Resumen: Arca zebra, es un molusco de importancia comercial, cuya pesquería tiene un alto impacto socioeconómico en la región nororiental de Venezuela. El presente estudio tiene como objetivo evaluar el esfuerzo reproductivo (ER), índice de engorde (iE) y el rendimiento (R) en A. zebra por grupos de longitud (LT) en el morro de Chacopata, península de Araya, Venezuela entre junio 2008 y junio 2009. Los organismos fueron distribuidos en tres grupos de longitud: i (30.1 a 50.0 mm), ii (50.1 a 70.0 mm) y iii (>70.0 mm). Mensualmente se determinó el ER, iE y R basados en las variaciones del volumen de la carne fresca (VCF), volumen intervalvar (ViV), biomasa seca de la gónada (PSg), biomasa seca del organismo sin gónada (PSs), biomasa fresca de la carne (BCF) y biomasa total del organismo incluyendo la concha (BTiC). Las variables ambientales temperatura, salinidad, oxígeno disuelto, seston total, orgánico e inorgánico y la clorofila a se midieron mensualmente. Existe gran variación en el PSg entre los grupos de longitud, siendo relevante en el ii y iii, con un aumento desde junio hasta finales de septiembre 2008 y una disminución notable en octubre 2008, para luego recuperarse en los meses siguientes y descender en enero 2009, con un ligero incremento hasta mayo 2009 que se asoció a las variaciones de la temperatura del mar. El peso de la gónada (PSg) influyó sobre el ER, IE y R, ya que estos alcanzaron sus máximos valores en los meses donde hubo mayor producción gonádica, indicando la influencia que ejerce la temperatura en la reproducción de A. zebra.
Palabras clave: esfuerzo reproductivoesfuerzo reproductivo,rendimientorendimiento,índice de engordeíndice de engorde,Arca zebra.Arca zebra..
Abstract: Arca zebra is a mollusk of commercial value and a major socioeconomic fishery in Northeastern Venezuela. The present study aimed to evaluate the reproductive effort (RE), fattening index (Fi) and yield (Y) in different size groups of A. zebra from the morro Chacopata, Venezuela. For this, monthly samplings from June 2008 and June 2009, were undertaken, and the bivalves obtained were distributed in three length groups: i (30.1 to 50.0 mm), ii (50.1 to 70.0 mm) and iii (> 70.0 mm). Monthly RE, Fi and Y were determined based on bivalve changes in volume of fresh meat (VFM), intervalvar volume (iV), dry gonad biomass (DW), dry biomass of the organism without gonad (DWs), fresh biomass of meat (FBM) and total biomass including shell (TBiS). Besides, environmental variables such as temperature, salinity, dissolved oxygen, total organic and inorganic seston and chlorophyll a were measured monthly. There was great variation in the DW between length groups (relevant for ii and iii): increased from June until late September 2008, was followed by a marked decrease in October 2008, recovered in the following months, and decreased in January 2009, with a slight increase until May 2009; these changes were associated with variations in sea temperature. The weight of the gonad (DW) influenced the RE, Fi and Y, as these reached their peaks in the months where there was higher gonadal production, indicating the influence of temperature on A. zebra reproduction. Rev. Biol. Trop. 64 (2): 617-633. Epub 2016 June 01.
Keywords: reproductive effort, fattening index, yield, Arca zebra..
Articulo
Esfuerzo reproductivo, índice de engorde y rendimiento de Arca zebra (Filibranchia: Arcidae) por talla y su asociación con variables ambientales, Sucre, Venezuela
Reproductive effort, fattening index and yield of Arca zebra (Filibranchia: Arcidae) by length and its association with environmental variables, Sucre, Venezuela.
Recepción: 12 Junio 2015
Aprobación: 25 Febrero 2016
Arca zebra, especie conocida con el nombre común de “pata de cabra” o “pepitona”, es un bivalvo filtrador que se alimenta fundamentalmente de fitoplancton. Se distribuye desde la costa sur de Florida (USA) hasta la costa norte de Brasil (Abbott, 1974). Este bivalvo es abundante en el nororiente Venezuela formando “bancos” al este de la isla de Margarita, isla de Coche, morro de Chacopata y costa norte del golfo de Cariaco (Saint-Aubyn, Prieto, & Ruiz, 1999). La mayor producción tiene lugar principalmente en el banco de Chacopata y al noreste de la isla de Coche, donde según cifras suministradas por el instituto Socialista de Pesca y Acuicultura, la producción alcanzó valores máximos de 70 000 tm en 2008 y 2009, pero se han reportado disminuciones para los años 2010 y 2011 con 20 000 tm/año (iNSOPESCA, 2012).
