Artículos
Interactions between different biological forms of aquatic macrophytes in a eutrophic tropical reservoir in Northeastern Brazil
Interacciones entre las diferentes formas biológicas de los macrófitos acuáticos en un reservorio eutrófico tropical del Noreste de Brasil
Interactions between different biological forms of aquatic macrophytes in a eutrophic tropical reservoir in Northeastern Brazil
Revista de Biología Tropical, vol. 65, no. 3, 2017
Universidad de Costa Rica
Received: 07 October 2016
Accepted: 05 May 2017
Abstract: The aquatic plants and biological processes have different interactions and their knowledge may contribute to the understanding of environmental dynamics in wetlands. The aim of this study was to report the type of interactions that different biological forms of macrophytes stand in the eutrophic tropical reservoir of Penha reservoir, Northeastern Brazil. Data collection was captured every two months from October 2009 to October 2010, considering the hydrological cycle in one-year period. For this, twelve perpendicular transects (separated by 10 m) at the reservoir’s water edge were defined; each transect had two plots of 625 cm² (25 x 25 cm, separated by one meter) from which samples were obtained. Plants were collected and transported in identified plastic bags for subsequent quantification of the dry weight biomass; additionally, pressed samples were made in the field for identification purposes. The relative interaction index (RII) was used to identify the existence of positive and/or negative interactions between the biomass of the biological forms of aquatic plants. Student’s t-tests were used to analyze variations in the abiotic data and biomass over time, and to determine differences between the dry and rainy seasons. Pearson and Spearman correlation coefficients were calculated to determine correlations between the biological forms and the biomass of the macrophytes, as well as environmental variables and RII. In the dry season, the environment was mainly composed of floating macrophytes (1 013.98 g/m²), with mats of submerged macrophytes (98.18 g/m²) that demonstrated a range of positive (RII= 1.0) to negative (RII= -0.2) interactions. The biomass of emergent macrophytes increased throughout the dry season (4.87 to 106.91 g/m²) due to the nurse plant effect that served as a substratum (RII= 1.0). During the rainy season the biomass of submerged macrophytes was reduced by 97 % due to direct and indirect relationships (RII= -1.0) to other macrophytes. Rainfall and emergent plants contributed to a reduction in the biomass of floating macrophytes (19.16 g/m²). The emergence of a third group of plants (emergent) lead floating plants to occupy other areas and excluded submerged plants. Overall, the interactions among plants within ecosystems were not definite due to stand composition and seasonality. Rev. Biol. Trop. 65 (3): 1095-1104. Epub 2017 September 01.
Key words: aquatic plants, biomass, nurse plants, relative interaction index, seasonality.
Resumen: El conocimiento de las interacciones de las plantas acuáticas contribuye a la comprensión de la dinámica del ambiente (embalse Penha, Noreste Brasil). El objetivo del estudio fue reportar las posibles interacciones positivas y/o negativas que ocurren en los matorrales de macrófitos con distintos tipos de plantas, en un reservorio tropical eutrofizado. La recolección de los datos se hizo cada dos meses, desde Octubre 2009 hasta Octubre 2010, se consideró un ciclo hidrológico de un año. Fueron muestreados doce transectos perpendiculares a la orilla, separados 10 m entre ellos. En cada transecto se recolectaron dos cuadrículas de 625 cm² (25 x 25 cm) distantes 1 m uno del otro. Las plantas fueron retiradas y puestas en bolsas plásticas numeradas de acuerdo con el punto de recolección, para cuantificación del peso seco de la biomasa. En el campo se hizo el prensaje de las muestras para la identificación de las macrófitas. Se utilizó el índice relativo de interacciones (RII) para identificar la existencia de interacciones positivas y/o negativas entre las formas biológicas de las plantas acuáticas. Se uso el t Student para evaluar las variaciones de los datos abióticos y biomasa a lo largo del tiempo y determinar las diferencias entre las estaciones de lluvia y seca. Fueron calculados los coeficientes de correlación de Pearson y Spearman para determinar las correlaciones entre las formas biológicas y la biomasa de macrófitas, las variables ambientales y RII. En el período seco, el ambiente estaba compuesto principalmente por plantas flotantes (1 013.98 g/m²) y con la presencia de macrófitos sumergidos (98.18 g/m²), que demostraron interacciones variando de positivas (índice relativo de interacción - RII= 1.0) hasta negativas (RII= -0.2). La biomasa de macrófitos emersos aumentó a lo largo de la estación seca (4.87 to 106.91 g/m²) debido al efecto nodriza que sirve como substrato (RII= 1.0). En la estación lluviosa la biomasa de macrófitos sumergida se redujo 97 % debido a interacciones directas y indirectas (RII= -1.0) con otros macrófitos. La lluvia y los matorrales de plantas acuáticas contribuyen a la reducción en la biomasa de los macrófitos flotantes (19.16 g/m²). La aparición de un tercer grupo de plantas (emersas) llevan las flotantes a ocupar otros sitios y la exclusión de los macrófitos sumergidos. La interacción entre las plantas en el ecosistema evaluado no son rígidas debido a la composición de los matorrales y la estacionalidad.
