Artículo
Reservas de carbono del pasto Cenchrus clandestinus (Poaceae) en los sistemas de manejo tradicional y silvopastoril, en diferentes relieves
Carbon stocks of Cenchrus clandestinus grass (Poaceae) in traditional and silvopastoral systems, in different reliefs
Reservas de carbono del pasto Cenchrus clandestinus (Poaceae) en los sistemas de manejo tradicional y silvopastoril, en diferentes relieves
Revista de Biología Tropical, vol. 67, núm. 4, 2019
Universidad de Costa Rica
Recepción: 26 Noviembre 2018
Recibido del documento revisado: 10 Abril 2019
Aprobación: 26 Junio 2019
RESUMEN: El aumento de las emisiones de Gases de Efecto Invernadero (GEI) derivadas de las actividades humanas, son consideradas el principal responsable del cambio climático actual y el sector ganadero es responsable del 18 % de las emisiones de GEI en CO2 equivalente. El pasto kikuyo puede optimizar tanto la captura como la fijación del carbono. El objetivo del trabajo fue identificar las existencias de carbono en el pasto kikuyo en sus diferentes compartimentos, biomasa aérea (BA) y biomasa radicular (BR), a 20 y 40 cm de profundidad del suelo, bajo los sistemas tradicional y silvopastoril en diferentes relieves. Se realizaron seis muestreos (M) sucesivos de acuerdo al sistema de pastoreo (tradicional y silvopastoril), la geoforma del terreno (flanco cóncavo (FCC), flanco convexo (FCX), flanco rectilíneo (FR) y relieve plano (RP)). Se muestrearon la biomasa aérea (BA) y de raíces (BR). El método estadístico utilizado fue un diseño en bloques incompletos aleatorizados, se evaluaron dos tratamientos (T) (T1: tradicional y T2: silvopastoril) con cuatro bloques (B) en cada uno (B1: FCC, B2: FCX, B3: FR, B4: RP). El trabajo se realizó entre junio 2016 y junio 2017 en San Pedro de los Milagros, Antioquia Colombia. Los resultados permitieron determinar que las raíces a 20 cm de profundidad, el colchón muerto y las hojas, fueron los compartimentos con mayores existencias de carbono (4.52, 3.58 y 1.9 ton de C ha-1 respectivamente). Se encontraron diferencias (P < 0.05) entre relieve plano y el relieve rectilíneo para la biomasa de hojas, y entre el relieve plano con los demás relieves evaluados para la variable raíces gruesas a 20 cm de profundidad. La biomasa producida por la planta es directamente proporcional al carbono incorporado. La biomasa radicular, tanto para raíces finas como gruesas, contribuye a capturar en promedio 2 820 y 655 kg ha-1 de carbono a 20 y 40 cm de profundidad respectivamente. El pasto kikuyo contribuye a mantener reservas de carbono en las praderas. Por la alta producción de biomasa radicular, de colchón y la alta capacidad de rebrote en condiciones adversas, se concluye que este pasto juega un papel importante en la disminución de GEI y la conservación de los suelos del trópico alto bajo sistemas de lechería especializada.
Palabras clave: captura de carbono, colchón del pasto, gases efecto invernadero, pasturas, raíces estoloníferas.
Abstract: The increase of Greenhouse Gases (GHG) emissions derived from human activities are considered the main cause of current climate change and the livestock sector is responsible for 18 % of the GHG emissions in CO2 equivalent. Kikuyu grass can optimize both carbon capture and carbon fixation. The aim of this paper was to identify carbon stocks in the kikuyu grass in its different compartments, above-ground biomass (AB) and below-ground biomass (BB) at 20 and 40 cm soil depth, under the traditional and silvopastoral systems in different reliefs. Six successive samplings (M) were taken according to the grazing system (traditional and silvopastoral system), and the geoform of the terrain (concave flank (CCF), convex flank (CXF), rectilinear flank (RF) and flat relief (FR)). The above-ground biomass and below-ground biomass were sampled. The statistical method used was a design in incomplete randomized blocks, two treatments were evaluated (T) (T1: traditional system and T2: silvopastoral system) with four blocks (B) in each one (B1: CCF, B2: CXF, B3: RF, B4: FR). This experiment was done from June 2016 to June 2017 in San Pedro de los Milagros, Antioquia, Colombia. The results allowed to determine that the roots at 20 cm depth, the dead creeping stems, and the leaves were the compartments with the highest carbon stocks (4.52, 3.58 and 1.9 ton of C ha-1, respectively). Differences were found (P < 0.05) between flat and rectilinear relief for the biomass of leaves, and between the flat relief with the other reliefs evaluated for the variable thick roots at 20 cm depth. The biomass produced by the plant is directly proportional to the incorporated carbon. The root biomass, both fine and thick roots, contributes to capture on average 2 820 kg and 655 kg of carbon per hectare at of 20 and 40 cm depth respectively. Kikuyu grass contributes to keep carbon reserves in the grasslands. Due to the high production of below-ground biomass and creeping stems, and its high capacity of regrowth under adverse conditions, this grass plays an important role in the reduction of GHG and the conservation of high tropical soils under specialized dairy systems.
Key words: carbon capture, creeping stems, greenhouse gases, pastures, stoloniferous roots.
Introducción
El aumento de las emisiones de Gases de Efecto Invernadero (GEI) derivadas de las actividades humanas, divididas en cuatro grandes grupos (Energía, Procesos Industriales, Agricultura, Silvicultura y otros usos de la tierra y Residuos), según Penman, Gytarsky, Hiraishi, Irving, y Krug (2006), que se acumulan en la atmósfera del planeta, son el principal responsable del cambio climático que se experimenta en la actualidad (Penman et al., 2006; IDEAM, PNUD, MADS, DNP, & CANCILLERÍA, 2016).
