Articulo
Received: 25 July 2015
Accepted: 25 February 2016
Abstract: Mexico is dominated by arid or semi-arid ecosystems, predominantly characterized as xeric shrublands. These areas are frequently deteriorated due to agriculture or over-grazing by livestock (sheep and goats). The vegetation type mainly consists of thorny plant species, and among these, the dominant one in overgrazed areas is catclaw (Mimosa biuncifera). This is a nurse plant that facilitates establishment of other vegetation and promotes plant succession. Catclaw plants form a mutualistic association with arbuscular mycorrhizal fungi (AMF), which improves uptake of nutrients and water. The objective of this study was to determine the effect of inoculating catclaw plants with native AMF and starting their growth under a low water availability treatment in a greenhouse, and later transplanting them to field conditions of drought and deterioration. Field plants were evaluated according to their survivorship and growth. The seeds of catclaw plants and soil with AMF spores were collected in the Mezquital Valley of Hidalgo State, in Central Mexico. Seedlings were grown in individual pots in a greenhouse. The experimental design consisted of two levels of pot irrigation, wet (W) and dry (D), as well as the presence (M+) or absence (M-) of AMF inoculum, with 20 replicates for each treatment. The following plant parameters were recorded every week: height, number of leaves and pinnae, and mean diameter of coverage. After 20 weeks in the greenhouse, determination was made of fresh and dry biomass, relative growth rate (RGR), root/shoot ratio, real evapotranspiration (RET), water-use efficiency (WUE), and percentage of mycorrhizal colonization. The remaining plants growing under the dry treatment (M+ and M-) were then transplanted to a semi-arid locality in the Mezquital Valley. During one year, monthly records were kept of their height, number of leaves, mean diameter of coverage and survival. Results showed that compared to greenhouse plants under other treatments, those under the wet mycorrhizal (WM+) treatment were taller, had more pinnae, and were characterized by greater coverage, faster RGR, and greater fresh and dry biomass. Moreover, inoculated plants (WM+ and DM+) showed higher WUE than those uninoculated (WM- and DM-, respectively). After one year in field conditions, there was a higher survival rate for previously inoculated versus uninoculated plants. Hence, mycorrhization of M. biuncifera with native AMF inoculum increased plant efficiency in biomass production, thus favoring establishment and survival in field conditions. We concluded that inoculation of catclaw plants is recommendable for revegetation programs in deteriorated semi-arid zones. Rev. Biol. Trop. 64 (2): 791-803. Epub 2016 June 01.
Keywords: Mimosa biuncifera, arbuscular mycorrhizal fungi, water-use efficiency, plant establishment, Flourensia resinosa, Mezquital Valley.
Resumen: Más de la mitad del territorio mexicano está dominado por ecosistemas áridos y semiáridos. El principal tipo de vegetación de estos ambientes son matorrales xerófilos y normalmente están deteriorados por agricultura y sobrepastoreo de ovejas y cabras inducido por la actividad humana. Las plantas espinosas dominan en estas zonas, como el gatuño (Mimosa biuncifera Benth., Fabaceae), que es una planta nodriza que promueve la sucesión vegetal. Las plantas de gatuño forman junto con hongos micorrizógenos arbusculares (HMA), una asociación mutualista llamada micorriza arbuscular que mejora la captación vegetal de nutrimentos y agua. El objetivo de este trabajo fue determinar el efecto de la inoculación con HMA nativos en plantas de gatuño, para evaluar su crecimiento y establecimiento bajo un tratamiento de baja disponibilidad hídrica, tanto en condiciones de invernadero como de campo. Para esto, se recolectaron semillas de Mimosa biuncifera y suelo con esporas de HMA en el Valle del Mezquital, estado de Hidalgo, en el Centro de México. Las plántulas fueron cultivadas en macetas individuales en condiciones de invernadero bajo un diseño experimental que consistió en dos tratamientos de riego de las macetas, húmedo (W) y seco (D), y dos tratamientos de inoculación: con y sin inóculo de HMA (M+, M-). Cada tratamiento tuvo 20 repeticiones. Semanalmente se registró altura, diámetro medio de la cobertura y número de hojas y pinnas de las plantas. Después de 20 semanas, se determinaron biomasa húmeda y seca, tasa relativa de crecimiento (TRC), proporción raíz vástago, evapotranspiración real, eficiencia en el uso del agua (WUE) y porcentaje de colonización micorrícica. Posteriormente, los individuos del tratamiento seco (M+ y M-) fueron trasplantados a una localidad semiárida en el Valle del Mezquital, donde la altura, número de hojas y supervivencia fueron registrados mensualmente durante un año. Los resultados muestran que las plantas en el tratamiento húmedo y micorrizado (WM+) tuvieron una mayor altura, cobertura vegetal, biomasa húmeda y seca, TRC y más pinnas que las plantas de los otros tratamientos; también los tratamientos micorrizados (WM+ y DM+) tuvieron mayor WUE que la plantas sin inóculo (M-). En condiciones de campo, después de un año, la supervivencia de las plantas M+ fue mayor que en los testigos. Se concluyó que la micorrización de M. biuncifera con inóculo nativo incrementa su eficiencia en la producción de biomasa y favorece el establecimiento y supervivencia en condiciones de campo. Finalmente, se recomienda la inoculación de plantas de gatuño con HMA en programas de revegetación de zonas semiáridas deterioradas.
Palabras clave: Mimosa biuncifera, hongos micorrizógenos arbusculares, uso eficiente del agua, establecimiento vegetal, Flourensia resinosa, Valle del Mezquital.
Approximately 60 % of land area in Mexico is arid or semi-arid (Herrera-Arreola, Herrera, Reyes-Reyes, & Dendooven, 2007). Thorny xerophytic shrubland represents nearly 40 % of the Northern and central regions of the country (Rzedowski, 1994). The main farming activities in semi-arid areas are low-rainfall agriculture and animal husbandry with small livestock (goats and sheep) on rangelands. The latter activity frequently gives rise to over-grazing of plants and erosion of the soil. Soil degradation also comes about from land clearing for agricultural use, as well as over-exploitation of certain species of trees for wood, which damages the vegetation cover and leaves soil bare (Bainbridge, 1990).
