Artículos
Concentraciones de alcaloides, glucósidos cianogénicos, polifenoles y saponinas en plantas medicinales seleccionadas en Ecuador y su relación con la toxicidad aguda contra Artemia salina
Concentrations of alkaloids, cyanogenic glycosides, polyphenols and saponins in selected medicinal plants from Ecuador and their relationship with acute toxicity against Artemia salina
Concentraciones de alcaloides, glucósidos cianogénicos, polifenoles y saponinas en plantas medicinales seleccionadas en Ecuador y su relación con la toxicidad aguda contra Artemia salina
Revista de Biología Tropical, vol. 64, núm. 3, 2016
Universidad de Costa Rica
Recepción: 09 Junio 2015
Aprobación: 09 Marzo 2016
Resumen: Entre los principales compuestos químicos sintetizados por las plantas, pero considerados no esenciales para su metabolismo básico, están los alcaloides, los polifenoles, los glucósidos cianogénicos y las saponinas que tienen diversas funciones en las plantas y reconocidas propiedades medicinales y farmacológicas. En esta investigación se determinaron las concentraciones de los mencionados metabolitos secundarios en los extractos de las hojas de las plantas medicinales Taraxacum officinale, Parthenium hysterophorus, Artemisia absinthium, Cnidoscolus aconitifolius y Piper carpunya y se relacionaron con la toxicidad aguda contra Artemia salina. En cada bioensayo con A. salina se usaron los extractos alcohólicos de las hojas de las plantas seleccionadas a diferentes concentraciones, calculándose la proporción de organismos muertos y los CL50. Las concentraciones de alcaloides, fenoles totales, taninos, glucósidos cianogénicos y saponinas fueron determinadas mediante métodos espectrofotométricos. Este es el primer reporte de cuantificación de metabolitos secundarios en las plantas analizadas provenientes de Ecuador. T. officinale presentó las mayores concentraciones de fenoles (22.30 ± 0.23 mg/g) y taninos (11.70 ± 0.10 mg/g), C aconitifolius de glucósidos cianogénicos (5.02 ± 0.37 µg/g) y P. hysterophorus de saponinas (6.12 ± 0.02 mg/g). Las plantas evaluadas presentaron actividades hemolíticas dependiendo de las concentraciones de saponinas. Los valores de taninos determinados estuvieron entre 0.20 ± 0.01 y 11.70 ± 0.10 mg/g, por lo que no son adversos para su consumo. Aunque los valores de glucósidos cianogénicos son permisibles, es necesario monitorear la presencia de estos compuestos químicos en las plantas para minimizar problemas de salud. Los CL50 obtenidos oscilaron entre los valores 3.37 µg/mL, extremadamente letal o tóxica, para P. carpunya y 274.34 µg/mL, altamente tóxica, para T. officinale. De los análisis de correlaciones realizados a los resultados, se observó que los alcaloides favorecen de manera significativa (p<0.001) a la toxicidad aguda contra A. salina, mientras que a mayor contenido de polifenoles dicha toxicidad disminuye significativamente (p<0.001) el nivel de toxicidad de las plantas. Del análisis de componentes principales, se demuestra que las saponinas están en sinergia con los polifenoles para disminuir la toxicidad, pero tienen un efecto antagónico con los alcaloides y los glucósidos cianogénicos, lo cual evidencia que estos metabolitos secundarios presentan variabilidades en los mecanismos de acción contra A. salina, como compuestos citotóxicos. Estos resultados demuestran que las saponinas y los polifenoles pueden ser letales para A. salina a bajas concentraciones, evidenciando que este bioensayo permite evaluar extractos vegetales que contengan bajas concentraciones de compuestos con altas polaridades. La correspondencia significativamente positiva entre citoxicidad y concentración de los alcaloides, confirmada con el bioensayo de Artemia salina, puede ser útil para hallar fuentes promisorias de compuestos antitumorales y para evaluar los límites tolerables que no afecten otras células benignas. El contenido de metabolitos secundarios hallados en las plantas analizadas les atribuye un gran valor farmacológico.
Palabras clave: metabolitos secundarios, Taraxacum officinale, Parthenium hysterophorus, Artemisia absinthiu, Cnidoscolus aconitifolius, Piper carpunya.
Abstract: Alkaloids, polyphenols, cyanogenic glycosides and saponins are among the main chemical compounds synthesized by plants but not considered essential for their basic metabolism. These compounds have different functions in plants, and have been recognized with medicinal and pharmacological properties. In this research, concentrations of the mentioned secondary metabolites were determined in the medicinal plants Artemisia absinthium, Cnidoscolus aconitifolius, Parthenium hysterophorus, Piper carpunya and Taraxacum officinale, from Ecuador, and related with cytotoxic effects against Artemia salina. Alcoholic and aqueous extracts from leaves of these selected plants were prepared at different concentrations. To assess cytotoxicity of these extracts, different bioassays with A. salina were undertaken, and the mortality rates and LC50 were obtained. Besides, concentrations of alkaloids, cyanogenic glycosides, phenols, tannins and saponins were determined by spectrophotometric methods; this constituted the first report of quantification of secondary metabolites in the selected plants from Ecuador. T. officinale had the highest concentration of total phenols (22.30 ± 0.23 mg/g) and tannins (11.70 ± 0.10 mg/g), C. aconitifolius of cyanogenic glycosides (5.02 ± 0.37 µg/g) and P. hysterophorus of saponins (6.12 ± 0.02 mg/g). Tannins values obtained were not adverse to their consumption. Alcoholic and aqueous extracts of selected plants had hemolytic activity depending on the concentration of saponins. Although the values of cyanogenic glycosides were permissible, it was necessary to monitor the presence of this metabolite in plants to minimize health problems. LC50 values ranged from extremely toxic (3.37 µg/mL) to highly toxic (274.34 μg/mL), in P. carpunya and T. officinale, respectively. From correlation analysis, it was observed that increase values of alkaloids concentrations had highly significant (p<0.001) acute toxicity against A. salina, while at a higher polyphenol concentration the level of plants cytotoxicity decreased significantly (p<0.001). The results of principal component analysis showed that saponins apparently were in synergy with polyphenols to decrease cytotoxicity, but antagonize with alkaloids and cyanogenic glycosides, indicating that these secondary metabolites present variability in the mechanisms of action against A. salina, as cytotoxic compounds. These results also demonstrate that polyphenols and saponins can be lethal at low concentrations, demonstrating the potential of brine shrimp bioassay as a model to evaluate plant extracts containing low concentrations of chemical compounds with high polarities. The significant positive correlation between cytotoxicity and concentration of alkaloids confirmed by the bioassay of brine shrimp can be useful to identify promising sources of antitumor compounds, and to evaluate tolerable limits not affecting other benign cells. Contents of secondary metabolites found in the selected plants confer them great pharmacologic values. Rev. Biol. Trop. 64 (3): 1171-1184. Epub 2016 September 01.