Respecto a los usos de la tierra, las actividades pecuarias tienen un impacto significativo en casi todas las esferas del medio ambiente, incluidos el cambio climático, el aire, la tierra, el suelo, el agua y la biodiversidad (Steinfeld et al., 2006), produciendo un 9 % de las emisiones de dióxido de carbono (CO2) de origen antropogénico, donde el sector ganadero en general, es considerado responsable del 18 % de las emisiones de gases de efecto invernadero medidos en equivalentes de CO2, además de emitir el 37 % de metano (CH4) y el 65 % del óxido nitroso (N2O) (FAO 2006; Steinfeld et al., 2006; González et al., 2015), principalmente por manejo antropogénico inadecuado, considerándose, equivocadamente, una actividad contaminante, de baja productividad y poco eficiente en el uso de recursos naturales (Botero, 2001).
Las praderas pueden ser un aliado en la mitigación de los GEI, como el CO2, al capturarlo de la atmósfera y acumular el carbono (C) en el suelo (0.3 toneladas (ton) de C ha-1 año-1 que se acumula en el suelo corresponden a la mitigación atmosférica de 1 ton C equivalente ha-1 año-1) (FAO, 2010; Silva, Gómez, Landazury, & Preciado, 2013).
Las gramíneas son componentes importantes en muchos ecosistemas terrestres (Giraldo, 2010), ocupando 250 millones de hectáreas (Mha) en Sur América y 20 Mha en Colombia (Fisher et al., 1994). En el Norte Antioqueño, el pasto kikuyo (Cenchrus clandestinus (Hochst. ex Chiov.) Morrone), como forraje predominante (85 % de los sistemas especializados) (Echeverri, Restrepo, & Parra, 2010) y pasturas perennes, ofrece beneficios medioambientales, por su contribución al secuestro de carbono en los sistemas de pastoreo (Sanderman et al., 2013), además se ha demostrado que es tolerante a heladas, altos niveles de salinidad (Skerman & Riveros, 1990), sequías (Whiteman, 1980) y encharcamientos (Dale & Read, 1975); factores que contribuyen a la disminución del proceso fotosintético, considerado un proceso importante para el planeta porque consumen CO2 y liberan oxígeno (O2) a la atmósfera (Del Valle & Sánchez, 2015).
Las plantas que realizan la vía fotosintética C4, como el kikuyo (Giraldo, 2010), son consideradas más eficientes en el proceso fotosintético ya que optimizan la captura y fijación del CO2, atribuido, en parte, a los procesos evolutivos sufridos por ellas, desde su origen (Del Valle & Sánchez, 2015); adicionalmente, según una investigación realizada por Silva et al. (2013), cuando las plantas C4 se encuentran dentro de un sistema silvopastoril, ayudan a mejorar la productividad ofreciendo la oportunidad de aumentar el secuestro del carbono. El objetivo de este trabajo fue identificar las existencias de carbono en el pasto kikuyo en sus diferentes compartimentos, biomasa aérea (hojas, tallos y colchón) y biomasa radicular (raíces finas y gruesas o “estoloníferas”) a 20 y 40 cm de profundidad del suelo, evaluado bajo dos sistemas y cuatro relieves topográficos.
Materiales y Métodos
Sitio de estudio: El estudio se realizó entre junio 2016 y junio 2017, período durante el cual se ubicaron y delimitaron las parcelas; se colectaron y analizaron las muestras. El estudio se realizó en la hacienda La Montaña de la Universidad de Antioquia, ubicada en el municipio de San Pedro de los Milagros (Antioquia, Colombia), en una zona de vida de bosque húmedo montano bajo (Bh-Mb), temperatura promedio de 15 °C, con precipitación anual de 1 575.1 mm, humedad relativa del 72 %, a una altitud de 2 350 metros sobre el nivel del mar (msnm) (Estrada & Restrepo, 2015) a 6° 26’59” N & 75° 32’37” W (Google Earth, 2018). Sus suelos pertenecen al orden de los andisoles según lo reportado por Medina, Velásquez, & Pinzón (2012).
Establecimiento: Se utilizaron 16 parcelas experimentales ya establecidas con pasto kikuyo, cada una de 10 x 5m, ubicadas en diferentes sistemas o tratamientos: tradicional (ST) y silvopastoril (SS). En diferentes relieves topográficos: flanco cóncavo (FCC), flanco convexo (FCX), flanco rectilíneo (FR) y relieve plano (RP).
La toma de muestras se realizó cada 32 (±3) días (período de descanso y momento de mayor producción del pasto del sitio de estudio), con un total de seis muestreos consecutivos. Se emplearon marcos de aforo para medir la biomasa del pasto y un barreno para raíces para determinar la biomasa de las mismas a 20 y 40 cm de profundidad. Los puntos en cada parcela se determinaron con la metodología de muestreo por radiales (Acosta, Etchevers, Monreal, Quednow, & Hidalgo, 2001) georreferenciados con GPS 100 Magellan Explorist®.
Sistemas evaluados: El ST correspondió a los potreros con monocultivo de pasto C. clandestinus. El SS, correspondió a un arreglo con kikuyo como herbácea y las arbóreas aliso (Alnus acuminata Kunth) y acacia negra (Acacia decurrens Willd.), sembradas a una distancia entre árboles de 5 x 7 m, en dirección perpendicular a la pendiente y con una edad de 15 años utilizados principalmente para aportar sombra como parte del bienestar animal y recuperadores de la calidad del suelo. Los sistemas son pastoreados en franjas con carga animal de 3.5 vacas ha-1 de la raza Holstein, con ocupación de un día. Anualmente se aplican 400 kg de nitrógeno (N) ha-1.
Aforo: Se adaptó la metodología propuesta por Sierra (2017), usando dos marcos aforadores de 0.25 m2. Se determinaron cinco puntos de aforo (1.0; 1.5; 2.0; 2.5; 3.0), realizándose 40 visuales al azar en el potrero y calificando el rendimiento del forraje con base en la escala mencionada.