Ecological restoration techniques have been developed to reverse the process of land degradation by establishing a new plant community. Native species mosaics (herbaceous and woody) are employed in degraded areas to restore soil fertility, which in turn encourages the formation of microclimates and stimulates the hydrological cycle so as to restore native flora and fauna (Gutiérrez & Sqeo, 2004). One of the families recommended for plant restoration is Fabaceae (legumes) (Aronson, Floret, Le Floc’h, Ovalle, & Pontanier, 1993; Padilla, Ortega, Sánchez, & Pugnaire, 2009). A member of this family, Mimosa biuncifera Benth., is the dominant species in over-grazed rangelands of Central Mexico. Indeed, the Mimosa genus is widely distributed throughout North and South America (Grether, Camargo-Ricalde, & Martínez-Bernal, 1996).
Leguminous plants in semi-arid areas normally have a dual symbiosis with fungi and bacteria, which represents an evolutionary strategy. In general, these plants are highly dependent on mycorrhizal species, a competitive mechanism that becomes useful in ecological succession and recovery of disturbed sites (Requena, Pérez-Solís, Azcón-Aguilar, Jeffries, & Barea, 2001; Mohammadi, Khalesro, Sohrabi, & Heidari, 2011). The symbiosis of legumes with arbuscular mycorrhizal fungi (AMF) facilitates the efficient absorption of water as well as nutrients and minerals. Hyphae of these fungi explore a larger volume of soil than their host, normally assisting the plant in achieving higher biomass production, reduced root resistance to water, and increased ability to withstand water stress compared to plants without this association (Harrison, 2005; Douds & Jonson, 2007). On the other hand, Rhizobium spp. symbionts elicit root nodule formation in leguminous plants, promoting host nutrition.
The Mimosa genus is known to improve soil conditions, providing organic matter, nitrogen and other elements, and to enhance microclimatic conditions such as soil moisture and temperature. With these properties, Mimosa facilitates the establishment of other plants (Camargo-Ricalde, Dhillion, & Grether, 2002; García-Sánchez et al., 2012). Consequently, the propagation of leguminous plants in symbiosis with mycorrhizal fungi and Rhizobium is a way to reclaim land, promoting the survival of native species under the adverse conditions that are typical in degraded areas of arid or semi-arid lands (Aronson et al., 1993; Padilla et al., 2009).
Under conditions of limited water availability, continuous transpiration is a particularly important factor for non-succulent plants. About 95 % of water absorbed by plants is lost in transpiration, leaving only 5 % for consumption in physiological processes (Kramer, 1989). Water loss is therefore potentially harmful for the growth and development of plants in arid regions (Pereira, Chaves, Caldeira, & Correia, 2006). Accordingly, water-use efficiency (WUE) is a useful parameter in arid and semi-arid lands, as it indicates the total CO2 fixed (‘profit’) per unit of water lost (‘cost’) (Nobel, 1983).
The aim of the present study was to determine the effect of the symbiosis between M. biuncifera and arbuscular mycorrhizal fungi (AMF) on the establishment of this leguminous plant in deteriorated areas, considering that this relationship could be useful for ecological restoration. Specifically, we analyzed the results of inoculating M. biuncifera with AMF, determining various parameters related to the growth of these plants cultivated in a greenhouse and later transplanted to field conditions of drought and deterioration.
Materials and methods
Experimental site: Seeds of M. biuncifera were collected in Xitzio, a locality in the Mezquital Valley of Hidalgo State in Central Mexico (20°22’30” N - 98°56’13” W) at an altitude of 2 059 m. The soil for the seedlings was also collected in the Mezquital Valley (20°23’34” N - 98°58’24” W). This valley contains different types of vegetation and is dominated by plant communities of thorny shrubs (Fabaceae) as well as crassicaule (Cactaceae) and rosetofilous (Agavaceae) species. The climate is classified as semi-temperate, with summer rainfall and a period of intraestival drought, which corresponds to types BS0K(w”) w’(i’)g and BS1K(w”)w’(i’)g according to García (1981). The average annual temperature is 16 ºC, and the average annual rainfall is 550 mm. The wet season (June-September) is followed by a period of drought ranging from six to eight months (Monroy & García, 2009). The local soils are Leptosols and Vertisols, with clay being the largest proportion of texture.
Species selection: We worked with M. biuncifera (catclaw, gatuño or “uña de gato”) since it is a shrub that is widely distributed in the semi-arid regions of Mexico (McVaugh, 1987). This shrub makes important contributions to the maintenance and enhancement of ecosystems because it promotes plant succession. Being one of the earliest settlers in highly eroded soils, it creates an “island of resources” under the resulting canopy. It restores soil fertility by increasing the concentration of nutrients, prevents the loss of soil to erosion, increases the availability of water, and creates a microclimate that allows for the establishment of other plant species (Camargo-Ricalde et al., 2002; Luna-Suárez, Frías-Hernández, OlaldePortugal, & Dendooven, 2000). Moreover, it is a source of active mycorrhizal propagules (Camargo-Ricalde & Dhillion, 2003).
Laboratory phase: The initial phase of the study was conducted in a greenhouse with a mean temperature of 22 °C (maximum, 33 °C; minimum, 11 °C) and a mean relative humidity of 41 % (maximum, 50 %; minimum, 9 %), located on the Zaragoza campus of the National University (Universidad Nacional Autónoma de México, UNAM), on the east side of Mexico City.
Soil and inoculums: The soil, collected near the town of Santiago de Anaya (in the Mezquital Valley of Hidalgo State) is a Leptosol, rich in calcium carbonate with 2.6 % of organic material and loam texture, pH 8.4. For its use in the greenhouse, it was sieved and mixed with marble gravel 1:1 (V/V) in order to promote water filtration. The soil material was sterilized in an autoclave for 1 h at 96 ºC. For the mycorrhizal plant treatment, we used an inoculum obtained from two plant species: Lycopersicum sculentum P. Mill. (Solanaceae, tomato) and Lolium multiflorum Lam. (Poaceae, annual ryegrass). The initial inoculum was obtained from soil collected in the experimental area of the Santiago de Anaya municipality. From this source we obtained a final inoculum of 1 934 spores/100 g of soil, including spores from Acaulospora sp., Glomus claroideum, Glomus sp. and Sclerocystis sp. mycorrhizal fungi. The inoculum also contained some root remnants of these two plants species.
