Artículo
Composición florística, estructura y biomasa de los bosques de pino-encino en la reserva Santa Rosa, Tisey, Estelí, Nicaragua
Floristic composition, structure and biomass of pine-oak forests in the reserve Santa Rosa, Tisey, Estelí, Nicaragua
Composición florística, estructura y biomasa de los bosques de pino-encino en la reserva Santa Rosa, Tisey, Estelí, Nicaragua
Revista de Biología Tropical, vol. 65, núm. 2, 2017
Universidad de Costa Rica
Recepción: 25 Enero 2016
Aprobación: 27 Febrero 2017
Resumen: Los bosques de Pino-Encino se distribuyen desde el centro de México hasta el norte de Nicaragua y representan un ecosistema de importancia para la conservación en Mesoamérica. En Nicaragua, diferentes áreas protegidas fueron creadas para la preservación de este ecosistema tal como la reserva natural Tisey-Estanzuela, pero son considerados susceptibles a la degradación debido a la deforestación y la agricultura, así como presentarse en un nicho ecológico estrecho (700 a 1 500 msnm). En este trabajo, estudiamos la estructura y composición florística en un gradiente de altitud en un bosque mixto de PinusQuercus de tierras altas en Estelí, en el norte de Nicaragua. Un inventario de vegetación en 15 parcelas rectangulares (0.1 ha 20X50 m) fue llevado a cabo para identificar patrones de densidad de árboles, diversidad de especies y almacenamiento de carbono. En cada parcela todos los fustes con diámetro mayor o igual a 2.5 cm fueron identificados a especie y medidos (diámetro a la altura del pecho y altura total). Un total de 1 081 individuos de 24 especies (17 familias y 21 géneros) fueron registrados, siendo Q. sapotifolia, P. maximinoi, C. vicentina, M. coriacea y S. gladulosum las especies más abundantes representando 92 % de los individuos. Tres asociaciones vegetales fueron definidas basadas en la abundancia y dominancia de Q. sapotifolia, P. maximinoi y las otras especies, dos de estas asociaciones fueron dominadas por Pinus (Bosque de Pino y Bosques de Pino-encino) a altitudes entre 1 300 a 1 400 msnm, mientras la tercera asociación por encinos y otras especies (Cletha vicentina, Myrsine coriaceae, Sapium glandulosum) fue encontrada principalmente a altitudes mayores de 1 400 msnm. La composición y diversidad de especies fue influenciada significativamente por la dominancia de Pinus, mostrando una correlación negativa entre la dominancia y la riqueza de especies de árboles latifoliados diferentes de Quercus spp. Sin embargo, la asociación dominada por Pinus presentó un volumen y biomasa de fustes mayor comparado con las otras asociaciones. Los resultados de este estudio sugieren que los bosques dominados por doseles de encinos o pino-encino presentan la diversidad más alta, mientras bosques dominados por Pinus presentan menor diversidad arbórea por mayor biomasa aérea y almacenamiento de carbono. Por tal razón, se sugiere que estrategias de pagos por servicios ambientales como secuestro de carbono o conservación de la biodiversidad tomen en cuenta las diferencias de las asociaciones encontradas.
Palabras clave: diversidad, estructura, biomasa, almacenamiento de carbono, Pinus, Quercus, ecorregión.
Abstract: The pine-oak forest is distributed from Central Mexico to the North of Nicaragua and represent an important ecosystem for conservation in Mesoamerica. In Nicaragua, several protected areas were established for the preservation of this ecosystem, such as the natural reserve Tisey-Estanzuela; however, this forest is considered susceptible to degradation, due to increasing deforestation and agricultural activities, besides being a narrow ecological niche (700 to 1 500 masl). We studied the floristic composition, forest structure and biomass along an altitude gradient dominated by Pinus-Quercus in forest stands on the highlands of Esteli, Northern Nicaragua. A vegetation survey on 15 plots (0.1 ha = 20x50 m) was carried out to identify patterns of tree density and diversity, and carbon stocks. In each plot, all the woody stems with diameter greater or equal to 2.5 cm were identified to species and the diameter at breast height and total height were measured. A total amount of 1 081 individuals of 24 species (17 families and 21 genera) were registered, being Q. sapotifolia, P. maximinoi, C. vicentina, M. coriacea and S. gladulosum the most abundant species representing 92 % of the individuals. Three forest associations were defined based on the abundance and dominance of Q. sapotifolia, P. maximinoi and the other species, two of those associations were dominated by Pinus (pine forest and pine-oak forest) at altitudes between 1 300 to 1 400 masl, while the third association, dominated by oak and other species (Cletha vicentina, Myrsine coriaceae and Sapium glandulosum), was found mainly at altitudes higher than 1 400 masl. Tree composition and species richness was influenced significantly by the dominance of Pinus, showing a negative correlation between the dominance and species richness of broadleaved trees other than Quercus spp. with the dominance of Pinus spp. (P < 0.001). However, the association dominated by Pinus, presented higher stem volume and biomass compared with other associations. The results from this study suggest that stands with both, an oak- or oak-pine-dominated canopy, presented the highest diversity, while Pinus dominated stands presented lower tree diversity, but higher aerial biomass and carbon storage. For this reason, we suggest that the strategies for ecosystem service payments as carbon sequestration or biodiversity conservation, must take into account differences in the type of forest associations found in this work.
Key words: diversity, structure, forest biomass, carbon stock, Pinus, Quercus, ecoregion.
Los bosques de pino-encino (Pinus-Quercus) de Mesoamérica se extienden desde la Sierra Madre Oriental en el centro de México (Chiapas) hasta el norte de Nicaragua. A pesar de que los bosques de roble-encino en el continente Americano están distribuidos hasta el Norte de Ecuador (Kappelle, 2006, 2008), Nicaragua marca la distribución más meridional del género Pinus, y de otros géneros como Juniperus, Carpinus y Liquidambar (Graham, 2010). En Mesoamérica este ecosistema exhibe una remarcable riqueza de especies en relación a los bosques de pino-encino en las regiones templadas. Esta alta biodiversidad; puede ser explicada por la confluencia de las regiones biogeográficas Holoárticas y Neotropicales, y la ausencia de barreras a la migración latitudinal de árboles (Zavala, Galindo-Jaimes, González-Espinosa, & Newton, 2007).