Muestreo de biomasa aérea (BA): La BA está conformado por las hojas (H), tallos (T), colchón vivo (CV) y muerto (CM) del pasto kikuyo. La recolección de las muestras se realizó con el método del “reloj”, marcando un punto central georreferenciado para facilitar la ubicación en muestreos sucesivos y con diámetro de 1 m, donde las 12 h correspondió con el norte magnético (Acosta et al., 2001). Para cada parcela se realizaron seis muestreos: 12:00 (M1), 6:00 (M2), 3:00 (M3), 9:00 (M4), 5:00 (M5) y 11:00 (M6) horas respectivamente. Tanto para el ST como para el SS se usaron marcos aforadores, cortando toda la biomasa contenida en éste. La biomasa de las H y T se empacaron en una bolsa diferente a la del colchón. Se emplearon bolsas resellables, extrayendo la mayor cantidad del aire de forma manual e identificándolas con el número de parcela, muestreo y fecha; se transportaron al laboratorio en nevera térmica para conservar la calidad de las muestras.
Muestreo de biomasa radicular (BR): La BR se conformó por las muestras de todas las raíces, finas (RF) y gruesas (RG), del pasto kikuyo. En un estudio realizado por Giraldo, Zapara, & Montoya (2008) se tomaron muestras del suelo hasta una profundidad de 30 cm. Para este estudio, las profundidades fueron 0 a 20 cm (desde el nivel del suelo) y 20 a 40 cm (desde el punto final de la primera profundidad), debido a que no se observaron raíces significativas a mayor profundidad, en el mismo punto de colecta y con la misma frecuencia de muestreo de la BA. Se utilizó un barreno para raíces con una longitud total de 70 cm (cilindro más asa), con medidas del cilindro interior de 10 cm de diámetro y 25 cm de largo, marcado para identificar las profundidades requeridas. Las muestras se empacaron, debidamente identificadas con la profundidad, número de parcela, de muestreo y fecha de colecta; se trasportaron al laboratorio en nevera térmica.
Pretratamiento de las muestras: Para la BR se separaron las raíces del suelo por medio de extracción (con un tamiz de malla de 5 mm) y lavado manual con agua hasta retirar el excedente de suelo, dejando la base del tamiz para evitar la pérdida de raíces. La clasificación se realizó en: RF (< 5.0 mm) y RG (5.0 mm) (Schlonvoigt, Chesney, Schaller, & Kanten, 2000). Se secaron en estufa de ventilación forzada a 60 °C durante 48 h (Yaranga & Custodio, 2013), luego pasaron por un molino con criba de 1 mm y se cernieron con un tamiz de 0.05 mm. La BA se separó en material verde (H y T) y material senescente (CV y CM). Se considera colchón a la capa de pasto acumulado, debido a que no está dentro de la porción comestible del animal. El CV son rebrotes principalmente de los estolones, y el CM, porción que alcanza un alto grado de maduración. Las muestras se procesaron con el mismo protocolo explicado para las raíces.
Determinación del carbono: Se adaptó del método de Walkley & Black (1934) empleando dicromato de potasio {K2Cr2O7 1N}, ácido sulfúrico (H2SO4), solución indicadora de ortofenantrolina {C12H8N2. H2O} y la titulación con sulfato ferroso de amonio {Fe(NH4)2(SO4).6H2O. Al obtener los ml de solución ferrosa gastados en la titulación (M), ml gastados en el blanco (B), normalidad de la solución ferrosa (N), peso en gramos de la muestra y el factor 0.6708 hallado a partir de multiplicar 0.003 (peso de un meq de carbono en gramos) por 1.72 (factor conversión de carbono a materia orgánica) y por 1.3 (factor de corrección debido a la eficiencia), se halló el porcentaje de materia orgánica (% MO) a partir de la ecuación % MO = 0.6708(B-M)N/peso de la muestra de biomasa en gramos.
Tiempos, tasas de descomposición y flujos de carbono: Se determinó el tiempo y las tasas de descomposición según reportes de Zhang, Hui, Luo & Zhou (2008), con base en la fórmula y = e-kt (Olson, 1963; Wieder & Lang, 1982; Silver & Miya, 2001), donde y = % de la masa en un tiempo, t = tiempo transcurrido desde el inicio de la descomposición y k = está presentado como el coeficiente de determinación del diseño experimental. La estimación de los flujos de carbono del pasto al suelo, se realizó a partir de los datos reportados por Kuzyakov & Domanski (2000).
Diseño experimental: Se empleó un diseño en bloques incompletos aleatorizados, definiendo dos tratamientos: SS y ST y cuatro bloques: FCC, FCX, FR y RP. Se realizó en bloques incompleto porque el área limitó incluir el RP dentro del SS. El arreglo correspondió a medidas repetidas en el tiempo, realizando seis muestreos para cada parcela experimental. El análisis de resultados y la transformación BoxCox de los datos se realizaron con el software estadístico R-project® (R Core team, 2016). Se validó normalidad del modelo por medio de Shapiro-Wilk que permitió tomar la decisión de transformación y ajuste del modelo Yijk = µ+Ti +βj + ΩK + εijk, donde Yijk es la variable respuesta (carbono), µ el efecto de la media, Ti el efecto del tratamiento (sistema), βj el efecto del bloque (relieves), ΩK el efecto del muestreo y εijk el efecto del error aleatorio.
Resultados
Correlación de la BA del pasto kikuyo con sus contenidos de carbono: Los contenidos de carbono en los diferentes compartimentos estuvieron influenciados positivamente por la cantidad de biomasa seca de los mismos, comportamiento que se evidenció con la correlación (r) obtenida al analizar la BA del pasto kikuyo (Fig. 1), como el caso de la BH y el carbono con r = 0.99.