Palabras clave: plantas acuáticas, biomasa, efecto nodriza, índice relativo de interacciones, estacionalidad.
In ideal conditions, aquatic plants have high primary productivity rates and may occupy an aquatic ecosystem, or portions of it, in a short period of time. High macrophytes productivity can be related to several factors such as: different type of species, biological forms (e. g. emergent, floating and submerged), abiotic characteristics (e. g. concentration of nutrients in the water for floating species, sediments for rooted species, underwater radiation for submerged species), and ecological processes (competition, coexistence and predation) (Camargo, Henry-Silva, & Pezzato, 2003; Ngari et al., 2009).
Primary productivity of aquatic macrophyte species, with different biological forms, presents wide interespecific variation, with the most productive ones being the emergent and floating plants when compared with submerged species (Barko & Smart, 1983). Littoral regions colonized by emergent macrophytes have been considered the habitats with the highest primary productivity (Wetzel, 2001). However, free floating species also grow fast with favorable nutrient concentrations (Thomaz, 2006; Bianchini Jr. et al., 2010). Compared to other biological forms, submerged plants appear less productive, but in optimal conditions of underwater radiation, these plants may have high growth rates (Bianchini Jr., 2003; Oliveira et al., 2005).
In addition to the effects of abiotic variables, aquatic macrophytes are also affected by negative and positive biological interactions. The essence of competition is based on the negative interference that individuals from the same species (intraspecific) or different species (interspecific) have, reducing their fertility, survival and growth, as a result of the exploitation of resources or interference (McCreary, 1991; Amarasekare, 2002). On the other hand, facilitation is characterized as a positive effect that one plant species exerts on the establishment or growth of another species (Holmgren, Scheffer, & Huston, 1997).
Positive interactions have been demonstrated in a wide variety of ecosystems but the majority of evidence comes from ecosystems where plants are exposed to severe stress (Callaway, 2007). Studies about positive interactions are more frequently registered in terrestrial plant communities (e.g. Cardinale, Palmer, & Collins, 2002; Gómez-Aparicio et al., 2008). Nevertheless, such interactions have also been reported in aquatic environments, and may be important for some species population growth (e.g. Espinar et al., 2002; Le Bagousse-Pinguet et al., 2012).
Ecologists begin to recognize that the organisms interact forming a spectrum of negative, neutral and positive interactions (e.g. Brönmark, Rundle, & Erlandsson, 1991; Bertness & Callaway, 1994; Bulleri, Bruno, & Benneditti-Cecchi, 2008). These interactions do not occur singly in nature, but co-occur within the same community and possibly with the same individuals, thereby creating complex and varying effects and interactions (Callaway & Walker, 1997). Therefore, this study aimed to report the possible negative and/or positive interactions that a macrophyte stand, with different biological forms, can engage within a eutrophic tropical reservoir in Northeast Brazil.
Material and methods
The Cabelo hydrographic basin is located in the city of João Pessoa, state of Paraíba, Northeastern Brazil (7º08’53” - 7º11’02” S & 34º47’26” - 34º50’33” W). The climate of this region is tropical (As), with two well-defined seasons: rainy (March to August) and dry (September to February). The perennial Cabelo River is the main river in this basin, measuring 6.02 km in length and approximately 4 m in width. Sampling was performed at a dam in the Cabelo River Basin located in the Penha neighborhood in the Eastern most portion of the city of João Pessoa (7º09’95” S - 34º48’72” W). The ecosystem has an area of 18 792.867 m², with a volume of 22 653.036 m³, and water retention time between 10 to 30 days. Shoreline development is elongated (DL= 1.77), with slightly rough terrain. As an urban reservoir, with a maximum depth of two meters, this body of water is used by local residents for fishing, domestic activities and recreation.
Data collection was carried out every two months from October 2009 to October 2010, considering the hydrological cycle of one-year period. Samples were collected monthly from two plots of 625 cm² (25 x 25 cm, placed one meter apart), within each of 12 perpendicular transects located at the edge of the reservoir (10 m away from each other) (Nogueira & Esteves, 1990). As this environment is shallow, we applied the destructive method (Pompêo & Moschini-Carlos, 2003), where plants were manually collected and transported in identified plastic bags. Additionally, we also pressed some samples in the field for posterior identifications.