Aunque la diversidad de especies podría considerarse baja localmente en este tipo de ecosistema, se presenta una gran diversidad en los estratos herbáceos y arbustivos. Por otra parte, a nivel de paisaje existe gran variación altitudinal dentro de áreas relativamente cercanas, con diferencias en la inclinación y la orientación de las laderas, el tipo y profundidad del suelo y la compleja historia geotectónica (Challenger & Caballero, 1998). Esto resulta en un mosaico de vegetación, debido a que el gradiente de altitud influencia la estructura y composición de especies en los bosques montanos del Neotrópico (Gentry, 1993b). En los bosques montanos Neotropicales (altitud > 800 msnm) se encontró una reducción lineal de la riqueza de especies con la altitud, especialmente por encima de 1 500 msnm (Gentry, 1993b). Adicionalmente, en las regiones montañosas de Chiapas (México) por ejemplo, la diversidad se explicó por la evapotranspiración actual y la estacionalidad de la precipitación, mientras que el efecto de la fertilidad del suelo, parece depender de la interacción de otros factores limitantes (Rey-Benayas et al., 2007). Por otro lado, en bosques secos de México, la diversidad y la estructura de la vegetación mostraron ser sensibles a la disponibilidad de agua, así en cuencas pequeñas de menos de 1 km de distancia, la riqueza de especies (así como los índices de diversidad Shannon-Wiener y Simpson) redujo de 73 a 44 debido a una reducción en la disponibilidad de agua (Segura, Balvanera, Durán, & Pérez, 2002). No obstante, en los bosques de pino-encino, la presencia y dominancia de otras especies diferentes de Quercus spp., se relacionaron negativamente con el área basal de Pinus spp.; este género mostró un efecto marcado sobre la diversidad en este tipo de asociación (Galindo-Jaimes, González-Espinosa, Quintana-Ascencio, & García-Barrios, 2002).
Dentro de la eco-región de bosques de pino-encino en Nicaragua, existen diferentes áreas protegidas dentro de las que se encuentra la reserva natural Tisey-Estanzuela con aproximadamente 9 500 ha, a una altitud variable entre los 700 msnm y los 1 500 msnm (Cornide Rivas, Pou-Ametller, Solis-Ruiz, & Suari Andreu, 2008). El presente estudio se realizó para caracterizar la composición florística, la estructura y la biomasa de la vegetación de la reserva privada Santa Rosa (en esa reserva), entre los 1 300 msnm a 1 500 msnm de altitud.
Materiales y Métodos
Localización
El estudio se llevó a cabo en la reserva privada Santa Rosa (propiedad de Eriberto Cerrato y hermanos), ubicada en el área protegida de Tisey-Estanzuela (12°55’N - 86°21’ W) en el departamento de Estelí, Nicaragua. Tisey-Estanzuela está clasificada como Reserva Natural según la Ley General de Medio Ambiente y Recursos Naturales de Nicaragua (MARENA, 2006), se encuentra ubicada en las Cordilleras Centrales, las cuales se caracterizan por terrenos con relieves muy accidentados; su punto más alto es el Cerro Tisey a 1 500 msnm. La temperatura promedio anual presenta valores menores a 24 ºC y una precipitación anual entre los 1 000 y 1 200 mm.
Muestreo de vegetación
Se establecieron 15 parcelas de medición, con un tamaño de 0.1 ha (20 x 50 m) (Kalacska et al., 2004; Sánchez-Merlo et al., 2005; Sánchez Merlo et al., 2005) a diferentes altitudes a lo largo de un gradiente de 1 300 msnm a 1 500 msnm, desde Julio hasta Noviembre 2012. En cada parcela se registró el nombre de la especie, diámetro a la altura del pecho (Dap) y altura total (H) para todos los individuos con Dap > 2.5 cm y 3 m de altura. La identificación de las especies arbóreas se realizó en campo, a veces con la ayuda de guías dendrológicas (Gentry, 1993a; Holdridge & Poveda, 1997; Jardim, Killeen, & Fuentes, 2003; Keller, 2003; Killen, García, & Beck, 1998; Ulloa & Jorgensen, 1993; Zamora, 2000; Zamora, Jiménez, & A., 2004; Zamora, Jiménez, Poveda, & Aragón, 2000; Zamora & Pennington, 2001). Las especies que no fueron identificadas se colectaron con material fértil cuando fue posible o con material estéril, para ser identificadas posteriormente en el herbario nacional, localizado en la Universidad Centroamericana (UCA), y el Herbario Miguel Ramírez Goyena, de la Universidad Nacional Autónoma de Nicaragua-León (UNAN-León).
Adicionalmente, en cada parcela de medición se establecieron cinco puntos de muestreo para hojarasca y raíces finas, siguiendo un patrón sistemático, con un distanciamiento de 10 m entre cada punto de muestreo. En cada punto, se recolectó todo material muerto en un área de 0.25 m2 y se transportó al laboratorio. Se extrajeron muestras de raíces de un área de 10 cm x 10 cm, y a profundidades de 0-10 cm y 10-20 cm (Siles, Harmand, & Vaast, 2010; van Kanten, Schroth, Beer, & Jiménez, 2005). En el laboratorio, las muestras de hojarasca fueron colocadas en bolsas de papel y secadas al horno a 70 ºC por al menos 72 horas. En el caso de raíces finas, las muestras de suelos con raíces fueron almacenadas a baja temperatura (<4 ºC) hasta que se procedió al procesamiento (periodo de Noviembre 2012 a Enero 2013). Las raíces finas (< 5 mm de diámetro) fueron separadas del suelo después de una inmersión de las muestras en agua potable en el laboratorio. Seguido el material fue tamizado (tamiz de 0.5 mm de apertura) para separar y seleccionar las raíces finas de otros materiales de las muestras (material orgánico y suelo). Las raíces lavadas fueron mantenidas en refrigeración (<4 ºC) para evitar su descomposición. Posteriormente, fueron secadas y pesadas siguiendo el mismo procedimiento de hojarasca.