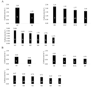
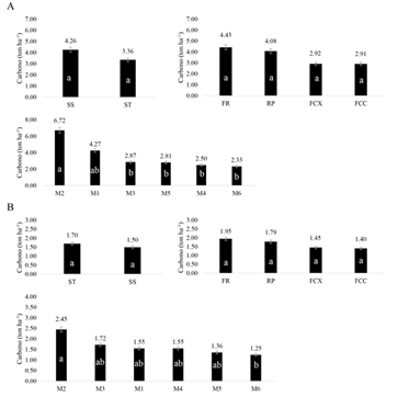
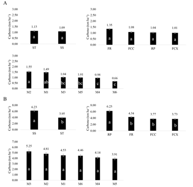
Existencias de carbono dentro de los sistemas, relieves y su variación en el tiempo (muestreos) en los diferentes compartimentos: En las figuras 2, 3 y 4 se pueden observar las diferencias que existen entre los sistemas, los bloques y los muestreos, y los promedios del contenido de carbono analizados para cada compartimento del pasto (Fig. 2, Fig. 3 y Fig. 4).
Se observaron diferencias (P < 0.05) entre tratamientos (SS y ST) (Fig. 2A, Fig. 2B, Fig. 4B), entre el RP y FR (Fig. 2A), el FR con los demás relieves (Fig. 2B) y entre el bloque RP con los demás bloques (Fig. 4B). Respecto a los muestreos, se obtuvo P < 0.05 entre algunos muestreos de la BA y en las RF 20 cm (Fig. 2, Fig. 3 y Fig. 4A).



En la BR se obtuvo mayor cantidad de ton de C ha-1 a 20 cm, tanto para raíces finas como gruesas, con valores de 1.12 y 4.52 ton ha-1, respectivamente y a 40 cm fue de 0.57 y 0.74 ton ha-1. Se encontró que las raíces gruesas acumulan más carbono que las finas. El contenido de carbono de raíces a 20 cm de profundidad fue alrededor de 5.64 ton ha-1, frente a 1.31 ton ha-1 para raíces hasta 40 cm.
El contenido total de carbono obtenido en el presente estudio para pasto C. clandestinus se ve representado en la Fig. 5, donde las RG 20 cm presentaron el mayor contenido de carbono (4.52 ton ha-1), representando un 30.5 % del total de carbono hallado para este estudio (14.8 ton ha-1). Adicionalmente, se ve representado la tasa y los tiempos de descomposición del C en el pasto kikuyo (Tabla 1), estimando que las raíces son las que tardan el mayor tiempo en descomponer el 99 % de la biomasa producida (12.2 años).

Discusión
La relación directa que existe entre las variables biomasa y los contenidos de carbono puede explicar el resultado de la alta correlación positiva entre la BA y sus contenidos de carbono (Fig. 1). Se encontró una alta correlación (r = 0.88) entre biomasas de CV y CM; que podría explicarse por factores como la intensidad de pastoreo, que provocará un aumento del material rechazado por el animal, cuando no tiene una adecuada programación (Fales et al., 1995).
Anguiano, Aguirre, & Palma (2013), reportan relación inversa del secuestro de carbono de la gramínea Pennisetum purpureum Cuba CT-115 bajo un sistema agrosilvopastoril con una alta densidad de arbóreas leguminosos, lo que podría explicar la diferencia entre los sistemas, demostrando mayor eficiencia de las pasturas capturando carbono cuando se trabajó bajo ST. Por otra parte, Arias et al. (2009), afirma que pasturas bajo SS tienen mayor contenido de carbono que pasturas sin árboles. Otro estudio realizado con Brachiaria brizantha, reflejó que el carbono total almacenado fue mayor al asociarse con Eucalipto deglupta y Arachis pintoi, indicando que la interacción árbol pastura permite al pasto un crecimiento más acelerado que en monocultivo (Casasola et al., 2013). Esto concuerda con algunos resultados de este estudio, donde en algunos compartimentos, el pasto kikuyo también almacenó menos cantidad cuando se evaluó bajo un ST. Casasola et al. (2013), reportan también que las pasturas en trópico húmedo tienen mayor capacidad de almacenar y fijar CO2 que las pasturas en trópico subhúmedo y que la precipitación o la humedad favorecen la cantidad de carbono capturado, lo que podría explicar la diferencia entre algunos muestreos.
La disminución en los contenidos de carbono de acuerdo a la profundidad de las raíces, cuya biomasa se hace menor cuando aumenta la distancia a la superficie de suelo, era un comportamiento esperado, similar a lo reportado por autores como Céspedes, Fernández, Gobbi, & Bernardis (2012) para pastizales en praderas bajo pastoreo. Al realizar una comparación con las sabanas, las pasturas con base en gramíneas “mejoradas” secuestran más carbono en partes profundas del perfil del suelo, generalmente bajo la capa arable (10 - 15 cm). Esta característica hace que el carbono esté menos expuesto a procesos de oxidación, y por tanto, su pérdida como gas invernadero (Fisher et al., 1994); explicando algunos resultados en los que las RG 20 cm contienen mayor cantidad de carbono con respecto a los demás compartimentos. El carbono de las RF fue menor en ambas profundidades, pero este cumple un papel importante como fuente de rápida disponibilidad para microorganismos, útiles en dinámicas de transformación y descomposición de la materia orgánica del suelo, procesos necesarios en el flujo y reciclaje de nutrientes.
Las pasturas son una posibilidad para incrementar la captura de carbono en el suelo (ocupan alrededor del 25 % de la superficie terrestre) (Asner, Elmore, Olander, Martin, & Harris, 2004), si se mejoran las prácticas de manejo (Rutledge et al., 2017) principalmente aquellas relacionadas con el ajuste de carga animal, el reciclaje de nutrientes y el manejo agronómico adecuado. La alta producción de raíces en el pasto kikuyo permite una rápida recuperación post-pastoreo, ya que la planta moviliza reservas de carbono desde la raíz para la producción de rebrotes, como lo demostraron otros autores en algunas pasturas (Guitian & Bardgett, 2000; Schmitt, Pausch, & Kuzyakov, 2013) indicando que el carbono almacenado es un mecanismo importante para recuperar las pasturas después de situaciones de estrés como el pastoreo (Schmitt et al., 2013). Las plantas perennes pueden translocar más carbono que las plantas anuales, lo que indica que tienen mayor capacidad de almacenamiento de carbono en las raíces. En el caso de los pastos perennes, esta propiedad facilita el rebrote después del corte o pastoreo (Kuzyakov & Domanski; Schmitt et al., 2013). En general, la principal fuente de carbono del suelo proviene de las plantas y corresponde al aporte que realizan las raíces y residuos vegetales de la biomasa aérea al descomponerse y a la rizodeposición (Kuzkyakov et al., 2000).