The following environmental variables were determined in situ: water temperature (ºC), using an underwater thermometer; water transparency, using a Secchi disk; and depth (m), using a tape measure. The other abiotic variables were obtained from the Brazilian National Meteorology Institute: air temperature (°C), rainfall (mm), solar radiation (k/m²) and wind velocity (m/s).
The analysis of the biological material was carried out at the Botany Laboratory of the Universidade Estadual da Paraíba (Brazil). The aquatic plants were identified using Pott and Pott (2000), Lima, Giulietti and Santos (2012), Sousa and Matias (2013) and through comparisons with the material from the Lauro Pires Xavier Herbarium (JPB), where voucher specimens were preserved. Classification proposed by Esteves (2011) was used to define biological forms, where: Emergent macrophytes - plants rooted in sediment with leaves out of water; Floating leaved macrophytes - leafy plants floating on the water surface connected to the rhizomes through petioles; Free floating macrophytes - plants that float free of the substrate and their roots remain in the underwater; Rooted submerged macrophytes - plants rooted in the sediment and their vegetative parts remain underwater; Free submerged macrophytes - plants with undeveloped rhizoids and remain in the underwater. However, free and rooted floating plants were considered a single biological form (floating) and free and rooted submerged plants were considered a single biological form (submerged).
The frequency of occurrence of macrophytes was determined as rare (present in only one sample), unfrequent (present in less than half the samples), frequent (present in more than half the samples) and very frequent (present in all samples). To determine the dry weight, macrophytes were separated by taxon and placed in a greenhouse (CIENLAB-CE220) at approximately 60 ºC, until dry biomass could be obtained. Samples were then weighed on a precision scale (CELTAC - FA2104N; 0.0001 g).
Data was organized to calculate the coefficient of variation (CV), richness, mean biomass value, abundance and dominance, where the species were classified as dominant when accounting for more than 50 % of the overall biomass. The Student’s t-test was used to analyze variations in abiotic data and biomass over time and determine differences between the dry and rainy seasons.