La especie alcanza 58 mm de longitud seis meses después de su fijación, estimándose una longevidad máxima de dos años; con un período de crecimiento acelerado entre septiembre y mayo (Prieto & Saint-Aubyn, 1998), y registrándose valores máximos de producción de los diferentes tejidos entre los séis y nueve meses de edad (Saint-Aubyn et al., 1999). La especie muestra cambios mensuales en la biomasa seca de la gónada y tejido somático con relación a los factores ambientales, siendo la temperatura el principal factor modulador de la reproducción (Lista et al., 2006); sin embargo, no se ha reportado sincronía en la madurez y desove de machos y hembras (Lista, Prieto, Velásquéz, Lodeiros, & Hernández, 2008), pero sí un crecimiento que oscila de isométrico a alométrico minorante y mayorante (Lista, 2012).
Los factores endógenos y exógenos pueden influir en el crecimiento o condición fisiológica de algunas especies de moluscos, tal es el caso de P. perna del morro de Guarapo (Arrieche, Licet, Gracía, Lodeiros, & Prieto, 2002) y Asaphis deflorata de la localidad de Caurantica, golfo de Paria (Prieto, Marcano, Villegas, & Lodeiros, 2008).
Dada la importancia de la especie en la región nororiental del país, en el presente estudio se evaluó mensualmente el esfuerzo reproductivo, índice de engorde y el rendimiento en A. zebra en tres grupos de longitud, a fin de disponer de herramientas para proponer posibles normas para la explotación racional del recurso.
Obtención de las muestras: Los ejemplares A. zebra fueron recolectados mensualmente con una rastra de 120 x 86 cm entre junio 2008 y junio 2009, a una profundidad de 8 m en el morro de Chacopata, el cual se localiza al norte de la península de Araya, estado Sucre, Venezuela (10º43’ y 10º48’ N - 63º 48’ y 63º 55’ O). Seguidamente, los especímenes fueron colocados en contenedores isotérmicos con una temperatura entre 10 y 15 ºC, para evitar la inducción al desove por choque térmico, y se trasladaron inmediatamente al Centro de investigaciones Ecológicas Guayacán de la Universidad de Oriente (CiEG-UDO), para su posterior procesamiento.
Procesamiento de las muestras: En el laboratorio, los epibiontes y detritus de las valvas se les removieron manualmente con un cuchillo. Seguidamente, se les midió el eje antero posterior (longitud total) con un vernier digital (0.01 mm de precisión). Luego, los ejemplares fueron ubicados según la longitud en el grupo i (30.1 a 50.0 mm); grupo ii (50.1 a 70.0 mm) y el grupo iii (> 70.0 mm), según los criterios de Lista (2005).
Índices volumétricos y gravimétricos: Estos índices fueron medidos mensualmente a 10 organismos por grupo. Para los índices volumétricos, se siguió el procedimiento de Vélez (1971) que consiste en determinar en cada uno de los individuos su volumen total (VT), volumen de la carne fresca (VCF), volumen valvar (VV) y volumen intervalvar (ViV). Para determinar el VT de cada organismo, se colocaron íntegramente dentro de un cilindro graduado de 1 mL de apreciación, previamente lleno a un volumen conocido; se estimó el VT por la diferencia entre el volumen final y el inicial. Para medir el VCF y ViV, se separó la carne fresca de las valvas determinando el VCF y el volumen de las valvas (VV), colocando cada uno de estos componentes por separado en el cilindro graduado, aplicando el criterio anterior. El ViV se obtuvo de la diferencia entre el VT y el VV.
Para obtener la biomasa fresca de la carne (BFc) y la biomasa total del organismo incluyendo la concha (BTic), los organismos se pesaron en una balanza marca Ohaus, con precisión 0.001 g. Luego, usando un equipo de disección, se extrajo cuidadosamente el tejido gonádico y el resto del tejido somático, el cual estuvo constituido por el músculo, branquias, manto, pie y glándula digestiva. La biomasa seca de la gónada (PSg) y del organismo sin gónadas (PSs) se determinaron al colocar los tejidos en una estufa a 60 ºC por 48 h, y posteriormente se pesaron.
Esfuerzo reproductivo (ER): Se calculó a partir de las muestras analizadas anteriormente, mediante la ecuación: ER= (PSg/PSs) x 100, siguiendo las recomendaciones de Hickman e illingworth (1980) y Velasco (2013).