Key words: secondary metabolites, Taraxacum officinal, Parthenium hysterophorus, Artemisia absinthium, Cnidoscolus aconitifolius, Piper carpunya.
Las plantas con propiedades medicinales han estado relacionadas estrechamente con el surgimiento y desarrollo de la civilización humana en diferentes zonas geográficas y han sido reconocidas por la Organización Mundial para la Salud (OMS, 2002) para el tratamiento de diversas enfermedades. En ese sentido, Ecuador, se caracteriza por ser uno de los países, a nivel mundial, con mayor biodiversidad y riqueza en conocimientos ancestrales relacionados con el uso de las plantas medicinales (Bailon-Moscoso, Romero-Benavides, Tinitana-Imaicela, & Ostrosky-Wegman, 2015).
Estudios precedentes han sugerido que entre las plantas medicinales más usadas en Ecuador se encuentran: Artemisia absinthium, Cnidoscolus aconitifolius, Parthenium hysterophorus Linn, Piper carpunya Ruiz & Pav y Taraxacum officinale (Aguirre-Mendoza, Linares-Palomino, & Peter Kvist, 2006; Cerón, 2006; Sánchez, Kvist, & Aguirre, 2006). Estas especies vegetales poseen propiedades que promovieron estudios a nivel internacional para validar su uso tradicional y explorar nuevas potencialidades biológicas.
Taraxacum officinale (F. Asteraceae) ha mostrado propiedades como diurético, estimulante digestivo, estimulante de la insulina, modulador de la inflamación, y en el tratamiento de cáncer de mama y útero (Koo et al., 2004; Yarnell & Abascal, 2009; You et al., 2010). Artemisia absinthium (F. Asteraceae) es utilizada desde la antigüedad como un antipirético, antihelmíntico, diurético y como analgésico para el tratamiento de dolor de estómago (Canadanovic‐Brunet, Djilas, Cetkovic, & Tumbas, 2005). Cnidoscolus aconitifolius (F. Euphorbiaceae) es una planta fácil de cultivar con alta productividad en varias partes de la región suramericana y tiene un alto valor nutritivo (Ross-Ibarra & Molina-Cruz, 2002), por lo que es usada, comúnmente, tanto para propósitos medicinales como alimenticios (Escalante-Erosa, Ortegón-Campos, Parra-Tabla, & Peña-Rodríguez, 2004). Las hojas de Piper carpunya (F. Piperaceae) son ampliamente utilizadas en la medicina popular en los países tropicales y subtropicales de América del Sur como tratamiento de inflamaciones, úlceras y diarreas (Quílez et al., 2010). Parthenium hysterophorus (F. Asteraceae) ha mostrado efectos citotóxicos frente a A. salina (Al-Mamun, Hamid, Islam, & Chowdhury, 2010) y es usada para el tratamiento de llagas ulceradas, inflamaciones y enfermedades cardiovasculares (Madan, Gogia, & Sharma, 2011), diabetes (Patel, Chitra, Prassanna, & Krishnaraju, 2008), como antibacterial (Pandey, 2007) y también ha demostrado tener actividad antitumoral (Reddy et al., 2011).
Para la determinación de las propiedades de las plantas medicinales, la combinación de evaluaciones fitoquímicas y biológicas es usada frecuentemente en el estudio de plantas medicinales, ya que de esta forma se correlaciona la composición química con el potencial biológico de drogas y sus extractos. Entre las pruebas biológicas, el bioensayo de la Artemia salina se ha empleado en la evaluación preliminar de extractos y productos aislados de plantas, demostrando ser útil, rápido y sencillo (McLaughlin & Lingling, 1998; Meyer et al., 1982; Parra, Silva, Guerra, & Iglesia, 2001; Pino & Lazo, 2010; Silva, Nascimento, Batista, Agra, & Camara, 2007). Por otra parte, los análisis fitoquímicos permiten cuantificar los metabolitos secundarios, entre éstos están los alcaloides, los polifenoles, los glucósidos cianogénicos y las saponinas, los cuales tienen diversas funciones en las plantas; una de ellas es la defensa a una variedad de patógenos (Bennett & Wallsgrove, 1994; Francisco & Pimenta, 2000; Iriti & Faoro 2009; Mazid, Khan, & Mohammad, 2011). Además, los metabolitos secundarios son los responsables de la actividad medicinal de las plantas (Savithramma, Linga, & Suhrulatha, 2011). Es importante destacar que son pocos los estudios, tanto biológicos como fitoquímicos, que muestran el gran potencial de las especies vegetales de Ecuador, las cuales son usadas debido a los conocimientos ancestrales (Bailon-Moscoso et al., 2015).
Al considerar que los enfoques de las investigaciones acerca de los metabolitos secundarios presentes en las plantas son hacia la búsqueda de nuevas sustancias con propiedades antitumorales, esta investigación tuvo como objetivo determinar las concentraciones de alcaloides, fenoles totales, taninos, glucósidos cianogénicos y saponinas, y correlacionarlas con el efecto citotóxico, a través del bioensayo contra el crustáceo Artemia salina.
Materiales y métodos
En febrero 2014, las plantas Cnidoscolus aconitifolius, Parthenium hysterophorus y Piper carpunya se recolectaron en la provincia El Oro (3° 19′ 36.84″ S - 79° 48′ 17.64″ W), la planta Artemisia absinthium en la provincia Azuay (2° 44′ 0″ S - 78° 50′ 0″ W) y la planta Taraxacum officinale en la provincia Pichincha (0° 1′ 22.8″ N - 78° 53′ 31.2″ W) de Ecuador. De cada planta se utilizaron sólo las hojas, que fueron lavadas con agua destilada y escurridas en un secador artesanal abierto (malla de 8 mm de diámetro, en un soporte tipo mesa de acero inoxidable de 150 largo x 60 ancho x 120 cm de alto), por ocho horas, a la temperatura (22 ± 2 °C) del laboratorio. Posteriormente, fueron llevadas a la estufa (MEMMERT SNB 400 con flujo de aire) a 37 °C por 24 horas, para el proceso de secado. Seguidamente, se pulverizaron con un molino (Lab. Mill serial No. 56969, Type AR 400 Erweka®, Germany) y se tamizaron a ≤ 1 mm (OMS, 1999).
Obtención del extracto alcohólico:
Para la obtención del extracto alcohólico, se procedió a macerar separadamente 20 g de material vegetal molido con 100 mL de etanol al 70 %, a temperatura ambiente, durante 48 horas; luego, se las muestras se filtraron al vacío.