Germination: A total of 150 seeds of M. biuncifera were disinfected by immersion in 10 % sodium hypochlorite for 10 minutes. Mechanical scarification was performed on the rear of the embryo position, and the seeds were placed in Petri dishes with wet filter paper and kept at room temperature to induce germination.
Transplanting and inoculation: Three days after germination, 80 seedlings were transplanted into tubular PVC (polyvinyl chloride) pots 24.5 cm high and 7.2 cm in diameter. The initial water treatment (whether wet or dry) was applied during the transplanting process. The pots were sealed at the base with no drain hole in order to maintain control of soil moisture. The seedlings were divided into two batches of 40 pots each. The uninoculated batch (M-) received 1 100 g of sterilized soil, while the inoculated plants (M+) received 1 000 g of sterile soil plus 100 g of AMF inoculum. The pots with inoculum received soil filtered with distilled water to encourage the mycorrhizal association. For this purpose, 100 g of soil from the study area was mixed with 100 mL sterile water to yield a solution of soil bacteria that was filtered with Whatman No. 42 paper (to screen out mycorrhizal fungal spores). Finally, another eight containers, four for the wet treatment and four for the dry treatment, were prepared with 1 100 g of soil but without plants in order to determine the evaporation rate.
Irrigation: For the batch of 40 pots (20 M+ and 20 M-) given the wet treatment (W), each plant received an initial watering with 40 mm H2O (162.86 mL) to provide a water reserve. Weekly irrigation treatments with 20 mm H2O (81.43 mL) were initiated 11 days after transplanting. As of the 14th week we reduced the irrigation quantity to half (10 mm), therefore reaching a total of 370 mm H2O (1 506.45 mL) by the end of the treatment.
The 40 pots (20 M+ and 20 M-) given the dry treatment (D) received 50% of the amount of water programmed for the wet treatment. Thus, the initial water reserve was 20 mm (81.43 mL), with weekly watering of 10 mm (40.71 mL) that was reduced to 5 mm as of the 14th week, thus reaching 185 mm (753.22 mL) of water by the end of the irrigation period.
Four pots (without plants) following the W treatment and another four with the D treatment were used as a control to determine water evaporation. The greenhouse experiment was conducted during 20 weeks, beginning in March and finishing in August of 2001.
Variables recorded: We weekly measured the following variables in all plants of each treatment: total height, mean diameter of the foliar coverture (the average of the large diameter and small diameter), and the number of leaves and pinnae.
Real evapotranspiration: The amount of water that evaporated in each week of treatment was calculated using the following equation (Nobel, 1983):
RET = WAWx - WBWx+1
where RET is the real evapotranspiration, WAW the weight of the pot after watering (g), WBW the weight of the pot before watering (g), and x the week of irrigation. To calculate the amount of water evapotranspired in mm, we used the density of water at 25 °C (0.996 g/cm3).
Fresh biomass and dry biomass: By the end of August 2001, the plants not taken to the field (those with either the W or D treatment) were harvested in order to obtain the fresh shoot and root weight. To obtain the dry weight, some roots and shoots were placed separately in a stove at 70 ºC for 72 h (Hunt, 1982). With this information we calculated the root/shoot ratio.
Relative Growth Rate and Water-Use Efficiency: At the beginning of the experiment, 35 seedlings were grown in parallel with the rest but harvested after a week in order to calculate their initial mean dry weight. This value was used to estimate the relative growth rate (RGR) at the end of each treatment with the following formula (Hunt, 1978):
RGR = (lnX1 - lnX0)/(t1 -t2)
where X1 is the final weight, X0 the initial weight, t1 the final time (days), and t0 the initial time (days).
With the final dry biomass at the end of the greenhouse experiment and the total irrigation water for each treatment, the water-use efficiency was obtained from the following formula (Nobel, 1983):
WUE = [final dry biomass (g)]/(kg of total irrigation water)
Mycorrhizal colonization: In order to measure the percentage of colonized root, we took roots at soil depths of 0-10 cm and 10-20 cm from plants harvested after the end of the water treatments. Roots were cleared and stained with trypan blue using the technique of Phillips & Hayman (1970). Four slides (with 20 segments each) were obtained from each plant, two corresponding to the roots from a depth of 0 to 10 cm and two from 10 to 20 cm, to obtain the percentage of mycorrhizal colonization. The percentage of root length colonization was calculated according to the method of McGonigles, Miller, Evans, Fairchild & Swan (1990).
Field phase- selection of plants and field transplanting: By the end of August 2001, a total of 24 plants of M. biuncifera had been transplanted to the experimental field site, including 12 that underwent dry mycorrhizal treatment (DM+) and 12 from the dry non-mycorrhizal treatment (DM-). We chose plants that were about the same height (± SD) in order to observe the effect of mycorrhization. The field site was rangeland that had been disturbed by overgrazing near the town of Santiago de Anaya, dominated by Flourensia resinosa (Brandegee), S. F. Blake (Asteraceae) and Mimosa depauperata Benth. (Fabaceae). An F. resinosa individual was selected as a nurse plant for each M. biuncifera greenhouse plant, the latter of which was transplanted to the North position to protect it from sunlight. To protect it from forage, each M. biuncifera plant was surrounded with rocks.
The field variables were recorded starting from the date of transplanting (August 16th, 2001). Thus, survival, height, coverage diameter, and number of leaves of the plants were measured monthly for one year (August 2001 to July 2002).
For data analysis, the mean values of height, average diameter of coverage, number of leaves and pinnae, wet and dry weight of shoots and roots, root/shoot ratio, RGR, RET and WUE were compared using analysis of variance (ANOVA) of two factors (water treatment and mycorrhization), with significance considered at P ≤ 0.05. When variables showed a significant difference, a Tukey test was applied. We also undertook an analysis of covariance of the root and shoot dry biomass from the four treatments. In the case of root colonization by structures, we used the ANOVA test of two factors (water treatment and mycorrhization), with significance considered at P ≤ 0.05. For field plant survival, the values for height and number of leaves were analyzed with the Student’s t-test, with the same level of significance.