Índice de engorde (IE): Se determinó utilizando la ecuación iE= (VCF/ViV) x 100, según Cabrera, Zamora y Pacheco (1983) y Velasco (2013).
Rendimiento (R): Se calculó mediante la ecuación R= (BFc/BTic) x 100 de acuerdo a lo señalado por Hickman e illingworth (1980).
Variables ambientales: Se recolectó mensualmente agua de mar con una botella de Niskin de 5 L, filtrándola con una malla de 280 µm para eliminar el macroplancton y cuantificar la disponibilidad de alimento como el seston total, orgánico e inorgánico y la biomasa fitoplanctónica, representada por la clorofila a, según el método de Strickland y Parsons (1972). También se monitoreó la temperatura in situ con un termómetro de mercurio de 0.1 ºC; la salinidad, usando un salinómetro inductivo y el oxígeno disuelto según el método de Winkler modificado por Carritt y Carpenter (1966).
En los datos obtenidos de los parámetros analizados se comprobaron los supuestos de normalidad y homogeneidad de las varianzas, utilizando las recomendaciones de Zar (1984), y para determinar las diferencias entre el esfuerzo reproductivo (ER), índice de engorde (iE) y el rendimiento (R) de A. zebra, se aplicaron ANOVA, tomando en consideración el tiempo (meses) y los grupos de tallas, como factores. En los casos donde se establecieron diferencias significativas (P < 0.05) se aplicó pruebas a posteriori de Duncan.
Para establecer las interrelaciones entre los parámetros ambientales con los diferentes índices analizados (ER, IE y R) en los grupos de longitud en A. zebra, se utilizó un Análisis de Componentes Principales (ACP) con la ayuda del programa Statgraphics plus versión 5.0, considerando los índices como variables dependientes.
Se recolectaron a través de todo el periodo de estudio (junio 2008 a junio 2009) 360 individuos de A. zebra, y se diferenció los tres grupos por su longitud total (LT); i, ii y iii con 120 organismos en cada uno.
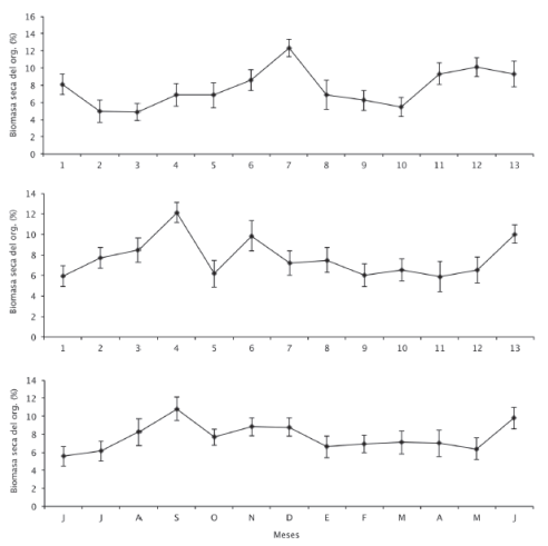
Tejido somático: Los valores mensuales del porcentaje de la biomasa seca total de los ejemplares de A. zebra por grupos de longitud (i, ii y iii), indican que la variación entre los organismos de los grupos ii y iii, fueron similares, al mostrar un aumento muy significativo (Fs= 16.29; P < 0.05) desde junio hasta septiembre 2008, y luego disminuir muy significativamente (Fs= 80.84; P < 0.05) en octubre 2008 (Fig. 1).

El grupo i, mostró un patrón diferente a los grupos anteriores, donde el porcentaje de la biomasa seca disminuyó en julio y agosto de 2008, para luego aumentar significativamente (Fs= 14.39; P < 0.05) hasta obtener un valor máximo en diciembre 2008 (Fig. 1).
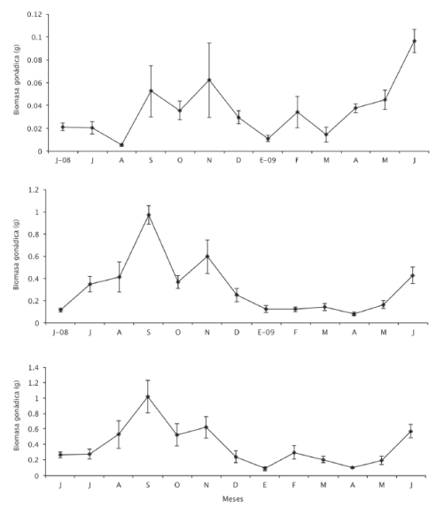
Tejido gonádico: La variación mensual en la biomasa seca de la gónada en los tres grupos de longitud de A. zebra, indica que los grupos ii y iii presentaron una tendencia similar con respecto al grupo i que mostraron una disminución de la gónada en agosto 2008, luego se incrementa sin diferencias significativas en septiembre 2008 (Fs= 0.27; P > 0.01), disminuye apenas en octubre para aumentar en noviembre 2008 sin diferencias significativas (Fs= 0.31; P > 0.01), y disminuir progresivamente hasta enero 2009 para aumentar nuevamente de febrero hasta junio 2009 con poca variabilidad, comenzando a desarrollar el patrón de variación observado en los grupos mayores (Fig. 2).

