Artículo
Modelación del efecto de la reproducción colonial de Bubulcus ibis (Aves: Ardeidae) en el flujo de biomasa y energía de los manglares costeros
Modeling the effect of colonial breeding in Bubulcus ibis (Aves: Ardeidae) on biomass and energy flows of coastal mangrove
Modelación del efecto de la reproducción colonial de Bubulcus ibis (Aves: Ardeidae) en el flujo de biomasa y energía de los manglares costeros
Revista de Biología Tropical, vol. 67, núm. 4, 2019
Universidad de Costa Rica
Recepción: 09 Octubre 2018
Recibido del documento revisado: 04 Marzo 2019
Aprobación: 26 Junio 2019
RESUMEN
Introducción: Las colonias de aves zancudas alcanzan miles de nidos densamente agrupados, que influyen marcadamente sobre las características del suelo o el agua que las rodea por un efecto de hiperfertilización. Esto provoca la acumulación nociva de compuestos nitrogenados, alterando la química del sustrato y produciendo defoliación y muerte de la vegetación. El impacto de estas colonias en los manglares de Cuba no se ha evaluado, por las dificultades logísticas que implica y la complejidad de sus procesos. Objetivo: En el presente trabajo se realizó la estimación de las cantidades de biomasa, energía y nutrientes movilizados en una colonia de Bubulcus ibis, durante una etapa de cría, a través de un modelo bioenergético de dinámica de sistemas. Métodos: Se emplearon 29 variables primarias, 3 ecuaciones bioenergéticas y la ecuación de crecimiento postnatal de esta especie, implementadas en el programa STELLA 9.1.3. De la interacción de estas variables se obtuvieron: la energía requerida por ciclo de reproducción, la biomasa consumida y los nutrientes depositados en la colonia. Se realizó un análisis de sensibilidad y un análisis de incertidumbre para explorar las variables que más influencia tienen sobre los resultados. El modelo fue validado mediante la consistencia en las unidades, la prueba de valores extremos y la comparación con valores registrados en la literatura. Finalmente, se simularon escenarios de disturbios que pueden afectar a una colonia real. Resultados: Según el modelo, para el crecimiento cada pichón requiere de 10 219.2 kcal totales. La colonia debe invertir en total 6.71x106 kcal, lo que representa un consumo cercano a 2.2 toneladas de presas en una etapa de cría. Debido a este consumo, los nutrientes depositados en la colonia mediante las excretas estuvieron compuestos de 49 kg de nitrógeno, 7 kg de fósforo y 56 kg de calcio. Según el análisis de sensibilidad, las variables que producen cambios más fuertes en el resultado son el número de adultos de la colonia y el tamaño medio de puesta. El análisis de incertidumbre mostró poca influencia de las variables seleccionadas sobre las variables respuesta. Los disturbios simulados más dañinos para la colonia fueron las afectaciones al reclutamiento y el aumento de la mortalidad de los pichones.
Palabras clave: guanotrofia+ bioenergética+ aves acuáticas+ humedales.
Abstract
Introduction: The colonies of wading birds reach thousands of highly grouped nests, which have a marked influence on the characteristics of the soil or the water that surrounds them due to a hyperfertilization effect. This causes the harmful accumulation of nitrogen compounds altering the chemistry of the substrate and causing defoliation and death of vegetation. The impact of these colonies on the mangroves in Cuba has not been evaluated, due to the logistical difficulties involved and the complexity of their processes. Objective: Mathematical modeling is a useful tool in these situations, so in this work the estimation of the quantities of biomass, energy and nutrients mobilized in a colony of herons was carried out, through a bioenergetic model of system dynamics. Methods: We used 29 primary variables, 3 bioenergetic equations and the postnatal growth equation of this species, implemented in the STELLA 9.1.3 program. From the interaction of these variables, the energy required by the reproduction cycle, the biomass consumed and the nutrients deposited in the colony were obtained. A sensitivity analysis and an uncertainty analysis were carried out to explore the variables that have the most influence on the results. The model was validated by the consistency in the units, the test of extreme values and the comparison with values recorded in the literature. Finally, disturbances scenarios that can affect a real colony were simulated. Results: According to the model, each nestling require 10 219.2 kcal to growth. The colony must totally invest 6.71x106 kcal, which represents consumption close to 2.2 tons of dams. Due to this consumption, the nutrients deposited in the colony by the excreta were 49 kg of nitrogen, 7 kg of phosphorus and 56 kg of calcium. According to the sensitivity analysis, the variables that produce the strongest changes in the result are the number of adults in the colony and the average clutch size. The uncertainty analysis showed little influence of the variables selected on the response variables. The most harmful simulated disturbances for the colony were the affectations to the recruitment and the increase of the mortality of the nestlings.
Key words: guanotrophy, bioenergetic modelling, waterbirds, wetlands.
Introducción
La estrategia de agruparse densamente durante la fase de cría es una adaptación frecuente entre las aves acuáticas. Existen varias hipótesis para explicar el origen y función de estos agregados reproductivos (Lack, 1968; Ward & Zahavi, 1973; Forbes, 1989) y numerosos estudios se han realizado para describir sus composiciones, estructuras y los parámetros reproductivos de las especies que las conforman (e.g. Burger, 1979; Burger, 1982; Bildstein, 1997). Las colonias de aves zancudas pueden llegar a miles de nidos con altas densidades, de hasta 1.4 nidos/m2 (Telfair, 1983) e influyen marcadamente sobre las características del suelo o el agua que las rodea, al convertirse en sumideros donde se concentra materia orgánica, en forma de heces o cadáveres, proveniente de las áreas de forrajeo de amplias regiones. Sin embargo, poco énfasis se ha hecho en la evaluación de estos impactos sobre los ecosistemas (e.g. Stinner, 1983; Powell & Powell, 1986; Arendt & Arendt, 1988; Bildstein, Post, Johnston, & Frederick, 1990; Frederick & Powell, 1994).
En los sitios de ubicación de las colonias de aves acuáticas se produce un efecto marcado de hiperfertilización, que trae varias consecuencias al ecosistema, entre ellas que aumenta la productividad de los manglares, usualmente limitada por la disponibilidad de nitrógeno (Dusi et al., 1971; Onuf, Teal, & Valiela, 1977; Allaway & Ashford, 1984), o que influyen en los pastos marinos de sus alrededores que tienden a ser más densos y diversos (Powell, Fourqurean, Kenworthy, & Zieman, 1991), con concentraciones incrementadas de fitoplancton (Golovkin & Garkayaya, 1975). Pero la acumulación excesiva de compuestos nitrogenados en el sustrato, producto de la filopatría de muchas especies puede llegar a ser nociva y a alterar las condiciones bioquímicas del sustrato (Baxter & Fairweather, 1994) al punto de producir la defoliación y muerte de la vegetación. A mediano plazo, este efecto hace inviables estos lugares para la cría y las obliga a buscar nuevos sitios produciendo un nomadismo característico (Telfair, 1983; Horton, 1999). De forma natural, en relativamente poco tiempo, la dinámica hídrica del humedal lava el suelo y se recupera la vegetación, hasta que la colonia regresa y se repite el ciclo.
