Artículos
Recepción: 13 Enero 2016
Aprobación: 22 Julio 2016
Resumen: La fragmentación de los ecosistemas es uno de los fenómenos antrópicos de mayor impacto global, y el efecto borde provoca que solo el interior de los fragmentos conserve sus características bióticas y abióticas originales. Los líquenes son organismos especialmente susceptibles a la variabilidad ambiental, lo que podría ser útil para la bio-indicación del efecto borde. En este trabajo se evaluó el efecto borde en dos fragmentos de Polylepis quadrijuga en el Páramo de la Rusia (Boyacá-Colombia), para determinar si existe un efecto borde sobre la distribución de los líquenes asociados a P. quadrijuga y su contenido de clorofilas. Se utilizaron tres transectos de 70 m a través del gradiente matriz-borde-interior en cada fragmento. Se escogieron nueve forofitos por transecto para medir variables ambientales: radiación fotosintéticamente activa, humedad relativa y temperatura del aire, y variables biológicas: riqueza y cobertura de cada especie. Además, fueron elegidas las especies que estaban presentes en las tres zonas del gradiente para cuantificar el contenido de clorofilas a y b, y determinar si hay cambios en la relación de clorofilas a/b que podrían sugerir plasticidad fisiológica como respuesta al efecto borde. Nuestros resultados mostraron que el fragmento 2 tenía una mayor exposición al borde debido a su alta relación perímetro/área, lo que causa una homogenización ambiental y pérdida de biodiversidad con relación con el fragmento 1. En general, se encontraron 55 especies que se distribuyen diferencialmente en relación con los fragmentos y el gradiente matriz-borde-interior. El interior del fragmento 1 fue la zona más conservada, que alberga una composición diferente en más de un 40 % a la composición de cualquier otra zona. Se clasificaron los líquenes de acuerdo con sus hábitos: gelatinosos, fruticosos, costrosos o foliosos, pero no se encontró ninguna relación entre la distribución por hábito y el efecto borde. Seis especies de amplia distribución mostraron cambios en el contenido de clorofila a lo largo del gradiente matriz-borde-interior, lo que es una evidencia de la plasticidad fisiológica al efecto borde. También fue posible diferenciar entre especies con preferencia por ambientes de alta temperatura y especies con preferencia a lugares más húmedos y suficientemente irradiados. Se concluye que algunas especies podrían tener un importante potencial como bio-indicadores de la fragmentación en ambientes de páramo.
Palabras clave: efecto borde, líquenes, Polylepis quadrijuga, humedad relativa, temperatura, radiación, clorofila..
Abstract: The ecosystems fragmentation is one of the anthropic phenomena with highest impact at global level and the edge effect causes that only the interior of fragments conserves their original biotic and abiotic characteristics. Lichens are organisms especially susceptible to environmental variability, what could be useful for bio-indication of edge effect. In this work, we evaluated the edge effect in two fragments of Polylepis quadrijuga in the Páramo de la Rusia (Boyacá-Colombia) to determine if there is an edge effect on distribution of lichens associated to P. quadrijuga and their chlorophyll content. We used three transects of 70 m across the matrix-edge-interior gradient in each fragment. We chose nine phorophytes per transect to measure the environmental variables: photosynthetically active radiation, relative humidity and air temperature, and the biological variables: richness and cover per species. Besides, we employed the species that were present in all the three zones of the gradient to quantify the content of chlorophylls a and b, and determine if there are changes in the ratio of chlorophylls a/b that could suggest physiological plasticity as a response to the edge effect. Our results showed that fragment 2 had a higher edge exposition because of its high relation perimeter/area, allowing to an environmental homogenization and lose of biodiversity in relation with fragment 1. Overall, we found 55 differentially distributed species in relation with the fragments and the matrix-edge-interior gradient. The interior of fragment 1 was the most conserved zone, harboring a composition different in more than 40 % to the composition of any other zone. We classified the lichens according with their habits: gelatinous, fruticose, crusty or foliose, but we did not find any relationship between the habit distribution and the edge effect. Six species of wide distribution showed changes in the chlorophyll content along the matrix- edge-interior gradient, what is an evidence of physiological plasticity to edge effect. It was also possible to distinguish between species with preference to warmer environment and species with preference to more humid and sufficiently irradiated places. We concluded that some species of lichens could have an important potential as bio-indicators of fragmentation in the páramo. Rev. Biol. Trop. 64 (4): 1683-1697. Epub 2016 December 01.
Key words: edge effect, lichens, P. quadrijuga, relative humidity, temperature, radiation, chlorophyll..
La fragmentación es un proceso de pérdida de continuidad de un ecosistema natural, conllevando a remanentes con una superficie total menor al hábitat original (Rodríguez, 2010). Es un fenómeno global que se ha consolidado como una de las principales amenazas para los ecosistemas terrestres, por tener efectos directos en la riqueza y abundancia biológica a través del tiempo. Dichos efectos con frecuencia son impredecibles, debido a la variabilidad de tipos de disturbio que causa la fragmentación, las condiciones ambientales, la orientación, tamaño y forma de los fragmentos (Bierregaard & Gascon, 2001; Bustamante & Grez, 1995; Santos & Tellería, 2006; Saunders, Hobbs, & Margules, 1991).
Uno de los efectos asociados a la fragmentación es el denominado efecto borde, que consiste en afectaciones positivas o negativas del componente biológico del fragmento a medida que se acerca a la matriz de disturbio antrópico, que puede ser de cultivos, pasturas, plantaciones forestales o urbanización, entre otros (Nava, Maass, Brones, & Méndez, 2007). La matriz comúnmente impone serias modificaciones ambientales en el borde, resultando en una zona de transición hacia el interior del fragmento, con efectos que pueden variar de una especie a otra (Ricketts, 2001). El efecto borde comprende así un amplio espectro de afectaciones directas, interacciones y flujos ecológicos que pueden llevar a largo plazo a cambios en la estructura y composición biológica (Barrera, 2004). El aislamiento de los fragmentos a su vez intensifica la manifestación del efecto borde, al generarse barreras genéticas que puedan comprometer la adecuación biológica de las especies (Nason & Hamrick, 1997).