Results
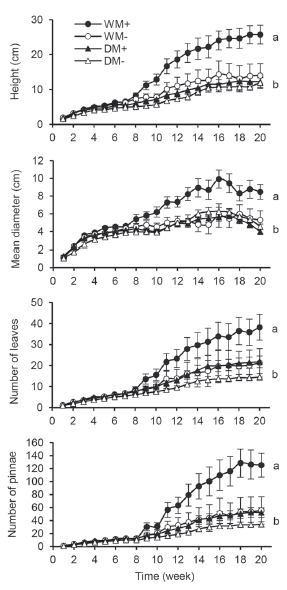
Growth: In the last week in the greenhouse experiment, WM+ plants showed a greater increase in height, average diameter of coverage, and number of pinnae than the other treatments (Fig. 1), according to ANOVA (F3,49 = 7.36, F3,49 = 13.47 and F3,49 = 5.45, respectively; P < 0.05 in all cases). Regarding the number of leaves, a significant difference was not found in the interaction between the water and mycorrhization treatments (F3,49= 1.56, P= 0.217), but did indeed exist between dry and wet treatments (F1,49= 8.93, P= 0.004) and inoculated versus uninoculated plants (F1,49= 9.70, P= 0.003). In the latter case, the values were determined considering the joint irrigation treatments. In the last week of the greenhouse experiment, the number of leaves was higher for the wet treatment and the inoculated plants.

Real evapotranspiration (RET): During the 20 weeks of greenhouse (i.e., climatecontrolled) conditions, the RET showed a significant difference only between the dry and wet treatments (F1,49= 272.79, P < 0.001). There was no significant difference between inoculated and uninoculated plants (M+ and M-) (F1,49= 0.12, P= 0.73) or in the interaction between the water and mycorrhization treatments (F3,49= 0.29, P= 0.59) (Table 1).

Fresh biomass and dry biomass: The ANOVA showed a significant difference (F 3,24= 7.71, P < 0.01) between the biomass values from the wet and dry treatments. The WM+ yielded higher values than the other treatments (Table 1). The dry treatment gave a lower biomass dry weight than the WM+ treatment. The root/shoot ratio exceeded 1.0 in all four treatments, exhibiting its lowest value with the WM+ treatment and its greatest value (over 2) with the DM- treatment (Table 1). This ratio was not significantly affected by the interaction between the water and mycorrhization treatments (F3,24, P= 0.23). A correlation analysis (R2= 0.873) showed an equilibrium between shoot and root biomass (Fig. 2).

Relative growth rate and water-use efficiency: For RGR and WUE, ANOVA demonstrated a significant difference between inoculated and uninoculated plants under both water treatments (F3,24= 7.71, P < 0.01 for the wet treatment; F3,24= 5.26, P < 0.01 for the dry treatment). Hence, inoculated plants used water more efficiently in both the wet and dry treatments, producing more biomass per unit of irrigated water than uninoculated plants (Table 1).
Mycorrhizal colonization: Compared to the DM+ treatment, WM+ resulted in greater mycorrhizal colonization, measured by vesicles, hyphae and the total of these two parameters (21.56 versus 33.98 %, respectively; Fig. 3). ANOVA showed a significant difference between the water treatments (F1,93= 5.52, P= 0.02), as well as between inoculated and uninoculated plants (F1,93= 66.63, P < 0.001). The ANOVA test revealed significant differences in the percentage of colonization by vesicles between the four treatments (F3,93 = 9.81 , P= 0.002). Contrarily, there were no differences in the percentage of hyphae and total colonization (F3,93= 3.58, P > 0.6).

Plant survival and growth in the field: One year after transplanting greenhouse plants into the experimental field area, there was no significant difference with respect to the survival percentage between those with the dry treatment that were inoculated and uninoculated, according to Student’s t-test. Survival was high in both cases (M+= 91.66 %; M-= 83.33 %; Fig. 4). There was no significant difference in height (t-test= 0.93, d.f.= 1, P= 0.36) (Fig. 4) or number of leaves (t-test= 0.42, d.f.= 1, P= 0.52). Nevertheless, M+ plants were visually taller than M- plants. The field data on these plants indicated a reduction in their heights after transplanting, which was due to browsing of the apical part. However, there was no significant effect on the mortality of individual plants, and in the last few months of the field experiment their height increased again.

Discussion
Transpiration depends on factors intrinsic to the plant as well as environmental factors. If the water supply is abundant, then absorption by the roots is rapid and transpiration is controlled by both plant roots and atmospheric factors. If the water supply is scarce, water absorption by the roots is slow, reducing transpiration.
To the extent that restricted water absorption causes water stress in plant leaves (leading to the closing of stomata), there is increasing resistance of the leaf to transpiration (Kramer, 1989; Morte, Lovisolo, & Schubert, 2000). The plants in the dry treatment of the current contribution therefore exhibited less transpiration than those in the wet treatment.
However, there was no significant difference in the greenhouse between the transpiration of inoculated and uninoculated plants within the wet or dry group. This may be due to the small size of the plants, the fact that they had similar foliage coverage, and/or the variation of the environmental conditions in the greenhouse. It is known that the effects of mycorrhizal on plants can be modulated by levels of irradiance, air temperature and leaf temperature (Augé, Moore, Sylvia, & Cho, 2004; Ruiz-Lozano & Aroca, 2010).
The significantly greater difference in plant growth (height and coverage diameter) between the wet and dry treatments was due in part to water stress prompted by the latter treatment. Such stress retards the physiological processes of the host plant, including the photosynthetic rate (Kramer, 1989; Wu, Bao, Li, & Wu, 2007). In this sense, it has been determined that the symbiosis with AMF assists host plants (especially in dry regions) to withstand water stress (Mathur & Vyas 2000; Collier, Yarnes, & Herman, 2003). The growth difference between water treatments also owes itself to decreased availability of soil nutrients with the dry treatment, leading to nutrient stress in both the presence and absence of AMF colonization (Fagbola, Osonubi, Mulongoy, & Odunfa, 2001; Bolandnazar, Aliasgarzad, Neishabury, & Chaparzadeh, 2007).