Según los resultados obtenidos en este estudio, la BA aporta un 53 % del carbono total del pasto (14.8 ton ha-1), valor próximo a los reportados por Paul (2016) del 30 y 50 % para la mayoría de los pastos. En su mayoría, las pasturas translocan aproximadamente 50 % del carbono asimilado desde la BA a BR, donde, aproximadamente 25 % se incorpora a biomasa radicular, 6 % permanece en el suelo y en biomasa microbial del mismo, y 18 % se emplea para procesos fisiológicos de respiración, tanto de raíces como de microbiota del suelo (Kuzyakov & Domanski, 2000; Johnson, Leake, Ostle, Ineson, & Read, 2002). Del 6 % de carbono que permanece en el suelo y biomasa microbiana, otros autores consideran que hasta 5 % del mismo puede convertirse en humus estable y almacenarse en éste (Lal, Kimble, Levine, & Whitman, 1998). Algunos trabajos indican que los sistemas radiculares representan la biomasa bajo el suelo constituyendo otro sumidero de carbono (Andrade & Ibrahim, 2003). El kikuyo por ser perenne, con hábito de crecimiento estolonífero y alta capacidad de rebrote bajo condiciones adversas; permite amarrar el terrero lo que contribuye a conservar los suelos de ladera, predominantes en trópico alto. A pesar de la aparición de colchón, debido principalmente al mal manejo (factor negativo en un sistema de producción), éste se convierte en un reservorio de carbono a mediano plazo.

Factores como las condiciones climáticas, tipo de vegetación, de suelo, composición de biota microbiana relacionada con procesos de descomposición, variables geográficas de ubicación, entre otros, regulan la tasa de descomposición y el aporte de carbono al sistema. De acuerdo a los valores para pasturas reportados en un meta-análisis sobre tasas de descomposición (Zhang et al., 2008); se pudo estimar para este trabajo, que el tiempo medio para que se descomponga 50 % de la biomasa producida por el pasto kikuyo puede tardar para las hojas aproximadamente 200 días (k = 1.16), colchón 1.3 años (k = 0.52) y raíces 1.7 años (k = 0.41). La descomposición del 99 % de la biomasa producida, puede tardar aproximadamente 4.3; 9.6 y 12.2 años para los compartimentos de hojas, colchón y raíces respectivamente.
En este estudio, en el ST, se encontraron valores respectivos de 4.2 y 1.9 ton ha-1, para la BA seca y su contenido de carbono, semejantes a los encontrados por Cárdenas, Bustamante, Espitia, & Páez. (2012), 4.5 ton ha-1 de BA seca y 2.0 ton de carbono ha-1 y contrario a lo obtenido por los mismos autores en un SS con B. brizanta, con un valor de 11.7 ton ha-1 en la BA seca, por encima del resultado obtenido para este estudio (3.9 ton ha-1), con contenidos de carbono de 4.4 y 2 ton ha-1, respectivamente (Tabla 2). Lo anterior puede deberse a que el pasto B. brizanta fue analizado a un promedio de 162 días (tiempo desde que se sembró el pasto hasta la toma de muestras para análisis), superior al tiempo de muestreo del pasto kikuyo (cada 35 días). Sin embargo, estos resultados son consecuentes con el hecho de que a mayor cantidad de biomasa seca, mayor contenido de carbono. El pasto C. clandestinus presentó mejor captura de carbono en la BR tanto para el sistema tradicional como para el silvopastoril (1.6 ton ha-1 y 2.1 ton ha-1, respectivamente) frente a resultados reportados por Céspedes et al. (2012) para otras especies de pastos (S. setosum y C. nlenfuensis).

Giraldo, Zapata, y Montoya (2006) reportaron contenidos de carbono de la BA y BR para el pasto B. dyctoneura, cuando se evaluó bajo los sistemas tradicional y silvopastoril, obteniendo en la BA contenidos de 2.5 y 1.2 ton ha-1 y en las raíces, 15.2 y 13.4 ton ha-1, para los sistemas evaluados, respectivamente. El presente estudio muestra resultados parecidos en la BA (2.0 y 1.9 ton ha-1), siendo diferentes en la BR (1.6 y 2.1 ton ha-1), al ser evaluados bajo los mismos sistemas. Schmitt et al. (2013), reportan contenidos de carbono en L. perenne de aproximadamente 39 y 49 % de la biomasa seca, evaluado bajo sistemas de luz y de sombra respectivamente. Teniendo en cuenta un rendimiento medio de 3.4 ton ha-1, el aporte de carbono de la BA sería de 1.3 y 1.7 ton ha-1 para los sistemas evaluados, indicando que las pasturas varían su aporte de carbono dependiendo del sistema de producción en el que se encuentren, siendo considerados los SS como los principales sumideros de carbono (Andrade & Ibrahim, 2003).