Estimación de carbono almacenado en la vegetación
La biomasa aérea y el volumen de cada uno de los individuos se estimó con las ecuaciones siguientes: Volumen=0.03949+ 0.00002495Dap2H+0.00005902Dap2 (Prodan, Peters, Cox, & Real, 1997) y Biomasa Aérea= 0.112*(ρ*dap*H)0.916 (J Chave et al., 2005), donde ρ es la gravedad específica de la madera, Dap y H son el diámetro a la altura del pecho y la altura, respectivamente. La gravedad específica de la madera usada en este estudio fue 0.58 correspondiendo a valores de las especies actuales dominantes (Pinus maximinoi y Quercus sapotifolia) tomada de una base mundial disponible (Jerome Chave et al., 2009).
Para la estimación de biomasa aérea y el volumen a nivel de parcela, se efectuó la sumatoria de la biomasa o el volumen de todos los individuos encontrados en la parcela. La extrapolación a hectárea fue hecha con base al área de la parcela original (factor de extrapolación 10). En el caso de la hojarasca, una vez obtenido el peso seco en gramos por unidad de muestreo (0.25 m2), fue extrapolado a una hectárea (factor de extrapolación 0.04). Para las raíces finas se realizó el mismo procedimiento de extrapolación (factor de extrapolación 1, ya que el área de muestreo fue 0.01 m2). Con los datos de biomasa obtenidos de diferentes compartimentos, se estimó el carbono almacenado total, y para cada compartimento, se multiplicó la biomasa por un factor de conversión (0.5) (al considerar que la biomasa presenta un 50 % de carbono en su estructura).
Análisis de la estructura de la vegetación
La estructura de la vegetación en las parcelas se analizó con base en los valores relativos del área basal y densidad de individuos. Los valores relativos se combinaron en el valor de importancia relativa (VIR). VIR = (área basal relativa + densidad relativa); donde el área basal relativa es el área basal de cada especie, dividida por el área basal total en la hectárea, y la densidad relativa, es el número de individuos por especie, dividida por el número total de individuos presentes por parcela (Galindo-Jaimes et al., 2002). Un análisis de conglomerados fue realizado con los valores de VIR de las especies de cada parcela en SAS versión 9.1 (SAS, 2004). Se utilizó el procedimiento PROC CLUSTER método Ward distancia Euclideana, para identificar diferentes asociaciones vegetales.
Basados en el análisis de conglomerados se probaron las diferencias estadísticas entre las asociaciones para los VIR de Pinus, VIR de Quercus y VIR de otras especies; así como altitud, riqueza de especies, densidad de individuos, área basal, volumen de fustes, biomasa aérea, hojarasca y raíces finas. La prueba no paramétrica de Kruskal-Wallis fue usada en caso de distribuciones no-normales y una prueba de diferencias mínimas significativas (LSD probabilidad ajustada por Bonferroni) fue usada para explorar diferencias entre grupos cuando la prueba de Kruskal-Wallis era significativa (p< 0.05). Mientras, un análisis de varianza (ANOVA) y la prueba de comparaciones múltiples de Duncan fueron usados cuando los supuestos de ANOVA (Normalidad y Homocedasticidad) se cumplían; ambos análisis fueron realizados usando el paquete Agricolae en R, Version 3.2 (de Mendiburu, 2013). Análisis de regresión lineal, con el paquete nls2 (Grothendieck, 2013), se llevaron a cabo para explorar la relación entre la riqueza de especies y la altitud, la densidad de individuos y el área basal; adicionalmente, el VIR de Pinus y el VIR de Quercus fue relacionado con la densidad y riqueza de especies.
Resultados
Composición florística
En el estudio se contabilizaron 17 familias leñosas, representadas en 21 géneros y 24 especies arbóreas de un total de 1 081 individuos con Dap mayor a 2.5 cm. Sin embargo, algunas observaciones fuera de las parcelas, permitieron detectar al menos cinco especies más (Solanum atitlanum K.E. Roe, Ardisia compressa Kunth, Oreopanax capitatus (Jacq.) Decne. & Planch., Roldana petasitis (Sims) H. Rob. & Brettell y Sageretia elegans (Kunth) Brongn, ésta última considerada rara en Nicaragua). Las familias con mayor número de especies fueron Fagaceae y Araliaceae (Dos especies, un género), Mimosaceae, Fabaceae y Myrtaceae (Dos especies, dos géneros). Las especies más abundantes fueron Q. sapotifolia, P. maximinoi, C. vicentina, M. coriacea y S. gladulosum que representan 92.4 % del total de todos los individuos encontrados en las 15 parcelas. Por el contrario, 11 especies (46 % del total de especies) presentaron baja abundancia (1.4 % del total de individuos) con dos o un individuo cada una. Esto a pesar de ser especies comúnmente reportadas en la Flora de Nicaragua, tales como Diphysa americana, Morella cerifera, Cornutia pyramidata, Oreopanax geminatus (reportada como rara), Piscidia carthagenensis, Eugenia acapulsensis, Psidium guajaba, Persea caerulea, Piper spp., Vernonia spp. y una especie no identificada.
Estructura de la vegetación
Debido al gradiente de altitud y posiblemente disimilitudes en calidad de suelos, se registraron claras diferencias florísticas y estructurales entre las parcelas estudiadas. El análisis de agrupación por conglomerados permitió reconocer tres asociaciones de vegetación con base en la similitud de las especies dominantes (Fig. 1). Dos de las asociaciones presentaron una alta dominancia de Pino (dominado por Pino y por Pino-Encino) a altitudes menores (1 384 a 1 430 msnm) y la tercera de las asociaciones son bosques dominados por encino y otras especies, entre ellas Clethra vicentina (Encino-Otras especies), generalmente ubicadas a mayor elevación (1 460 a 1 500 msnm).