El páramo es un bioma localizado en zonas de alta montaña neotropical, que se caracteriza por condiciones ambientales extremas como una alta variación diurna de la humedad relativa, temperatura ambiental y radiación solar (Cuatrecasas, 1989; Morales & Estévez, 2006; Rangel, 2000, 2007; Van der Hammen, Pabón, Gutiérrez, & Alarcón, 2002). La introducción de ganado, pastoreo y cultivos es uno de los disturbios antropogénicos intensivos y frecuentes en el páramo, produciendo fuertes alteraciones en la interacción planta-suelo (Van der Hammen, 2008). Debido a su alta susceptibilidad ecosistémica y condiciones ambientales particulares, es posible que bajo procesos de fragmentación el efecto borde sea más drástico en el páramo que en otro tipo de biomas.
El contenido de pigmentos fotosintéticos es una variable fisiológica fácilmente alterable por cambios en las condiciones ambientales, por tanto se ha convertido en un parámetro fisiológico útil para evaluar las respuestas de diferentes organismos fotosintéticos, especialmente cuando es difícil el uso de equipos especializados como fluorómetros y medidores de intercambio gaseoso (Curran, Dungan, & Gholz, 1990). La respuesta en el contenido de clorofilas bajo condiciones de estrés abiótico ocasionadas por un efecto borde, puede entonces ser aprovechada para establecer el grado de plasticidad fisiológica que presentan las diferentes especies para persistir en el fragmento (Eberhard, Finazzi, & Wollman, 2008; Larcher, 1995; Ramos, Buitrago, Pulido, & Vanegas, 2013; Shanker, 2005).
Los líquenes son una simbiosis entre un hongo y una o más especies de algas o cianobacterias (Nash, 2008). Se estima que los líquenes están representados por más de 360 especies en el páramo (Sipman, Hekking, & Aguirre, 2008). Distintas investigaciones que estiman la capacidad fotosintética de líquenes con fotobiontes de cianobacterias y algas verdes, usan como parámetro la medida de la clorofila a, b y la clorofila total (Henriksson & Pearson, 1981; Palmqvist, Campbell, Ekblad, & Johansson, 1998; Piccotto & Tretiach, 2010).
El complejo fotosintético PSII o fotosistema II es altamente sensible al estrés lumínico y al aunar el carácter poiquilohídrico de los líquenes, se deduce que estos organismos son altamente susceptibles a la variación ambiental (Heber, Bilger, & Shuvalov, 2006; Jairus, Löhmus, & Löhmus, 2009; Váczi & Barták, 2006), lo que llevaría a una distribución diferencial a lo largo de un gradiente de borde. Variaciones en la proporción de clorofilas a y b permiten además establecer una capacidad de plasticidad funcional (Hong, Vavilin, & Vermaas, 2001).
La ausencia de cutícula acentúa aún más la susceptibilidad de los líquenes a los ambientes perturbados, recibiendo de forma directa los contaminantes y nutrientes (Chaparro & Aguirre, 2002; Hawksworth, Iturriaga, & Crespo, 2005). Por ello los líquenes epifítos han sido propuestos como indicadores de efectos borde (Esseen & Renhorn, 1998). En sistemas alto andinos, los líquenes están expuestos a pérdida de humedad y altas radiaciones durante el día, y la cuantificación de sus pigmentos fotosintéticos ayudaría a resolver parte de los interrogantes que aún existen con relación a las estrategias adaptativas a estos ambientes (Hofstede, Segarra, & Mena, 2003; Raggio, 2013).
En este estudio, se analiza por primera vez la diversidad de líquenes epífitos y el contenido de clorofilas en especies de amplia distribución, en fragmentos de bosque de Polylepis quadrijuga Bitter afectados por matriz de pasturas, con el fin de establecer si existen respuestas ecológicas y fisiológicas en función de un efecto borde. Posibles patrones de respuesta pueden ser usados para diagnosticar el estado de conservación de los fragmentos de bosque en ambientes de alta montaña.
Materiales y Métodos
Área de estudio: La investigación fue hecha en el Páramo de la Rusia, está ubicado en el departamento de Boyacá entre 5˚55’26” N - 73˚04’59” W y 5˚55’14” N - 73˚05’01” W, en la vertiente occidental de la cordillera Oriental (Palacios, Velasco, Rivero, Villami, & Rivera, 2005). Éste es parte del complejo de páramos Guantiva-La Rusia, entre 2 800 y 3 500 m de altitud, con una extensión es de 6 529 hectáreas. Este páramo presenta un régimen de lluvias bimodal con un promedio de precipitaciones de 1 950 mm anuales (Morales et al., 2007), y una intervención de origen antrópico principalmente de ganadería, que ha detenido los procesos naturales de sucesión.
El lugar de muestreo consistió en un paisaje mixto de Espeletia gladulosa, E. congestiflora, E. incana, E. grandiflora var. boyacensis, E. brachyaxiantha y fragmentos de P. quadrijuga (Rangel, 2000), que estarían conformando el bioma de bosque montano húmedo de acuerdo a la clasificación de (Holdridge, 2000). Se considera que del total de la flora de líquenes reportada para el páramo, el 24 % de ellas se encuentra en el área de estudio (Morales et al., 2007). Los remanentes de bosque compuestos por árboles de la especie P. quadrijuga presentan una cobertura menor a 500 hectáreas en todo el páramo de La Rusia (Arellano & Rangel, 2008). La matriz es de pasturas, en la cual con frecuencia se observa la presencia de ganado. Se escogieron los dos fragmentos de P. quadrijuga que presentaban el mejor estado de conservación y evidenciaban el mayor contraste con la matriz; estos fragmentos fueron recorridos en su perímetro con un GPS para estimar el área y con estos datos estimar la relación perímetro/área como un indicador del grado de irregularidad del fragmento.
Caracterización ambiental: Para la caracterización ambiental del gradiente matriz- borde-interior, se tomaron medidas diurnas a intervalos de 30 minutos, de radiación fotosintéticamente activa (PAR) con un cuantificador Apogeé MQ-100, temperatura y humedad relativa del aire con termo-higrómetros Control Company. Estas medidas correspondieron a seis días diferentes para cada fragmento, en diciembre-febrero 2013-2014 y junio-agosto 2014, correspondientes a la época seca del año durante la cual se intensifican los efectos ambientales del borde (Morales et al., 2007). A cada forofito se le asignó un termo-higrómetro que permaneció de manera permanente desde las 10:00 hasta las 15:00 horas (periodo de mayor actividad fotosintética).