The relative interaction index (RII) (Armas, Ordinales, & Pugnaire, 2004) was based on the biomass of the biological forms (floating, submerged and emergent) to determine the existence of negative and/or positive interaction. This index is calculated based on the equation RII= (BW-BO)/(BW+BO), where BW represents the biomass of the species that grow along with neighboring plants and BO the biomass of the species that grow in the absence of such neighbors. This index varies from -1 to 1, with -1 being considered a negative interaction and 1 being a positive interaction, thereby allowing the quantification of interactions.
Pearson correlation coefficients (r) were calculated for the parametric data and Spearman correlation coefficients (rs) were calculated for the nonparametric data (rs) to determine possible correlations between the species and between biological forms. To determine the relationship between the environmental variables and the biotic attributes (species biomass and biological forms), as well as the RII, the same test was performed. All statistical analysis was performed in the R program (v. 3.1.2).
Results
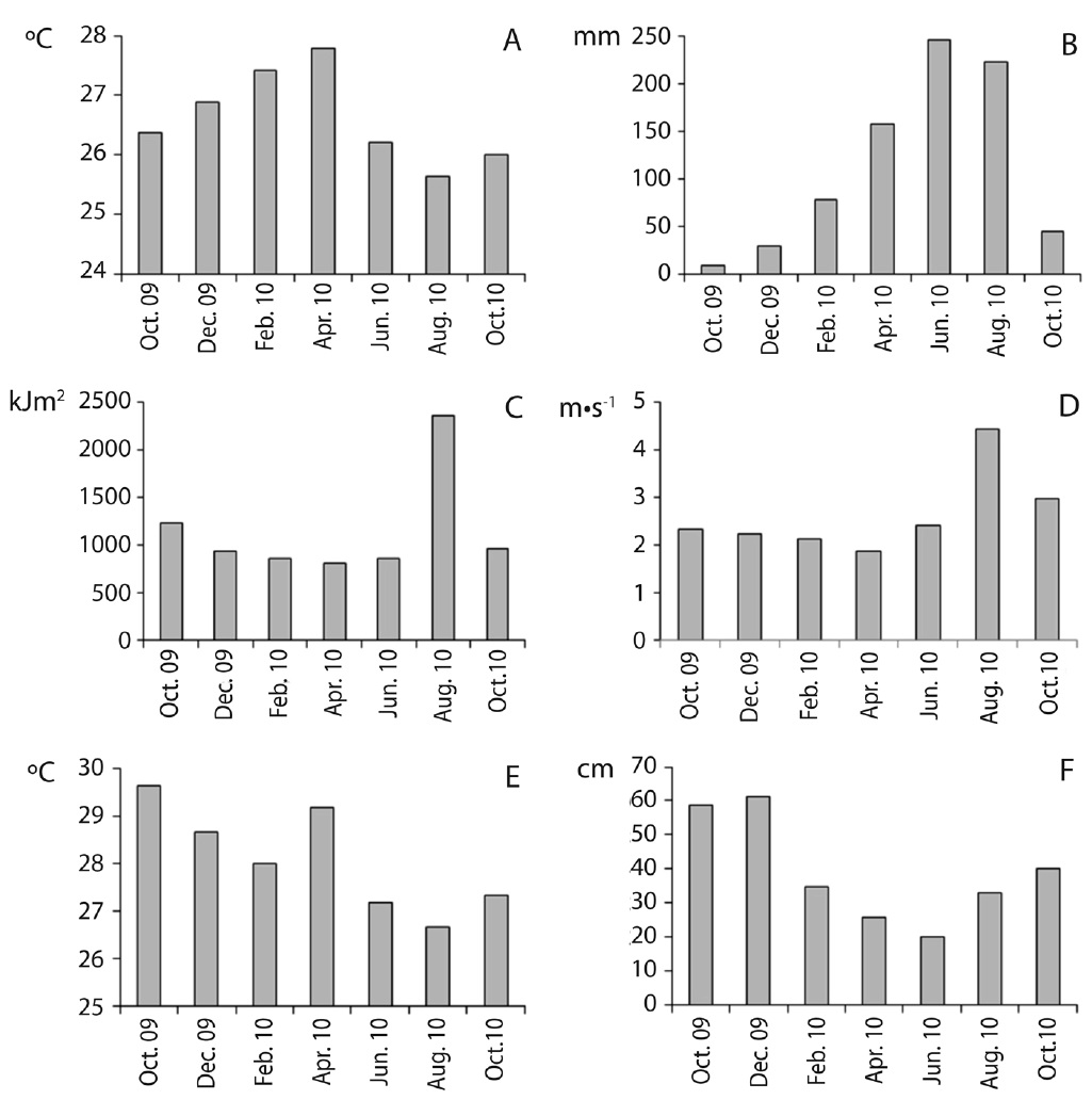
Water temperature was highest in October 2009 (29.6 °C) and lowest in August 2010 (26.7 °C) (thermal amplitude: 2.9 °C). Water transparency was greatest in December 2009 (61.3 cm) and lowest in June 2010 (20 cm) (Fig. 1). Only water transparency exhibited variation between the dry and rainy seasons (t= 2.65, p= 0.05). Wind was Southeasterly from October 2009 to April 2010, and was Southerly from June to October 2010.
The greatest rainfall (245.8 mm) was recorded in June 2010 and lowest air temperature (25.5 °C) in August 2010. The lowest wind velocity (1.9 m.s-1) and solar radiation (811.9 Kj.m-²) was recorded in April 2010 (Fig. 1). With the exception of rainfall (t= -6.00, p= 0.01), no other environmental variables analyzed exhibited significant differences (p= 0.05) between rainy and dry seasons. Although no statistical significance was found, sun radiation showed the highest coefficient of variation (CV= 48.2 %), followed by water transparency (CV = 40.3 %) and wind velocity (32.8 %).

Three biological forms were found in the sampling sites: emergent (E), submerged (S) and floating (F) (Table 1). A total of seven plant species were found, and belong to seven families: Characeae (Chara sp.) (S), Salviniaceae (Salvinia auriculata Aubl.) (F), Cabombaceae (Cabomba aquatica Aubl.) (S), Nymphaeaceae (Nymphaea pulchella DC Syst.) (F), Poaceae (Leersia cf. hexandra Sw.) (E), Cyperaceae (Oxycarium cubense (Poepp. and Kunth) Palla) (E) and Lentibulariaceae (Utricularia gibba L.) (S).

Regarding occurrence frequency, the species Chara sp. was considered unfrequent in the environment, and the species C. aquatica, N. pulchella, L. hexandra and U. gibba were frequent. Only S. auriculata and O. cubense were very frequent (occurring in all samples).