Plants inoculated with AMF generally have higher WUE than uninoculated plants, leading to greater dry biomass production (Augé, 2001), especially in drought conditions. Nevertheless, this depends on the life history of the plant, which is directly related to physiological patterns (Querejeta, Barea, Allen, Caravaca, & Roldán, 2003). For a single species, according to Jones (1992), the WUE is often (although not invariably) constant over a wide variety of treatments. We found that both inoculated and uninoculated plants with the wet treatment showed greater WUE than those with the dry treatment, reflecting the greater efficiency of biomass production when the plant has adequate availability of water. This was especially true for WM+, evidencing the greater efficiency of biomass production with mycorrhizal association.
Inoculated plants have been reported to have greater biomass and stomatal conductivity, due to the improved water supply to the host facilitated by the fungus (Varma, 1999; Augé, 2001; Augé, 2004). Data herein obtained showed that the growth of plants in the WM+ versus WM- treatments is due to the effect of AMF. Mycorrhizal fungi are known to improve the nutritional status and favor biomass production of shrubs in semi-arid areas, since the fungus hyphae acquire water and nutrients for the host plant (Caravaca et al., 2003), even dissolving rock minerals (Landeeweert, Hoffland, Finlay, Kuyper, & van Breemen, 2001). In their studies of inoculated versus uninoculated legumes, Chalk, Souza, Urquiaga, Alves, & Boddey (2006) found greater biomass (roots and above-ground parts of the plant), increased growth, and higher concentrations of minerals such as N, P and K in the former (Ghosh & Verma, 2006).
The shoots and roots of plants colonized with AMF undergo a high growth rate. Nevertheless, as symbionts AMF depend entirely on the host plant for their supply of carbon substrates, and therefore form an integral part of the carbon economy of colonized plants. The absence of any significant difference in the present study between the growth of the DM+ treated plants and that of their control (DM-) can be explained mainly in relation to the cost that the fungus represents in the consumption of carbon fixed by the host plant, sometimes taking up to 20 % (Smith & Read, 1997).
AMF typically enhances the below-ground demand for photoassimilates (so that the plant gains a high R/S ratio). In some scenarios, the proportion of carbon flowing to AMF is sufficient to slow down plant growth (Bago, Pfeffer, & Shachar-Hill, 2000; Smith, Grace, & Smith, 2009). Other studies report that inoculated plants have a reduced R/S ratio (Ghosh & Verma, 2006; García, Mendoza, & Pomar, 2008; Smith et al., 2009), or that there are no differences between inoculated and uninoculated plants, except that the architecture of the roots of the former is less branched. This may be due to greater availability of soil nutrients because the phytobiont increases water availability (Green, Baddeleya, Cortina, & Watson, 2005). The increase in the R/S ratio in semiarid zones appears to depend on the identity of the partners involved in the symbiosis (Caravaca et al., 2003).
The fact that the plants of the dry treatments in this study had high R/S values shows that their root system grew more to compensate for the water stress caused by low water availability in the soil. A water deficit inhibits the growth of foliage, and consequently limits photosynthesis (Chaves et al., 2002).
Newton and Goodin (1989) stated that the evergreen shrubs of dry regions usually have an R/S ratio ≥ 1, meaning that the roots are favored in the partitioning of carbon obtained from photosynthesis. The R/S ratio normally increases in arid and semi-arid zones because plants respond to this environment by branching out roots and exploring deep soils as a strategy for obtaining water (Lloret, Casanovas, & Peñuelas, 1999). For instance, it has been reported that when specimens of Mimosa strigillosa Torr. & A. Gray (Fabaceae) experienced water and soil pH stress, their R/S ratio increased (Chang, Crowley, & Nuruddin, 1995; Ainuddin & Chang, 1999). Plants with a larger R/S ratio grow as well in environments with limited water and limited nutrients in the soil as some leguminous phreatic plants (Cervantes, Arriaga, Meave, & Carabias, 1998; Villagra & Cavagnaro, 2006).
Just as the R/S ratio depends in part on the identity of the host plant and its fungi, so does the extent of mycorrhizal colonization (Zhao, Trouvelot, Gianinazzi, & GianinazziPearson, 1997), which is also related to environmental conditions such as humidity and temperature. Regarding humidity, a delay is observed in germination of the spores when the soil moisture is minimal, which may be a survival strategy under stress in arid and semiarid areas. Additionally, a decrease in fungal colonization is observed under dry conditions (Jacobson, 1997; Varma, 1999). Hampp, Nehls & Wallenda (2000) found that young Mediterranean shrubs respond to moderate drought with a corresponding decrease in mycorrhizal colonization. This could explain the lower colonization rate with the DM+ than WM+ treatment, even though both groups received the same amount of inoculum and the same spore density.
The distinct numbers of spores as well as their diversity in the two mycorrhizal treatments (W and D) are due to differences in spore density with distinct conditions of humidity, temperature, host interaction and soil depth. We found spores from the genera Acaulospora and Glomus (possibly the species Glomus claroideum), as well as two different types of sporocarps. The composition and abundance of spores and their contribution to root colonization are probably influenced by a wide range of factors related to the dominant fungal species as well as its spore production and cellular activity. These factors vary according to the type of plant community as well as environmental variables (Smith & Read, 1997; Escudero & Mendoza, 2005).
In arid and semi-arid areas, plants face limitations such as low and variable rainfall (Allen, 1999a). It appears that the cost for plants of associating with fungus is compensated by the benefits of symbiosis, mainly an improvement in nutrient and water uptake and water status (Koide, 1991). In view of the benefits of this symbiosis for the host plant, Allen (1999b) suggests that inoculated plants play an essential role in the ecosystem restoration of disturbed areas, and that they should therefore be used in revegetation programs of disrupted ecosystems. Other studies have provided evidence that using plants inoculated with AMF resulted in favorable establishment in disturbed areas (Maestre et al., 2002; Pattinson, Hammill, Sutton, & McGee, 2004). One report posed that for legumes, dual symbiosis (AMF and nitrogen-fixing bacteria) may contribute to this objective (Requena et al., 2001).