Composición y distribución: En los dos fragmentos de bosque de P. quadrijuga, distanciados aproximadamente 100 m entre sí, se usaron 3 transectos de 70 m por fragmento y en cada transecto se escogieron al azar 9 forofitos de P. quadrijuga con un DAP mayor a 20 cm. En cada forofito se realizó la colecta de los líquenes que fueron interceptados por una cuerda de 2 m perpendicular al suelo, superpuesta sobre el tronco y ubicada a 20 cm de altura desde la base del árbol. La cuerda fue puesta en los cuatro puntos cardinales del tronco; a los líquenes interceptados se les tomó las medidas de cobertura en cm2 y el tipo de talo metodología modificada de (Lücking, Rivas-Plata, Chaves, Umaña, & Sipman, 2009). Para los cálculos de índices de diversidad se estandarizó dando un valor de abundancia igual a 1 por cada cm2 de cobertura del líquen. Se recolectó una muestra suficiente para hacer la determinación taxonómica, como mínimo hasta morfoespecie, utilizando claves para el Neotrópico y Colombia (Brodo, Duran, & Sharnoff, 2001; Hale, 1975; Herrera, Philippe, & Nash, 1998; Jungbluth, 2006; Moncada, 2012; Sipman, 1986, 1998, 2005; Sipman, Elix, & Nash, 2009; Sipman & Aguirre, 1982).
Cuantificación de pigmentos fotosintéticos: La cuantificación de pigmentos fotosintéticos en líquenes trae retos que no son comunes en plantas superiores, debido a que las clorofilas son fácilmente oxidables por las sustancias ácidas de los líquenes, que pueden degradar la clorofila en feofitina en un corto tiempo (Brown & Hooker, 1977). El protocolo usado para la cuantificación de clorofilas fue adaptado con algunas modificaciones de (Barnes, Balaguer, Manrique, Elvira y Davidson, 1992; Calatayud, Sanz, Barreno y Del Valle-Tascón, 1994; Melgarejo, 2010) y (Raggio, 2013), y permite una medición dentro de las 72 horas siguientes a la toma de las muestras, lo cual evita la feofitinización.
Las muestras fueron recolectadas en bolsas de papel y secadas a temperatura ambiente por 48 horas. Posteriormente fueron lavadas seis veces con acetona (C3H6O) saturada en carbonato de calcio (CaCO3), con el fin de extraer previamente todas las sustancias liquénicas que pudiesen generar una degradación de clorofila a feofitina. La extracción se realizó por el método de inmersión que consistió en incubar el talo liquénico (1 g peso seco/10 mL) en solvente dimetilsulfóxido (DMSO) durante 12 horas. Para separar los restos del talo del solvente se usó un equipo de filtración por vacío con portafiltro, el tamaño de poro del filtro es de 0.45 μm y un diámetro de 47 mm (Advantec A045F047W). Las medidas de clorofilas se hicieron en un espectrofotómetro (Unico S- 2150 Spectrophotometer) a longitudes de onda de 667 y 649 nm, donde se tomaron los datos de absorbancia (A). Las fórmulas para calcular los valores de clorofila a y b fueron:
Donde V: volumen final del extracto de clorofila en DMSO.
mf: masa fresca en gramos de tejido foliar.
Esta cuantificación de pigmentos fotosintéticos se realizó solo para especies plásticas, es decir, especies con una amplia distribución a lo largo del gradiente matriz-borde-interior y que tuvieran una cobertura mayor a los 10 cm2. Los puntos de transición entre matriz-borde y borde-interior fueron establecidos mediante análisis de los puntos de inflexión en el comportamiento de las variables ambientales, usando gráficas en Statistics 18.0 (SPSS Inc., 2009). Para comparar las variables ambientales (Radiación fotosintéticamente activa, temperatura del aire y humedad relativa) entre sitios y fragmentos se realizó un ANOVA a dos vías con el programa STATISTICA 7.0 (StatSoft, Inc., 2004).
Se realizó una correlación de Pearson para ver si existe un patrón que relacione cobertura y riqueza con la distancia desde la matriz hacia el interior. Para los análisis de diversidad se usó el programa PAST (Hammer, Harper, & Ryan, 2001) que calculó la diversidad alfa, dominancia, Shannon, Margalef, Equitatividad, Fisher alfa y para estudiar la similitud entre sitios y fragmentos se usó el índice de Morisita-Horn, ya que este considera en su cálculo tanto la riqueza de especies como la abundancia (en este caso cobertura) de las muestras. Este último programa también se usó para generar un dendograma que estableciera patrones de similitud con relación a los gradientes matriz- borde-interior de cada fragmento. La distribución de las especies con respecto al gradiente fue analizada con el programa STATISTICA 7.0 (StatSoft, Inc., 2004) por medio de un análisis multivariado de componentes principales.
Sensibilidad al efecto borde: Para clasificar las diversas especies de líquenes de acuerdo a su sensibilidad al efecto borde, se propuso establecer tres niveles de sensibilidad con base en sus patrones de presencia-ausencia y en el comportamiento de los contenidos de clorofilas de las especies plásticas (Cuadro 1).

Resultados
Los dos fragmentos presentan diferencias en el tamaño, la relación perímetro/área y las condiciones ambientales (Cuadro 2).

El fragmento 1 es más extenso y menos irregular que el fragmento 2, lo que implica que el fragmento 2 presenta una mayor exposición a la matriz de pasturas.
Variabilidad ambiental del gradiente matriz-borde-interior: Los puntos de inflexión en el comportamiento de las variables ambientales a lo largo de los transectos marcaron la transición matriz-borde entre los 29 y 30 m para el fragmento 1, y entre 36 y 37 m para el fragmento 2; mientras que la transición borde -interior se ubicó alrededor de 50 m en el fragmento 1 y alrededor de 60 m en el fragmento 2. Con relación a la temperatura y la humedad relativa, el fragmento 2 resultó ser más homogéneo que el fragmento 1. La temperatura media en el fragmento 1 se reduce desde la matriz hacia el interior en 7.2 °C, mientras la media de humedad relativa aumenta en un 15 %. En el fragmento 2 estas variaciones solo fueron de 3.2 °C y 8.2 % respectivamente. Las condiciones contrastantes de radiación fotosintéticamente activa entre el interior y la matriz fueron evidentes y similares en ambos fragmentos, con radiaciones hasta 18 veces superiores en la matriz (Fig. 1).