El VIR de las especies más importantes (VIR de Pinus y Quercus) presentó diferencias significativas entre las asociaciones de vegetación encontradas (Test de Kruskall-Wallis, p< 0.01, Cuadro 1). Solamente P. maximinoi y Q. sapotifolia se presentaron en todas las asociaciones, ya que representan los elementos dominantes de la vegetación en la zona. El análisis de similitud de especies muestra la asociación de Pinus-Quercus como intermediaria con las asociaciones dominadas por Pinus y Quercus-otras especies. Las asociaciones de Quercus-otras especies y Pinus-Quercus presentaron los valores del índice de Sørensen más altos (0.45), con mayor similitud entre éstas. Mientras que, la asociación dominada por Pinus, mostró baja similitud con la de Quercusotras especies (Índice de Sørensen=0.17). Así mismo, los índices de Morisita-Horn y BrayCurtis, mostraron un patrón de similitud muy parecido al encontrado con el índice Sørensen, con menor similitud entre la asociación dominada por Quercus-otras especies y la dominada por Pinus (Morisita-Horn=0.13 y Bray-Curtis=0.09), pero una similitud intermedia entre Pinus-Quercus y las otras dos asociaciones (Morisita-Horn=0.80 y Bray-Curtis=0.24 entre la asociación Pinus-Quercus y la asociación Quercus-otras especies).


El componente arbóreo presentó diferencias marcadas en términos de estructura, ya que la densidad de árboles (Test de KruskallWallis, p< 0.007), la riqueza de especies por parcela (Test de Kruskall-Wallis, p< 0.006) y el volumen de fustes (Test de Kruskall-Wallis, p<0.049) presentaron diferencias significativas entre las asociaciones encontradas (Cuadro 2). Además, la riqueza de especies promedio por parcela fue de dos en la asociación dominada por Pinus y de nueve especies de árboles en la asociación dominada por Quercus y otras especies. En las 15 parcelas la riqueza de especies varió extremadamente entre parcelas pobres a parcelas ricas en especies (de una sola especie a 12 especies por 1 000 m2 y con densidades que varían de 200 hasta 2 000 individuos.ha-1).

Las parcelas más ricas en especies estuvieron asociadas a parcelas con mayor altitud (r2=0.86, p<= 0.01) y a una mayor densidad de árboles (r2=0.54, p<= 0.0001). Mientras el área basal pareció no influir en la riqueza de especies (Fig. 2), ya que esta relación resultó no significativa (r2=0.02, p= >0.61 ns). A pesar que se encontró diferencias marcadas en la densidad y el volumen entre las asociaciones, no hubo diferencias en el área basal (20 a 40 m2.ha-1), por lo que las parcelas con mayor área basal, no presentaron mayor riqueza de especies, lo que resultó en una relación no significativa (r2=0.03).

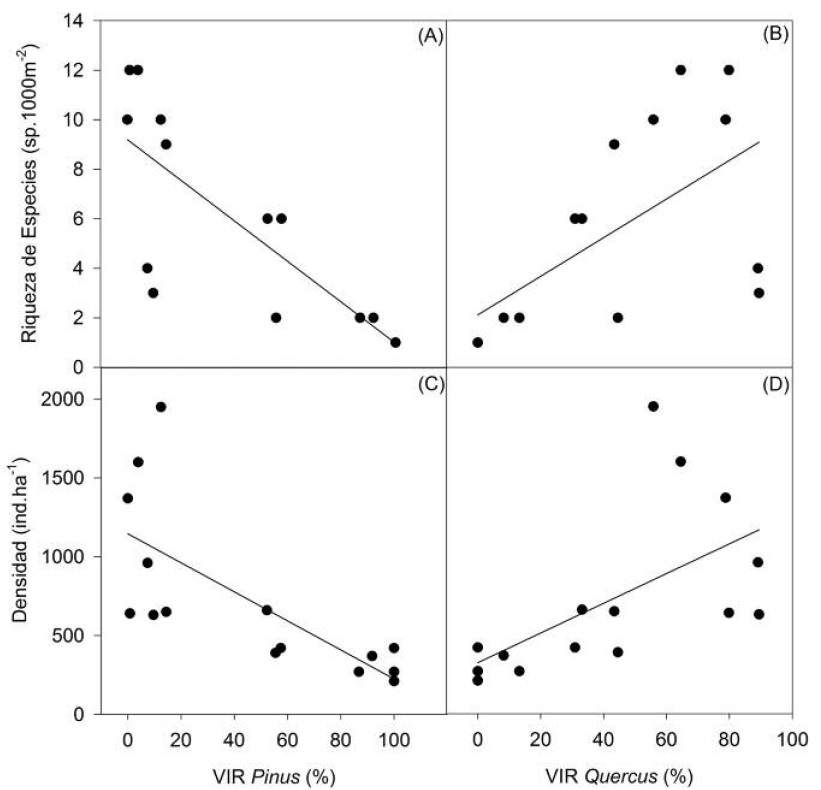
Las parcelas con mayor riqueza de especies fueron asociadas con parcelas que presentaron un mayor VIR de otras especies (hasta 12 especies) diferentes a Pinus y Quercus. Pero además, el número de especies totales se relacionó negativamente con un mayor VIR de Pinus en cada parcela (Fig. 3A), y positivamente con mayores VIR de Quercus (Fig. 3B). Además, se muestra que las parcelas dominadas por Quercus en general presentaron una mayor densidad de individuos, aunque la relación en parcelas con un VIR de Quercus mayor al 60 % fue más variable, mientras una relación inversa existe con el VIR de Pinus (Fig. 3C, D). El número de especies de Quercus no se relacionó con el VIR de Pinus, debido a que se encontraron solamente dos especies de Quercus, pero una significativa y clara relación inversa (r2=0.86, p> 0.001) se encontró entre la dominancia de Pinus y de Quercus.