En Cuba, los manglares son la segunda formación boscosa natural en cuanto a extensión, al abarcar el 4.8 % de la superficie del país, y concentran la quinta parte de las reservas maderables del país. Varios estudios han descrito sus características estructurales, productividad, dinámica (Menéndez et al., 2000; Menéndez & Guzmán, 2006) y la ornitofauna asociada (ej. Denis, Rodríguez, Rodríguez, Jiménez, & Ponce de León, 2002; Blanco & Sánchez, 2006; Denis, 2006). Estos ecosistemas están entre los más amenazados del planeta y se estima que solo en el siglo pasado perdieron más de la mitad de su extensión original (Alongi, 2008); sin embargo, pocos trabajos se han enfocado en la relación funcional con la reproducción de las aves coloniales (Denis & Rodríguez, 2006). Doce especies de aves acuáticas forman, anualmente, colonias en los manglares costeros cubanos, y de estas, la especie con poblaciones más numerosas es Bubulcus ibis (Linnaeus, 1758 - Aves: Ardeidae) (cuyos nombres comunes más usados son Garza Ganadera, Bueyera o Garrapatera).
Bubulcus ibis, originaria de África, ha tenido dinámicas transformaciones demográficas bien documentadas en el último siglo (Crosby, 1972; Arendt, 1988; Telfair, 1993). Es una especie de alimentación oportunista y variada, que se ha convertido en una de las más abundantes e importantes económicamente por su asociación a los agroecosistemas (Burns & Chapin, 1969; Hanebrink, 1971; Fogarty & Hetrick, 1973). En Cuba cría desde la década de 1950 (Smith, 1958) y su periodo de cría se extiende desde abril hasta finales de octubre (Denis, Mugica, Acosta, & Torrella, 1999; Denis & Alonso, 2011) y las colonias, monoespecíficas o asociadas a otras especies de garzas, se distribuyen a lo largo de todo el país. Es una especie bien estudiada respecto a su ecología trófica y reproductiva (Siegfried, 1972; Telfair, 1983; Rodgers, 1987), pero su impacto en el funcionamiento de los ecosistemas aún permanece poco estudiado.
La evaluación del impacto de las poblaciones de aves sobre los ecosistemas es de difícil estudio por las dificultades logísticas que implica y la complejidad de sus procesos. Los mayores avances en este sentido se han desarrollado a partir de modelos bioenergéticos que emplean ecuaciones alométricas de las tasas metabólicas asociadas al peso corporal de los individuos (Kahl, 1962; Kushlan, 1977; Brzorad, Maccarone, & Conley, 2004; Chipps & Wahl, 2008). La Teoría Metabólica de la Ecología predice cómo las tasas metabólicas controlan todos los procesos ecológicos en todos los niveles de organización, desde individuos a biosfera, a través del ajuste de las tasas de extracción de recursos del hábitat y su utilización para garantizar la supervivencia, crecimiento y reproducción (Brown, Gillooly, Allen, Savage, & West, 2004). Esta teoría provee una base conceptual para gran parte de la Ecología, y se operacionaliza a través de un amplio conjunto de ecuaciones predictivas, desarrolladas en condiciones controladas, a partir de la evaluación del consumo de oxígeno o producción de CO2 como formas de cuantificar el gasto metabólico (Carey, 1996). En los organismos heterótrofos la tasa metabólica depende directamente de la biomasa individual (Kendeigh, Dol'nik, & Govrilov, 1977). Por ello, partir de ecuaciones alométricas desarrolladas en amplios conjuntos de especies se pueden estimar los consumos de biomasa requeridos por los individuos para el desarrollo de sus funciones vitales y tener una idea del flujo de energía en las poblaciones naturales.
Varios estudios de modelación matemática se han desarrollado con las poblaciones de aves acuáticas. Morales & Pacheco (1986) calcularon el efecto de diques en llanuras inundables de Venezuela sobre el flujo de energía y minerales a través de las aves acuáticas. Son de resaltar los trabajos sobre el Gavilán Caracolero (Rostrhamus sociabilis) en los Everglades de la Florida y en Cuba (Mooij, Bennetts, Kitchens, & DeAngelis, 2002; Denis & Rodríguez-Ochoa, 2017) y los modelos bioenergéticos sobre poblaciones de aves marinas en el golfo de St. Lawrence (Bedard, Therriault & Berube, 1980; Cairns, Chapdewne, & Montevechi, 1991). Weseloh y Casselman (1992) usaron un modelo bioenergético para estimar el consumo de peces por la Corúa de Mar (Phalacrocorax auritus) en el lago Ontario, y Madenjlwc y Gabrey (1995) modelaron la depredación de peces en el lago Erie por las aves acuáticas residentes. En relación con las colonias de nidificación de aves acuáticas, es de resaltar el trabajo de Wolff (1994) quien implementa un modelo descriptivo basado en individuos.
En Cuba existen numerosas publicaciones sobre la reproducción de aves acuáticas coloniales (e.g. Blanco, Peris, & Sánchez, 2000; Denis, 2011; Antúnez & Denis, 2013; Fortes & Denis, 2013) pero los estudios siempre han tenido un enfoque descriptivo analítico y se han centrado en los parámetros reproductivos de especies individuales. Solo dos trabajos se han realizado enfocados en la bioenergética del proceso de la reproducción empleando modelación matemática: en uno se describe el consumo de energía y biomasa durante el crecimiento de los pichones de garzas (Denis, 2015) y en el otro se evalúa el consumo de energía asociado a la reproducción del Gavilán Caracolero Rostrhamus sociabilis (Denis & Rodríguez-Ochoa, 2017). Dada la importancia de la comprensión de la dinámica de los ecosistemas costeros para su uso sostenible y conservación, se hace necesario el esclarecimiento del papel de las poblaciones de aves sobre sus ciclos de nutrientes. El análisis de estos procesos naturales de eutrofización puede ayudar a esclarecer los mecanismos naturales de recuperación y a comprender la compleja dinámica de los manglares.
El presente trabajo se propone como objetivo la estimación de las cantidades de biomasa, energía y nutrientes que movilizan las garzas ganaderas desde las áreas de forrajeo hacia las áreas de anidación en los manglares costeros, a través de la modelación matemática del proceso reproductivo colonial desde el punto de vista bioenergético. De esta forma, se puede aproximar una evaluación de la magnitud de su impacto en el ecosistema de manglar y simular distintos escenarios de perturbaciones o manejos sobre esta dinámica. Para cumplir este objetivo, se diseñó el modelo de dinámica de sistemas llamado CAEG-1, que simula la productividad y las fases de la reproducción en una colonia de Bubulcus ibis y se estimaron la magnitud de los consumos de biomasa y movimientos de energía y nutrientes durante la reproducción.
Materiales y Métodos
Descripción del modelo matemático: El modelo para simular el consumo de biomasa y energía por una colonia de Bubulcus ibis fue confeccionado en el programa STELLA v9.1.3. (System Thinking Educational Learning Laboratory with Animation). Este programa permite la modelación de sistemas dinámicos empleando una interfaz gráfica basada en diagramas de flujo, compuestos de cuatro componentes principales: reservorios, flujos, convertidores (variables auxiliares) y conectores. Los reservorios, representados como rectángulos, permiten acumular valores y representan las variables de nivel. Los flujos, representados como llaves, controlan la entrada y salida de cantidades a los reservorios, y contienen las ecuaciones matemáticas. Los convertidores, representados como círculos, permiten la introducción de cantidades, constantes o variables, que se emplean en las ecuaciones de los flujos. Finalmente, los conectores, representados como flechas, permiten la unión funcional entre los otros componentes y representan el flujo de información.