Cobertura, distribución y diversidad de líquenes: En total se encontraron 55 especies de líquenes, que se distribuyeron diferencialmente con relación al fragmento y al gradiente matriz-borde-interior. La especie más abundante fue Usnea fragilescens con una cobertura total de 15 261 cm2 (35.3 %). Las especies menos frecuentes fueron Physia erumpens, Erioderma sp., Pertusaria sp.4 y Lopezaria sp., cada una con solo 6 cm2 de cobertura (0.01 %). La mayoría de las especies fueron identificadas hasta especie o género, a excepción de cinco líquenes costrosos que fueron listados como C1, C2, C3, C4 y Pil. En total al evaluar en conjunto los dos fragmentos, 23 especies fueron comunes a las 3 zonas del gradiente; 6 especies fueron exclusivas de la matriz, 8 del borde y 10 del interior.
La prueba t demostró que el fragmento 2 presenta una mayor cobertura de líquenes por especie (9.6±1.96 cm2); con respecto al fragmento 1 (6.3±1.96 cm2), pero la riqueza del fragmento 1 fue de 51 especies, casi el doble de la riqueza en el fragmento 2 (Cuadro 3).

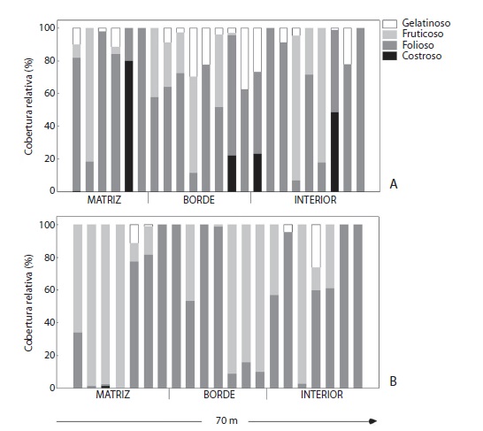
Con relación a la forma de crecimiento del talo en el fragmento 1 los líquenes foliosos presentan una cobertura dominante sobre los demás y una amplia distribución sin que haya ningún tipo de preferencia por alguna zona del gradiente; el tipo gelatinoso mostró cierta tendencia a aumentar su cobertura hacia el borde; los líquenes de tipo costroso estuvieron presentes en menor cobertura en la zona de borde. En general, fue notoria una mayor cobertura de los líquenes fruticosos en matriz y en la transición borde-interior. Las coberturas de los líquenes gelatinosos al igual que de los costrosos fue muy baja en comparación a los demás tipos de talo del mismo fragmento (Fig. 2).

Los índices de Shannon, Margalef, equitatividad y Fisher alpha mostraron que el fragmento 1 es más diverso que el fragmento 2 (Cuadro 3) y el borde del fragmento 1 es el que presentó los valores más altos para los índices calculados. Los dos fragmentos son muy diferentes en su composición general. El dendograma relacionó la matriz, borde e interior del fragmento 2, es decir estas zonas son muy similares entre sí, mientras que para el fragmento 1 las zonas de matriz y borde están más relacionadas entre sí que con el interior, donde la composición de líquenes es disímil a cualquier otra zona en mínimo un 40 % de su composición (Fig. 3).

Diferentes especies como Cladonia subsquamosa, Coenogonium sp., Leptogium phyllocarpum, Sticta colombiana, Sticta hirsutofugilinosa, Sticta viviana y Usnea rubicunda, están presentes únicamente en el interior del fragmento 1. Mientras que otras especies como Everniastrum fragile, Everniastrum vexans, Sticta andina, Cladonia subradiata, y Hypotrachyna paramensis están presentes en todo el gradiente matriz-borde- interior de los fragmentos (Cuadro 4).

La concentración de clorofilas de especies generalistas mostró patrones asociados al gradiente matriz-borde-interior. Everniastrum fragile presenta un menor contenido de clorofila a (0.15 mg / g) en la matriz; Usnea fragilensis reduce la concentración de clorofilas en el borde. En Everniastrum vexans la clorofila a y b se encuentran en mayor concentración en la matriz. Sticta andina presentó su máximo valor del radio de clorofilas a/b en el borde y el mínimo hacia el interior, y Cladonia subradiata tuvo un mayor contenido de clorofilas hacia el borde. Everniastrum sorocheilum mostró un aumento de las clorofilas a y b desde la matriz hacia el interior (Fig. 4).

El análisis multivariado usó las 14 especies de líquenes con mayor peso estadístico y extrajo dos ejes asociados a factores ambientales que explicaron en conjunto el 95.03 % de toda la variabilidad. Everniastrum fragile y Everniastrum sorocheilum se relacionaron con ambientes de alta radiación y humedad, mientras Leptogium phyllocarpum, Sticta paramensis, Leptogium andinum y Pertusaria sp.3 prefieren ambientes secos y de mayor temperatura. Solo la especie Leptogium ulvaceum mostró preferencia por lugares muy específicos de baja radiación y humedad (Fig. 5).

El componente ambiental más importante, fuertemente correlacionado al eje 1 (r = 0.95) fue la humedad relativa.
Discusión
A lo largo del gradiente matriz-borde- interior de los fragmentos de P. quadrijuga se comprobó que existe una variación en las condiciones ambientales de temperatura, humedad y radiación, y fue fácil establecer las distancias más probables de transición entre zonas usando esas variables ambientales. Este tipo de caracterización ya ha tenido numerosos precedentes (Chen, Franklin, & Spies, 1992; Esseen & Renhorn, 1998; Laurance, Ferreria, Rankin-de Merona, & Laurance, 1998; Matlack, 1993; Rheault, Drapeau, Bergeron, & Esseen, 2003). Por otra parte, dado que el fragmento 2 es más irregular y de menor tamaño que el fragmento 1, se comprobó que el efecto borde es más intenso, llegando incluso a causar una homogenización ambiental.