Determinación de fenoles totales y taninos:
Se utilizó el método sugerido por Velásquez (2004) y Elena (2012), con algunas modificaciones. Para la curva de calibración, se prepararon una serie de soluciones patrón de ácido gálico, con concentraciones de 0, 10, 20, 30, 40 y 50 mg/L. Del extracto alcohólico anterior se tomó 1mL y se diluyó hasta 50 mL con etanol. Se tomaron 2 mL de esta dilución y se mezclaron con 1 mL del reactivo de Folin Ciocalteu, se agitó y se dejó en reposo durante cinco minutos. Luego se le añadieron 0.5 mL de carbonato de sodio al 5 %, la solución se agitó y se llevó a un volumen de 10 mL con agua destilada. Después de 30 minutos de reacción, se hicieron las determinaciones espectrofotométricas a 700 nm. Posteriormente, para garantizar el secuestro de los taninos, 20 mL del extracto diluido se mezclaron con 10 mL de una solución de gelatina al 10 %, 20 mL de la disolución ácida de NaCl y 2 g de caolín en polvo. La mezcla fue agitada durante unos 5 minutos, luego se dejó sedimentar para filtrar el decantado a través de un papel filtro Whatman # 42. Con el líquido filtrado se procedió de la misma forma que lo mencionado arriba con el reactivo de Folin Ciocalteu. Por la diferencia de ambos productos se determinó la concentración de taninos. Todos los análisis fueron hechos por triplicado. Los resultados fueron expresados como mg equivalentes a acido gálico/g de material seco de planta.
Determinación cuantitativa de alcaloides:
Se utilizó el método basado en la reacción con verde de bromocresol (BCG) (Shamsa, Monsef, Ghamooshi, & Verdian-rizi, 2008; Ajanal, Gundkalle, & Nayak, 2012), a partir de una solución de atropina (1 mg/mL), diluida 1:10, se prepararon seis soluciones (0.01-0.1 mg/mL) para la elaboración de la curva de calibración. Para las determinaciones en los extractos de las hojas de las plantas, 5 mL de cada extracto se transfirieron a un embudo de separación, al cual se le agregaron 5 mL de solución de BCG y 5 mL una solución buffer de fosfato a pH 4.7. La mezcla se agitó, y el complejo formado fue extraído con cloroformo. Los extractos se recogieron en un matraz aforado de 10 mL y se completó a ese volumen con cloroformo. Todo este proceso fue realizado por triplicado para cada extracto de hojas de planta. Las absorbancias del complejo en cloroformo fueron medidas a una longitud de onda de 470 nm en un espectrofotómetro UV-Vis (Shimadzu, mini-1240).
Determinación cuantitativa de glucósidos cianogénicos:
Se confirmó cualitativamente la presencia de glucósidos cianogénicos a través del cambio de color de amarillo a rojo, o rojo amarillento, debido a la liberación del HCN, en el papel impregnado con una solución de ácido pícrico carbonatado (1 g de carbonato de sodio + 100 mg de ácido pícrico y agua hasta 10 mL), con el que se cubrió la parte superior del tubo de ensayo que contiene el material vegetal fresco con 1.5 mL de agua y seis gotas de tolueno (Singh, 2010), y dejado a temperatura ambiente por 2 h. La intensidad del color picro sódico se puede usar como un método semicuantitativo.
Para la determinación cuantitativa de cianuro, se utilizó la metodología sugerida por Oliveros-Bastidas, Carrera y Marín (2009) y Nwokoro, Ogbonna, Ubani, Okpala, y Ofodile (2010), para lo cual 0.5 g de muestra de hojas frescas individuales de la planta, se colocaron en un recipiente cerrado, previa adición de tolueno, hasta cubrir todas las hojas. El HCN liberado producto de la destrucción celular y la adición de HCl al 10 %, fue arrastrado por vapor a 80 °C y recogido en un vial, que contenía 5 mL de una solución de picrato de sodio (2.2 mmol/L) ajustado a pH 11.8, con una solución de NaOH (0.1 mol/L). La solución resultante se aforó a 10 mL con agua desionizada; después de 60 minutos se tomaron las medidas de absorbancias a 550 nm, longitud de onda seleccionada de máxima absorción en un espectrofotómetro UV-Vis (Shimadzu, mini-1240). Las curvas de calibración se obtuvieron usando soluciones de NaCN en agua en un intervalo de concentraciones de 1-10 µg/ mL, con el mismo procedimiento usado para la muestra problema de las especies vegetales. Se prepararon tres curvas de calibración a diferentes tiempos. Calculando el coeficiente de regresión r2 de la curva y el coeficiente de variación (CV) de cada patrón medido. La repetibilidad se efectuó con seis réplicas en cada muestra, determinando el coeficiente de variación. De manera similar se determinó la repetibilidad intermedia usando otro equipo y otro operador. Por medio de la técnica de adición de estándar se determinó el porcentaje de recuperación del analito. Estos ensayos fueron realizados por triplicado.
Determinación de saponinas:
Los extractos de las hojas de las plantas seleccionadas fueron evaluados cualitativamente para saponinas, a través del ensayo de formación de espumas y por el de producción de hemólisis, observada al microscopio (Price, Johnson, Fenwick, & Malinow, 1987). Basado en la propiedad de estos compuestos de producir hemólisis, para la cuantificación se usó un método modificado de Guerra, Nogueiras, Delgado, y Hernández (2001). Los eritrocitos se obtuvieron a partir de 5 mL de sangre humana disuelta al 90 % con citrato de sodio (36.5 g/L), centrifugados a 2 500 rpm durante 15 min, y lavados tres veces con 50 mL de suero salino fisiológico. Luego, los eritrocitos se suspendieron en una solución de citrato de sodio al 3 % para obtener una concentración de eritrocitos al 5 %.
Para la curva de calibración se usó 0.2 mg/mL de saponinas de Quillaja saponaria (Sigma®) disuelta con una solución buffer de KH2PO4 de pH 7.4. A partir de la cual se preparó una serie de patrones, con las siguientes concentraciones: 30; 25; 20; 15; 10 y 5 µg/mL, por dilución con la solución buffer, de las cuales se tomaron 6 mL de cada uno y se colocaron en los tubos de ensayo respectivos.
Del extracto alcohólico de cada planta se preparó una dilución 1:10 con buffer de KH2PO4 a pH 7.4 y de ésta se elaboraron una serie de ocho diluciones agregando desde 0.3 a 3.0 mL en diferentes tubos de ensayo y completada con agua destilada hasta un volumen total de 6 mL. Posteriormente, 6 mL de solución de citrato de sodio al 6 % y 1 mL de la solución de eritrocitos se le añadieron a cada tubo respectivo, que contenía las soluciones patrones y las diluciones de las muestras. Estos tubos se colocaron en un baño de agua a 35 °C, durante 30 min y después se centrifugaron a 2 500 rpm por cinco minutos, y se dejaron en reposo por 15 minutos antes de realizar las medidas de absorbancias, a 540 nm, en un espectrofotómetro UV-Vis (Shimadzu, mini-1240). De la misma forma, se prepararon dos controles, uno utilizando agua destilada y otro de citrato de sodio al 3 %, para determinar el 100 % y el 0 % de hemólisis, respectivamente. Con la curva de calibración (porcentaje de hemólisis vs concentración de saponinas) y los resultados de las curvas del porcentaje de hemólisis contra los volúmenes de las diluciones de cada muestra, se determinó la concentración de saponinas de cada planta, expresada en mg equivalentes a las de Quillaja saponaria por gramo de material seco.