The high rate of plant survival found presently was probably due in large part to the microclimate nurse plant. It is known that a nurse plant reduces temperature, maintains a high soil content of nutrients and water, and favors the activity of soil microorganisms (Carrillo-García, León de la Luz, Bashan, & Bethlenfalvay, 1999; Reyes-Quintana, Ferrera-Cerrato, Alarcón, & Rodríguez, 2000). Tree cover, where it exists in semi-arid areas, reduces solar radiation by up to 80 % and air temperature by as much as 6 ºC relative to open areas, reducing potential evapotranspiration and increasing water availability and soil fertility beneath the canopy. The establishment of various plant species (including grasses) and their biomass production are favored at these sites (Grouzis & Leonard-Elie, 1997).
Since Allen (1999a) found that for successful plant establishment there must be a season of high rainfall, the plants of M. biuncifera in the present study were transplanted at the end of the rainy season to assure a soil water reserve. However, the slow initial growth of transplanted individuals in both treatments (M+, M-) was probably due to the fact that they were introduced in August, almost at the end (September) of the wet soil period. The main development of this species takes place during the rainy season in the summer (Grether, 1982). By the end of the annual cycle of monthly data herein recorded, which ended with summer growth (June and July), plants had gained a small increase in average height, meaning that they were on their way to establishment. The current results suggest that mycorrhization of M. biuncifera seedlings can play an important role in programs for reforestation and rehabilitation of degraded semi-arid areas.
Acknowledgments
The authors are grateful for the critical revision of the original manuscript made by Francisco Javier Alvarez-Sánchez, Irene Sánchez Gallén, Rosalva García Sánchez and two anonymous reviewers. We thank Bruce Allan Larsen for proofreading the manuscript. We are also grateful for the financial support of this study through a grant (PAPIIT IN221116) provided by the Dirección General de Asuntos del Personal Académico of the Universidad Nacional Autónoma de México.
References
Ainuddin, N. A., & Chang, M. (1999). Responses of herbaceous mimosa (Mimosa strigillosa), a new reclamation species, to soil pH. Resources, Conservation and Recycling, 27(4), 287-298.
Allen, E. B. (1999a). La restauración de zonas áridas perturbadas con especial referencia a los hongos micorrízicos. In R. Orellana, J. A. Escamilla, & A. Larqué-Saavedra (Eds.), Ecofisiología vegetal y conservación de recursos genéticos (pp. 167-177). Mérida, Yuc.: Centro de Investigación Científica de Yucatán, A. C.
Allen, M. F. (1999b). La micorriza y las rehabilitaciones de suelos áridos perturbados: procesos y prácticas. InR. Orellana , J. A. Escamilla, & A. Larqué-Saavedra (Eds.), Ecofisiología vegetal y conservación de recursos genéticos (pp. 151-165). Mérida, Yuc.: Centro de Investigación Científica de Yucatán, A. C.
Aronson, J., Floret, C., Le Floc’h, E., Ovalle, C., & Pontanier, R. (1993). Restoration and Rehabilitation of Degraded Ecosystems in Arid and Semi-Arid Lands. I. A View from the South. Restoration Ecology, 1(1), 8-17.
Augé, R. M. (2001). Water relations, drought and vesiculararbuscular mycorrhizal symbiosis. Mycorrhiza, 11, 3-42.
Augé, R. M. (2004). Arbuscular mycorrhizae and soil/plant water relations. Canadian Journal of Soil Science, 84(4), 373-381.
Augé, R. M., Moore, J. L., Sylvia, D. M., & Cho, K. (2004). Mycorrhiza l promotion of host stomatal conductance in relation to irradiance and temperature. Mycorrhiza , 14(2), 85-92.
Bago, B., Pfeffer, P. E., & Shachar-Hill, Y. (2000). Carbon metabolism and transport in arbuscular mycorrhizas. Plant Physiology, 124(3), 949-957.
Bainbridge, D. A. (1990). The restoration of agricultural lands and drylands. In J. J. Berger (Ed.), Environmental restoration: science and strategies for restoration of the earth (pp. 4-13). Washington: Island Press.
Bolandnazar, S., Aliasgarzad, N., Neishabury, M. R., & Chaparzadeh, N. (2007). Mycorrhiza l colonization improves onion (Allium cepa L.) yield and water use efficiency under water deficit condition. Scientia Horticulturae, 114(1), 11-15.
Camargo-Ricalde, S. L., & Dhillion, S. S. (2003). Endemic Mimosa species can serve as mycorrhizal “resource islands” within semiarid communities of the Tehuacán-Cuicatlán Valley, Mexico. Mycorrhiza , 13(3), 129-136.
Camargo-Ricalde, S. L., Dhillion, S. S., & Grether, R. (2002). Community structure of endemic Mimosa species and environmental heterogeneity in a semiarid Mexican valley. Journal of Vegetation Science, 13(5), 697-704.
Caravaca, F., Barea, J. M., Palenzuela, J., Figueroa, D., Alguacil, M. M., & Roldán, A. (2003). Establishment of shrub species in a degraded semiarid site after inoculation with native or allochthonous arbuscular mycorrhizal fungi. Applied Soil Ecology, 22(2), 103-111.
Carrillo-García, A., León de la Luz, J. L., Bashan, Y., & Bethlenfalvay, G. J. (1999). Nurse plants, mycorrhizae, and plant establishment in a disturbed area of the Sonoran desert. Restoration Ecology , 7(4), 321-335.
Cervantes, V., Arriaga, V., Meave, J., & Carabias, J. (1998). Growth analysis of nine multipurpose woody legumes native from southern Mexico. Forest Ecology and Management, 110, 329-341.
Chalk, P. M., Souza, R. de F., Urquiaga, S., Alves, B. J. R., & Boddey, R. M. (2006). The role of arbuscular mycorrhiza in legume symbiotic performance. Soil Biology and Biochemistry, 38(9), 2944-2951.