El kikuyo por ser una planta C4 realiza un aporte significativo de carbono. Las mayores tasas de captura de carbono en pasturas se atribuyen principalmente a la presencia de grupos funcionales de leguminosas y gramíneas C4. Fornara & Tilman (2008) encontraron relación positiva significativa entre la acumulación de carbono y la BR, sugiriendo que las raíces son importantes para la acumulación de carbono; reportado también en numerosos estudios (Rasse, Rumpel, & Dignac, 2005; Lu et al., 2011; Fornara & Tilman, 2012; Fornara et al., 2013). Existe gran diferencia en la distribución de biomasas aéreas y radiculares de bosques y praderas; los bosques (mayoritariamente vegetación C3) depositan residuos principalmente en la superficie, mientras que las praderas (mayoritariamente plantas C4) incorporan residuos al interior del suelo, que provienen principalmente de la biomasa radicular (Céspedes, 2007). Los forrajes perennes C4 muestran altos índices de secuestro anual de carbono orgánico del suelo en los primeros centímetros del perfil (Neal, Eldridge, Fulkerson, Lawrie, & Barchia, 2013).
Las plantas C4 pueden capturar carbono cuando sus estomas están cerrados, ellas presentan un sistema de bombeo de carbono en la célula y pueden cerrar sus estomas y continuar eficientemente el proceso fotosintético (Mota, Alcaraz, Iglesias, Martínez, & Carvajal, 2010). Además, pueden soportar factores de estrés como radiación, precipitación, manejo (frecuencia de corte, altura de corte, tiempo de pastoreo), que alteran su estructura y metabolismo; asimismo, tiene buen crecimiento y capacidad para capturar carbono, según lo indican Del Pozo (2004), Martínez, López, Muries, Muñoz, & Carvajal (2009) y lo reafirma Mota et al. (2010). Con un buen manejo en los sistemas de pastoreo, podría considerarse el pasto kikuyo importante en la disminución de GEI, ya que mostró una alta capacidad en la producción de biomasa y captura de carbono.
Agradecimientos
Agradecemos al proyecto “Fortalecimiento de la producción de la cadena láctea del distrito Norte Antioqueño”, convenio Nº 2012AS180031 entre Secretaría de Agricultura y Desarrollo Rural del Departamento de Antioquia, Universidad Nacional de Colombia y la Universidad de Antioquia, con recursos del Sistema General de Regalías, a Guillermo Morales Lic. y a Brayian Cuartas Martínez Zoot. M Sc.
Referencias
Acosta, M., Etchevers, J. D., Monreal, C., Quednow, K., & Hidalgo, C. (2001). Un Método para la Medición del Carbono en los Compartimientos Subterráneos (raíces y suelo) de Sistemas Forestales y Agrícolas en Terrenos de Ladera en México. Simposio Internacional Medición y Monitoreo de la Captura de Carbono en Ecosistemas Forestales. Recuperado de https://www.uach.cl/procarbono/pdf/simposio_carbono/10_Acosta.PDF
Andrade, H. J., & Ibrahim, M. (2003). ¿Cómo monitorear el secuestro de carbono en los sistemas silvopastoriles? Agroforestería en las Américas, 10(39-40), 109-116.
Anguiano, J. M., Aguirre, J., & Palma, J. M. (2013). Secuestro de carbono en la biomasa aérea de un sistema agrosilvopastoril de Cocos nucifera, Leucaena leucocephala Var. Cunningham y Pennisetum purpureum Cuba CT-115. Avances en Investigación Agropecuaria, 17(1), 149-160.
Arias, L. M., Camargo, J. C., Dossman, M. A., Echeverry, M. A., Rodríguez, J. A., Molina, C. H., … Melo, I. D. (2009). Estimación de biomasa aérea y desarrollo de modelos alométricos para Leucaena leucocephala en sistemas silvopastoriles de alta densidad en el valle del Cauca, Colombia. Revista Recursos Naturales y Ambiente, (58), 32-39.
Asner, G. P., Elmore, A. J., Olander, L. P., Martin, R. E., & Harris, A. T. (2004). Grazing systems, ecosystem responses, and global change. Annual Review of Environment and Resources, 29, 261-299. DOI: 10.1146/annurev.energy.29.062403.102142
Botero, J. (2001). Contribución de los sistemas ganaderos tropicales al secuestro de carbono. Agroforestería para la Producción Animal en América Latina - II, 2(155). Recuperado de http://www.fao.org/docrep/006/Y4435S/y4435s07.htm
Cárdenas, E., Bustamante, Á., Espitia, J. E., & Páez, A. (2012). Productividad en materia seca y captura de carbono en un sistema silvopastoril y un sistema tradicional en cinco fincas ganaderas de piedemonte en el departamento de Casanare. Revista de Medicina Veterinaria, 24, 51-57.
Casasola, F., Ibrahim, M., Villanueva, M., Tobas, D., Sepúlveda, C., & Vega, A. (2013). Potencial de los diferentes tipos de pasturas presentes en dos zonas agroecológicas de Costa Rica para almacenar y fijar carbono. VII Congresso Latinoamericano de Sistemas Agroflorestais para a produçao Pecuária Sustentável.
Céspedes, C. (2007). Dinámica de la materia orgánica y de algunos parámetros fisicoquímicos en molisoles, en la conversión de una pradera a cultivo forestal en la región de Piedras coloradas-Algorta (Uruguay) (Tesis doctoral). Recuperado de http://ethesis.inp-toulouse.fr/archive/00000680/01/cespedes.pdf
Céspedes, F., Fernández, J. A., Gobbi, J. A., & Bernardis, A. C. (2012). Reservorio de carbono en suelo y raíces de un pastizal y una pradera bajo pastoreo (Carbon stock in soil and roots of a grassland and a sward under grazing). Revista Fitotecnia Mexicana, 35(1), 79-86.
Dale, A. B., & Read, J. W. (1975). Irrigation of kikuyu pastures [Pennisetum clandestinum, New South Wales]. Agricultural Gazette of New South Wales, 86(5), 5.