Los individuos de los grupos ii y iii, fueron los de mayor producción gonádica, con un incremento sostenido desde junio hasta septiembre 2008, con diferencias altamente significativas (Fs= 44.61; P < 0.001); luego ocurre una caída notable altamente significativa (Fs= 32.37; P < 0.001) en octubre de ese mismo año (equivalente al 50 % de la biomasa previamente alcanzada) (Fig. 2).
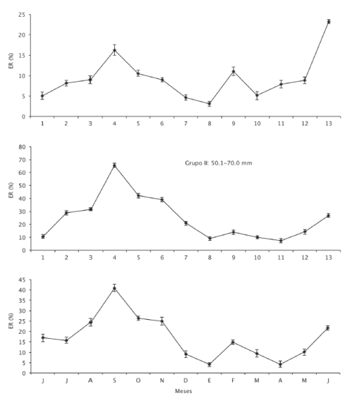
Esfuerzo reproductivo: El ER mostró fluctuaciones durante todo el periodo experimental (Fig. 3) con variaciones significativas (Fs= 5.33; P < 0.05) entre los tres grupos de longitud de A. zebra.

En los organismos del grupo i, el ER osciló entre un mínimo de 3.04 % en enero 2009 y un máximo de 23.26 % en junio 2009. Los valores de septiembre 2008 (65.50 %) y octubre de ese mismo año (41.9 %) en el grupo ii, superaron significativamente (Fs= 60.63; P < 0.001) los obtenidos en junio de 2008 (10.58 %), así como en enero (8.92 %) y abril 2009 (7.35 %).
Los ejemplares del grupo III, alcanzaron altos valores del ER en septiembre (40.93 %), octubre (26.41 %) y noviembre 2008 (25.0 %), con el más bajo en enero 2009 con 4.06 % (Fig. 3).
El análisis a posteriori de la matriz de diferencia entre las medias de esta variable en los tres grupos de longitud, indicó que no existen diferencias significativas con la formación de dos grupos. Uno formado entre los grupos i y ii y el otro constituido por el grupo iii (Cuadro 1).

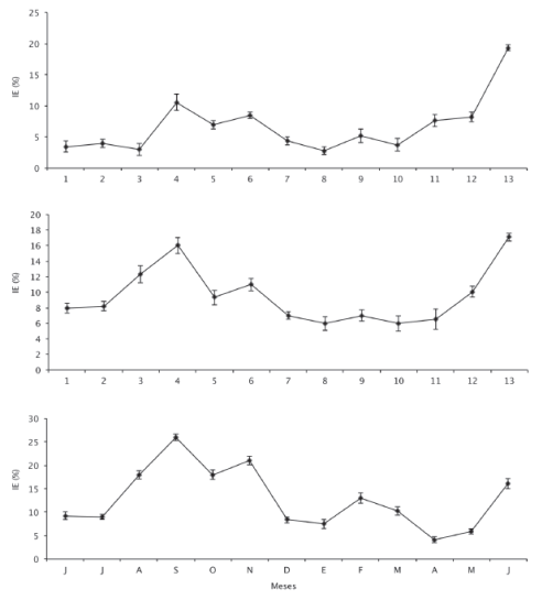
Índice de engorde: Los resultados indican que A. zebra presentó un iE con variaciones significativas (Fs= 4.69; P < 0.05) entre los tres grupos de longitud (LT). En general, el iE (10.56 %) y noviembre 2008 (8.50 %), así tuvo una relación altamente significativa con como en junio 2009 (19.35 %), mientras que la gónada (R2= 0.92; P < 0.01). Los mayores los más bajos se obtuvieron en agosto 2008 iE en el grupo i se registraron en septiembre (2.00 %) y enero 2009 (2.79 %). En los ejemplares del grupo ii, los valores máximos individuos del grupo iii, alcanzaron valores del iE sucedieron en septiembre 2008 (16.00 altos en septiembre (26.00 %) y noviembre %) y junio 2009 (17.09 %), y los mínimos en 2008 (21.00 %), y bajos en abril (4.11 %) y enero y marzo 2009, con 6.00 % cada uno. Los mayo de 2009 (5.92 %) (Fig. 4).