Chang, M., Crowley, C. M., & Nuruddin, A. A. (1995). Responses of herbaceous mimosa (Mimosa strigillosa), a new reclamation species, to cyclic moisture stress. Resources, Conservation and Recycling , 13(34), 155-165.
Chaves, M. M., Pereira, J. S., Maroco, J., Rodrigues, M. L., Ricardo, C. P. P., Osorio, M. L., Carvalho, I., Faria, T., & Pinheiro, C. (2002). How Plants Cope with Water Stress in the Field? Photosynthesis and Growth. Annals of Botany, 89(7), 907-916.
Collier, S. C., Yarnes, C. T., & Herman, R. P. (2003). Mycorrhiza l dependency of Chihuahua Desert plants is influenced by life history strategy and root morphology. Journal of Arid Environments, 55(2), 223-229.
Douds Jr., D. D., & Jonson, N. C. (2007). Contributions of Arbuscular Mycorrhiza e to Soil Biological Fertility. In L. K. Abbott, & D. V. Murphy (Eds.), Soil Biological Fertility: A Key to Sustainable Land Use in Agriculture (pp. 129-162). Netherlands: Springer.
Escudero, V., & Mendoza, R. (2005). Seasonal variation of arbuscular mycorrhizal fungi in temperate grasslands along a wide hydrologic gradient. Mycorrhiza , 15(4), 291-299.
Fagbola, O., Osonubi, O., Mulongoy, K., & Odunfa, S. A. (2001). Effects of drought stress and arbuscular mycorrhiza on the growth of Gliricidia sepium (Jacq). Walp, and Leucaena leucocephala (Lam.) de Wit. in simulated eroded soil conditions. Mycorrhiza , 11(4), 215-223.
García, I., Mendoza, R., & Pomar, M. C. (2008). Deficit and excess of soil water impact on plant growth of Lotus tenuis by affecting nutrient uptake and arbuscular mycorrhizal symbiosis. Plant and Soil, 304(1), 117-131.
García, M. E. (1981). Modificaciones al sistema de clasificación climática de Köppen (3rd ed.). Mexico, D.F.: Editorial Larios.
García-Sánchez, R., Camargo-Ricalde, S. L., García-Moya, E., Luna-Cavazos, M., Romero-Manzanares, A., & Montaño, N. M. (2012). Prosopis laevigata and Mimosa biuncifera (Leguminosae), jointly influence plant diversity and soil fertility of a Mexican semiarid ecosystem. Revista de Biología Tropical, 60(1), 87-103.
Ghosh, S., & Verma, N. K. (2006). Growth and mycorrhizal dependency of Acacia mangium Willd. inoculated with three vesicular arbuscular mycorrhizal fungi in lateritic soil. New Forest, 31(1), 75-81.
Green, J. J., Baddeleya, J. A., Cortina, J., & Watson, C. A. (2005). Root development in the Mediterranean shrub Pistacia lentiscus as affected by nursery treatments. Journal of Arid Environments , 61(1), 1-12.
Grether, R. (1982). Aspectos ecológicos de Mimosa biuncifera y Mimosa monancistra en el noroeste del estado de Guanajuato. Boletín de la Sociedad Botánica de México, 43, 43-60.
Grether, R., Camargo-Ricalde, S. L., & Martínez-Bernal, A. (1996). Especies del género Mimosa (Leguminosae) presentes en México. Boletín de la Sociedad Botánica de México , 58, 149-152.
Grouzis, M., & Leonard-Elie, A. (1997). Influence of tree cover on herbaceous above- and belowground phytomass in the Sahelian zone of Senegal. Journal of Arid Environments , 35(2), 285-296.
Gutiérrez, J. R., & Sqeo, F. A. (2004). Importancia de los arbustos en los ecosistemas semiáridos de Chile. Ecosistemas, 13(1), 36-45.
Hampp, R., Nehls, U., & Wallenda, T. (2000). Physiology of Mycorrhiza . In K. Esser, J. W. Kadereit, U. Lüttge, & M. Runge (Eds.), Progress in botany 61: Genetics, physiology, systematics, ecology (pp. 223-241). Berlin: Springer.
Harrison, M. J. (2005). Signaling in the Arbuscular Mycorrhiza l Symbiosis. Annual Review Microbiology, 59, 19-42.
Herrera-Arreola, G., Herrera, Y., Reyes-Reyes, B. G., & Dendooven, L. (2007). Mesquite (Prosopis juliflora (Sw.) D.C.), huisache (Acacia farnesiana (L.) Willd.) and catclaw (Mimosa biuncifera Benth.) and their effect on dynamics of carbon and nitrogen in soils of the semi-arid highlands of Durango, Mexico. Journal of Arid Environments , 69(4), 583-598.
Hunt, R. (1978). Plant Growth Analysis. Institute of Biology’s. London studies in biology no. 96. London: Edward Arnold.
Hunt, R. (1982). Plant growth curves: the functional approach to plant growth analysis. London: Edward Arnold .
Jacobson, K. M. (1997). Moisture and substrate stability determine VA-mycorrhizal fungal community distribution and structure in an arid grassland. Journal of Arid Environments , 35(1), 59-75.
Jones, H. G. (1992). Plants and microclimate: a quantitative approach to environmental plant physiology (2nd ed.). Cambridge: Cambridge University Press.
Koide, R. T. (1991). Nutrient supply, nutrient demand and plant response to mycorrhizal infection. New Phytologist, 117(3), 365-386.
Kramer, P. J. (1989). Relaciones hídricas de suelos y plantas, una síntesis moderna. México: Harla-México.
Landeweert, R., Hoffland, E., Finlay, R. D., Kuyper, T. W., & van Breemen, N. (2001). Linking plants to rocks: ectomycorrhizal fungi movilize nutrients from minerals. Trends Ecology Evolution, 16(5), 248-254.
Lloret, F., Casanovas, C., & Peñuelas, J. (1999). Seedling survival of Mediterranean shrubland species in relation to root: shoot ratio, seed size and water and nitrogen use. Functional Ecology, 13(2), 210-216.
Luna-Suárez, S., Frías-Hernández, J. T., Olalde-Portugal, V., & Dendooven, L. (2000). Catclaw (Mimosa biuncifera): a pest or a means to restore soil fertility in heavily eroded soil from the central highlands of Mexico? Biology and Fertility of Soils, 32, 109-113.