Para la confección del modelo se utilizaron 29 variables primarias (Tabla 1), cuyos valores de calibración se obtuvieron de la literatura y de datos de campo tomados en la colonia de Cayo Norte, ciénaga de Birama, Cuba, entre los años 1998 y 2006 (ver la descripción de la localidad en Denis, 2001). A partir de la interacción de las variables primarias, de tres ecuaciones bioenergéticas y de la ecuación de crecimiento corporal de la Garza Ganadera con los parámetros descritos por Denis (2011), se calcularon 81 variables intermedias. Las variables de salida fundamentales fueron las cantidades de biomasa y de energía movilizadas en total durante el ciclo reproductivo, la biomasa consumida diariamente y las excretas depositadas en la colonia, desglosando su contenido total en los aportes en tres nutrientes inorgánicos básicos: calcio, nitrógeno y fósforo. La composición del excremento se tomó de Frederick y Powell (1994) (15 % de calcio, 13 % de nitrógeno y 1.9 % de fósforo).

El modelo comenzó con la simulación de la dinámica de reclutamiento de parejas en la colonia, según un tamaño poblacional dado como variable de entrada (se utilizó por defecto una colonia de 300 nidos) y asumiendo una curva de reclutamiento aproximadamente gaussiana. Luego se simuló el paso de los individuos adultos por las fases principales del proceso reproductivo: construcción del nido, puesta, incubación y cuidado de pichones. Esta parte del modelo emplea como entrada las cantidades diarias de aves reclutadas, e informa diariamente la cantidad total de individuos en cada fase teniendo en cuenta las duraciones de cada etapa según aparece en la literatura (Tabla 1). Además, emplea como variables de entrada el tamaño de puesta, cuya variabilidad es simulada a partir del valor medio y su desviación estándar, y las probabilidades de supervivencia diaria (PSD) que permiten estimar las pérdidas por cada etapa. Este último indicador fue empleado con valores distintos según fuera el caso: con los estimadores a nivel de nido con huevos o con pichones -para calcular la cantidad de adultos en cada momento según los nidos activos- y a nivel de huevo o pichón individual, para calcular las pérdidas y la productividad final.
Los valores de PSD fueron asumidos de 0.99 y 0.995 para nidos con huevos y pichones respectivamente, y de 0.98 y 0.986 para huevos y pichones. Aunque existen estimados reales de este parámetro en la literatura para Cuba (Denis, 2001; 2011), se decidió no emplearlos porque todos los casos provenían de estudios en colonias con mortalidades elevadas. Para estimar las duraciones de los periodos de cada fase de la cría a nivel de colonia se simuló por separado, sin tener en cuenta el efecto de la mortalidad, pero para el resto de las modelaciones sí se incluyeron las pérdidas diarias.
La estimación de la energía consumida diariamente por los adultos durante sus actividades diarias se realizó en una segunda sección del modelo (Fig. 1, Energía requerida por adultos), a partir de la tasa metabólica de campo (FMR) (Kendeigh et al., 1977; Nagy, 1987), cuyo cálculo emplea como variable de entrada el peso del animal, según la siguiente ecuación:
FMR (kcal/día) = 1.146 * Pesoadulto0.749
En esta sección, un pequeño submodelo constituido por cinco convertidores se utilizó para estimar los gastos energéticos diarios de los adultos al realizar los vuelos para buscar alimentos fuera de la colonia, ya que estos movimientos no están plenamente recogidos en la tasa metabólica de campo. Para esto se emplearon como variables de entrada las distancias de vuelos entre colonia y áreas de forrajeo y el número de vuelos realizados para alimentar al pichón en un día; además, se empleó la ecuación dada por Kendeigh et al. (1977) para estimar el costo energético del vuelo:
Costo energético del vuelo (kcal/km) = 0.0252 * (Pesoadulto0.47)
Estos requerimientos energéticos diarios permiten calcular el consumo de energía diario de los adultos en las tres fases de la cría: anidantes, incubantes y con pichones, estimándose el valor de energía total empleada por todos los adultos de la colonia en la realización de sus actividades diarias.

Se agregó un término que representa un pequeño incremento en la tasa metabólica de campo (0.1 %) por el posible esfuerzo para el enfriamiento de los huevos, ya que en condiciones tropicales es el exceso de calor más que el frío el que impone gastos adicionales. Esta es una aproximación a priori, ya que se ha planteado en la literatura, que proviene en su mayoría de zonas templadas, que en las aves que no desarrollan parche de incubación la actividad de incubar los huevos en condiciones termoneutrales prácticamente no consume más energía que la requerida para el mantenimiento de las actividades diarias (Ricklefs & Hussell, 1984), pero su efecto real no ha sido estudiado a profundidad, aunque el consenso es que el gasto por esta causa es muy inferior al de las demás etapas de la reproducción (Williams, 1996).
Las cantidades totales de huevos y pichones producidos (Fig. 1, Productividad) y las pérdidas, se estimaron con un submodelo que utilizó como variable de entrada el tamaño de puesta simulado, comienzo de la puesta de los huevos, el éxito de eclosión (que se tomó de 0.962) y las probabilidades de supervivencia diaria a nivel de huevo o pichón.
La energía contenida en los huevos se estimó utilizando sus dimensiones externas, su densidad y contenido calórico. Para ello se calculó el volumen por la fórmula de Hoyt (1979) con los coeficientes corregidos para la especie por Denis, Olavarrieta y Andraca (2008).
En un modelo aparte se simuló el crecimiento de un pichón a través de la ecuación de crecimiento de Gompertz de cuatro parámetros, con los valores estimados por Denis (2011) y la talla asintótica adulta dada por Jiménez, García-Lau, González, Mugica y Acosta (2014) para las poblaciones cubanas:
Peso diario (g) = Pesoeclosión+ (Pesoadulto-20.5) * e(-e(b-k*Tiempo))
Para simular la variabilidad individual, se generaron cada día distribuciones aleatorias de las variables peso al eclosionar y peso adulto, empleadas en estas fórmulas, a partir de los valores medios y sus desviaciones estándares (que fueron las variables de entrada al modelo). En este modelo se calculó el requerimiento medio de energía y su variabilidad durante el periodo completo de crecimiento (hasta los 130 días), a partir de 50 simulaciones. Durante este proceso se calculó la Tasa Diaria de Ingestión de Alimento (FIR, por sus siglas en inglés):
FIR (g/día) = 0.301 * Pesopichón0.751
Con esa ecuación se calculó la energía consumida por el pichón en su crecimiento (ECP), como:
ECP (kcal/día) = FIR * Contenido energético del alimento del pichón (kcal/g)
Finalmente, aparecen dos secciones en el modelo principal que integran lo calculado en las secciones anteriores (Fig. 1, Requerimientos y consumos y Producción de excretas), haciéndose un estimado total de la energía requerida, uniendo la requerida por los adultos, la depositada en los huevos y la requerida por los pichones en su crecimiento. A partir de estos valores totales de energía, empleando una tasa de asimilación del alimento (asumida en 0.8 % según Cairns et al., 1991), la densidad energética de las presas y su contenido de agua (insectos: 5.5 kcal/g, 70 % de agua; Siegfried, 1969), se estimó la equivalencia del requerimiento energético en términos de biomasa consumida. Los valores de consumo energético son utilizados para estimar la cantidad de excretas que deben ser depositadas en el hábitat de nidificación por todas las aves de la colonia, a partir de la porción no metabolizada de esta energía consumida (21 %; Frederick & Powell, 1994) y el contenido energético por peso seco de excretas.
La última sección del modelo estimó las cantidades de fósforo, nitrógeno y calcio que son depositados en la colonia, utilizando como variable de entrada el valor de la producción diaria total de excretas (Fig. 1, Nutrientes movilizados).