Bioensayo con nauplios de Artemia salina
Para obtener las larvas nauplios de Artemia salina, los quistes se colocaron en un envase plástico que contenía agua de mar bifiltrada, provisto de una apertura que facilitó la aireación continua e incidencia de luz constante de 75W, durante 24 horas. Para el bioensayo con los extractos alcohólicos de las hojas de las plantas, se prepararon soluciones de 10 mg/mL con agua de mar bifiltrada, a partir de éstas, por dilución, se obtuvieron las soluciones de 1 000, 100 y 10 µg/mL. Luego grupos de diez larvas nauplios de A. salina fueron expuestos a esas soluciones diluidas por 24h. Se realizaron tres réplicas por cada concentración; el número total de larvas nauplios ensayados en cada concentración fue de 30. Se estimó el porcentaje de mortalidad de los organismos expuestos al efecto de los extractos y los valores de CL50 se calcularon usando el método de análisis estadístico Finney Dos (métodos Probit, Logit, Moving Average o Binomial con un límite o intervalos de confianza de 95 %) diseñado por Stephan (1977) (Meyer et al., 1982). La CL50 se define como la concentración de un material tóxico letal al 50 % de los organismos de la prueba (Pino & Lazo, 2010). Finalmente, la toxicidad fue evaluada tomando como referencia las recomendaciones del CYTED (1995) y Meyer et al. (1982).
Para establecer la relación entre la concentración de cada metabolito y el CL50, se realizó regresión simple (Zar, 1996) con p<0.05. Asimismo, para relacionar las concentraciones de los metabolitos en general con la toxicidad contra A. salina se realizó un Análisis de Componentes Principales a partir de la matriz de correlación (Johnson & Wichern, 1992).
Resultados
En el cuadro 1 se presentan las concentraciones promedios de los metabolitos secundarios determinados en los extractos de las plantas medicinales Artemisia absinthium, Cnidoscolus aconitifolius, Parthenium hysterophorus, Piper carpunya y Taraxacum officinale. De los resultados de la cuantificación se determinó que las cinco plantas estudiadas poseen alcaloides a diferentes concentraciones (Cuadro 1), siendo el extracto de A. absinthium el que presentó la mayor concentración.

El contenido de los compuestos fenólicos fue calculado como miligramos equivalentes de ácido gálico por gramo de material seco de las plantas. Los resultados presentados en el cuadro 1 muestran que las concentraciones de fenoles totales variaron de 2.80 mg/g para P. carpunya hasta la más alta concentración de 22.30 mg/g para T. officinale.
En relación con la cuantificación de taninos en las especies vegetales analizadas, la de mayor concentración fue de T. officinale con, 11.7 mg equivalentes a ácido gálico (A.G)/g materia seca y la de menor concentración fue C. aconitifolius con 0.2 mg equivalente a A.G/g materia seca.
Todos los extractos de las hojas de las plantas dieron positiva a las prueba cualitativa de saponinas. Los valores reportados de saponinas en las especies vegetales medicinales se encontraron entre 1.77-6.12 mg/g de peso seco. Los resultados indicaron que P. hysterophorus fue la especie con mayor contenido y P. carpunya con el menor contenido de saponinas.
De la cuantificación de glucósidos cianogénicos en las cinco plantas medicinales, C. aconitifolius presentó la mayor concentración de glucósidos, mientras A. absinthium la menor concentración.
Se evaluó la actividad citotóxica de los extractos etanólicos de las cinco plantas medicinales: T. officinale, P. hysterophorus, A. absinthium L., C. aconitifolius y P. carpunya, frente a los nauplios de Artemia salina. Las larvas de A. salina murieron expuestas a las distintas concentraciones (1 000, 100, 10 µg/ mL) de extractos de las plantas medicinales utilizadas para el bioensayo. Todas las plantas estudiadas presentaron un porcentaje de mortalidad que osciló entre 66.67 % y 100.0 % a la concentración más alta ensayada (1 000 µg/ mL), y de 6.57 % y 50.0 % a la concentración de 100 µg/mL, para A. absinthium y P. carpunya, respectivamente. Además, P. carpunya mostró la CL50 más baja o citotoxicidad muy significativa y A. absinthium exhibió una citotoxicidad moderada. El porcentaje de mortalidad de los extractos y su citotoxicidad fue dependiente de la concentración.
La actividad citotóxica (CL50) se evidenció en el siguiente orden: P. carpunya (CL50 3.37) > C. aconitifolius (CL50 74.34 µg/mL) > P. hysterophorus (CL50 95.88 µg/mL) > A. absinthium (CL50 100.7 µg/mL) > T. officinale (CL50 274.34 µg/mL) (Cuadro 2).

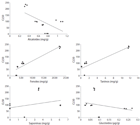
Los niveles de toxicidad y alcaloides mostraron alta asociación inversa [r= -0.60; (CL50) = -185(alcaloides) + 227] (Fig. 1). Esto indicó que los ensayos con altas concentraciones de alcaloides fueron extremadamente tóxicos a A. salina, con un grado de significancia p<0.02 y nivel de confianza de 99 %. Con los glucósidos cianogénicos, a pesar de que hubo una tendencia de disminuir el CL50 a medida que aumentó la concentración, esta relación no fue estadísticamente significativa.

Al contrario, las altas concentraciones de fenoles y taninos, a pesar de ser tóxicas, disminuyeron significativamente (p < 0.01) su nivel de letalidad en el bioensayo, con alta linealidad con CL50 [r= 0.93; (CL50= 9.4 (fenoles) + 25.5)]. De manera similar ocurrió con los valores de taninos, que presentaron una relación significativamente positiva (p < 0.01) con el CL50 [r= 0.88; (CL50= 14.8 (taninos) + 55.8]). En cuanto a la relación de las saponinas con la CL50, se observó un coeficiente de correlación de 0.30, que mostró una relación débilmente positiva entre los valores, pero no fue estadísticamente significativa.
Se aplicó un análisis de componentes principales para evaluar las diferencias y similitudes entre los metabolitos secundarios evaluados y la actividad citotóxica, los resultados se presentan en la figura 2. Se seleccionaron los tres componentes principales, en los cuales los valores propios (eigenvalues) fueron ≥ 1 que explican el 97.46 % de la varianza en los datos originales. El 81.14 % de la varianza se encontró en los dos primeros componentes. En el análisis se observó que el CL50 estuvo asociado positivamente a los taninos, fenoles y saponinas; contrario al efecto de los alcaloides, que presentó una correlación negativa; por su parte, los glucósidos actuaron en forma independiente a los demás compuestos.