Los descensos del iE estuvieron correlacionados negativamente con el período de desove y los incrementos estuvieron correlacionados positivamente con el aumento de la biomasa gonadal. El análisis a posteriori de la matriz de diferencia entre las medias del iE en los tres grupos de longitud, indicó que existen diferencias significativas con la formación de un solo grupo (Cuadro 2).

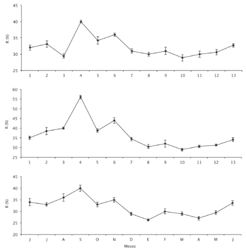
Rendimiento: El R estuvo directamente influido por el iE y ER, mostrando que para el grupo I, los mayores valores fueron en septiembre (40.12 %) y noviembre 2008 (36.00 %), y el más bajo en marzo 2009 con 28.87 %, sin diferencias significativas (Fs= 0.22; P > 0.05).
En los ejemplares de A. zebra del grupo II, ocurrió lo mismo que en el grupo anterior, donde el máximo valor de R fue en septiembre 2008 (56.10 %) y el mínimo en marzo 2009 (26.31 %), sin diferencias significativas (Fs= 3.62; P > 0.05). Para el grupo III, sin embargo, los menores valores se observaron en enero (26.31 %) y abril 2009 (27.00 %), y los máximos en agosto (36.00 %) y septiembre 2008 (40.18 %) (Fig. 5), determinándose diferencias significativas en el rendimiento entre grupos (Fs= 3.25; P < 0.05).

Mediante la prueba a posteriori Duncan se observó la formación de dos grupos, uno constituido por los grupos i y ii, y el otro por el grupo iii (Cuadro 3).

Factores ambientales: La clorofila a, estuvo generalmente por encima de 0.50 µg/L, con picos en julio (1.57 ± 0.02 µg/L), noviembre 2008 (1.65 ± 0.77 µg/L), febrero (2.18 ± 0.05 µg/L) y mayo 2009 (2.83 ± 1.07 µg/L); los valores mínimos se obtuvieron entre finales de agosto 2008 (0.64 ± 1.12 µg/L) y en abril 2009 (0.82 ± 1.04 µg/L) sin diferencias significativas (Fs= 0.59; P > 0.01).
El seston total y el seston inorgánico presentaron una tendencia similar, con los valores más altos y significativos (Fs= 18.24; P < 0.05) en junio 2008 (31.90 ± 1.09 mg/L y 25.31 ± 1.14 mg/L, respectivamente) y mayo 2009 (35.51 ± 2.64 mg/L y 28.46 ± 1.31 mg/L) y, los más bajos en agosto 2008 (23.61 ± 1.02 mg/L y 19.13 ± 2.31 mg/L), enero 2009 (23.58 ± 1.32 mg/L y 17.92 ± 1.09 mg/L) y abril 2009 (23.88 ± 1.05 mg/L y 20.12 ± 1.54 mg/L), mostrando generalmente, una elevada concentración de seston inorgánico (> 70 %) en relación al seston total. El seston orgánico presentó valores bajos con respecto al seston total, indicando que el mayor aporte del seston, es de materia inorgánica particulada. El seston orgánico, durante los meses de estudio no presentó una variación significativa.
La variación mensual de la salinidad, alcanzó altos valores en abril (36.79 ± 1.02 ppm) y mayo (36.80 ± 1.37 ppm) 2009, y bajos en octubre 2008 (36.21 ± 1.36 ppm), con variaciones que oscilaron entre los 36.21-36.80 ppm.
La concentración de oxígeno fue siempre mayor de 3.00 mg/L, con un promedio de 3.91 mg/L en los primeros seis meses de estudio (finales de junio-diciembre 2008) y de 4.60 mg/L en los meses restantes. La temperatura promedio en agosto 2008 fue de 25.5 ºC, alcanzó su máximo en septiembre (27.1 ºC), y disminuyó desde octubre (26.6 ºC), hasta el mínimo observado en diciembre (23.6 °C); en meses subsiguientes, la temperatura tuvo variaciones leves (alrededor de 24.0-24.5 ºC) (Cuadro 4).