En general, para ambos fragmentos la matriz presentó los promedios más altos de temperatura y radiación respecto a las zonas de borde e interior; esto coincide con paisajes fragmentados donde la matriz es altamente contrastante (Bierregaard, Lovejoy, Kapos, Dos Santos, & Hutchings, 1992; Harper et al., 2005; Kapos, 1989). En el interior las variables temperatura y radiación fueron las más bajas, lo que concuerda con (Murcia, 1995) quien reporta que los ambientes de interior o que se encuentren bajo un dosel tienden a ser más fríos, húmedos y uniformes; y a su vez la matriz y el borde crean gradientes ambientales que pueden llegar a ser drásticamente contrastantes con el interior de un fragmento.
Las diferencias ambientales entre fragmentos influyen en las coberturas y riquezas de los líquenes (Harris, 1988). El fragmento 1 con una mayor extensión, albergó una mayor diversidad de líquenes, gracias a que el interior conserva condiciones de temperatura, radiación y humedad diferentes a las de borde y la matriz (Gunnar & Moen, 1998; Kruys & Jonsson, 1997). En contraposición el fragmento 2 presentó una mayor cobertura por especie, pero una menor riqueza. Esto podría explicarse no solo porque la tolerancia de las diferentes especies es puesta a prueba en el borde del fragmento (Fagan, Cantrell, & Cosner, 1999; Gauslaa & Solhaug, 1996; Johansson, Olofsson, Giesler, & Palmqvist, 2011), sino además porque se ha demostrado que en bosques intervenidos, los líquenes epífitos responden aumentando su biomasa (Gauslaa, Lie, Asbjørn, & Ohlson 2006), específicamente invirtiendo en un aumento de la corteza superior y la formación de apotecios (Jairus et al., 2009); lo que llevaría a una mayor cobertura.
En este estudio, se realiza por primera vez el registro de 55 especies de líquenes asociados a la especie P. quadrijuga. En general, se puede considerar que esta riqueza es baja en comparación con un estudio realizado en Tipacoque (Boyacá) en donde se reportan 139 especies de líquenes en un estudio con el forofito Quercus humboldtii en similares condiciones biogeográficas (Simijaca, 2011). Las diferencias de biodiversidad entre estos ecosistemas alto andinos son evidencia del efecto negativo de la fragmentación en el Páramo de La Rusia.
Los fragmentos de P. quadrijuga continúan siendo afectados por actividades de ganadería y pastoreo, que aumentan la pérdida de individuos de todas las edades, entre el 70 % y 90 % de la cobertura original (Etter & Villa, 2000). Las especies de líquenes que están presentes únicamente en el interior del fragmento de mayor tamaño, tienen baja tolerancia al disturbio. Mientras que otras especies presentan una plasticidad fisiológica que les permite estar presentes desde la matriz hasta el interior del fragmento. Dicha plasticidad fisiológica fue demostrada en este estudio con variaciones en las concentraciones de clorofila a lo largo del gradiente.
Con relación a los diferentes crecimientos del talo de los líquenes, el tipo fruticoso no mostró una preferencia por alguna zona del gradiente matriz-borde-interior. Este resultado no concuerda con (Rheault, et al., 2003) quienes indican que líquenes fruticosos como el género Usnea se ven altamente afectados por el efecto borde en bosques de coníferas del Este de Norteamérica, lo que fue atribuido a la forma de crecimiento de este género. Se puede inferir que especies de talos fruticosos, más allá de su forma de crecimiento, pueden tener respuestas distintas al efecto borde cuando ambientes tropicales y templados son comparados. Los líquenes foliosos presentaron el mayor porcentaje de cobertura relativa en ambos fragmentos, esto concuerda con lo registrado por (Pérez y Watteijne, 2009) quienes señalan que en las mayores altitudes se aumenta la cobertura de líquenes foliosos.
Especies restringidas solo al interior de los fragmentos como Leptogium phyllocarpum, Sticta hirsutofugilinosa, Physia erumpens, y Cladonia subsquamosa parecen ser afectadas por las condiciones de radiación de la matriz; si el efecto borde llegara a homogeneizar el fragmento con altas radiaciones y baja humedad relativa, es muy probable que estas especies sufran degradación de la clorofila y en consecuencia un daño irreversible del aparato fotosintético (Gauslaa et al., 2006). A las especies que sufren esta fotoxidación se les conoce con el término de especies poikiloclorófilas (Kranner et al., 2003). Las especies que por el contrario mantienen su contenido de clorofilas, incluso en condiciones de pérdida de humedad y alta radiación, presentarían sustancias eficientes en la disipación no fotoquímica del exceso de radiación, como el arabitol, que es sintetizado por el micobionte (Kosugi et al., 2013).
La especie Cladonia subradiata presenta una alta concentración de clorofila a en el borde con respecto a la matriz y el interior, y a su vez Hypotrachyna paramensis presenta una ligera mayor concentración de clorofila a en el borde. Esto puede estar relacionado con la alta densidad de follaje que suele reportarse en los bordes de bosque, que ocasiona que la radiación llegue al suelo y a los fustes en longitudes de onda diferentes a las de matriz y el interior (Didham & Lawton, 1999; Montgomery, 2004). Sin embargo, altos niveles de radicación podrían limitar estas especies (Demmig-Adams et al., 1990). La especie Everniastrum sorocheilum y Sticta andina presentaron mayores cantidades de clorofila b hacia el interior, estas respuestas parecen ser una estrategia de aclimatación a la sombra del dosel.