Discusión
Este fue el primer reporte de cuantificación de los metabolitos secundarios en las plantas analizadas provenientes del Ecuador. En cuanto al contenido de alcaloides, solamente estudios cualitativos evidenciaron la presencia de alcaloides en extractos acuosos y alcohólicos de P. hysterophorus (Nganthoi, Duta, Sagolemcha, & Irabanta, 2014; Padma & Deepika, 2013), C. aconitifolius (Mordi & Akanji, 2012), T. officinale (Amin, Sawhney, & Jassal, 2013) y de A. absinthium (Javed, Mir, & Naqui, 2012). Varias especies del género Piper fueron estudiadas, pero de la especie P. carpunya, no se encontró algún estudio que determine la presencia o ausencia de alcaloides.
Los compuestos fenólicos son el grupo más extenso de sustancias no energéticas presentes en los alimentos de origen vegetal (Quinones, Miguel, & Aleixandre, 2012). Los valores de fenoles en A. absinthium fueron superiores a los obtenidos por Lee, Thiruvengadam, Chung y Nagella (2013), pero más bajos que los encontrados por Canadanovic-Brunet et al. (2005). En C. aconitifolius el contenido de fenoles estuvieron por encima de los encontrados por Kuti y Konuru (2004), quienes reportaron un valor de 2.91 ± 0.02 mg/g. En cuanto a los valores de fenoles totales en T. officinale estuvieron similares a los obtenidos por Makkar, Norvsambuu, Lkhagvatseren, y Becker (2009) y un poco mayor que el encontrado por Sengul et al. (2009) y Ghaima, Hashim, y Ali (2013). No se encontró reporte de contenido de fenoles en P. carpunya ni de Ecuador, ni de otras partes del mundo.
Los valores de taninos oscilaron de 0.20 a 11.7 mg/g, los cuales fueron significativamente diferentes y se consideran de aceptabilidad para su consumo, por no afectar adversamente su digestibilidad (Diagayete & Huss, 1981).
Los valores de saponinas fueron los primeros reportados en Ecuador, para las especies incluidas en este trabajo y todas presentaron actividad hemolítica dependiente de la concentración. De la revisión bibliográfica, de P. hysterophorus se reportó que fueron aisladas dos nuevas saponinas terpenoides, las cuales resultaron ser potentes inhibidores del factor de necrosis tumoral alfa (TNF-α) (Shah et al., 2009). También en P. hysterophorus, Gutiérrez, Ortiz, Muñoz, Bah y Serrano (2010), obtuvieron valores más altos de saponinas (11.49 mg/g de planta seca) en comparación con los encontrados en esta investigación. En T. officinale, Makkar et al. (2009) también cuantificaron saponinas, mientras que Escudero, De Arellano, Fernández, Albarracín y Mucciarelli (2003) no encontraron actividad hemolítica producida por el extracto de la planta. Para A. absinthium, C. aconitifolius y P. carpunya, solamente en la literatura se han reportado análisis cualitativos que indican la presencia de saponinas.
En cuanto a los glucósidos cianogénicos, C. aconitifolius presentó una concentración promedio de 5.0 µg equivalente a HCN/g de peso fresco, la cual fue más alta que la encontrada por Kuti y Konoru (2006), quienes hallaron los niveles de los glucósidos cianogénicos entre 0.79±0.20 y 1.47 ± 0.40 µg, equivalente a HCN/g de peso fresco. Aunque todas las plantas estudiadas presentaron valores menores de 10 µg HCN/g de material vegetal fresco, valor considerado potencialmente peligroso (FAO/WHO, 1991), los estudios epidemiológicos han demostrado que pequeñas dosis de cianuro dadas durante un largo período de tiempo, producen cambios histológicos en el sistema nervioso central (Nwokoro et al., 2010; Smith, 1964). Las investigaciones acerca de las concentraciones de glucósidos cianogénicos en plantas fueron escasas; por lo tanto, fue primordial dar a conocer la presencia de estos compuestos en plantas para minimizar problemas de salud, debido a la intoxicación por cianuro.
En relación con la actividad citotóxica, se evidenció una importante variabilidad en las plantas estudiadas, desde extremadamente tóxica (P. carpunya, CL50 de 3.37 µg/mL), altamente tóxicas (C. aconitifolius, CL50 74.34 µg/mL; P. hysterophorus, CL50 de 95.88 µg/ mL y A. absinthium, Cl50 de 100.7 µg/mL) hasta moderadamente tóxica (T. officinale CL50 274.34 µg/mL. La categoría de toxicidad fue designada según la clasificación de CYTED (1995); sin embargo, en la escala de Meyer et al. (1982), una concentración letal (CL50) basada en la toxicidad de sustancias para las larvas de A. salina < 500 μg/mL indica toxicidad alta, por lo que todos los extractos de las plantas evaluadas se consideraron tóxicos.
El resultado obtenido con P. hysterophorus estuvo en similitud con un estudio de Al-Mamun et al. (2010) en el que esta planta mostró actividad citotóxica contra los nauplios de Artemia salina, con una CL50 de 93.75 μg/ mL. C. aconitifolius presentó un porcentaje máximo de mortalidad de 76.66 %, resultado que estuvo en correspondencia con un estudio realizado en la misma planta por Ikpefan (2013); además, ellos refieren que la citoxicidad de las plantas evaluadas por exposición de nauplios de A. salina frente a extractos acuosos y/o etanólicos, son indicadores de efectos antitumorales.
La especie P. carpunya, tuvo la más alta toxicidad y los estudios toxicológicos usando A. salina, han sido escasos. Una CL50 de 3.37 μg/mL evidenció una toxicidad muy significativa (Meyer et al., 1982) para esta especie. Dado que el nivel de dosis tóxica, según el Instituto Nacional del Cáncer de Estados Unidos, fue < 30 μg/mL (Suffness & Pezzuto, 1990), el resultado de CL50 (3.37 µg/mL) del extracto etanólico de hojas de P. carpunya muestra a esta planta como promisoria para seguir con estudios que permitan determinar el verdadero potencial anticancerígeno, dada la alta citotoxicidad observada.
En cuanto a las altas correlaciones que se encontraron en este estudio, entre la citotoxicidad en A. salina y las concentraciones de alcaloides, Coe, Parikh y Johnson (2010) también hallaron que las citotoxicidades más altas fueron registradas en especies de plantas que dieron resultados positivos para alcaloides, causando la muerte de A. salina a concentraciones inferiores de 2 000 μg/mL. También, Bouzada et al. (2009) obtuvieron que los extractos más citotóxicos fueron los que mostraron mayor contenido de alcaloides. JohnsonSenjobi, Moody y Ettu (2011) observaron que los alcaloides extraídos en el extracto alcohólico de C. aconitifolius también presentaron alta toxicidad (CL50 44.7 μg/mL). Esto le confiere un gran valor farmacológico a las plantas ensayadas, y podrían ser fuentes promisorias de compuestos antitumorales.