Supuestos del modelo: El modelo desarrollado debe asumir varios aspectos en aras de lograr una generalidad suficiente. En primer lugar, asume una completa separación de las fases; es decir, se culmina primero la construcción de los nidos para poder pasar a la puesta, después de terminada esta es que se pasa a la eclosión y así sucesivamente. También se considera que la salida de la colonia ocurre cuando los pichones se vuelven independientes o se dispersan fuera del perímetro colonial. No tiene en cuenta los fenómenos de reposición de huevos perdidos ni de construcción de nuevos nidos si se destruye la nidada. La mortalidad solo se evalúa durante la incubación y durante el periodo de dependencia de los pichones. Se asume también que todos los adultos construyen nuevos nidos y no se tiene en cuenta el reúso de nidos viejos de temporadas reproductivas anteriores.
En algunos casos, como vía de aproximación a la variabilidad natural de ciertos parámetros se estiman valores diarios a partir de distribuciones gaussianas alrededor de sus valores medios y desviaciones estándares. Sin embargo, este procedimiento genera valores que se aplican a toda la cohorte de elementos que entran a los reservorios en ese día, cuando realmente deberían ser variables a nivel individual (como pudiera implementarse si fuese un modelo basado en individuos). Este sesgo, que subestima la variabilidad, se asume ante la ausencia de otra vía para simularla en este tipo de modelo de flujo y teniendo presente que la alternativa de considerar las variables con valores fijos es aún menos realista.
Las mortalidades en nidos, huevos y pichones, calculadas a partir de las PSD, asumen un comportamiento constante de este parámetro a lo largo del periodo considerado. En el modelo se asume también que la fracción de excretas entre los sitios de forrajeo y descanso es directamente proporcional al tiempo de permanencia en cada uno, sin diferencias horarias en su tasa de deposición. Se ignoran las diferencias intranidada en los patrones de crecimiento y tallas de los pichones hermanos, que puede ser bastante marcada (Denis, 2016).
Validación del modelo, análisis de sensibilidad y de incertidumbre: La validación de este tipo de modelo siguiendo el método más frecuente de comparar los resultados simulados con datos conocidos es imposible. Por esta razón, se utilizó como acercamiento la comprobación de la consistencia en las unidades, la prueba de valores extremos y la comparación con otros valores registrados en la literatura.
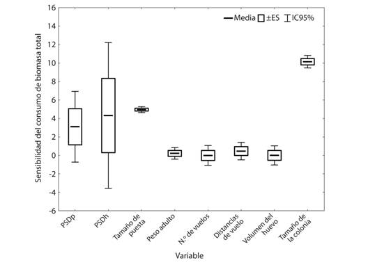
El análisis de sensibilidad se efectuó para identificar puntos de influencia, que son aquellos componentes del modelo que producen grandes variaciones en las variables de respuesta con pequeños cambios en sus valores de entrada. Estos componentes pueden ser puntos de apalancamiento del sistema en estudio y reflejar importancia biológica o convertirse en focos para el manejo conservacionista de las colonias. Las variables seleccionadas para este análisis fueron la cantidad de individuos adultos, el volumen de los huevos, las distancias de vuelo, el número de vuelos para alimentar a las crías, el peso del adulto, el tamaño de puesta y las probabilidades de supervivencia diaria de huevos y pichones. Los valores de cada una de estas variables se modificaron secuencialmente a intervalos de 10 % de su valor original, entre el valor mínimo registrado para la especie y el empleado en el modelo original, manteniendo el resto de los componentes constantes. Como variables de respuesta se emplearon la biomasa total consumida y el total de excretas producidas durante un período de simulación de 150 días, para los cuales se tomaron los valores promedios de 20 simulaciones.
Como en el modelo hubo que utilizar algunas constantes fisiológicas tomadas de la literatura a partir de aproximaciones con otros grupos de especies de aves y otras localidades, para las cuales no existe certidumbre de su adecuación o impacto en los resultados del modelo al no existir estimados más precisos, se realizó un análisis de incertidumbre. Este análisis se enfoca en inducir variabilidad en estas constantes para evaluar si el aporte de su variación induciría cambios significativos en la variación final del resultado global del modelo. Se tomaron las constantes: Contenido calórico del huevo, Densidad media de los huevos, Tasa de asimilación de alimento, Densidad energética de las presas y Contenido de agua de las presas, y se les generó una variación normal equivalente al coeficiente de variación del resultado del modelo inicial. Para evaluar su efecto, para cada constante con la variabilidad inducida se hicieron 10 conjuntos de 10 simulaciones cada uno y se calculó el coeficiente de variación de las variables globales de respuesta (biomasa total consumida y excretas totales producidas por la colonia).
Escenarios simulados: Los resultados generales fueron obtenidos para cuatro tamaños de colonias: colonias pequeñas (20 nidos), colonias medianas (50 nidos), colonias grandes (300 nidos) y colonias muy grandes [8 000 nidos, mínimo estimado por Denis (2001) en la colonia de Cayo Norte, Birama, Cuba]. Para obtener las tendencias generales de las variables de salida y capturar el efecto de la variabilidad de los parámetros aleatorios incluidos en su estructura, el modelo fue ejecutado 40 veces en cada escenario y los resultados fueron promediados.
Por último, algunos parámetros del modelo fueron modificados para evaluar un entorno de disturbio antropogénico que pudiera afectar a la colonia, como sucede en la realidad (Klein, 1993; Denis, Rodríguez, Rodríguez, & Torrella, 2006). Para ello se utilizaron variables que se saben pueden ser afectadas por estos disturbios y se llevaron a valores extremos para evaluar cómo cambiaban las variables de respuesta. Los escenarios incluyeron un aumento de la mortalidad de pichones (por afectación de la PSDp en un corto periodo de tiempo intermedio), la afectación del tamaño de la colonia (por un disturbio en sus inicios que provoca la disminución o interrupción del reclutamiento de parejas en un momento intermedio) y el aumento súbito de las distancias de vuelo para alimentar a las crías (afectaciones del hábitat de forrajeo). Finalmente, se simularon eventos de extracción de huevos en la colonia por los pobladores locales (lo cual sucede con cierta frecuencia en varias localidades, para el consumo humano) (Denis, 2001). Ante estos eventos se evaluó la magnitud de cambio de las variables respuestas del modelo para poder hacer un estimado del efecto de la intensidad del disturbio.
Resultados
Según el modelo, una colonia de 300 nidos de Bubulcus ibis se debe mantener en actividad durante 115 a 129 días, entre los cuales el número de nidos activos por día sigue una dinámica de tres fases: un crecimiento sigmoideo inicial, una meseta donde se estabiliza el número de nidos totales y una fase final decreciente (Fig. 2A). El crecimiento inicial se logra por la acumulación de los nidos que siguen a un reclutamiento de comportamiento aproximadamente normal, que da lugar a nidos en construcción y puesta durante un promedio de 43 días, que luego pasan a las fases de incubación y cuidado de pichones, que son las de mayor duración en el tiempo y que producen la fase de meseta relativamente estable. Al incluir la eliminación de los nidos que se van perdiendo durante el ciclo de cría, la dinámica se mantiene, solo que las fases de mesetas adoptan tendencias decrecientes y la curva de nidos con pichones se torna mesocúrtica (Fig. 2B).

El periodo de puestas comienza con pocos días de diferencia del inicio de la colonia, y se extiende alrededor de 41 días (mínimo, min. 34; máximo, máx. 46) (Fig. 3A). Entre simulaciones, la duración de este periodo tiene mayor variabilidad que la fase previa de construcción, debido a que está afectado por la asincronía entre puestas y, por tanto, depende del tamaño de las nidadas que no es constante. La incubación comienza desde los primeros huevos, entre tres y cinco días de iniciada la colonia, y se extiende entre nueve y diez semanas (61-68 días), con los nidos más tardíos extendiéndose hasta 74 días. El periodo más extenso es el de cuidado de los pichones, que se inicia con los primeros pichones que nacen, alrededor del mes de iniciada la colonia, y se extiende por 78 - 94 días, hasta que los pichones se independizan. La duración del periodo total de actividad de los nidos depende directamente del tamaño de las colonias pero no se comporta de forma lineal, sino que se estabiliza en un ámbito de 138 días (19-20 semanas) para las colonias superiores a los 1 000 nidos (Fig. 3B).