En general, la distribución de las especies mostró que la fragmentación tiene un efecto importante sobre las comunidades de líquenes epífitos, encontrando una amplia gama de respuestas al efecto borde (Esseen & Renhorn, 1998; Renhorn, Esseen, Palmqvist, & Sundberg, 1997; Sillett, 1994, 1995). Nuestros resultados muestran que la humedad relativa es la principal variable que determina la distribución de las especies, y autores como (Paterson, Paterson y Kenworthy, 1983) ya habían afirmado que esta variable es más importante para el crecimiento de los líquenes, en comparación con la temperatura y la radiación. Se dieron sin embargo, algunos casos más específicos. Por ejemplo Sticta paramuna, que se encontró más asociada a la variable temperatura, fue reportada por (Moncada, 2012) con presencia en diferentes radiaciones desde baja a media intensidad; lo cual podría significar que la temperatura influye más que la radiación en el establecimiento de esta especie. Las especies Sticta tunjensis y S. dioica se reportan en ambientes con exposición solar media a alta (Moncada, 2012), lo que concuerda con la distribución encontrada en este estudio. La alta humedad y poca radiación fueron las condiciones más relacionadas con S. colombiana. Por otra parte, Leptogium ulvaceum sería una especie negativamente afectada por la radiación y alta humedad, que se distribuye en microambientes específicos en el interior de los fragmentos. En muchos casos no existe un reporte previo de las preferencias ambientales de estas especies, por lo que este estudio representa un aporte importante a la ecología de los líquenes de alta montaña.
En general se comprobó que la alta homogeneidad ambiental del fragmento 2, debida a su relación perímetro/área, trae consecuencias negativas para la diversidad; albergando una riqueza 50 % menor a la del fragmento 1. Las especies únicas en el interior del fragmento 1 conforman una comunidad muy distinta a cualquier otro lugar, representando así un recurso biológico valioso a proteger en los fragmentos de P. quadrijuga en el páramo de La Rusia. De acuerdo con los resultados expuestos en el presente estudio, varias de las especies de líquenes podrían tener un importante potencial en la bioindicación y diagnóstico del efecto borde en fragmentos de bosque altoandino como Cladonia subradiata y Sticta andina, debido a su sensibilidad al efecto borde.
Agradecimientos
Agradecemos a la Fundación Alejandro Ángel Escobar y su programa de becas Colombia Biodiversa por la financiación de este trabajo; a Judy Rodríguez, Carlos Nelson Díaz y Leidy Vanegas por el acompañamiento durante el desarrollo de este estudio y a Jairo A. Camacho por gestionar varios equipos usados durante el proyecto.
Referencias
Arellano, J. & Rangel, J. (2008). Patrones en la distribución de la vegetación en áreas de páramo de Colombia: heterogeneidad y dependencia espacial. Caldasia, 3, 355-411.
Barnes, J., Balaguer, L., Manrique, E., Elvira, S., & Davidson, A. W. (1992). A reappraisal of the use of DMSO for the extraction and determination of chlorophylls a and b in lichens and higher plants. Enviromental and Experimental Botany, 32, 85-100.
Barrera, F. (2004). Estructura y función en bordes de bosques. Ecosistemas, 13(1), 67-77.
Bierregaard, R., & Gascon, C. (2001). History of a long term conservation project. En C. Gascon, T. Lovejoy, & R. Mesquita (Ed.), Lessons from Amazonia. The ecology and conservation of a fragmented forest (pp. 5-12). Michigan, USA: University Press.
Bierregaard, R., Lovejoy, T., Kapos, V., Dos Santos, A., & Hutchings, R. (1992). The biological dynamics of tropical rainforest fragments. A prospective comparision of fragments and continuous forest. Bioscience, 42, 859-866.
Brodo, I., Duran, S., & Sharnoff, S. (2001). Lichens of North America. Connecticut, USA: Yale University Press.
Brown, H., & Hooker, T. (1997). The significance of acidic lichen substances in the estimation of chlorophyll and phaeophytin in lichens. New Phytologist, 78, 617-624.
Bustamante, R. & Grez, A. (1995). Consecuencias ecológicas de la fragmentación de los bosques nativos. Ambiente y Desarrollo, 2, 58-63.
Calatayud, A., Sanz, M., Barreno, E., & Del Valle-Tascón, S. (1994). Ventajas de la utilización del dimetilsulfóxido en la determinación de clorofilas y feofitinas en líquenes. Stvdia Botanica, 13, 123-128.
Chaparro, M. & Aguirre, J. (2002). Hongos Liquenizados. Bogotá, Colombia: Universidad Nacional de Colombia.
Chen, J., Franklin, J., & Spies, T. (1992). Vegetation responses to edge environments in old-growth Douglasfir forest. Ecological Applications, 2, 387-396.
Cuatrecasas, J. (1989). Aspectos de la vegetación natural en Colombia. Revista de la Academia Colombia de Ciencias Exactas, Físicas y Naturales, 10, 221-264.
Curran, P., Dungan, J., & Gholz, H. (1990). Exploring the relationship between reflectance red edge and chlorophyll content in slash pine. Tree Physiology, 7, 33-48.
Demmig-Adams, B., Maguas, C., Adams, W., Meyer, A., Kilian, E., & Lange, E. (1990). Effect to high light on the efficiency of photochemical energy conversión in a variety of lichen species with green and blue.green phycobionts. Planta, 180, 400-409.
Didham, R., & Lawton, J. (1999). Edge structure determines the magnitude of changes in microclimate and vegetation structure in tropical forest fragments. Biotropica, 31, 17-30.
Eberhard, S., Finazzi, G., & Wollman, F. (2008). The dynamics of photosynthesis. Annual Review of Genetics, 42, 463-515.
Esseen, P. A., & Renhorn, K. E. (1998). Edge effects on an epiphytic lichen in fragmented forests. Conservation Biology, 12(6), 1307-1317.
Etter, A., & Villa, A. (2000). Andean forests and framing systems in part of the Eastern Cordillera (Colombia). Mountain Research and Development, 20, 236-245.
Fagan, W., Cantrell, R., & Cosner, C. (1999). How habitat edges change species interactions. The American Naturalist, 153, 165-182.
Gauslaa, Y., Lie, M., Asbjørn, K., & Ohlson, M. (2006). Growth and ecophysiological acclimation of the foliose lichen Lobaria pulmonaria in forest with contrasting light climates. Oecologia, 147, 406-416.
Gauslaa, Y., & Solhaug, K. (1996). Differences in the susceptibility to light stress between epiphytic lichens of ancient and young boreal forest stands. Functional Ecology, 10, 344-354.
Gunnar, J., & Moen, J. (1998). Patterns in species associations in plant communities: the importance of scale. Journal of Vegetation Science, 9, 327-332.
