1982). Heritability of semi-hard seed induced by low seed moisture in beans (Phaseolus vulgaris L.). Journal American Society for Horticultural Science, 107, 69-74.
Duran, J. M., & Retamal, N. (1989). Coat structure and regulation of dormancy in Sinapis arvensis L. seeds. Journal of Plant Physiology, 135, 218-222.
Elias, S. G., & Copeland, L. O. (2001). Physiological and harvest maturity of Canola in relation to seed quality. Agronomy Journal, 93, 1054-1058.
El-Keblawy, A. (2003). Effects of achene dimorphism on dormancy and progeny traits in the two ephemerals Hedypnois cretica and Crepis aspera (Asteraceae). Canadian Journal of Botany, 81, 550-559.
El-Keblawy, A., & Lovett-Doust, J. (1998). Persistent, nonseed size maternal effects on the life history traits in the progeny generation in squash, Cucurbita pepo (Cucurbitaceae). New Phytologist, 140, 655-666.
El-Keblawy, A., Shaltout, K. H., Lovett-Doust, J., & Ramadan, A. (1997). Population dynamic of an Egyptian desert shrub, Thymelaea hirsuta. Canadian Journal of Botany, 75, 2027-2037.
El-Keblawy, A., Bhatt, A., & Gairola, S. (2013). Perianth Colour Affect Germination Behavior in the Wind Pollinated Salsola rubescens in the Arabian Deserts. Botany, 92, 69-75.
Fener, M. (1993). Enviromental influences of seed size and composition. Horticultural Reviews, 13, 183-21.
Ghazanfar, S. A., & Fisher, M. (1998). Vegetation of the Arabian Peninsula. Kluwer Academic Publisher. Geobotany, 25, 1-362.
Harper, J. L., & Ogden, J. (1970). The reproductive strategy of higher plants: i. The concept of strategy with special reference to Senecio vulgaris L. The Journal of Ecology, 58, 681-698.
Jacobsen, J. V., Gubler, F., & Chandler, P. M. (1995). Gibberellin action in germinated cereal grains. in P. J. Davies (Ed.), Plant Hormones: Physiology, Biochemistry and Molecular Biology (ii Edition, pp. 246-271). Dordrecht, The Netherlands: Kluwer Academic Publishers.
Jongbloed, M. J. (2003). The Comprehensive Guide to the Wild Flowers of the United Arab Emirates. Abu Dhabi: Environmental Research and Wildlife Development Agency.
Karssen, C. M., & Lacka, E. (1985). A revision of the hormone balance theory of seed dormancy: studies on gibberellin and/or abscisic acid-deficient mutants of Arabidopsis thaliana. Plant Growth Substances 1985 (pp. 315-323). Berlin Heidelberg: Springer.
Karssen, C. M., Brinkhorst-Van der Swan, D. L. C., Breekland, A. E., & Koornneef, M. (1983). induction of dormancy during seed development by endogenous abscisic acid: studies on abscisic acid deficient genotypes of Arabidopsis thaliana (L.) Heynh. Planta, 157, 158-165.
Kelly, K. M., Van Staden, J., & Bell, W. E. (1992). Seed coat structure and dormancy. Plant Growth Regulation, 11, 201-209.
Khan, M. A., & Ungar, i. A. (1986). Life history and population dynamics of Atriplex triangularis. Vegetatio, 66, 17-25.
Khan, M. A., & Ungar, i. A. (1998). Effect of thermoperiod on recovery of seed germination of halophytes from saline conditions. American Journal of Botany, 84, 279-283.
Li, W., Liu, x., Khan, M. A., & Yamaguchi, S. (2005). The effect of plant growth regulators, nitric oxide, nitrate, nitrite and light on the germination of dimorphic seeds of Suaeda salsa under saline conditions. Journal of Plant Research, 118, 207-214.
Li, W. Q., Liu, x. J., Khan, M. A., Tsuji, W., & Tanaka, K. (2008). The effect of light, temperature and bracteoles on germination of polymorphic seeds of Atriplex centralasiatica under saline conditions. Seed Science and Technology, 36, 325-338.
Liu, W., Peffley, E. B., Powell, R. J., Auldb, D. L., & Hou, A. (2007). Association of seed coat color with seed water uptake, germination, and seed components in guar (Cyamopsis tetragonoloba (L.) Taub). Journal of Arid Environment, 70, 29-38.
Luzuriaga, A. L., Escudero, A., & Perez-Garcia, F. (2005). Environmental maternal effects on seed morphology and germination in Sinapis arvensis (Cruciferae). Weed Research, 46, 163-174.
Matilla, A., Gallardo, M., & Puga-Hermiada, M. i. (2005). Structural, physiological and molecular aspects of heterogenity in seeds: a review. Seed Science Research, 15, 63-76.
Morris, E. C., Tieu, A., & Dixon, K. (2000). Seed coat dormancy in two species of Grevillea (Proteaceae). Annals of Botany, 86, 771-775.
Ochuodho, J. O., & Modi, A. T. (2010, September). Association of seed coat colour with germination of three wild mustard species with agronomic potential. Second RUFORUM Biennial Meeting. Entebbe, Uganda.
Ollerton, J., & Lack, A. (1996). Partial predispersal seed predation in Lotus corniculatus L. (Fabaceae). Seed Science Research, 6, 65-69.
Powell, A. A. (1989). The importance of genetically determined seed coat characteristics to seed quality in grain legumes. Annals of Botany, 63, 169-195.
Rolston, M. P. (1978). Water impermeable seed dormancy. The Botanical Review, 44, 365-396.
Sokoloff, D. D., & Lock, J. M. (2005). Loteae. in G. Lewis, B. Schrire, B. Mackinder, & M. Lock (Eds.), Legumes of the world (pp. 455-466). United Kingdom: BATH Press.
Souza, F. H. D. D., & Marcos-Filho, J. (2001). The seed coat as a modulator of seed-environment relationships in Fabaceae. Brazilian Journal of Botany, 24, 365-375.
Venable, D. L., Dyreson, E., & Morales, E. (1995). Population dynamic consequences and evolution of seed traits of Heterosperma pinnatum (Asteraceae). American Journal of Botany, 82, 410-420.
Volis, S., & Bohrer, G. (2013). Joint evolution of seed traits along an aridity gradient: seed size and dormancy are not two substitutable evolutionary traits in temporally heterogeneous environment. New Phytologist, 197, 655-667.
Werker, E. (1981). Seed dormancy as explained by the anatomy of embryo envelopes. Israel Journal of Botany, 29, 22-44.
White, C. N., Proebsting, W. M., Hedden, P., & Rivin, C. J. (2000). Gibberellins and seed development in maize. I. Evidence that gibberellin/abscisic acid balance governs germination versus maturation pathways. Plant Physiology, 122, 1081-1088.
Xing, J., Cai, M., Chen, S., Chen, L., & Lan, H. (2013). Seed germination, plant growth and physiological responses of Salsola ikonnikovii to short-term NaCl stress. Plant Biosystem, 2, 285-297. doi:10.1080/11263504.2012.731017.
Zhang, x. K., Chen, J., Chen, L., Wang, H. Z., & Li, J. N. (2008). imbibition behavior and flooding tolerance of rapeseed seed (Brassica napus L.) with different testa color. Genetic Resources and Crop Evolution, 55, 1175-1184.
Author notes
* Correspondence