Las tasas metabólicas individuales de los adultos de garzas ganaderas heredan la variabilidad asociada a los pesos corporales, que son la única variable de la ecuación alométrica empleada para su estimación; en una muestra de 1 050 individuos simulados de forma independiente al modelo de la colonia, promedian 89.2 ± 7.36 kcal diarias, aunque el 95 % de los casos se encuentran entre 74.0 y 106.2 kcal (Fig. 4).

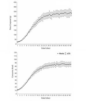
El submodelo desarrollado para la estimación del consumo de biomasa y energía durante el crecimiento de los pichones mostró la dinámica sigmoidea típica de incremento del peso (Fig. 5A). A cada masa diaria le correspondió un consumo energético equivalente que comenzó con 11.8 ± 1.4 kcal hasta alcanzar valores cercanos a los de adultos luego de 35 días de edad (Fig. 5B). La sumatoria de los consumos diarios en 50 simulaciones del crecimiento rindió un valor promedio de 10 219.2 ± 76.4 kcal totales necesarias para que cada pichón pueda sobrevivir este proceso hasta 50 días.

Una colonia de 300 nidos de esta especie, según el modelo desarrollado, se espera que produzca entre 524 y 809 huevos, de los cuales se perderían entre 206 y 318 durante la incubación, para dar una producción de 416 pichones como promedio, luego de una eclosión con el porcentaje de éxito empleado en la simulación (Tabla 2). De estos, con las tasas de supervivencia implementadas en el modelo, sobrevivirían alrededor del 54 %. El parámetro de productividad más variable fue la pérdida de pichones, con un 10.75 % de coeficiente de variación. Como era de esperar, las productividades tienen una relación directa con el tamaño de la colonia y así lo demuestran las simulaciones efectuadas para colonias de 50, 100 y 1 000 nidos (Fig. 6).


La simulación de la colonia de 300 nidos rindió un estimado de entre 26.8 y 31.8 kg de biomasa de presas consumidas por cada nido durante todo el proceso de cría (Tabla 3). La tasa metabólica diaria de cada adulto se estimó que podía satisfacerse a partir del consumo de entre 42-48 g de presas. Todos los componentes de la colonia, durante un ciclo reproductivo, se estimó que debieron consumir para satisfacer sus requerimientos metabólicos básicos un promedio de 6.71 ± 0.22 x 106 kcal, que están almacenadas en alrededor de 2.2 ton de presas. Esto es equivalente a una inversión general de 9.6 kg de presas por cada pichón exitoso resultante de la colonia.

Este consumo estimado de biomasa de presas y energía es extraído de los ecosistemas que rodean las colonias en un radio aproximado al radio de vuelo de la especie y debe resultar en un promedio de 7.22 ± 0.07 g diarios de peso seco de excretas por cada adulto durante el periodo de cría (Tabla 4). Estos valores extrapolados a la colonia producen un estimado de entre 289 y 644 kg de peso seco de heces depositadas en el área de anidación. Teniendo en cuenta las proporciones de los componentes registrados en la literatura, esta masa equivale a un promedio de 48.8 ± 15.1 kg de nitrógeno adicionado al suelo, 7.1 ± 2.2 kg de fósforo y 56.3 ± 17.5 kg de calcio. La variabilidad de la producción de excretas fue alta, superior al 31 %. Esto valores equivalen a que cada nido aporta diariamente entre 10 y 19 g (promedio de 14.4 g/día) de peso seco de heces, que rinden un promedio de heces en la colonia de alrededor de 2 kg diarios hiperfertilizando el sustrato.

El análisis de sensibilidad realizado sobre las variables más importantes del modelo mostró que las variables que, proporcionalmente, producen cambios más fuertes en el resultado del modelo, en términos de consumo de biomasa, son el número de adultos de la colonia en cada momento y el tamaño medio de puesta (Fig. 7). Las probabilidades de supervivencia, tanto de los huevos como de los pichones, mostraron las mayores variaciones en el grado de influencia sobre las variables de respuesta. Estas variables, al cambiar en un 10 % sus valores producen cambios superiores al 15 % de los estimados finales. El peso del adulto, los vuelos de alimentación y el volumen de los huevos fueron variables de muy poca influencia en la variabilidad relativa de los resultados.

La incertidumbre asociada a las constantes asumidas en el modelo mostró que de forma general su influencia en el resultado del modelo no fue marcada (Fig. 8). Las constantes que más pueden alterar el resultado del consumo de biomasa fueron la densidad energética de las presas (coeficiente de variación, CV = 7.7 %) y su contenido de agua (CV = 7.5 %), seguida de la tasa de asimilación (CV = 7.1 %). Las otras constantes aportarían variabilidades menores a 4.5 %. De manera inversa, para la estimación de las excretas las variaciones en la densidad energética de los huevos inducen una variabilidad superior (CV= 7.3 %), seguida por el contenido energético de las heces (CV = 6.7 %), mientras el efecto del resto de las constantes está por debajo del 5 % de variabilidad inducida en la respuesta del modelo.

Los escenarios de disturbios que mostraron los mayores efectos negativos sobre el consumo de biomasa y la producción de heces fueron las afectaciones al reclutamiento de la colonia en la segunda quincena del periodo de actividad y el aumento de la mortalidad de los pichones (Fig. 9). Un disturbio que reduzca en un 10 % el número de parejas que se establecen para anidar en ese periodo disminuye en un 8.2 % el consumo total de biomasa por la colonia. Si la disminución del reclutamiento es de un 20 %, la reducción se duplica y si solo anida la mitad de las parejas que arriban en ese periodo, la reducción final es del 44.7 % del consumo de la colonia.

El aumento de la mortalidad de los pichones produce cambios más drásticos, ya que un incremento del 10 % produce una disminución final del 34.8 % del consumo de la colonia; si se incrementa en un 50 %, el consumo desciende al 45 %. Como una gran parte del consumo de biomasa es dado por los padres, la extracción de huevo no produce un efecto tan marcado en el volumen de biomasa total consumida por la colonia, aunque sí afecta drásticamente su productividad. Así, un único evento de extracción de 50 huevos solo disminuye en un 4 % el consumo final de biomasa, y hasta en cuatro eventos similares la disminución aún permanece por debajo del 9 %. El aumento en las distancias de vuelo, que pudiera ser resultante de una afectación de los sitios de forrajeo cercanos, incluso hasta duplicarse, solo produjeron un aumento de alrededor del 5 % en los consumos de biomasa.
Discusión
Los modelos son representaciones simplificadas de la realidad, por lo que, en principio, no son reales. Aun así, tienen valor exploratorio y explicativo, sobre todo cuando los estudios empíricos no son viables por algún motivo. En el campo de la ecología reproductiva de aves acuáticas coloniales un enorme cuerpo de publicaciones a lo largo del mundo ya se ha producido y contienen información que soporta los intentos de desarrollar simulaciones computarizadas de estos procesos.