Análisis de la biomasa
El total de carbono almacenado en la biomasa y hojarasca fue en promedio mayor en la asociación dominada por Pinus, sin embargo, no se encontraron diferencias significativas en todos los compartimentos de biomasa (Cuadro 3). De esta forma la biomasa en la hojarasca depositada en el suelo y raíces finas no mostraron diferencias estadísticas entre las asociaciones encontradas. La hojarasca depositada en el suelo fue en promedio 17.5 Mg.ha-1, con un rango a nivel de parcela de 13 a 20 Mg.ha-1 (Test de ANOVA, p= 0.7); mientras las raíces finas presentaron un promedio global de 6.6 Mg ha-1 con un rango de 2 a 9 Mg.ha-1 (Test de Kruskall-Wallis, p= 0.06). Para este último compartimento, las diferencias en los promedios fueron del orden de 4 Mg.ha-1, pero debido a la alta variación entre parcelas, no se encontraron diferencias estadísticas. Sin embargo, el promedio general encontrado (6.6 Mg.ha-1) de biomasa de raíces finas en los primeros 20 cm del perfil de suelo en este tipo de bosque, parece ser una estimación realista. Por otro lado, el carbono en el componente aéreo (biomasa viva), representó entre el 85 al 91 % del total de biomasa estimada en este estudio, y es donde se presentaron las mayores diferencias entre las asociaciones encontradas (Test de Kruskall-Wallis, p= 0.049). Es de resaltar que la asociación con mayor dominancia de Pinus presenta la mayor biomasa arbórea con respecto a las otras asociaciones, a pesar que no existen diferencias en el área basal y presenta una menor densidad de individuos.


Discusión
La diversidad de familias de los hábitats incluidos en este estudio es consistente con otros estudios realizados en los bosques de pinoencino en México (Encina Domínguez, Zárate Lupercio, Estrada Castillón, Valdés Reyna, & Villarreal Quintanilla, 2009; Galindo-Jaimes et al., 2002; Morrone, 2005; Rocha-Loredo, Ramírez-Marcial, & González-Espinosa, 2010; Rubio-Licona, Romero-Rangel, & Rojas-Zenteno, 2011; Rzedowski, 1996). Las familias con mayor número de especies fueron Araliaceae, Fabaceae, Mimosaceae, Fagaceae y Myrtaceae, a pesar que otras familias comunes en los bosques nubosos de mediana altitud como Clethraceae, Mysinaceae, Myricaceae, Pinnaceae y Verbenaceae, presentaron solamente una especie cada una. En comunidades vegetales de pino-encino en México, se ha reportado la predominancia de las familias Asteraceae, Fabaceae, y Fagaceae en cuanto al número de especies (Encina Domínguez et al., 2009), mientras en análisis florísticos más generales (Cerro Huitepec, Chiapas, México) se mencionan cinco familias con mayor número de especies como son Asteraceae, Rosaceae, Solanaceae, Leguminosae y Fagaceae (Ramírez, Ochoa, González, & Quintana, 1998). Adicionalmente, listas de árboles y arbustos presentes en los bosques de niebla y pino-encino en México mencionan la presencia de 85 familias. En estos listados destacan las contribuciones de Lauraceae y Rubiaceae, muy por encima de las Fagaceae y Fabaceae (Rzedowski, 1996).
A nivel de géneros, Rzedowski (1996) menciona la gran riqueza de encinos o robles (Quercus) y pinos (Pinus), así como los géneros Ocotea, Clethra, Saurauia, Miconia, Inga, Eugenia y Arachnothryx. En nuestro estudio, solamente Quercus y Oreopanax presentaron dos especies, mientras los otros géneros fueron representados por solamente una especie. Las especies más abundantes fueron: Q. sapotifolia, P. maximinoi, C. vicentina, M. coriacea y S. gladulosum. A pesar que Q. segoviensis es una especie común en el bosque de pino-encino en la reserva Tisey-Estanzuela, se encontró en menor frecuencia en este estudio, debido principalmente, a que su presencia es mayor en áreas de menor altitud y probablemente menor precipitación.
En el estudio, tres asociaciones de vegetación fueron identificadas con base en la similitud de las especies dominantes (basado en VIR de las especies), la asociación dominada por Pinus (P. maximinoi), la asociación dominada por Pinus-Quercus (P. maximinoiQ. sapotifolia) y la asociación dominada por Quercus-otras especies (Q. sapotifolia y otras especies principalmente Clethra vicentina, Myrsine coriaceae, Sapium glandulosum y Xylosma flexuosa). A pesar que muchas veces se menciona la asociación de pino-encino como una sola identidad florística (Koleff & Urquiza-Haas, 2011; Natoura, Cornide Rivas, Pou-Ametller, Solis-Ruiz, & Suari Andreu, 2008), en realidad es un conjunto de diversas asociaciones de vegetación. Por ejemplo, en la Depresión Central de Chiapas (entre 400 msnm y 1 700 msnm) los bosques son representados en cinco grupos definidos, tres de ellos correspondientes al bosque tropical caducifolio y dos a los bosques de Quercus (Rocha-Loredo et al., 2010), que corresponde a comunidades vegetales como la Selva Baja Caducifolia, Selva Mediana Subcaducifolia, Bosque de Pino-Encino y Bosque de Quercus (Rzedowski, 1996). Mientras en las tierras altas de Chiapas, México (>1 200 msnm) cinco grupos mayores de vegetación fueron definidos como bosque siempre verde nuboso, bosque de Pino-Encino-Liquidambar, bosque de pinoencino, bosque de roble y bosque transicional (Cayuela, Golicher, Rey-Benayas, GonzálezEspinosa, & Ramírez-Marcial, 2006). En la reserva natural Tisey-Estanzuela en las zonas bajas menores a 800 msnm es posible encontrar bosque seco caducifolio, mientras a mayores altitudes puede encontrarse bosques de roble dominados por Q. segoviensis, y a altitudes mayores de 1 300 msnm las asociaciones que se describen en este estudio.