Del Pozo, P. P. (2004). Bases ecofisiológicas para el manejo de los pastos tropicales. Sitio argentino de Producción Animal, 1-9. Recuperado de http://www.produccion-animal.com.ar/produccion_y_manejo_pasturas/pastoreo sistemas/30-bases_ecofisiologicas_manejo_pasturas_tropicales.pdf
Del Valle, É. V., & Sánchez, E. (2015). Adaptaciones fotosintéticas en las plantas para mejorar la captación del carbono. Revista Ciencia, 74-79. Recuperado de https://www.revistaciencia.amc.edu.mx/images/revista/66_4/PDF/AdaptacionesFotosinteticas.pdf
Echeverri, J., Restrepo, L., & Parra, J. (2010). Evaluación comparativa de los parámetros productivos y agronómicos del pasto kikuyo Pennisetum clandestinum bajo dos metodologías de fertilización. Revista Lasallista de Investigación, 7(2), 94-100.
Estrada, M. M., & Restrepo, L. F. (2015). Caracterización de parámetros productivos para líneas genéticas de ponedoras, ubicadas en zona de trópico alto. Revista Lasallista de Investigación, 12(1), 46-57. Recuperado de https://www.redalyc.org/pdf/695/69542290005.pdf
Fales, S. L., Muller, L. D., Ford, S. A., O'Sallivan, M., Hoover, R. J., Holden, L. A, … Buckmaster, D. R. (1995). Stocking rate affects production and profitability in a rotationally grazed Pasture System. Journal of Production Agriculture, 8(1), 88-96.
FAO. (2006). Las repercusiones del ganado en el medio ambiente. Enfoques. Recuperado de http://www.fao.org/ag/esp/revista/0612sp1.htm
FAO. (2010). Challenges and opportunities for carbon sequestration in grassland systems. A technical report on grassland management and climate change mitigation. Integrated Crop Management, 9. Recuperado de http://www.fao.org/fileadmin/templates/agphome/documents/climate/AGPC_grassland_webversion_19.pdf
Fisher, M. J., Rao, I. M., Ayarza, M. A., Lascano, C. E, Sanz, J. I., Thomas, R. J., & Vera, R. R. (1994). Carbon storage by introduced deep-rooted grasses in the South American savannas. Nature, 371(15), 236-238. Recuperado de https://www.researchgate.net/publication/235704383_Carbon_storage_by_introduced_deep-rooted_grasses_in_the_South_American_Savannas
Fornara, D. A., & Tilman, D. (2008). Plant functional composition influences rates of soil carbon and nitrogen accumulation. Journal of Ecology, 96(2), 314-322. DOI: 10.1111/j.1365-2745.2007.01345.x
Fornara, D. A., & Tilman, D. (2012). Soil carbon sequestration in prairie grasslands increased by chronic nitrogen addition. Ecology, 93(9), 2030-2036. DOI: 10.1890/12-0292.1
Fornara, D. A., Banin, L., & Crawley, M. J. (2013). Multi-nutrient vs. nitrogen-only effects on carbon sequestration in grassland soils. Global Change Biology, 19(12), 3848-3857. DOI:10.1111/gcb.12323
Giraldo, L. A, Zapata, M., & Montoya, E. (2006). Estimación de la captura y flujo de carbono en silvopastoreo de Acacia mangium asociada con Brachiaria dyctioneura en Colombia. Pastos y Forrajes, 29(4), 421-435.
Giraldo, A., Zapata, M., & Montoya, E. (2008). Captura y flujo de carbono en un sistema silvopastoril de la zona Andina Colombiana. Archivos Latinoamericanos de Producción Animal, 16(4), 241-245.
Giraldo, D. (2010). Distribución e invasión de gramíneas C3 y C4 (Poaceae) en un gradiente altitudinal de los Andes de Colombia. Caldasia, 32(1), 65-86.
González, R., Sánchez, M. S., Chirinda, N., Arango, J., Bolívar, D. M., Escobar, D., … Barahona, R. (2015). Limitaciones para la implementación de acciones de mitigación de emisiones de gases de efecto de invernadero (GEI) en sistemas ganaderos en sistemas ganaderos en Latinoamérica. Livestock Research for Rural Development, 27(249). Recuperado de http://www.lrrd.org/lrrd27/12/gonz27249.html
Google Earth. (2018). Coordenadas Hacienda la Montaña, San Pedro de los Milagros, Antioquia, Colombia. Recuperado de: https://earth.google.com/web
Guitian, R., & Bardgett, R. D. (2000). Plant and soil microbial responses to defoliation in temperate semi-natural grassland. Plant and Soil, 220(1/2), 271-277. DOI:10.1023/A:1004787710886
IDEAM, PNUD, MADS, DNP, & CANCILLERÍA. (2016). Inventario nacional y departamental de Gases Efecto Invernadero - Colombia. Tercera Comunicación Nacional de Cambio Climático. (PUNTOAPART). Bogotá D.C., Colombia. Recuperado de http://documentacion.ideam.gov.co/openbiblio/bvirtual/023634/INGEI.pdf
Penman, J., Gytarsky, M., Hiraishi, T., Irving, W., & Krug, T. (2006). IPCC Guidelines for National Greenhouse Gas Inventories. In S.Eggleston, L. Buendia, K. Miwa, T. Ngara, & K. Tanabe (Eds.). Japón: IGES Overview. Recuperado de https://www.ipcc-nggip.iges.or.jp/public/2006gl/pdf/0_Overview/V0_1_Overview.pdf
Johnson, D., Leake, J. R., Ostle, N., Ineson, P., & Read, D. J. (2002). In situ 13CO2 pulse‐labelling of upland grassland demonstrates a rapid pathway of carbon flux from arbuscular mycorrhizal mycelia to the soil. New Phytologist, 153(2), 327-334.
Kuzyakov, Y., & Domanski, G. (2000). Carbon input by plants into the soil. Review. Journal of Plant Nutrition and Soil Science, 163(4), 421-431. DOI: 10.1002/1522-2624(200008)163:4<421::AID-JPLN421>3.0.CO;2-R
Lal, R., Kimble, J. M., Levine, E., & Whitman, C. (1998). Towards improving the global database on soil carbon. In R. Lal, J. M. Kimble, E. Levine, & B. A. Stewart (Eds.), Soils and Global Change (pp. 343-436). Boca Raton, Florida: Lewis Publishers.