La duración de las estaciones de cría en las aves acuáticas coloniales depende, mayormente, de aspectos de la ecología de las especies. Sin embargo, los factores ambientales influyen indirectamente debido a que las aves acuáticas para iniciar la formación de colonias deben utilizar un conjunto de indicadores ambientales aún no totalmente conocidos aunque deben estar involucradas las precipitaciones y la disponibilidad de recursos tróficos (Lack, 1968; Werschkul, 1977). El modelo desarrollado estima una duración de la cría ligeramente superior a lo registrado en colonias cubanas de la ciénaga de Biramas, donde durante cerca de una década B. ibis fue una de las especies de periodos reproductivos más amplios, junto a E. albus y E. tricolor, de entre 14 y 16 semanas cada año (Denis & Alonso, 2011). Los valores de mortalidad de nidos, empleados en la calibración del modelo, posiblemente son los responsables de esta diferencia. La duración obtenida en el modelo puede estar siendo también afectada por otros aspectos no tenidos en cuenta, como la posibilidad de reanidación en parejas que pierden los nidos tempranamente en el inicio de la colonia. Posiblemente tenga una importante influencia en este parámetro la forma de la curva de reclutamiento inicial de parejas, que fue asumida como aproximadamente gaussiana, pero existen evidencias de una asimetría marcada a la derecha, dada por anidantes tardíos y segundas puestas.
La productividad obtenida en el modelo, en relación al número de nidos formados, probablemente esté siendo fuertemente sobreestimada, en relación con las situaciones más frecuentes en las colonias de esta especie, por causa de los valores de probabilidad de supervivencia diaria empleados. Aun así, los estimados de productividad o supervivencia son muy variables geográficamente, desde 14.3 % en Alabama (Dusi & Dusi, 1970) a 97 % en New Jersey (Burger, 1978). Las variabilidades entre años también van desde casi nulas (Rodgers, 1987 en la Florida) hasta cambiar de 56.1 a 82.5 % (Ranglack, Argus, & Marion, 1991 en Alabama). En la literatura, los datos de pérdida de nidos y huevos suele ser muy superior. En 864 nidadas marcadas por Telfair (1983) en Texas entre 1972 y 1974, 168 (19.4 %) perdieron todos los huevos, 154 (17.8 %) uno o más huevos, 12 (1.4 %) fallaron en eclosionar, y 120 (13.9 %) perdieron uno o más huevos por no eclosionar. Estas nidadas tenían un tamaño de puesta promedio de 3.4 huevos por nido (2 940 huevos totales), de los cuales el 23.0 % se perdieron y el 5.9 % fallaron en eclosionar. Por tanto, solo el 71 % de los huevos produjeron pichones (2.42 pichones/nidada). El modelo, con los datos empleados para la calibración, representa una situación muy optimista en la cual solo se pierde entre el 5 % y el 7 % de los huevos. El modelo actualmente presentado, además, no incluye la mortalidad de los individuos adultos, que en las colonias tiende a ser más detectable que en otros momentos del año. Por ejemplo, en una colonia de Texas (Telfair, 1983) con una población de 9 115 individuos, la mortalidad de los adultos en los 187 días de la estación de cría fue estimada en el 1.1 %.
La alta variabilidad en la sensibilidad del modelo ante las probabilidades de supervivencia está dada porque aparece una respuesta no lineal ante los cambios del 10 %. En valores bajos de la variable prácticamente no cambian los estimados de las respuestas, pero cuando el cambio se produce en el intervalo superior de las probabilidades de supervivencias diarias la respuesta es desproporcionada. O sea, una disminución de la PSD original del modelo del 100 % al 90 % afecta muy fuertemente la respuesta, pero las disminuciones entre el 60 % y el 50 % solo producen efectos muy leves a pesar de tener el mismo rango de cambio.
Los requerimientos energéticos diarios individuales de adultos, calculados en el modelo a partir de la tasa metabólica de campo, no pueden ser comparados con valores estimados para esta especie por otros autores, por la notable ausencia de estudios de este tipo. Al compararlos con Egretta thula, especie de masa corporal similar (375.5 g), se observa que los de Bubulcus ibis fueron inferiores (373 kJ/día vs 472 kJ/día) (Master, Frankel, & Russell, 1993). El requerimiento energético diario de Eudocimus albus, otra zancuda de masa superior (819.5 g), se ha estimado en alrededor de 677.8-686.2 kJ/día (Stinner, 1983; Bildstein, Blood, & Fredtirick, 1992). En el modelo no se tiene en cuenta el dimorfismo sexual en masa de B. ibis [Hembras: 330.0 ± 19.4 g (número de casos, n = 7) y machos: 363.7 ± 17.5 g (n = 10), datos no publicados] cuyo impacto en el consumo requerido de alimentos aún debe ser estudiado.
Es aceptado generalmente que la época de cría es la etapa del año de mayor demanda energética en las aves (Drent & Daan, 1980), pero los consumos de energía en cada periodo de la reproducción están formados por diferentes procesos y no todos han recibido la misma atención, por ello son muy difíciles de estimar con alta precisión. El consumo de alimento debe compensar todos los gastos de energía, no solo el metabolismo sino también los vuelos, actividades en el nido, forrajeo, etc. (Ricklefs, 1983). El costo de construir el nido ha sido uno de los aspectos que ha recibido muy poca atención (Hansell, 2000; Mainwaring & Hartley, 2013), existiendo datos en muy pocas especies. Stanley (2002) lo calcula para urraca de Hudson (Pica hudsonia) estimando que, aun requiriendo 2 564 vuelos por más de 276.2 km totales, estos gastos eran solo el 0.7-1.0 % del consumo. Al comparar con el costo de otras actividades de la reproducción, como la puesta de huevos que llega a requerir 23 % del consumo diario de energía, este autor sugiere que el gasto en hacer el nido es insignificante frente a los demás gastos. En las aves coloniales acuáticas, que se forman en humedales naturales, generalmente los materiales de construcción del nido no son factores limitantes ni requieren de vuelos a zonas alejadas, por lo que el costo en la construcción del nido pudiera ser incluso menor.
El modelo de crecimiento individual de cada pichón es otro aspecto estructural que pudiera tener influencia en los resultados totales predichos por el modelo. El programa STELLA permite crear modelos dinámicos donde variables cambian en el tiempo para grupos de individuos, pero en un mismo modelo solo se pueden simular comportamientos que transiten en la misma escala temporal. Debido a esto, para simular el crecimiento de un grupo de pichones, se tuvo que crear un modelo independiente y utilizar sus resultados, incluyendo las variabilidades generadas en el modelo principal.
El peso al nacer de los pichones en la colonia cubana empleada para la calibración del modelo es ligeramente superior al registrado por Telfair (1983) en Texas (19.1 g; n = 29). Igualmente difieren las masas adultas, que en el modelo actual son asumidas por los valores generales de Jiménez et al. (2014), pero en la Florida, Browder (1973) y Telfair (1983) registran masas de adultos de 371.8 g (295.8-460.3; n = 27) y de 359.8 g (270.0-512.0; n = 59), respectivamente. La evaluación del consumo energético por crecimiento se hace únicamente considerando el peso corporal de cada día y no el gasto implicado en el propio proceso. Las diferencias en tasas de crecimiento pudieran tener implicaciones energéticas a la vez que influyen en la demanda energética sobre los padres. Tener una baja tasa de crecimiento implica menos gastos para los padres, pero una alta es ventajosa porque reduce el período de vulnerabilidad de los pichones y permite tener varias crías al año (King, 1974).