Hale, M. (1975). A revision of the lichen genus Hypotrachyna (Parmeliaceae) in Tropical America. Smithsonian Contributions to Botany, 25, 1-77.
Hammer, Ø., Harper, D., & Ryan, P. (2001). PAST: Paleontological statistics software package for education and data analysis. Palaeontologia Electronica, 4, 4-9.
Harper, K., MacDonald, S., Burton, P., Chen, J., Brosofske, K., Saunders, S., Euskirchen, E., Roberts, D., Jaiteh, M., & Esseen, E. (2005). Edge influence on forest structure and composition in fragmented landscapes. Conservation Biology , 19, 768-782.
Harris, L. (1988). Edge effects and conservation of biotic diversity. Conservation Biology , 2, 330-332.
Hawksworth, D. L., Iturriaga, T., & Crespo, A. (2005). Líquenes como bioindicadores inmediatos de contaminación y cambios medio-ambientales en los trópicos. Revista Iberoamericana de Micologia, 22, 71-82.
Heber, U., Bilger, W., & Shuvalov, V. (2006). Thermal energy dissipation in reaction centres and in the antenna of photosystem II protects desiccated poikilohydric mosses against photo-oxidation. Journal of Experimental Botany, 57, 2993-3006.
Henriksson, E., & Pearson, L. (1981). Nitrogen fixation rate and chlorophyll content of the lichen Peltigera canina exposed to sulfur dioxide. American Journal of Botany, 68, 680-684.
Herrera, M., Philippe, P., & Nash, T. (1998). Pendulous species of Usnea from the temperatura forests in Mexico. The Bryologist, 101, 303-329.
Hofstede, R., Segarra, P., & Mena, P. (Eds.). (2003). Los Páramos del mundo: proyecto atlas mundial de los Páramos. Quito, Ecuador: Global Patland Initiative/ NC-IUCN/EcoCiencia.
Holdridge, L. R. (2000) Ecología basada en zonas de vida. San José, Costa Rica: Instituto interamericano de cooperación para la Agricultura.
Hong, X., Vavilin, D., & Vermaas, W. (2001). Chlorophyll b can serve as the major pigment in functional photosystem II complexes of cyanobacteria. Proceedings of the National Academy of Sciences of the United States of America, 98, 14168-14173.
Jairus, K., Lõhmus, A., & Lõhmus, P. (2009). Lichen acclimatization on retention trees: a conservation physiology lesson. Journal of Applied Ecology, 46, 930-936.
Johansson, O., Olofsson, J., Giesler, R., & Palmqvist, K. (2011). Lichen responses to nitrogen and phosphorus additions can be explained the different symbiont responses. New Phytologist , 1991, 795-805.
Jungbluth, P. (2006). A família Parmeliaceae (fungos liquenizados) em fragmentos de cerrados do estado de São Paulo (Tesis de Maestría). Instituto de Botãnica da Secretaria de Estado do Meio Ambiente, São Paulo, Brasil.
Kapos, V. (1989). Effects of isolation on the water status of forest patches in the Brazilian Amazon. Journal of Tropical Ecology, 5, 173-185.
Kosugi, M., Miyake, H., Yamakawa, H., Shibata, Y., Miyazawa, A., Sugimura, T., Satoh, K., Itoh, S., & Kashino, Y. (2013). Arabitol provided by lichenous fungi enhances ability to dissipate excess light energy in a symbiotic green alga under desiccation. Plant Cell Physiology, 54(8), 1316-1325.
Kranner, I., Zorn, M., Turk, B., Wornik, S., Beckett, R., & Batoc, F. (2003). Biochemical traits of lichens differing in relative desiccation tolerance. New Phytologist , 160, 167-176.
Kruys, N., & Jonsson, B. (1997). Insular patterns of calicioid lichens in boreal old-growth forest-wetland mosaic. Ecography, 20, 605-613.
Larcher, W. (1995). Physiological plant ecology: Ecophysiology and stress physiology of functional groups. 3rd. Edition. Berlín and New York: Springer-Verlag.
Laurance, W., Ferreira, L., Rankin-de Merona, J., & Laurance, S. (1998). Rain forest fragmentation and the dynamics of Amazonian tree communities. Ecology, 79, 2032-2040.
Lücking, R., Rivas Plata, E., Chaves, J., Umaña, L., & Sipman, H. J. M. (2009). How many tropical lichens are there… really? Bibliotheca Lichenologica, 100, 399-418.
Matlack, G. (1993). Microenvironment variation within and among forest edge sites in the Eastern Unites State. Biological Conservation, 66, 185-194.
Melgarejo, L. M. (2010). Experimentos en fisiología vegetal. Bogotá, Colombia: Universidad Nacional de Colombia .
Moncada, B. (2012). El género Sticta (Schreb.) Ach. en Colombia: taxonomía, ecogeografía e importancia (Tesis de Doctorado). Universidad Nacional de Colombia, Bogotá, Colombia.
Montgomery, R. (2004). Effects of understory foliage on patterns of light attenuation near the forest floor. Biotropica , 36, 33-39.
Morales, J. A. & Estévez, J. V. (2006). El páramo: ¿ecosistema en vía de extinción? Revista Luna Azul, Universidad de Caldas, 22, 39-51.
Morales, M., Otero, J., Van der Hammen, T., Torres, A., Cadena, C., Pedraza, C., Rodríguez, N., Franco, C., Betancourth, J. C., Olaya, E., Posada, E., & Cárdenas, L. (2007). Atlas de páramos de Colombia. Bogotá, Colombia: Instituto de Investigación de Recursos Biológicos Alexander von Humboldt.
Murcia, C. (1995). Edge effects in fragmented forests: implications for conservation. Tree, 10, 58-62.
Nash, T. H. (2008). Lichen Biology. Second edition. United Kingdom, London: Cambridge University Press.
Nason, J., & Hamrick, J. (1997). Reproductive and genetic consequences of forest fragmentation: two cases studies of Neotropical canopy trees. Journal of Heredaty, 88, 264-276.
Nava, Y., Maass, M., Brones, O., & Méndez, I. (2007). Evaluación del efecto de borde sobre dos especies del bosque tropical caducifolio de Jalisco, México. Agrociencia, 41, 111-120.