En el presente estudio, el gradiente de altitud influencia drásticamente la composición florística en general, así como la riqueza de especies por parcela, densidad de individuos, área basal y volumen de fustes. En las tierras altas de Chiapas, México las diferencias florísticas entre las asociaciones vegetales encontradas fueron relacionadas con la precipitación y con las temperaturas máximas durante la época seca, presentándose mayor diversidad conforme aumenta la precipitación y se reduce la temperatura (aumento de altitud) (Cayuela et al., 2006). Una relación similar fue encontrada en el presente estudio donde se mostró mayor diversidad a mayor altitud, lo que se relaciona con menor temperatura, sin embargo, también se podrían presentar cambios locales de precipitación, humedad y velocidad del viento, que pueden explicar la variación de diversidad y composición con un cambio de altitud en 200 m.
Por otro lado, los cambios en la composición florística y la riqueza de especies se vieron influenciados significativamente por la dominancia de pino (VIR Pinus); lo que podría explicar que los cambios marcados con respecto a la altitud, no es un efecto del gradiente de clima, sino del gradiente de la dominancia de Pinus. En bosques de México, también se ha encontrado que la riqueza y dominancia de especies arbóreas latifoliadas disminuye con el incremento de la dominancia de Pinus sp. en la plantación (Galindo-Jaimes et al., 2002). En esas plantaciones, los pinos y los encinos tienden a dominar en diferentes grados el dosel del bosque, así el área basal de Quercus sp. y otras especies latifoliadas puede reducirse drásticamente cuando el área basal de Pinus sp. excede un valor umbral (GalindoJaimes et al., 2002). Se asume que los atributos ecológicos de los pinos les permiten ser invasores exitosos en áreas abiertas debido a la capacidad de dispersión de sus semillas por el viento. Adicionalmente, en áreas con dominancia inducida de pinos, el reclutamiento de las especies de pino se incrementó, mientras las especies de encinos y latifoliadas cesó, lo que muestra el efecto negativo que tiene la dominancia de Pinus sobre el reclutamiento (riqueza y dominancia) de encino y otras especies latifoliadas (González-Espinosa et al., 2009).
A pesar que la riqueza y dominancia de especies latifoliadas se relaciona negativamente con la dominancia de Pinus, la asociación dominada por Pinus presentó la mayor la biomasa estimada entre los tres tipos de vegetación. De esta forma la asociación dominada por Pinus y la asociación Quercus-Pinus presentaron 253 y 221 Mg.ha-1 de biomasa aérea, respectivamente. En bosques neotropicales húmedos varió entre 190 a 470 Mg.ha-1 (DeWalt & Chave, 2004), por lo que nuestros estimados (221-253 Mg.ha-1) corresponden a los valores inferiores de los presentados en bosques húmedos de tierras bajas, al igual que para la asociación de Quercus-otras especies (144 Mg.ha-1) que está por debajo del rango mencionado. Sin embargo, estimaciones de biomasa aérea y total de bosques de Pino-encino (P. teocote y Q. germana) en México fueron de 220 Mg.ha-1 (Laguna, Páez, Calderón, Garza, & Zárate, 2009), muy aproximados a los valores encontrados en nuestro estudio.
Por otro lado, la asociación vegetal no se relacionó con la biomasa de hojarasca, la cual fue en promedio de 17 Mg.ha-1, esta cifra es similar a la observada en otros bosques de pino-encino (Laguna et al., 2009), pero, por debajo del promedio encontrado en diferentes asociaciones de bosques mixtos de Pinus patula (Acosta-Mireles, Carrillo-Anzures, & Lavariega, 2009). En el presente estudio, a pesar que la biomasa aérea, la densidad de individuos, volumen de fustes, altitud y riqueza de especies es diferente entre las asociaciones, la hojarasca acumulada no presentó diferencias; lo que puede indicar que este componente del almacenamiento de carbono es invariable entre los bosques que presentan la misma tasa de descomposición (k) relacionada con factores climáticos.
De la misma forma, la biomasa de raíces finas a 20 cm de profundidad no presentó diferencias estadísticas al promediar 6.9 Mg.ha-1. Estos estimados de raíces finas representan el 3.4% de la biomasa aérea en pie y podría ser un dato importante que mejora las estimaciones de secuestro de carbono en estos bosques; ya que mediciones de biomasa radicular es un proceso muy costoso y laborioso de llevar a cabo. Estimaciones de biomasa radicular para plantaciones de pino representan el 15 % de la biomasa en pie (Laguna et al., 2009), pero esto supone una relación entre la biomasa aérea y la biomasa radicular. Además, este 15 % de biomasa radicular incluye la raíz principal, así como raíces gruesas secundarias, mientras nuestro estimado incluye solamente a las raíces finas, un componente radicular más dinámico. En sistemas agroforestales de café por ejemplo, la biomasa de raíces finas y raíces gruesas (sin incluir raíces pivotantes) presentaron valores similares (4.5 Mg.ha-1) (Siles et al., 2010), por lo que este mismo comportamiento podría esperarse en estos tipos de bosque. Sin embargo, la estimación general de raíces finas en nuestro estudio incluyó solamente cinco submuestras por parcela, con el potencial de mejorar las estimaciones actuales.
En conclusión el bosque de pino encino en la reserva privada Santa Rosa presentó tres tipos de asociaciones vegetales fueron identificadas con base en las especies dominantes correspondiendo a la asociación dominada por Pinus (P. maximinoi), la asociación dominada por PinusQuercus (P. maximinoi-Q. sapotifolia) y la asociación dominada por Quercus-otras especies (Q. sapotifolia y otras especies principalmente Cletha vicentina, Myrsine coriaceae, Sapium glandulosum y Xylosma flexuosa). La riqueza de especies latifoliadas se relacionó negativamente con la dominancia de P. maximinoi, mientras una mayor dominancia de Q. sapotifolia implicó un incremento en la densidad total, así como en la riqueza de especies. No obstante, a pesar que una mayor dominancia de P. maximinoi se relacionó con una menor riqueza de especies, las asociaciones con mayor dominancia de esta especie presentaron una mayor biomasa aérea (253 Mg.ha-1) y por lo tanto, un mayor potencial de almacenamiento de carbono total (137.9 MgC.ha-1) comparada a las otras asociaciones encontradas.