El empleo de una aproximación simple y homogénea como la fórmula alométrica del FMR, para calcular el consumo energético durante el crecimiento de los pichones, sería inexacto, ya que no se tienen en cuenta otros requerimientos específicos de procesos que cambian con la edad y no se comportan de manera constante. Por ejemplo, los gastos termorregulatorios no aparecen hasta los días 10-12, cuando se alcanza la endotermia, y ante el calor excesivo los adultos y jóvenes se enfrían con la conducta de “gularfluttering”, que se incrementa con la temperatura. Entre 13 y 21 días ocurre el crecimiento de las plumas, con lo cual las demandas energéticas para termorregular disminuyen en ese momento, pero agrega un costo energético en su producción. Por estas razones, en el modelo desarrollado se empleó la ecuación para la estimación directa de la tasa de ingestión diaria para este periodo y no el requerimiento energético calculado por la FMR.
En el modelo, la cría de un pichón desde su eclosión hasta el día 50, en el que alcanza 333.0 ± 30.0 g de peso, requiere de 4 632.04 ± 19.42 kcal. Este valor es inferior al de Shanholtzer (1972) (4 949 kcal), posiblemente por las diferencias en peso asintótico de los pichones (344.6 ± 22.5 g). Mock, Lamey & Ploger (1987) fueron de los pocos en registrar directamente las cantidades de alimento consumidas por pichones silvestres y su estimado de 1 453 kJ/d para nidadas de Egretta alba de 21 días de edad es menos al 30 % de los requerimientos energéticos estimados por ecuaciones alométricas de peso y crecimiento que se basan en pichones alimentados ad libitum.
La cantidad de alimento que un animal debe incorporar por unidad de peso corporal para mantener el mínimo en sus requerimientos energéticos depende directamente de una estrecha interrelación de factores bióticos y abióticos, que incluyen no solo variables como el tamaño corporal, la intensidad de procesos productivos (crecimiento, muda y gametogénesis), los agentes micrometeorológicos y la capacidad para la aclimatación fisiológica, sino también otros de naturaleza conductual, como competencia y depredación (Emlen, 1966), organización social y sistemas de apareamiento (Orians, 1961; 1969), y la disponibilidad de refugio y alimento en el ambiente (Emlen, 1966; 1968). Por esta razón, el empleo de modelos alométricos predictivos es un enfoque aproximado, válido solo en ausencia de métodos directos.
Los métodos bioenergéticos alométricos dependen también de un conocimiento profundo de la dieta de las especies y de las densidades energéticas de las presas consumidas. La dieta de B. ibis ha sido extensamente descrita en numerosas localidades, dado su carácter generalista y oportunista, aunque el grupo que usualmente está más representado en su dieta son los insectos (Martin, Cabrera, Ordunas, Vila, & Iglesias, 1967; Jenni, 1973; Telfair, 1983). La dieta de los pichones también ha recibido mucha atención y se conoce que puede variar marcadamente entre años (Fasola, Rosa, & Canova, 1993; Jiménez & Denis 2009).
Los insectos producen, como energía metabolizable, cerca de 20.3 kJ/g de materia seca, que viene siendo el 75 % de la energía neta (King, 1974). Según Siegfried (1969; 1973) los parentales, con masas medias de 383 g (ámbito 296-450 g), necesitan 122 kcal para mantenerse, contenida en 74 g diarios de alimento. Aunque cada parental pueda cargar un máximo de 50 g de insectos, como promedio trae cerca de 17 g de alimentos (insectos) por visita para los pichones. Así este autor calculó en una colonia de Sudáfrica que 1.68 kg de insectos se requerían para alimentar un pichón hasta los 21 días de edad (promediando 95 g diarios). Con una alimentación basada en saltamontes cada parental debe capturar para su mantenimiento y el de sus crías alrededor de 1 728 insectos por día (tamaño promedio de la presa = 2.0 cm, 0.125 g). Alrededor de 14 días de edad cada pichón requiere de un consumo de cerca de 95 g/día. Por ello, para un nido de tres pichones cada adulto debe traer 142.5 g para los hijos y consumir 74 g/día para sí mismos. Con base en los cálculos de este autor, Telfair (1983) en Texas estimó consumos diarios de adultos (con peso medio 383 g) para alimentar nidadas de tres pichones en 638 presas con un peso de 216 g (56.4 % del peso corporal del propio adulto).
Similares estimados de consumos en la reproducción se han hecho para otras especies. En Lanius excubitor la máxima energía recolectada por adultos fue estimada en el día 18 en 679 kJ, equivalente a 33.4 g de materia seca de insectos (133.8 g de materia húmeda) (King, 1974). Un macho de esta especie, para alimentar a toda su nidada a los 18 días de edad debe recolectar 9 736 kJ, aproximadamente 1 918 g de insectos (King, 1974). En Mycteria americana se estimó que los pichones, en todo su periodo de crecimiento, consumen 16.5 kg de alimentos (peso húmedo) (Kahl, 1962).
El consumo total de la colonia de 300 nidos de B. ibis fue estimado en cerca de 3.5 toneladas anuales, lo cual pudiera parecer elevado, aunque en realidad posiblemente esté subestimado. El modelo en su simulación evalúa los consumos con la entrada y salida de individuos al proceso reproductivo y no al área geográfica de la colonia. Pero los adultos ya están transportando energía hacia el sitio de las colonias desde tres o cuatro días previos al inicio de la reproducción como tal, que es la duración estimada del periodo de formación de las parejas (Siegfried, 1973). Igualmente, el modelo finaliza la estimación con la independencia de los pichones, pero en la realidad cuando termina la cría las aves muchas veces continúan utilizando los mismos lugares como dormideros y, por tanto, continúan movilizando biomasa y energía. También los pichones no abandonan las áreas de la colonia una vez que se independizan de los padres, sino que se mantienen haciendo cortos vuelos por cerca de 50 días y vuelan hacia las áreas de forrajeo más alejadas alrededor de los 60 días. En el lago Erie, McKechnie y Wolf (2004) estimaron que las aves consumían más de 13 368 toneladas de peces en un solo año.
Este flujo tan intenso de biomasa y energía hacia las colonias influye en áreas geográficas muy extensas, delimitadas por los radios de vuelo de las especies. En el modelo presentado, los vuelos tampoco estuvieron entre las actividades de mayor requerimiento energético, a pesar de que de manera general se ha planteado que en las aves es la conducta más demandante de energía (Ellis & Gabrielson, 2002). Mullers, Navarro, Daan, Tinbergen y Meijer (2009) evaluaron los gastos de energía asociados a los vuelos en dos colonias de aves marinas y estimaron una demanda promedio de 85 W por vuelo, que totalizaba 4 203 ± 693 kJ/d (n = 27), lo cual era 5.5 veces la tasa metabólica basal. Pero en este caso las distancias promedio eran considerablemente superiores a las registradas para las garzas coloniales (entre 365 y 496 km). Bateman (1970) con radiotransmisores detectó distancias de vuelo de Bubulcus ibis entre 26 y 32 km para la búsqueda del alimento en la etapa reproductiva en Alabama y Florida. Estas distancias hacen que las áreas de efecto de las colonias se superpongan entre sí, hasta un 83 % en colonias de Texas (Telfair, 1983).
También está descrito que los padres no suelen forrajear cerca de la colonia, aunque allí estén los mejores lugares, lo cual ha sido explicado como una estrategia para beneficiar a los pichones cuando se independicen. Como estos son menos eficientes en la captura de las presas (Recher & Recher, 1969) y los ambientes cercanos a las colonias son generalmente más ricos en nutrientes, estas áreas son importantes zonas de alimentación de los pichones que así tienen un mayor éxito (Rodgers, 1979). De cualquier modo, la implementación del gasto por las distancias de vuelo es aproximada, ya que se asumieron distancias de vuelo aleatorias cuando aparentemente, según Nemeth, Bossew y Plutzar (2005) existe una disminución exponencial de la densidad de aves con el aumento de la distancia a las colonias.