The smallest and largest total biomasses were recorded in June 2010 and October 2010 (202.12 g.m-² and 732.19 g.m-², respectively). Regarding abundance, S. auriculata was the only dominant species in October and December 2009, with biomass percentages of 83.91 % and 76.44 %, respectively. The species S. auriculata and O. cubense were abundant in February 2010 (biomasses of 271.76 g.m-² and 69.30 g.m-², respectively) and April 2010 (248.57 g.m-² and 89.48 g.m-², respectively). From June to October 2010, only O. cubense was dominant, with biomass greater than 200 g.m-². The temporal analysis revealed that no species or biological forms exhibited significant differences (p= 0.05) between dry and rainy seasons (Table 1). However, the submerged macrophytes had the largest coefficient of variation (CV= 149.00 %), followed by emergent macrophytes (CV= 91.25 %) and floating macrophytes (CV= 83.10 %).
In October 2009, the ecosystem was strongly represented by floating (272.82 g.m-²) and submerged (46.63 g.m-²) macrophytes. In the subsequent samplings, increases occurred in the contribution of emergent (93.4 %) and floating (70.1 %) macrophytes. At the end of the dry season, an abrupt reduction (94.3 %) occurred in the biomass of submerged macrophytes, which remained less than 0.14 g.m-² throughout the rainy season.
During the rainy season, a strong reduction in the biomass of floating macrophytes occurred, especially in June 2010 (252.45 to 1.46 g.m-²), whereas the biomass of emergent macrophytes grew continually until October 2010 (157.31 to 678.32 g.m-²). Submerged macrophytes re-emerged with flowers at the end of the rainy season, but with a 97 % reduction in biomass, as compared to the same period from the previous year (Table 1).
The interaction relationship of floating macrophytes in relation to submerged macrophytes was positive in two different periods. In these same periods, the interaction of submerged macrophytes in relation to floating macrophytes was negative (Table 2). For the first sampling (October 2009), this relationship was not indirectly influenced by emergent plants, which facilitated (RII= 1.0) the occurrence of these biological forms. However, in the second sampling (April 10), emergent plants exerted an indirect influence by interacting negatively with both floating (RII= -0.8) and submerged (RII= -0.7) macrophytes. Negative interactions led to the exclusion of submerged macrophytes in June 2010. The re-emergence of submerged plants occurred in the subsequent sampling, with the positive interaction of floating macrophytes (RII= 1.0) and the presence of flowers on all individuals.

Correlations between the biomasses of species were only significant (p= 0.05) for Chara sp. x S. auriculata (rs= 0.87, p= 0.01), and Chara sp. x U. gibba (rs= 0.87, p = 0.01). Regarding the biological forms, a significant correlation was found between floating and submerged macrophytes (rs= 0.93, p= 0.001).
The correlations between the environmental variables with the species, biological forms and RII, showed significant results only for rainfall, water transparency and water temperature. Only the species Chara sp., S. auriculata and C. aquatica were associated with these variables. The floating form was associated with water temperature (r= 0.76, p= 0.05) and the submerged form was associated with both rainfall and water transparency (rs= -0.92 and rs= 0.92, respectively, p= 0.001).
Regarding the RII, correlations were found involving emergent x floating macrophytes (rs= -0.79, p= 0.05), and emergent x submerged macrophytes (r= -0.95, p = 0.01), correlating negatively with rainfall. Floating x emergent macrophytes (rs= 0.80, p= 0.05), emergent x floating macrophytes (rs= 0.80, p= 0.05) and emergent x submerged macrophytes (r= 0.94, p= 0.01) correlated positively with water transparency.
Discussion
Floristic surveys from mesotrophic and eutrophic environments have reported species from the families Salviniaceae, Cabombaceae, Nymphaeaceae, Poaceae, Cyperaceae and Lentibulariaceae (Matias, Amado, & Nunes, 2003; Henry-Silva, Moura, & Dantas, 2010; Mormul et al., 2010; Rocha & Martins, 2011), which were also found in the Penha reservoir analyzed in this study. Species belonging to the family Characeae are typical of oligotrophic environments, in which water transparency is higher and the density of phytoplankton is lower (Kiersch, Mühleck, & Gunkel, 2004). However, submerged macrophytes may inhabit eutrophic ecosystems, in which a reduction in phytoplankton density may allow for higher sunlight penetration into the water column, setting a clear water state (Meerhoff et al., 2003).