Palacios, L., Velasco, M., Rivero, R., Villamil, J., & Rivera, N. (2005). Plan de manejo santuario de fauna y flora Guanentá Alto Río Fonce. Charalá, Santander, Colombia: Parques Nacionales Naturales de Colombia.
Palmqvist, K., Campbell, D., Ekblad, A., & Johansson, H. (1998). Photosynthetic capacity in relation to nitrogen content and its partitioning in lichens with diferente photobionts. Plant Cell Enviroment, 21, 361-372.
Paterson, D. R., Paterson, E. W., & Kenworthy, J. B. (1983). Physiological studies on temperate lichen species I.A mathematical model to predict assimilation in the field, based on laboratory responses. New Phytologist , 94, 605-618.
Pérez, A. & Watteijne, B. (2009). Estructura de una comunidad de líquenes y morfología del género Sticta (Stictaceae) en un gradiente altitudinal. Acta Biológica Colombiana, 14, 157-170.
Piccoto, M., & Tretiach, M. (2010). Photosynthesis in chlorolichens: the influence of the habitat light regime. Journal Plant Research, 123, 763-775.
Raggio, J. (2013). Fotosíntesis, crecimiento y resistencia a ambientes extremos en líquenes de regiones polares y alpinas (Tesis Doctoral Inédita). Universidad Complutense de Madrid, Madrid, España.
Ramos, C., Buitrago, S., Pulido, K., & Vanegas, L. (2013). Variabilidad ambiental y respuestas fisiólogicas de Polylepis quadrijuga (Rosaceae) en un ambiente fragmentado en el Páramo de La Rusia (Colombia). Revista Biología Tropical, 61, 351-361.
Rangel, O. (2000). Colombia: Diversidad Biótica III: La región de la vida paramuna. Bogotá, Colombia: Universidad Nacional de Colombia .
Rangel, O. (2007). La alta montaña de Perijá: consideraciones finales. En O. Rangel. (Ed.), Colombia Diversidad Biótica V. La alta montaña de la serranía de Perijá (pp. 417-436). Bogotá, Colombia: Universidad Nacional de Colombia-Instituto de Ciencias Naturales-Corpocesar.
Renhorn, K., Esseen, P., Palmqvist, K., & Sundberg, B. (1997). Growth and vitality of epiphytic lichens I. Responses to microclimatic along a forest edge- interior gradient. Oecologia , 109, 1-9.
Rheault, H., Drapeau, P., Bergeron, Y., & Esseen, P. (2003). Edge effects on epiphytic lichens in managed black spruce forest of Eastern North America. Canadian Journal of Forest Research, 33, 23-32.
Ricketts, T. H. (2001). The matrix matters: effective isolation in fragmented landscapes. American Naturalist, 158, 87-99.
Rodríguez, J. M. (2010). Ecología segunda edición. Madrid, España: Ediciones Pirámide.
Santos, T. & Tellería, J. L. (2006). Pérdida y fragmentación del hábitat: efecto sobre la conservación de las especies. Ecosistemas, 15(2), 3-12.
Saunders, D., Hobbs, R., & Margules, C. (1991). Biological consequences of ecosystem fragmentation a review. Conservation Biology , 5, 118-132.
Shanker, D. (2005). Photosynthesis in plants under stressful conditions. En M. Pessaraklim. Handbook of photosynthesis. Second edition (pp. 717-737). New York, USA: CRC Press.
Sillett, S. (1994). Growth rates of two epiphytic cyanolichen species at the edge and in the interior of a 700-year-old Douglas-fir forest in the western Cascades of Oregon. Bryologist, 97, 321-324.
Sillett, S. (1995). Branch epiphyte assemblages in the forest interior and on the clearcut edge of a 700-year- old forest canopy in western Oregon. Bryologist , 98, 301-312.
Simijaca, D. (2011). Líquenes epífitos de Quercus humboldtii en el parquet natural municipal robledales de tipacoque (Boyacá-Colombia) (Tesis de pregrado). Universidad Pedagógica y Tecnológica de Colombia, Tunja, Boyacá.
Sipman, H. (1986). Notes on the lichen genus Everniastrum (Parmeliaceae). Mycotaxon, 26, 235-251.
Sipman, H. (1998). Revised key to Hypotrachyna (Parmeliaceae) in Tropical America. Recuperado de http://www.bgbm.org/sipman/keys/Neohypot.htm.
Sipman, H. (2005). Identification key and literatura guide to the genera of lichenized fungi (Lichens) in the Neoropics. Recuperado de http://www.bgbm.fu-berlin.de/ sipman/keys/neokeyA.htm.
Sipman, H. & Aguirre, J. (1982). Contribución al conocimiento de los líquenes de Colombia I. Clave genérica para los líquenes foliosos y fruticosos de los páramos colombianos. Caldasia , 13, 603-634.
Sipman, H., Elix, J., & Nash, T. (2009). Hypotrachyna (Parmeliaceae, Luchenized fungi). New York, USA: The New York Botanical Garden Press.
Sipman, H., Hekking, W., & Aguirre, A. (2008). Checklist of lichenized and lichenicolous fungi from Colombia. Biblitheca José Jerónimo Triana, 20, 1-242.
SPSS, Inc. (2009). PASW Statistics for Windows. Version 18.0. Chicago.
StatSoft., Inc. (2004). Statistica (data analysis software system). Version 7.0.
Váczi, P., & Barták, M. (2006). Photosynthesis of lichen symbiotic alga Trebouxia erici as affected by irradiance and osmotic stress. Biologia Plantarum, 50, 257-264.
Van der Hammen, T. (2008). La cordillera oriental Colombiana, transecto Sumapaz. En J. Cramer (Ed.), Studies on Tropical Andean Ecosystems (pp. 1009). Berlín, Alemania: Ecoandes 7.
Van der Hammen, T., Pabón, J., Gutiérrez, H., & Alarcón, J. (2002). El cambio global y los ecosistemas de alta montaña de Colombia. En C. Castaño (Ed.), Páramos y ecosistemas altoandinos de Colombia en condición hotspot y global climatic tensor (pp. 163-209). Bogotá, Colombia: Ideam.