Análisis de Componentes Principales (ACP) entre factores ambientales e índices fisiológicos: El ACP relaciona los factores ambientales en la zona de estudio con los diferentes índices fisiológicos analizados (ER, iE y R) para los tres grupos de longitud (LT), donde puede observarse que dichos índices estuvieron relacionados con la temperatura del mar (Fig. 6), presentando los grupos i, ii y iii los más altos porcentajes acumulados en el rendimiento, con 94.19, 94.79 y 96.41 %, respectivamente; que fueron superiores a los obtenidos en el esfuerzo reproductivo con 62.19, 72.06 y 74.39 % (Cuadro 5).


Los resultados indican que el porcentaje de la biomasa seca total del tejido somático de A. zebra, presentó variaciones en los tres grupos de longitud, que pudieron estar relacionados con los procesos reproductivos. Vélez (1971), señaló que los aumentos y descensos de la biomasa seca total en los moluscos están relacionados con la formación y pérdida de gametos; con base en ello, puede suponerse que en A. zebra los periodos de enflaquecimientos están asociados a los desoves y los de engorde con la madurez.
La mayor producción de la biomasa gonádica observada en A. zebra coincidió con la mayor proporción de organismos maduros. Estos resultados concuerdan con los reportados por Lista (2012); no obstante, difiere de otras especies como P. perna (Arrieche et al., 2002) y P. viridis (Acosta, Prieto, Licett, Longart, & Montes 2011; Lodeiros et al., 2013).
Los altos valores de la biomasa seca de las gónadas, se han relacionado con las reservas de carbohidratos que se transforman luego en lípidos totales para ser utilizados para la maduración de los ovocitos (Saint-Aubyn et al., 1999). Esta transferencia de energía se observó en este estudio, particularmente en agosto y noviembre 2008.
Los descensos en la biomasa seca de las gónadas observados en octubre y diciembre 2008, se deben a desoves, concordando parcialmente con lo señalado por Prieto y SaintAubyn (1998), quienes indicaron que el ciclo anual de desove y reclutamiento en A. zebra, presenta dos periodos: el primero entre junio y octubre, y el segundo en marzo.
Posiblemente, las diferencias existentes entre los meses de madurez y desove de las especies, en distintas o en las mismas zonas geográficas, se deben a estrategias reproductivas originadas por las oscilaciones anuales de los factores ambientales, muy influidos por variaciones en los ciclos climáticos. Por otra parte, las diferencias en la biomasa seca de la gónada en A. zebra indica que este bivalvo no tiene un mecanismo de maduración sincrónico, siendo probable que se reproduzcan durante todo el año, coincidiendo con lo señalado por Lista (2005) en esta especie, para P. perna (Arrieche et al., 2002), Anadara notabilis (Montero, 2006) y P. viridis (Acosta et al., 2011).
Los periodos de engorde y pérdida de biomasa reportados para A. zebra coinciden en forma general con los señalados para otros moluscos de importancia comercial en la zona nororiental de Venezuela, tales como P. perna (Vélez, 1971), Pinctada imbricada (León, Cabrera, & Troccoli, 1987) y Modiolus squamosus (Prieto, Flores, & Lodeiros, 1999). Probablemente la alternancia entre periodos de engorde y enflaquecimiento en diferentes periodos del año en una misma o diferentes especies se debe a las estrategias reproductivas las cuales se correlacionan con los factores ambientales que actúan disparando o retardando el ciclo reproductivo (Ruiz, Cabrera, Cruz, & Palacios, 1998).
El peso de la gónada ejerció una marcada influencia sobre el esfuerzo reproductivo, índice de engorde y el rendimiento de A. zebra, ya que estos alcanzaron sus máximos valores en los meses donde hubo mayor producción gonádica. En A. zebra, los cambios observados en el índice de engorde están relacionados con el volumen de las partes blandas, que es ocupada en la cavidad intervalvar (Vélez, 1971), este factor está relacionado con los procesos reproductivos de la especie, debido a que las gónadas constituyen una elevada porción del cuerpo de este bivalvo.
No se observó disminución del índice con el aumento de la longitud de A. zebra, como se ha reportado para otros bivalvos con biso que crecen apiñados como es el caso de Mytilus edulis, en los cuales según Galtsoff (1964) tal condición ocasiona un escaso desarrollo del espacio intervalvar.