Cabombaceae species are typical in eutrophic environments, because submerged angiosperms are more tolerant to high concentrations of nutrients when compared to carophytes (Blindow, Hargeby, & Hilt, 2014). However, tropical environments are threatened by floating plants, such as some Salviniaceae species, which are more efficient in absorbing nutrients. These plants create dense aquatic stands that control submerged plant communities, and thus, establish the dominance of floating plants (Scheffer & Van Nes, 2007; O’Farrell et al., 2009, Aloo et al., 2013; Domingues et al., 2016). This explains the high biomass of floating and submerged biological forms at the beginning of the dry season in 2009, as these macrophytes exhibited accelerated growth due to the availability of nutrients. The positive interaction of floating x submerged macrophytes in the early sampling period, may be related to the differentiated use of resources, as floating macrophytes extract nutrients from the water column and submerged macrophytes extract nutrients from the sediment. However, floating macrophytes compete with submerged macrophytes, as the latter impedes the penetration of sunlight in the aquatic environment, thereby limiting the growth of submerged plants (Beyruth, 1992). Thus, the problem would not be the use of nutrients in the ecosystem, but the available light in the substrate.
Moreover, floating stands of macrophytes can serve as substrate for the colonization of secondary species, favoring the presence of emergent macrophytes (Sousa, Thomaz, & Murphy, 2011). The emerging species Oxycarium cubense, the taxon with the highest biomass in the Penha reservoir, has a habit of colonizing dense Salvinia auriculata stands. This species begins as an epiphyte, grows until it becomes dominant when it rooted in the soil and tends to exclude its substrate (Pott and Pott, 2000). This corroborates our results, as at the beginning of the sampling period, a lack of space within the environment allowed floating species facilitate the emergent species by serving as nurse plants and thereby enabling the germination and growth of such emergent species. Connell (1990) carried out a study focused on competition and found that the development of a species in an aquatic environment affects the interaction pattern between two other species in the same environment. This was evident in the Penha reservoir, when the interaction pattern of floating x submerged macrophytes was modified, due to the increase in emergent macrophytes, which began to have a negative effect on other plants in the environment.
The rapid growth and large size of emergent species are advantages of environmental dominance, as species are able to eliminate other neighboring species (Macek & Rejmankova, 2007). In the present study we observed that the dominance of emergent species in the aquatic environment allowed floating macrophytes to occupy areas that where inhabited by submerged macrophytes before. Thereby, the total space occupation of the floating species precluded radiation input, limiting the growth of submerged macrophytes which lately disappeared.
Seasonality exerts an important role in the development and growth of macrophytes. Floating macrophytes in the rainy period reflect the displacement of considerable quantities of plants (Beyruth, 1992), growth limitation in favor of lower water temperatures (van der Heide et al., 2006), or even a decrease in biomass due to nutrient reduction in the water body (Lolis & Thomaz, 2011). These factors suggest that the re-emergence of submerged macrophytes in the environment, may be related to seasonality, as part of the floating macrophytes were removed away by the rain, and the growth rates of those that remained were reduced, due to environmental temperature or the reduction of nutrients availability in the ecosystem.
Some species of macrophytes are considered opportunistic in certain situations, exhibit rapid growth, large seed production, high adaptive capacity and a high degree of resistance (Neto et al., 2007). Vacant space allows submerged species, belonging to the family Cabombaceae, to act as opportunists, taking advantage of the space and availability of sunlight in the sediment. When some establishment attempts are unsuccessful, these organisms invest in sexual reproduction, leaving seeds in the sediment to germinate during more favorable periods.
According to this report results from a tropical reservoir, floating and submerged macrophytes present a pattern of relation, alternating between negative and positive interactions. However, the nurse plant effect of floating plant species on emergent ones, allowed for the growth and the establishment of vegetation that dominated the environment, and indirectly interfered in their pattern of relation between other biological forms. Even in adverse conditions, such as the loss of space and the effects of seasonality, the floating biological form managed to remain in the ecosystem with reduced biomass. Although the submerged macrophytes were susceptible to adverse biotic and abiotic conditions, which lead to their exclusion, they presented opportunistic behavior, returning to the environment at more propitious moments, and investing in sexual reproduction by leaving seeds to germinate in the soil when the ecosystem was once again favorable to seed development.
Acknowledgments
The authors are grateful to Davi Freire da Costa for assistance in the sampling process.
References
Aloo, P., Ojwang, W., Omondi, R., Nijiru, J. M., & Oyugi, D. (2013). A review of the impacts of invasive aquatic weeds on the bio-diversity of some tropical water bodies with special reference to Lake Victoria (Kenya). Biodiversity Journal, 4(4), 471-482.
Amarasekare, P. (2002). Interference competition and species coexistence. Proceedings of the Royal Society Biological Science, 269(1509), 2541-2550.
Armas, C., Ordiales, R., & Pugnaire, F. I. (2004). Measuring Plant Interactions: a New Comparative Index. Ecology, 85(10), 2682-2686.
Barko, J. W., & Smart, R. M. (1983). Effects of organic matter additions to sediment in the growth of aquatic plants. Journal of Ecology, 71, 161-175.