Lu, M., Zhou, X. H., Luo, Y. Q., Yang, Y. H., Fang, C. M., Chen, J. K., & Li, B. (2011). Minor stimulation of soil carbon storage by nitrogen addition: a meta-analysis. Agriculture, Ecosystems & Environment, 140(1/2), 234-244. DOI: 10.1016/j.agee.2010.12.010
Martínez, M. C., López, L., Muries, B., Muñoz, O., & Carvajal, M. (2009). Climate change and plant water balance. The role of aquaporins. In E. Lichtfouse (Ed.), Climate Change, Intercropping, Pest Control and Beneficial Microorganisms. Sustainable Agricultural Reviews, 2 (pp.71-89). Espinardo, España: Springer.
Medina, M., Velásquez, J. O., & Pinzón, L. M. (2012). Aliso en Simbiosis Dual con Frankia y Endomicorrizas y Respuesta a Boro en un Andisol. Revista Facultad Nacional de Agronomía Medellín, 65(1). Recuperado de https://revistas.unal.edu.co/index.php/refame/rt/printerFriendly/30774/38187
Mota, C., Alcaraz, C., Iglesias, M., Martínez, M. C., & Carvajal, M. (2010). Investigación sobre la absorción de CO2 por los cultivos más representativos de la región de Murcia. LESSCO2, 1-41. Recuperado de http://www.lessco2.es/pdfs/noticias/ponencia_cisc_espanol.pdf
Neal, J., Eldridge, S., Fulkerson, W., Lawrie, R., & Barchia, I. (2013). Differences in soil carbon sequestration and soil nitrogen among forages used by the dairy industry. Soil Biology & Biochemistry, 57, 542-548. DOI: 10.1016/j.soilbio.2012.09.019
Olson, J. S. (1963). Energy stores and the balance of producers and decomposers in ecological systems. Ecology, 44, 322-31.
Paul, E. A. (2016). The nature and dynamics of soil organic matter: Plant inputs, microbial transformations, and organic matter stabilization. Soil Biology & Biochemistry, 98, 109-126. DOI: 10.1016/j.soilbio.2016.04.001
R Core Team (2016). The R Project for Statistical Computing. Vienna, Austria. Recuperado de https://www.R-project.org
Rasse, D. P., Rumpel, C., & Dignac, M. F. (2005). Is soil carbon mostly root carbon? Mechanisms for a specific stabilisation. Plant and Soil, 269(1/2), 341-356. DOI: 10.1007/s11104-004-0907-y
Rutledge, S., Wall, A. M., Mudge, P. L., Troughton, B., Campbell, D. I., Pronger, J., & Schipper, L. A. (2017). The carbon balance of temperate grasslands part I: The impact of increased species diversity. Agriculture, Ecosystems & Environment, 239, 310-323.
Sanderman, J., Fillery, I. R. P., Jongepier, R., Massalsky, A., Roper, M. M., Macdonald, L. M., … Baldock, J. A. (2013). Carbon sequestration under subtropical perennial pastures I: Overall trends. Soil Research, 51(8), 760-770.
Schlonvoigt, A., Chesney, P., Schaller, M., & Kanten, R. (2000). Estudios ecológicos de raíces en sistemas agroforestales. Costa Rica: Centro Agronómico Tropical de Investigación y Enseñanza - CATIE. Recuperado de http://orton.catie.ac.cr/REPDOC/A6694E/A6694E.PDF
Schmitt, A., Pausch, J., & Kuzyakov, Y. (2013). Effect of clipping and shading on C allocation and fluxes in soil under ryegrass and alfalfa estimated by 14 C labelling. Applied Soil Ecology, 64, 228-236. DOI: 10.1016/j.apsoil.2012.12.015
Sierra, J. O. (2017). Aforo del rendimiento de follaje consumible para el cálculo de la carga inicial y ajuste periódico de la carga animal en el pastoreo rotacional. En J. O. Sierra (Ed.), Aprovechamiento racional y utilización de pasturas y cultivos forrajeros en el trópico (pp. 318-343). Medellín, Colombia: Universidad Nacional de Colombia.
Silva, A., Gómez, A., Landazury, B., & Preciado, B. (2013). Evaluación de gases de efecto invernadero (GEI) en sistemas ganaderos asociados con pasto kikuyo (Pennisetum clandestinum Hoechst. ex Chiov). Revista Colombiana de Ciencia Animal, 6(1), 36-43.
Silver, W. L., & Miya, R. K. (2001). Global patterns in root decomposition: comparisons of climate and litter quality effects. Oecologia, 129, 407-419.
Skerman, P. J., & Riveros, F. (1990). Tropical grasses. Roma, Italia: FAO.
Steinfeld, H., Gerber, P., Wassenaar, T., Castel, V., Rosales, M., & de Haan, C. (2006). La larga sombra del ganado, problemas ambientales y opciones. Roma, Italia: FAO . Recuperado de http://www.fao.org/3/a-a0701s.pdf
Walkley, A., & Black, I. A. (1934). An examination of the Degtjareff method for determining soil organic matter, and a proposed modification of the chromic acid titration method. Soil Science, 37(1), 29-38.
Whiteman, P. C. (1980). Tropical Pasture Science. Oxford, United Kingdom: Oxford University Press.
Wieder, R. K., & Lang, G. (1982). A critique of the analytical methods used in examining decomposition data obtained from litter bags. Ecology, 63, 1636-1642.
Yaranga, R. M., & Custodio, M. (2013). Almacenamiento de carbono en pastos naturales altoandinos. Scientia Agropecuaria, 4(4), 313-319.
Zhang, D., Hui, D., Luo, Y., & Zhou, G. (2008). Rates of litter decomposition in terrestrial ecosystems: global patterns and controlling factors. Journal of Plant Ecology, 1(2), 85-93.