En esta investigación, usando análisis de regresión lineal, se demostró que los extractos de las plantas con mayores concentraciones de los fenoles, disminuyeron significativamente las toxicidades contra A. salina. Otros estudios también han encontrado altas concentraciones de polifenoles, pero las toxicidades de los extractos contra A. salina fueron de moderadas (Saraiva et al., 2011) a bajas (James, Nnacheta, & Ameh, 2008). Es probable que los extractos de plantas con altas concentraciones de polifenoles, también presenten mayores capacidades antioxidantes (James et al., 2008), y esto puede estar inhibiendo la citotoxicidad, dado que muchas veces la muerte celular de los crustáceos se produce por estrés oxidativo. Se ha reportado, que la exposición a determinados compuestos ensayados, ha inducido a alteraciones en el estado redox celular y de peroxidación lipídica (Nunes, Carvalho, & Guilhermino, 2006; Vitorino, Mantovanelli, Zanotto, & Espósito, 2015).
La aplicación de análisis de componentes principales (PCA) permitió examinar el patrón de la relación entre todos los metabolitos secundarios cuantificados y la actividad citotóxica. Los tres primeros ejes del PCA fueron seleccionados porque explicaron el 97.4 % de la varianza. Las altas similitudes entre los fenoles y los taninos para disminuir la actividad citotóxica (mayor valor de CL50), podría ser debido a la estructura polifenólica que poseen los taninos (Chung, Cheng-I Wei, & Johnson, 1998). También en el mismo cluster se encontraron asociadas las saponinas, de lo que se puede inferir que puede haber una sinergia entre los polifenoles y las saponinas para disminuir la citotoxicidad. Zhao, Qin y Lou (1999) evaluaron la toxicidad de varios tipos de saponinas contra A. salina, y como resultado, encontraron que los compuestos ensayados disminuyeron su toxicidad a medida que las concentraciones de las saponinas analizadas aumentaron. Estos resultados demuestran que las saponinas y los polifenoles pueden ser letales a A. salina a bajas concentraciones, por lo que se recomendaría a A. salina como un valioso bioensayo citotóxico para evaluar extractos vegetales que contengan bajas concentraciones de compuestos químicos con altas polaridades.
En contraste, se observaron los alcaloides, reflejando que las altas concentraciones de alcaloides aumentaron la toxicidad de la planta sobre A. salina, lo cual puede servir para determinar la toxicidad intrínseca de la planta y así poder controlar tratamientos seguros, y evitar efectos por sobredosis aguda hacia células normales (Bun et al., 2009).
Con los resultados observados de correlaciones y del análisis de componentes principales, se puede inferir que las plantas medicinales evaluadas en este estudio contienen glucósidos cianógenicos, con una tendencia de toxicidad a nivel celular no significativa y totalmente independiente a los polifenoles, saponinas y a los alcaloides.
Con los resultados de esta investigación se demostraron las interacciones aditivas entre fenoles y taninos, sinérgicas entre polifenoles y saponinas, y antagónicas de los alcaloides y los glucósidos cianogénicos. Esto evidenció que los metabolitos secundarios cuantificados presentaron variabilidades en los mecanismos de acción como citotóxicos contra A. salina. Por lo tanto, el bioensayo de A. salina demostró ser útil como biomodelo para evaluar los metabolitos secundarios en plantas medicinales con potencial farmacológico.
Agradecimientos
Los autores agradecen al Proyecto Prometeo de la Secretaría Nacional de Educación Superior, Ciencia y Tecnología de la República de Ecuador (SENESCYT), por el financiamiento de esta investigación.
Referencias
Aguirre-Mendoza, Z., Linares-Palomino, R., & Peter Kvist, L. (2006). Especies leñosas y formaciones vegetales en los bosques estacionalmente secos de Ecuador y Perú. Arnaldoa, 13, 324-346.
Ajanal, M., Gundkalle, M. B., & Nayak, S. U. (2012). Estimation of total alkaloid in Chitrakadivati by UV-Spectrophotometer. Ancient Science of Life, 31, 198-201.
Al-Mamun, R., Hamid, A., Islam, M. K., & Chowdhury, J. A. (2010). Cytotoxic and thrombolytic activity of leaves extract of Parthenium hysterophorus (Fam:Asteraceae). Bangladesh Pharmaceutical Journal, 13, 51-54.
Amin, M., Sawhney, S., & Jassal, M. M. (2013). Qualitative and quantitative analysis of phytochemicals of Taraxacum officinale. Wudpecker Journal of Pharmacy and Pharmocology, 2, 1-5.
Bailon-Moscoso, N., Romero-Benavides, J., Tinitana-Imaicela, F., & Ostrosky-Wegman, P. (2015). Medicinal plants of Ecuador: a review of plants with anticancer potential and their chemical composition. Medicinal Chemistry Research, 24, 2283-2296.
Bennett, R. N., & Wallsgrove, R. M. (1994). Secondary metabolites in plant defense mechanisms. New Phytology, 127, 617-633.
Bouzada, M., Fabri, R., Nogueira, M., Konno, T., Duarte, G., & Scio, E. (2009). Antibacterial, cytotoxic and phytochemical screening of some traditional medicinal plants in Brazil. Pharmaceutical Biology, 47, 44-52.
Bun, S. S., Laget, M., Chea, A., Bun, H., Ollivier, E., & Elias, R. (2009). Cytotoxic activity of alkaloids isolated from Stephania rotunda. In vitro cytotoxic activity of cepharanthine. Phytotherapy Research, 23, 587-590.
Canadanovic‐Brunet, J., Djilas, S., Cetkovic, G., & Tumbas, V. T. (2005). Free‐radical scavenging activity of wormwood (Artemisia absinthium L) extracts. Journal of the Science of Food and Agriculture, 85, 265-272.
Cerón, C. E. (2006). Plantas medicinales de los Andes Ecuatorianos. En M. Moraes, B. Ollgaard, L. P. Kvist, F. Borchsenius, & H. Balslev (Eds.), Botánica Económica de los andes Centrales (pp. 285-293). La Paz, Bolivia: Universidad Mayor de San Ándres.
Chung, K. T., Cheng-I Wei, Ch., & Johnson, M. (1998). Are tannins a double-edged sword in biology and health? Trends in Food Science & Technology, 9, 168-175.
Coe, F. G., Parikh, D. M., & Johnson, C. (2010). Alkaloid presence and brine shrimp (Artemia salina) bioassay of medicinal species of eastern Nicaragua. Pharmaceutical Biology , 48, 439-445.
CYTED (1995). Programa Iberoamericano de Ciencia y Tecnología para el Desarrollo. Manual de Técnicas de Investigación. Colombia: CYTED.