Bertness, M. D., & Callaway, R. M. (1994). Positive interactions in communities. Ecology and Evolution, 9(5), 191-193.
Beyruth, Z. (1992). Macrófitas Aquáticas de um Lago Marginal ao Rio Embu - Mirim. Revista Saúde Pública, 26(4), 272-282.
Bianchini, Jr. I. J. (2003). Modelos de crescimento e decomposição de macrófitas aquáticas. In S. M. Thomaz & L. M. Bini (Eds.), Ecologia e manejo de macrófitas aquáticas (pp. 85-126). Maringá, BR: Eduem.
Bianchini., Jr I., Cunha-Santino, M. B., Milan, J. A. M., Rodrigues, C. J., & Dias, J. H. P. (2010). Growth of hydrilla verticillata (L.f.) royle under controlled conditions. Hydrobiologia, 644(1), 301-312.
Blindow, I., Hargeby, A., & Hilt, S. (2014). Facilitation of clear-water conditions in shallow lakes by macrophytes: differences between charophytes and angiosperm dominance. Hydrobiologia , 737(1), 99-110.
Brönmark, C., Rundle, S. D., & Erlandsson, A. (1991). Interactions between freshwater snails and tadpoles: Competition and facilitation. Oecologia, 87(1), 8-18.
Bulleri, F., Bruno, J. F., & Benneditti-Cecchi, L. (2008). Beyond competition: Incorporating positive interactions between species to predict ecosystem invisibility. PLoS Biology, 6(6), e162.
Callaway, R. M. (2007). Positive interactions and interdependence in plant communities. The Netherlands, NL: Springer.
Callaway, R. M., & Walker, L. R. (1997). Competition and Facilitation: a synthetic approach to interactions in plant communities. Ecology , 78(7), 1958-1965.
Camargo, A. F. M., Henry-Silva, G. G., & Pezzato, M. M. (2003). Crescimento e produção primária de macrófitas aquáticas em zonas litorâneas. In R. Henry (Eds.), Ecótonos nas interfaces dos ecossistemas aquáticos (pp. 213-232). São Carlos, BR: Fundibio/ Rima.
Cardinale, B. J., Palmer, M. A., & Collins, S. L. (2002). Species diversity enhances ecosystem functioning through interspecific facilitation. Nature, 415(6870), 426-429.
Connell, J. H. (1990). On the prevalence and relative importance of interspecific competition: evidence from field experiments. American Naturalist, 122, 661-696.
Domingues, F. D., Starling, F. L. R. M., Nova, C. C., Loureiro, B. R., Souza, L. C., & Branco, W. C. (2016). The control of floating macrophytes by grass carp in net cages: experiments in two tropical hydroelectric reservoirs. Aquaculture Research.
Neto, S. V. C., Senna, C. S. F., Tostes, L. C. L., & Silva, S. R. M. (2007). Macrófitas aquáticas das regiões dos lagos do Amapá, Brasil. Revista Brasileira Biociências, 5(S2), 618-620.
Espinar, J. L., García, L. V., Murillo, P. G., & Toja, J. (2002). Submerged macrophyte zonation in a Mediterranean salt marsh: A facilitation effect from established helophytes? Journal of Vegetation Science, 13(6), 831-840.
Esteves, F. A. (2011). Fundamentos de Limnologia. Rio de Janeiro, BR: Interciência.
Gómez-Aparicio, L., Zamora, R., Castro, J., & Hódar, J. A. (2008). Facilitation of tree saplings by nurse: Microhabitat amelioration or protection against herbivores? Journal of Vegetation Science , 19(2), 161-172.
Henry-Silva, G. G., Moura, R. S. T., & Dantas, L. L. O. (2010). Richness and distribution of aquatic macrophytes in Brazilian semi-arid aquatic ecosystems. Acta Limnologica Brasiliensia, 22(2), 147-156.
Holmgren, M., Scheffer, M., & Huston, M. A. (1997). The interplay of facilitation and competition in plant communities. Ecology , 78(7), 1966-1975.
Kiersch, B., Mühleck, R., & Gunkel, G. (2004). Las macrófitas de algunos lagos alto-andinos Del Ecuador y su bajo potencial como bioindicadores de eutrofización. Revista de Biología Tropical, 52(4), 829-837.
Le Bagousse-pinguet, Y. L. E., Liancourt, P., & Straile, D. (2012). Indirect facilitation promotes macrophytes survival and growth in freshwater ecosystems threatened by eutrophication. Journal of Ecology, 100(2), 530-538.