Agradecimientos
Los autores agradecen el apoyo de los dueños de la reserva Santa Rosa, Tisey-Estanzuela, especialmente a Eriberto Cerrato. El cuarto autor agradece a UCATSE por brindar apoyo en general, especialmente en los laboratorios para las estimaciones de biomasa radicular.
Referencias
Acosta-Mireles, M., Carrillo-Anzures, F., & Lavariega, M. D. (2009). Determinación del carbono total en bosques mixtos de Pinus patula Schl. et Cham. Terra Latinoamericana, 27(2), 105-114.
Cayuela, L., Golicher, D., Rey-Benayas, J. M., González-Espinosa, M., & Ramírez-Marcial, N. (2006). Fragmentation, disturbance and tree diversity conservation in tropical montane forests. Journal of Applied Ecology, 43(6), 1172-1181.
Cornide Rivas, J., Pou Ametller, M., Suari Andreu, L., & Solé Ruiz, L. (2008). Proyecto ecoturístico integrado en la Reserva Natural El Tisey - La Estanzuela. Barcelona: Universitat Autónoma de Barcelona.
Challenger, A. & Caballero, J. (1998). Utilización y conservación de los ecosistemas terrestres de México. México, D.F.: Comisión Nacional para el Conocimiento y Uso de la Biodiversidad.
Chave, J., Andalo, C., Brown, S., Cairns, M., Chambers, J., Eamus, D., & Kira, T. (2005). Tree allometry and improved estimation of carbon stocks and balance in tropical forests. Oecologia, 145(1), 87-99.
Chave, J., Coomes, D., Jansen, S., Lewis, S. L., Swenson, N. G., & Zanne, A. E. (2009). Towards a worldwide wood economics spectrum. Ecology Letters, 12(4), 351-366.
de Mendiburu, F. (2013). Statistical Procedures for Agricultural Research. Package “Agricolae” Version 1.44. Comprehensive R Archive Network. Institute for Statistics and Mathematics, Vienna, Austria. Retrieved from http://cran.r-project.org/web/packages/agricolae/agricolae.pdf
DeWalt, S. J., & Chave, J. (2004). Structure and biomass of four lowland Neotropical forests. Biotropica, 36(1), 7-19.
Encina Domínguez, J. A., Zárate Lupercio, A., Estrada Castillón, E., Valdés Reyna, J., & Villarreal Quintanilla, J. Á. (2009). Composición y aspectos estructurales de los bosques de encino de la sierra de Zapalinamé, Coahuila, México. Acta Botanica Mexicana, 86, 71-108.
Galindo-Jaimes, L., González-Espinosa, M., QuintanaAscencio, P., & García-Barrios, L. (2002). Tree composition and structure in disturbed stands with varying dominance by Pinus spp. in the highlands of Chiapas, Mexico. Plant Ecology, 162(2), 259-272.
Gentry, A. (1993a). A field guide to the families and genera of woody plants of Northwest South America (Colombia, Ecuador, Peru) with supplementary notes in herbaceous taxa; Illustrations by Rodolfo Vasquez. Chicago and London: Conservation International and the University of Chicago Press.
Gentry, A. (1993b). Patterns of diversity and floristic composition in Neotropical Montane Forests. In S. Churchill, H. Balslev, E. Forero, & J. Luteyn (Eds.), Biodiversity and Conservation of Neotropical Montane Forest. Proceedings of the Neotropical Montane Forest Biodiversity and Conservation Symposium. The New York Botanical Garden, 21-26 June 1993 (pp. 103-126). New York, USA: The New York Botanical Garden.
González-Espinosa, M., Ramírez-Marcial, N., GalindoJaimes, L., Camacho-Cruz, A., Golicher, D., Cayuela, L., & Rey-Benayas, J. M. (2009). Tendencias y proyecciones del uso del suelo y la diversidad florística en Los Altos de Chiapas, México. Investigación Ambiental, 1, 30-53.
Graham, A. (2010). A natural history of the New World: the ecology and evolution of plants in the Americas. Chicago, USA: University of Chicago Press.
Grothendieck, G. (2013). nls2: Non-linear regression with brute force. R package version 0.2. Retrieved from http://CRAN.R-project.org/package= nls2
Holdridge, L., & Poveda, L. (1997). Árboles de Costa Rica >Volumen I: Palmas y otras monocotiledóneas arbóreas y árboles con hojas compuestas o lobuladas. San José, Costa Rica: Centro Científico Tropical.
Jardim, A., Killeen, T., & Fuentes, A. (2003). Guía de los árboles y arbustos del Bosque Seco Chiquitano, Bolivia. Santa Cruz de la Sierra, Bolivia: FAN-Bolivia.
Kalacska, M., Sanchez-Azofeifa, G. A., Calvo-Alvarado, J. C., Quesada, M., Rivard, B., & Janzen, D. H. (2004). Species composition, similarity and diversity in three successional stages of a seasonally dry tropical forest. Forest Ecology and Management, 200(1), 227-247.
Kappelle, M. (2008). Biodiversidad de los bosques de roble (encino) de la América tropical. Heredia, Costa Rica: Instituto Nacional de Biodiversidad (INBio).
Kappelle, M. (2006). Ecology and Conservation of Neotropical Montane Oak Forests. In M. Kappelle (Ed.), Neotropical Montane Oak Forests: Overview and Outlook (Vol. 185, pp. 449-467). doi: 10.1007/3-540-28909-7_34
Keller, R. (2004). Identification of tropical woody plants in the absence of flowers. Basel [u.a.]: Birkhauser.