Diagayete, M., & Huss, W. (1981). Tannin contents of African pasture plants: Effects on analytical data and in vitro digestibility. Animal Research and Development, 15, 79-90.
Elena, D. L. (2012). Pharmacognostic methods for analysis of herbal drugs, According to European Pharmacopoeia. Romania: University of Medicine and Pharmacy ”Carol Davila” Bucharest, Faculty of Pharmacy.
Escalante-Erosa, F., Ortegón-Campos, I., Parra-Tabla, V., & Peña-Rodríguez, L. (2004). Chemical Composition of the Epicuticular Wax of Cnidoscolus aconitifolius. Journal of the Mexican Chemical Society, 48, 24-25.
Escudero, N. L., De Arellano, M. L., Fernández, S., Albarracín, G., & Mucciarelli, S. (2003). Taraxacum officinale as a food source. Plant Foods for Human Nutrition, 58, 1-10.
FAO/WHO (1991). Joint FAO/WHO Food Standards Programme. Codex Alimentarius Commission XII. Supplement 4. Rome, Italy: FAO.
Francisco, I. A., & Pimenta Pinotti, M. H. (2000). Cyanogenic glycosides in plants. Brazilian Archives of Biology and Technology, 43, 487-492.
Ghaima, K. K., Hashim, N. M., & Ali, S. A. (2013). Antibacterial and antioxidant activities of ethyl acetate extract of nettle (Urtica dioica) and dandelion (Taraxacum officinale). Journal of Applied Pharmaceutical Science, 3, 96-99.
Guerra, J., Nogueiras, C., Delgado, R., & Hernández, O. (2001). Determinación cuantitativa de saponinas y azucares reductores del Agave brittoniana T. Revista Cubana de Química, 13, 37-42.
Gutiérrez, D., Ortiz, D., Muñoz, G., Bah, M., & Serrano, V. (2010). Contenido de sustancias antinutricionales de malezas usadas como forraje. Revista Latinoamericana de Química, 38, 58-67.
Ikpefan, E. O. (2013). In vitro comparative cytotoxic and growth inhibitory effects of the methanol extracts of the leaf stem and root barks of Cnidoscolus acontifolius (mill.) Johnst (euphorbiaceae). International Journal of Bioassays, 2, 445-449.
Iriti, M., & Faoro, F. (2009). Chemical diversity and defense metabolism: How plants cope with pathogens and ozone pollution. International Journal of Molecular Sciences, 10, 3371-3399.
James, O., Nnacheta, O. P., & Ameh, O. (2008). Polyphenol contents, cytotoxicity and antioxidant activities of some selected Nigerian vegetable foods. International Journal of Chemical Sciences, 6, 1714-1725.
Javed, A., Mir, S., & Naqui, R. (2012). Preliminary pharmacognostical standardization of aerial parts of Artemisia absinthium Linn. International Research Journal of Pharmacy, 3, 217-220.
Johnson, R., & Wichern, D. (1992). Applied multivariate statistical analysis. New Jersey: Prentice-Hall Int.
Johnson-Senjobi, C. T., Moody, J. O., & Ettu, A. O. (2011). Antimicrobial and cytotoxic effects of Cnidoscolus aconitifolius (Miller). Journal of Agriculture and Biological Sciences, 2, 21-25.
Koo, H-N., Hong, S-H., Song, B., Kim, Ch., Yoo, Y., & Kim, H. (2004). Taraxacum officinale induces cytotoxicity through TNF-a and IL-1a secretion in Hep G2 cells. Life Sciences, 74, 1149-1157.
Kuti, J. O., & Konuru, H. B. (2004). Antioxidant capacity and phenolic content in leaf extracts of tree spinach (Cnidoscolus spp.). Journal of Agricultural and Food Chemistry, 52, 117-121.
Kuti, J. O., & Konoru, H. B. (2006). Cyanogenic glycosides content in two edible leaves of tree spinach (Cnidoscolus spp.). Journal of Food Composition and Analysis, 19, 556-561.
Lee, Y., Thiruvengadam, M., Chung, I., & Nagella, P. (2013). Polyphenol composition and antioxidant activity from the vegetable plant Artemisia absinthium L. Australian Journal of Crop Science, 7, 1921-1926.
Madan, H., Gogia, S., & Sharma, S. (2011). Antimicrobial and spermicidal activities of Parthenium hysterophorus Linn. and Alstonia scholaris Linn. Indian Journal of Natural Products and Resources, 2, 458-463.
Makkar, H. P., Norvsambuu, T., Lkhagvatseren, S., & Becker, K. (2009). Plant secondary metabolites in some medicinal plants of Mongolia used for enhancing animal health and production. Tropicultura, 27, 159-167.
Mazid, M., Khan, T. A., & Mohammad, F. (2011). Role of secondary metabolites in defense mechanisms of plants. Biology and Medicine, 3, 232-249.
McLaughlin, J. L., & Lingling, L. R. (1998). The use of biological assays to evaluate botanicals. Drug Information Journal, 32, 513-524.
Meyer, B. N., Ferrigni, N. R., Putnam, J. E., Jacobsen, L. B., Nichols, D. E., & McLaughlin, J. L. (1982). Brine shrimp: a convenient general bioassay for active plant constituents. Planta Medica, 45, 31-34.
Mordi, J., & Akanji, M. (2012). Phytochemical screening of the dried leaf Extract of Cnidoscolus aconitifolius and associated changes in liver enzymes induced by its administration in Wistar Rats. Current Research Journal of Biological Sciences, 4, 153-158.
Nganthoi, Y, Duta, B. K., Sagolemcha, R., & Irabanta, N. (2014). Allelopathic effect of Parthenium hysterophorus L. on growth and productivity of Zea mays L. and its phytochemical screening. International Journal of Current Microbiology and Applied Science, 3, 837-846.
Nunes, B., Carvalho, F., & Guilhermino, L. (2006). Effects of widely used pharmaceuticals and a detergent on oxidative stress biomarkers of the crustacean Artemia parthenogenetica. Chemosphere, 62, 581-594.
Nwokoro, O., Ogbonna, J. C., Ubani, C. S., Okpala, G. N., & Ofodile, O. E. (2010). Determination of cyanide in Amanitia muscaria samples using alkaline picrate method. Pakistan Journal of Nutrition, 9, 134-136.
Oliveros-Bastidas, A., Carrera, C., & Marín, D. (2009). Estudio por espectrofotometría Uv-Vis de la reacción entre los iones cianuro y picrato. Un ejemplo práctico de aplicaciones analíticas y estudios cinéticos. Revista Colombiana de Química, 38, 61-82.
Organización Mundial de la Salud (OMS). (1999). Pruebas básicas para medicamentos: Sustancias farmaceúticas, plantas medicinales y formas farmacéuticas. Recuperado de http://apps.who.int/medicinedocs/pdf/h1795s/h1795s.pdf.