El alto esfuerzo reproductivo observado en A. zebra en septiembre, noviembre y julio, sugiere que la especie mostró en general una buena condición fisiológica canalizando su energía para el crecimiento y reproducción (Acosta et al., 2011). A partir de organismos mayores de 50.0 mm, se observó un aumento del esfuerzo reproductivo que fue menor al reportado en especies de zonas templadas (Kautsky, 1982); sin embargo, debe tenerse en cuenta que éstas tienen un crecimiento más lento y su reproducción ocurre en un lapso breve, de forma explosiva, aprovechando las condiciones ambientales.
Se ha sugerido que existe una considerable variación intraespecífica en la repartición de la energía en las poblaciones que dependen de los factores ambientales, así MacDonald y Thompsom (1989) señalan que la liberación de altos porcentajes de producción de gametos sea una característica de especies de agua fría.
El rendimiento en A. zebra estuvo directamente influido con la producción de tejido reproductivo, somático, índice de engorde y esfuerzo reproductivo evidenciado de manera general durante los meses de agosto, septiembre y noviembre 2008; siendo mayor en organismos con longitudes que oscilaron entre 50.1 a 70.0 mm, es decir, en tallas intermedias seguido de ejemplares mayores de 70.0 mm, indicando que el peso de la concha contribuye más al peso total conforme se incrementa la longitud o que a una determinada longitud la producción cesa, lo que indica crecimiento solamente de la concha por incorporación de carbonato de calcio. Estos resultados coinciden con lo mencionado para otros moluscos bivalvos como Cerastoderma edule, M. modiolus, M. edulis (Brown, Seed, & O’Connors, 1976) y Anadara tuberculosa (Silva & Bonilla, 2001).
A efecto del aprovechamiento del recurso, la especie mostró altos valores en la biomasa del tejido somático, gónadas, índice de engorde, esfuerzo reproductivo y rendimiento en organismos mayores de 50.0 mm, sugiriendo que a partir de esta talla la especie presenta condiciones óptimas en su desarrollo, lo que le permite su comercialización para el consumo. Los resultados para A. zebra coinciden con lo señalado por Lista (2012); sin embargo, difieren de lo reportado por Arrieche et al. (2002) en P. perna del morro de Guarapo, los cuales recomiendan realizar la explotación de este bivalvo a una longitud superior a los 60.0-80.0 mm, que es cuando alcanza la mayor eficiencia de rendimiento.
Acosta, Prieto y Lodeiros (2006), señalan que P. perna y P. viridis bajo un sistema suspendido de cultivo en la Ensenada de Turpialito, golfo de Cariaco alcanzaron sus mayores índices de condición en diciembre, con longitudes promedio de 65.84 mm y en enero de 55.70 mm, respectivamente; indicando que estas longitudes son adecuadas para la comercialización de estas especies.
Los valores del rendimiento obtenidos en A. zebra son superiores (36-56 %) a los reportados en Modiolus capax (24.60 a 27.20 %; Cabrera, Zamora, & Pacheco, 1995), Saccostrea palmula (10.32 %; Cabrera Protti, Urriola, & Sáenz 2001) y P. perna (29.37 %; Arrieche et al., 2002). Sin embargo, son ligeramente menores a A. notabilis (35.00 %; Montero, 2006), Atrina seminuda (35.00 %; Córdova, 2006), P. perna (45.00 %; Acosta et al., 2006; 2009) y P. viridis (48.00 %; Acosta et al., 2011), por lo cual esta especie se puede considerar de gran valor para la explotación por la alta eficiencia en la producción de tejido.
Aún cuando no se registraron elevadas biomasas de fitoplancton en el morro de Chacopata, este se mantuvo relativamente constante durante el período de estudio, sugiriendo que la especie siempre tuvo disponible alimento y, aprovechándolo como fuente energética. Esto indicaría que A. zebra muestra una estrategia reproductiva del tipo oportunista, ya que utiliza la energía obtenida a partir del alimento y la invierte directamente en su reproducción, con un comportamiento similar a P. viridis (Acosta et al., 2009).
En este estudio, los altos valores de la biomasa seca de las gónadas y del índice de engorde observados en septiembre 2008, en los organismos mayores de 50.0 mm, coincidieron con un incremento de la temperatura de 27.1 ºC en ese mismo mes, para posteriormente experimentar disminuciones de 22.7 °C en marzo 2009.
Las bajas temperaturas posiblemente permitieron la expulsión de gametos, ya que este factor puede actuar desencadenando desoves de los órganos reproductivos (Giese & Pearse, 1974). Vélez, Elizabeth y Freites (1993) señalaron que cuando la temperatura del agua es menor de 26 °C, la energía es canalizada para los procesos de gametogénesis y crecimiento de la gónada, mientras que, cuando sobrepasa este valor, la energía se utiliza para la maduración fisiológica de gametos, particularmente de los ovocitos.