Killen, T., Garcia, E., & Beck, S. (1998). Guía de árboles de Bolivia. Santa Cruz, Bolivia: Herbario nacional de Bolivia-Missouri Botanical Garden.
Koleff, P., & Urquiza-Haas, T. (2011). Planeación para la conservación de la biodiversidad terrestre en México: retos en un país megadiverso. México, DF México: Comisión Nacional para el Conocimiento y Uso de la Biodiversidad: “Comisión Nacional de Áreas Naturales Protegidas.
Laguna, R. R., Páez, J. J., Calderón, Ó. A. A., Garza, E. J. T., & Zárate, R. R. (2009). Estimación de carbono almacenado en el bosque de pino-encino en la Reserva de la Biósfera el Cielo, Tamaulipas, México. Ra Ximhai, 5(3), 317-327.
MARENA. (2006). Estado del ambiente de Nicaragua, III informe GEO 2003-2006. Managua, Nicaragua: MARENA.
Morrone, J. J. (2005). Hacia una síntesis biogeográfica de México. Revista Mexicana de Biodiversidad, 76(2), 207-252.
Natoura, S., Cornide Rivas, J., Pou-Ametller, M., SolisRuiz, L., & Suari Andreu, L. (2008). Proyecto ecoturístico integrado en la Reserva Natural El Tisey-La Estanzuela. Esteli, Nicaragua: Universitat Autònoma de Barcelona (UAB) & Centro Universitario Región del Norte (CURN).
Prodan, M., Peters, N. R., Cox, F., & Real, P. (1997). Mensura forestal. San José, Costa Rica: Instituto Interamericano de Cooperación para la Agricultura (IICA)/Deutsche Gesellschaft fur Technische Zusammenarbeit (GTZ).
Ramírez, N., Ochoa, S., González, M., & Quintana, P. F. (1998). Análisis florístico y sucesional en la estación biológica Cerro Huitepec, Chiapas, México. Acta Botánica Mexicana, 44, 59-85.
Rey-Benayas, J., Cayuela, L., González-Espinosa, M., Echeverría, C., Manson, R., Williams-Linera, G., & Macías, A. B. (2007). Plant diversity in highly fragmented forest landscapes in Mexico and Chile: implications for conservation Biodiversity loss and conservation in fragmented forest landscapes. The forests of montane Mexico and temperate South America. Wallingford, Oxfordshire, UK: CABI.
Rocha-Loredo, A. G., Ramírez-Marcial, N., & GonzálezEspinosa, M. (2010). Riqueza y diversidad de árboles del bosque tropical caducifolio en la Depresión Central de Chiapas. Boletín de la Sociedad Botánica de México, 87, 89-103.
Rubio-Licona, L. E., Romero-Rangel, S., & Rojas-Zenteno, E. C. (2011). Estructura y composición florística de dos comunidades con presencia de Quercus (Fagaceae) en el Estado de México. Revista Chapingo. Serie Ciencias Forestales y del Ambiente, 17(1), 77-90.
Rzedowski, J. (1996). Análisis preliminar de la flora vascular de los bosques mesófilos de montaña de México. Acta Botanica Mexicana , (35), 25-44.
Sánchez-Merlo, D., Harvey, C., Grijalva, A., Medina, A., Vílchez, S., & Hernández, B. (2005). Diversidad, composición y estructura de la vegetación en un paisaje fragmentado de bosque seco en Rivas, Nicaragua. Recursos Naturales y Ambiente, 45, 91-104.
Sánchez Merlo, D., Harvey, C. A., Grijalva, A., Medina, A., Vílchez, S., & Hernández, B. (2005). Diversidad, composición y estructura de la vegetación en un agropaisaje ganadero en Matiguas, Nicaragua. Revista de Biología Tropical, 53(3-4), 387-414.
SAS. (2004). SAS OnlineDoc® 9.1.3. Cary, NC, USA: SAS Institute Inc.
Segura, G., Balvanera, P., Durán, E., & Pérez, A. (2002). Tree community structure and stem mortality along a water availability gradient in a Mexican tropical dry forest. Plant Ecology , 169(2), 259-271.
Siles, P., Harmand, J. M., & Vaast, P. (2010). Effects of Inga densiflora on the microclimate of coffee (Coffea arabica L.) and overall biomass under optimal growing conditions in Costa Rica. Agroforestry Systems, 78(3), 269-286.
Ulloa, C., & Jorgensen, P. (1993). Árboles y arbustos de los Andes del Ecuador. AAU reports, 30, 1-264.
van Kanten, R., Schroth, G., Beer, J., & Jiménez, F. (2005). Fine-root dynamics of coffee in association with two shade trees in Costa Rica. Agroforestry Systems , 63(3), 247-261.
Zamora Villalobos, N. (2000). Árboles de la Mosquitia Hondureña. Turrialba, Costa Rica: CATIE.
Zamora Villalobos, N., Jiménez Madrigal, Q., & Poveda Álvarez, L. (2000). Árboles de Costa Rica. Volumen II. Heredia, Costa Rica: Instituto Nacional de Biodiversidad (INBio) .
Zamora Villalobos, N., Jiménez Madrigal, Q., & Poveda Álvarez, L. (2004). Árboles de Costa Rica. Volumen III. Heredia, Costa Rica: Instituto Nacional de Biodiversidad (INBio) .
Zamora, N., & Pennington, T. (2001). Guabas y guajiniquiles de Costa Rica (Inga spp.). Heredia, Costa Rica: Instituto Nacional de Biodiversidad (INBio) .
Zavala, M., Galindo-Jaimes, L., & González-Espinosa, M. (2007). Models of regional and local stand composition and dynamics of pine-oak forests in the Central Highlands of Chiapas (Mexico): theoretical and management implications. By A Newton (Ed.), Biodiversity Loss and Conservation in Fragmented Forest Landscapes: The Forests of Montane Mexico and Temperate South America (pp. 223-243). doi: 10.1079/9781845932619.0223