Lima, C. T., Giulietti, A. M., & Santos, F. A. R. (2012). Flora da Bahia: Cabombaceae. Sitientibus série Ciências Biológicas, 12(1), 61-68.
Lolis, S. F., & Thomaz, S. M. (2011). Monitoramento da composição específica da comunidade de macrófitas aquáticas no reservatório Luis Eduardo Magalhães. Planta Daninha, 29(2), 247-258.
Macek, P., & Rejmankova, E. (2007). Response of emergent macrophytes to experimental nutrient and salinity additions. Functional Ecology, 21(3), 478-488.
Matias, L. Q., Amado, E. R., & Nunes, E. P. (2003). Macrófitas aquáticas da lagoa de Jijoca de Jericoacoara, Ceará, Brasil. Acta Botanica Brasilica, 17(4), 623-631.
McCreary, N. J. (1991). Competition as a mechanism of submersed macrophyte community structure. Aquatic Botany, 41, 177-193.
Meerhoff, M., Mazzeo, N., Moss, B., & Rodríguez-Gallego, L. (2003). The structuring role of free-floating versus submerged plants in a subtropical shallow lake. Aquatic Ecology, 37(4), 377-391.
Mormul, R. P., Ferreira, F. A., Michelan, T. S., Carvalho, P., Silveira, M. J., & Thomaz, S. M. (2010). Aquatic macrophytes in the large, sub-tropical Itaipu Reservoir, Brazil. Revista de Biología Troprical, 58(4), 1437-1452.
Ngari, A. N., Kinyamario, J. I., Ntiba, M. J., & MavutI, K. M. (2009). Factors affecting abundance and distribution of submerged and floating macrophyes in Lake Naivasha, Kenya. African Journal of Ecology, 47, 32-39.
Nogueira, F. B. M., & Esteves, F. A. (1990). Variação temporal da biomassa de duas espécies de macrófitas aquáticas em uma lagoa do rio Mogi-Guaçu (SP). Acta Limnologica Brasiliensia , 3(2), 617-632.
O’Farrell, I., Pinto-Tezanos, I. de, Rodríguez, P., Chaparro, G., & Pizarro, H. (2009). Experimental evidence of the dynamic effect of free-floating plants on phytoplankton ecology. Freshwater Biology, 54(2), 363-375.
Oliveira, N. M. B, Sampaio, E. V. S. B., Pereira, S. M. B., & Moura-Júnior, A. M. (2005). Capacidade de regeneração de Egeria densa nos reservatórios de Paulo Afonso, BA. Planta Daninha , 23(2), 363-369.
Pompêo, M. L. M., & Moschini-Carlos, V. (2003). Macrófitas aquáticas e perifíton: aspectos ecológicos e metodológicos. São Carlos, BR: RiMa.
Pott, V. J., & Pott, A. (2000). Plantas aquáticas do Pantanal. Brasilía, BR: EMBRAPA Comunicação para transferência de Tecnologia.
R Development Core Team. (2014). A language and environment for statistical computing. R Foundatition for statistical computing, Vienna, Austria. Retrieved from http://www.R-project.org/.
Rocha, D. C., & Martins, D. (2011). Levantamento de plantas daninhas aquáticas no reservatório de Alagados, Ponta Grossa, PR. Planta Daninha , 29, 237-246.
Scheffer, M., & Van Nes, E. H. (2007). Shallow lakes thory revisited: various alternative regimes driven by climate, nutrients, depth and lake size. Hydrobiologia , 584(1), 455-466.
Sousa, D. J. L., & Matias, L. Q. (2013). A família Nymphaeaceae no estado do Ceará, Brasil. Rodriguésia, 64(1), 49-59.
Sousa, W. T. Z., Thomaz, S. M., & Murphy, K. J. (2011). Drivers of aquatic macrophytes community structure in a Neotropical riverine lake. Acta Oecologica, 37(5), 462-475.
Thomaz, S. M. (2006). Fatores que afetam a distribuição e o desenvolvimento de macrófitas aquáticas em reservatório: uma análise em diferentes escalas. In M. G., Nogueira , R., Henry, & A. Jorcin (Eds.), Ecologia de reservatório: impactos potenciais, ações de manejo e sistema cascata (pp. 165-181). São Carlos, BR: RiMa .
van der Heide, T., Roijackers, R. M. M. R., van Nes, E. H., & Peeters, E. T. H. M. (2006). A simple equation for describing the temperature dependent growth of free-floating macrophytes. Aquatic Botany , 84(2), 171-175.
Wetzel, R. G. (2001). Limnology: lake and river ecosystems. San Diego, CA: Academic Press.