Una estrategia de reproducción asociada positivamente con la temperatura también ocurre en Lima scabra (Lodeiros & Himmelman, 1999) y en P. perna (Tejera, Oñate, Nuñez, & Lodeiros, 2000); en contraste con Euvola (Pecten) ziczac (Lodeiros & Himmelman, 2000) y Pinna carnea que poseen una asociación negativa (Narváez, Lodeiros, Freites, Núñez, Pico, & Prieto, 2002). En cambio, Lyropecten nodosus (Vélez, Sotillo, & Pérez 1987) y Pteria colymbus (Márquez, Lodeiros, Jiménez, & Himmelman, 2000) colectadas en el nororiente de Venezuela no muestraron asociación entre la temperatura y la masa gonádica.
Las estrategias de reproducción en relación a la temperatura, permiten sincronizaciones locales de los moluscos en la zona nororiental del país. Esto garantiza que actúen en concordancia con la variabilidad ambiental y la interacción de los diversos factores ambientales, entre ellos, los vientos, que producen afloramientos de aguas profundas o corrientes de surgencias periódicas en estos ecosistemas marinos tropicales (Arrieche et al., 2002). De esta manera, las especies en dicha zona presentan ritmos adaptativos a estas condiciones, manifestando diferentes estrategias reproductivas en relación a la influencia ambiental.
La disponibilidad de alimento en contraste con la temperatura, probablemente no es un factor importante para A. zebra en el área de muestreo, ya que como se sugiere no es limitante. Si bien no se registraron elevadas biomasas fitoplanctónicas, que generalmente, se mantuvieron por encima de 0.50 µg/L, lo cual representa una constante disponibilidad de alimento. Estos resultados concuerdan con los obtenidos por García (1987), quien en un estudio de la reproducción en esta especie en los bancos naturales de Punta Arena, isla de Cubagua y las Cabeceras, isla de Coche, concluye que la temperatura ejerce mayor influencia sobre el proceso reproductivo de A. zebra.
Saint-Aubyn et al. (1999) señalaron que otro factor ambiental de importancia en A. zebra es la disponibilidad de alimento, al igual que en Euvola (Pecten) ziczac (Lodeiros & Himmelman, 2000) y Anadara notabilis del golfo de Cariaco (Zapata, 2000), lo cual soporta la variabilidad de estrategias reproductivas en concordancia con los factores ambientales de la zona.
Por otra parte, como el seston orgánico se mantuvo en un rango de 5 a 8 mg/L se descartó, su influencia en las estrategias reproductiva de A. zebra en el morro de Chacopata, debido a que posiblemente estos valores son óptimos y los ejemplares no experimentan deficiencias o excesos de seston orgánico que le impulsen a desarrollar alguna estrategia reproductiva por este factor.
La salinidad varió poco durante el estudio y la concentración de oxígeno se mantuvo con valores altos, el cual se estima que no influyen significativamente en los procesos fisiológicos de estos bivalvos, sugiriendo poco efecto en la reproducción de A. zebra en el área de muestreo.
El alto contenido del componente inorgánico en el seston, probablemente influyó negativamente en el balance energético para la producción gonádica en A. zebra. Se detectaron valores mayores del 70 %, lo cual puede estar influenciado por la dinámica de la costa, el oleaje y la acción continua de la captura de esta especie, que se realiza mediante rastras artesanales con un número aproximado de 30 embarcaciones durante la época que permite la normativa nacional que va desde febrero hasta junio; agosto-septiembre y noviembre (INSOPESCA, 2006).
Los altos porcentajes de material inorgánico podrían afectar la ingestión por dilución de la materia orgánica en la especie. No obstante, determinaciones fisiológicas relativas a la ingestión realizada en A. zebra y Pinctada imbricada (Ward & McDonald, 1996) muestran que especies con altos niveles de seston, poseen una ingestión preferencial de material de bajos valores en la relación Carbono: Nitrógeno (C:N), lo cual mejora en un 31 % la calidad del material ingerido, estrategia fisiológica en compensación con el decrecimiento de la disponibilidad de alimento por los altos valores de seston inorgánico que se registraron para la zona, de mucha importancia para el éxito adaptativo de la especie.
Se agradece a Narciso Velásquez, por su colaboración en la captura de los ejemplares y recolección de las muestras de agua y al personal técnico del instituto Oceanográfico, por su colaboración en la determinación de la salinidad.