Maestre, F. T., Bautista, S., Cortina, J., Díaz, G., Honrubia, M., & Vallejo, R. (2002). Microsite and mycorrhizal inoculum effects on the establishment of Quercus coccifera in a semi-arid degraded steppe. Ecological Engineering, 19(4), 289-295.
Mathur, N., & Vyas, A. (2000). Influence of arbuscular mycorrhizae on biomass production, nutrient uptake and physiological changes in Ziziphus mauritiana Lam. under water stress. Journal of Arid Environments , 45(3), 191-195.
McGonigles, T. P., Miller, M. H., Evans, D. G., Fairchild, G. L., & Swan, J. A. (1990). A new method wich gives an objective measure of colonization of roots by vesicular-arbuscular mycorrhizal fungi. New Phytologist , 115(3), 495-501.
McVaugh, R. (1987). Flora Novo-Galiciana; a descriptive account of the vascular plants of western México, Volume 5, Leguminosae. Michigan: The University of Michigan Press.
Mohammadi, K., Khalesro, S., Sohrabi, Y., & Heidari, G. (2011). A review: Beneficial effects of the mycorrhizal fungi for plant growth. Journal of Applied Environmental and Biological Sciences, 1(9), 310-319.
Monroy, A. A., & García, S. R. (2009). Plantas y hongos. Micorrizas arbusculares: un mutualismo esencial en zonas semiáridas. Mexico: Facultad de Estudios Superiores Zaragoza, Universidad Nacional Autónoma de México.
Morte, A., Lovisolo, C., & Schubert, A. (2000). Effect of drought stress on growth and water relations of the mycorrhizal association Helianthemum almerienseTerfezia claveryi. Mycorrhiza , 10(3), 115-119.
Newton, R. J., & Goodin, J. R. (1989). Moisture stress adaptation in shrubs. In C. M. McKell (Ed.), The biology and utilization of shrubs (pp. 365-383). San Diego, C.A.: Academic Press.
Nobel, P. S. (1983). Biophysical Plant Physiology and Ecology. San Francisco, California: W. H. Freeman and Company.
Padilla, F. M., Ortega, R., Sánchez, J., & Pugnaire, F. I. (2009). Rethinking species selection for restoration of arid shrublands. Basic and Applied Ecology, 10(7), 640-647.
Pattinson, G. S., Hammill, K. A., Sutton, B. G., & McGee, P. A. (2004). Growth and survival of seedlings of native plants in an impoverished and highly disturbed soil following inoculation with arbuscular mycorrhizal fungi. Mycorrhiza , 14(3), 339-346.
Pereira, J. S., Chaves, M. M., Caldeira, M. C., & Correia, A. V. (2006). Water availability and productivity. In J. I. L. Morison & M. Morecroft (Eds.), Plant Growth and Climate Change (pp. 118-145). United States: Blackwell Publishing.
Phillips, J. M., & Hayman, D. S. (1970). Improved procedures for clearing roots and staining parasitic and vesicular-arbuscular mycorrhizal fungi for rapid assessment of infection. Transactions of the British Mycological Society, 55(1), 158-160.
Querejeta, J. I., Barea, J. M., Allen, M. F., Caravaca, F., & Roldán, A. (2003). Differential response of d13C and water use efficiency to arbuscular mycorrhizal infection in two aridland woody plant species. Oecologia, 135(4), 510-515.
Requena, N., Pérez-Solís, E., Azcón-Aguilar, C., Jeffries, P., & Barea, J. M. (2001). Management of indigenous plant-microbe symbioses aids restoration of desertified ecosystems. Applied and Environmental Microbiology, 67(2), 495-498.
Reyes-Quintana, C. K., Ferrera-Cerrato, R., Alarcón, A., & Rodríguez, Z. S. (2000). Microbiología de la relación de nodricismo entre leguminosas arbóreas y Neobuxbaumia tetetzo en los suelos no erosionados y erosionados en Zapotitlán de las Salinas, Puebla. In A. Alarcón & R. Ferrera-Cerrato (Eds.), Ecología fisiología y biotecnología de la micorriza arbuscular (pp. 56-68). México: IRENAT-Colegio de Postgraduados, Montecillo, Mundi Prensa.
Ruiz-Lozano, J. M., & Aroca, R. (2010). Chapter 11: Host response to osmotic stresses: stomatal behaviour and water use efficiency of arbuscular mycorrhizal plants. In H. Koltai & Y. Kapulnik (Eds.) Arbuscular mycorrhizas: physiology and function (pp. 239-256). Netherlands: Springer .
Rzedowski, J. (1994). Vegetación de México. México: Limusa, Noriega Editores.
Smith, F. A., Grace, E. J., & Smith, S. E. (2009). More than a carbon economy: nutrient trade and ecological sustainability in facultative arbuscular mycorrhizal symbioses. New Phytologist , 182(2), 347-358.
Smith, S. E., & Read, D. J. (1997). Mycorrhiza l Symbiosis (2nd ed.), San Diego: Academic Press.
Varma, A. (1999). Functions and Application of arbuscular mycorrhizal fungi in arid and semi-arid soils. In A. Varma & B. Hock (Eds.), Mycorrhiza: structure, function, molecular biology and biotechnology (pp. 521-556). Berlin: Springer .
Villagra, P. E., & Cavagnaro, J. B. (2006). Water stress effects on the seedling growth of Prosopis argentina and Prosopis alpataco. Journal of Arid Environments , 64(3), 390-400.
Wu, F., Bao, W., Li, F., & Wu, N. (2007). Effects of drought stress and N supply on the growth, biomass partitioning and water-use efficiency of Sophora davidii seedlings. Environmental and Experimental Botany, 63(1-3), 248-255.
Zhao, B., Trouvelot, A., Gianinazzi, S., & GianinazziPearson, V. (1997). Influence of two legume species on hyphal production and activity of two arbuscular mycorrhizal fungi. Mycorrhiza , 7(4), 179-185.
Author notes
Correspondence: Arcadio Monroy-Ata, e-mail: arcadiom@unam.mx