Organización Mundial para la Salud (OMS). (2002). Pautas generales para las metodologías de investigación y evaluación de la medicina tradicional. Recuperado de: http://archives.who.int/tbs/trm/s4930s.pdf.
Padma, S., & Deepika, S. (2013). Phytochemical screening and in vitro antifungal investigation of parthenium hysterophorus extracts against Alternaria alternate. International Research Journal of Pharmacy , 4, 190-193.
Pandey, A. K. (2007). Anti-staphylococcal activity of a pan-tropical aggressive and obnoxious weed Parthenium histerophorus: an in vitro study. National Academy Science Letters, 30, 383-386.
Parra, L., Silva, R., Guerra, I., & Iglesia, L. (2001). Comparative study of the assay of Artemia salina L. and the estimate of medium lethal dose (LD50 value) in mice, to determine oral acute toxicity of plant extracts. Phytomedicine, 8, 395-400.
Patel, V. S., Chitra, V., Prassanna, P. L., & Krishnaraju, V. (2008). Hypoglycemic effect of aqueous extract of Parthenium hysterophorus L in normal and alloxan induced diabetic rats. Indian Journal Pharmacology, 40, 183-185.
Pino, O., & Lazo, F. (2010). Ensayo de Artemia: Útil Herramienta de trabajo para ecotoxicólogos y químicos de productos naturales. Revista de Protección Vegetal, 22, 34-43.
Price, K., Johnson, I., Fenwick, G., & Malinow, M. (1987). The chemistry and biological significance of saponins in foods and feedingstuffs. C R C Critical Reviews in Food Science and Nutrition, 26, 27-135.
Quílez, A., Berenguer, B., Gilardoni, G., Souccar, C., de Mendonça, S., Oliveira, L. F., Martín-Calero, M. J., & Vidari, G. (2010). Anti-secretory, anti-inflammatory and anti-Helicobacter pylori activities of several fractions isolated from Piper carpunya Ruiz & Pav. Journal of Ethnopharmacology, 128, 583-589.
Quinones, M., Miguel, M., & Aleixandre, A. (2012). Los polifenoles, compuestos de origen natural con efectos saludables sobre el sistema cardiovascular. Nutrición Hospitalaria, 27, 76-89.
Reddy, D. M., Qazi, N. A., Sawant, S. D., Bandey, A. H., Srinivas, J., Shankar, M., Singh, S. K., … Sampath, H. M. (2011). Design and synthesis of spiro derivatives of parthenin as novel anticancer agents. European Journal of Medicinal Chemistry, 46, 3210-3217.
Ross-Ibarra, J., & Molina-Cruz, C. (2002). The ethnobotany of chaya (Cnidoscolus aconitifolius ssp. Aconitifolius Breckon): A nutritious Maya vegetable. Economic Botany, 56, 350-365.
Sánchez, O., Kvist, L., & Aguirre, Z. (2006). Bosques secos en Ecuador y sus plantas útiles. En M. Moraes, B. Ollgaard, L. P. Kvist, F. Borchsenius, & H. Balslev (Eds.), Botánica Económica de los andes Centrales (pp. 188-204). La Paz, Bolivia: Universidad Mayor de San Ándres .
Saraiva, A. M., Castro, R. H., Cordeiro, R., Peixoto Sobrinho, T., Castro, V., Amorim, E., Xavier, H., & Pisciottano, M. (2011). In vitro evaluation of antioxidant, antimicrobial and toxicity properties of extracts of Schinopsis brasiliensis Engl. (Anacardiaceae). African Journal of Pharmacy and Pharmacology, 5, 1724-1731.
Savithramma, N., Linga, M., & Suhrulatha, D. (2011). Screening of medicinal plants for secondary metabolites. Middle-East Journal of Scientific Research, 8, 579-584.
Sengul, M., Yildiz, H., Gungor, N., Cetin, B., Eser, Z., & Ercisli, S. (2009). Total phenolic content, antioxidant and antimicrobial activities of some medicinal plants. Pakistan Journal of Pharmaceutical Sciences, 22, 102-106.
Shah, B. A., Chib, R., Gupta, P., Sethi, V. K., Koul, S., Andotra, S. S., Nargotra, A., … Taneja, S. C. (2009). Saponins as novel TNF-α inhibitors: isolation of saponins and a nor-pseudoguaianolide from Parthenium hysterophorus. Organic & Biomolecular Chemistry, 7, 3230-3235.
Shamsa, F., Monsef, H., Ghamooshi, R., & Verdian-rizi, M. (2008). Spectrophotometric determination of total alkaloids in some Iranian medicinal plants. Thai Journal of Pharmaceutical Sciences , 32, 17-20.
Silva, T., Nascimento, R., Batista, M., Agra, M., & Camara, C. A. (2007). Brine shrimp bioassay of some species of Solanum from Northeastern Brazil. Brazilian Journal of Pharmacognosy, 17, 35-38.
Singh, G. (2010). Plant Systematics: An Integrated approach. New Hampshire, USA: Science Publishers Inc.
Smith, A. D. (1964). Cyanide encephalopathy in man. Lancet, 26, 668-670.
Stephan, C. (1977). Methods for calculating an LC50. In F. L. Mayer & J. Hamelink (Eds.), Aquatic Toxicology and Hazard Evaluation. ASTM STP 634 (pp. 65-84). Philadelphia, Pensylvania: American Society for testing and Material.
Suffness, M., & Pezzuto, J. M. (1990). Assays related to cancer drug discovery. In K. Hostettmann (ed.), Methods in Plant Biochemistry: Assays for Bioactivity (pp.71-133). London: Academic Press.
Velásquez, A. (2004). Extracción de taninos presentes en el banano verde. Revista Lasallista de Investigación, 1, 17-22.
Vitorino, H. A., Mantovanelli, L., Zanotto, F. P., & Espósito, B. P. (2015). Iron metallodrugs: Stability, redox activity and toxicity against Artemia salina. PLoS ONE, 10, 1-11. DOI: 10.1371/journal.pone.012199
Yarnell, E., & Abascal, K. (2009). Dandelion (Taraxacum officinale and T. mongolicum). Integrative Medicine, 8, 35-38.
You, Y., Yoo, S., Yoon, H., Park, J., Lee, Y., Kim, S., Oh, K. T., ... Jun, W. (2010). In vitro and in vivo hepatoprotective effects of the aqueous extract from Taraxacum officinale (dandelion) root against alcohol-induced oxidative stress. Food and Chemical Toxicology, 48, 1632-1637.
Zar, J. (1996). Biostatistical Analysis. New Jersey: Prentice Hall.
Zhao, W. M., Qin, G. W., & Lou, L. G. (1999). Evaluation of toxicity of some saponins on brine shrimp. Journal of Asian Natural Product Research, 1, 307-311.