La producción de excretas fue estimada entre 42.2-65.8 g/día de peso seco de desechos, lo cual extrapolado a los 72-78 días de actividad de cada nido equivale a una producción total entre 3.0 y 5.1 kg. Este valor es superior al calculado para E. tricolor, E. thula y E. caerulea (1.77 kg), pero inferior al estimado para Ardea alba (3.86 kg) y Eudocimus albus (3.22 kg) (Bildstein et al., 1992).
Los estimados de nutrientes movilizados son solo primeras aproximaciones ya que se sabe que las composiciones de las excretas y su contenido energético varían ampliamente según la dieta. Incluso hay diferencias entre dietas basadas en presas de categorías taxonómicas cercanas: las excretas de aves consumiendo camarones contienen 5.4 % de N, 1.9 % de P, 0.38 % de K y 10.9 % de Ca, mientras que las excretas de dietas de cangrejos tienen menos nitrógeno (3.6 %) y más calcio (19.1 %) (Bildstein et al., 1992). Por ello, los pocos estimados de movilizaciones de estos elementos por aves acuáticas que existen en la literatura tienen tanta variabilidad. El total de nutrientes movilizados por E. albus en un año fue de 640.1 kg de N, 226.4 kg de P, 46.5 kg de K y 1 285 kg de Ca (Bildstein et al., 1992).
El efecto a nivel ecosistémico de las colonias de B. ibis es un tanto diferente de las demás garzas, ya que la mayoría de las zancudas nativas se alimentan primariamente en ecosistemas acuáticos y, por tanto, lo que hacen es reciclar los nutrientes dentro de ellos. Esta especie, sin embargo, transfiere nutrientes y energía desde los ecosistemas terrestres a los acuáticos. Si se tiene en cuenta la relativamente pequeña extensión del área de las colonias, esta movilización a nivel local tiene magnitudes muy superiores a las de cualquier otro proceso natural (Cleveland et al., 1999). En una estación urbana en Cuba, la deposición atmosférica anual de nitrógeno durante un periodo de 6 años varió entre 7.1 kg/ha y 33.2 kg/ha (Cuesta-Santos, Ortiz-Bulto, & González, 1998). Aun así, la deposición de nitrógeno en las colonias alcanza valores muy superiores a las tasas anuales de fijación del nitrógeno atmosférico en pastizales (4 kg/ha, Jordan & Weller, 1996), en cultivos semianegados de arroz (30 kg/ha) (Baisre, 2006) y por las bacterias diazotróficas endofíticas asociadas a la caña de azúcar (50 kg/ha) (Smil, 1999).
En los sitios de cría la vegetación es altamente variable, pero la acumulación del guano puede producir la defoliación de las plantas o incluso matar a la vegetación (Wiese, 1978; Telfair, 1983), y con ello disminuye la calidad del sitio para futuras reproducciones. Así, en las colonias más recientes hay más disponibilidad de sitios de anidar con calidad ya que no han sido afectadas aún por la guanotrofia (Telfair, 1983). Este es uno de los factores que impulsan a las aves coloniales a abandonar las áreas tradicionales de cría, al mismo nivel del disturbio o pérdida de las áreas de forrajeo (Horton, 1999). La duración de la actividad en un sitio de colonia, si no hay disturbio fue de 1-12 años, usualmente 5, y el número de nidos puede variar entre 130-18 450, usualmente 5 000 en los Everglades (Frederick & Powell, 1994). Los sitios de colonias abandonadas recuperan la vegetación rápidamente y pueden ser reusados.
Los materiales que las aves desechan en los sitios de colonias son ricos en nutrientes concentrados (excrementos, regurgitaciones, huevos, cáscaras, y cuerpos de pichones o adultos) en grandes cantidades. Según Dusi et al. (1971) los excrementos de estas aves contienen un 81.2 % de proteínas en bruto; por tanto, la movilización de excretas no solo produce efectos sobre las plantas, sino también sobre toda la compleja comunidad de detritívoros y descomponedores del suelo en los humedales. Al aumentar demasiado la descomposición microbiana, se incrementa la demanda biológica de oxígeno, causando hipoxia o anoxia en el suelo y toxicidad por sulfitos.
El aumento de las fuentes antropogénicas de N y P por eutrofización en la década de 1960-1970 en numerosos estuarios condujo a un excesivo crecimiento de algas, degradación de la calidad del agua y una disminución general de la salud ecológica de estos ecosistemas (Cloern, Krantz & Duffy, 2007). Al no ser consumidas por los planctívoros, la biomasa de algas muere y se deposita en el fondo donde el consumo de oxígeno lleva a la formación de regiones anóxicas y la destrucción de los hábitats bentónicos (Jonas & Tuttle, 1990). Un proceso semejante se desarrolla en la vecindad de las colonias de aves acuáticas, pero con dinámicas mucho más rápidas. Los efectos negativos se modifican según las características físicas del sitio, el nivel de anegamiento, la presencia o no de movimientos de agua por mareas o flujos de agua.
A partir del modelo calibrado, la simulación de escenarios de disturbios en la colonia permite evaluar de una forma aproximada la magnitud de los efectos a nivel ecosistémico, en términos de alteración del flujo natural de energía y nutrientes. Este tipo de experimentación representa una de las ventajas más poderosas de los modelos matemáticos de sistemas naturales y permite el desarrollo de experimentos in silico, que por limitaciones logísticas y bioéticas son imposibles de desarrollar en el campo.
El presente modelo de dinámica de sistemas, desarrollado para simular la dinámica de una colonia de Bubulcus ibis, tiene niveles balanceados de realismo y generalidad, por lo que su estructura puede ser aplicada a toda especie de ave acuática colonial, a la cual se quiera evaluar el flujo de energía, el consumo de biomasa y movilización de nutrientes hacia el sitio de reproducción únicamente con la utilización de los parámetros adecuados de calibración. Puede servir, además, de base para su integración a otros modelos de complejidad superior, como aquellos que empleen la información espacial de los lugares donde se ubican las colonias. También puede ser extensible a situaciones de colonias multiespecíficas, con la incorporación de restricciones que simulen las relaciones interespecíficas competitivas.
Referencias
Allaway, W. G., & Ashford, A. E. (1984). Nutrient input by seabirds to the forest on a coral island of the Great Barrier Reef. Marine Ecology Progress Series, 19, 297-298.
Alongi, D. M. (2008). Mangrove forests: resilience, protection from tsunamis, and responses to global climate change. Estuarine, Coastal and Shelf Science, 76, 1-13.
Antúnez, O., & Denis, D. (2013). Aspectos de la reproducción de la Marbella (Anhinga anhinga) en Cuba. Revista Cubana de Ciencias Biológicas, 2(2), 73-76.
Arendt, W. J. (1988). Range expansion of the Cattle Egret (Bubulcus ibis) in the Greater Caribbean Basin. Colonial Waterbirds, 11, 252-262.
Arendt, W. J. & Arendt, A. I. (1988). Aspects of the breeding biology of the Cattle Egret (Bubulcus ibis) in Monserrat, West Indies, and its impact on nest vegetation. Colonial Waterbirds, 11(1), 72-84.
Baisre, J. A. (2006). Assessment of nitrogen flows into the Cuban landscape. Biogeochemistry, 79, 91-108
Bateman, D. L. (1970). Movement-behavior in three species of colonial nesting wading birds: a radio-telemetric study (Doctoral dissertation). Auburn University, Alabama, USA.
Baxter, G. S., & Fairweather, P. G. (1994). Nitrogen and phosphorus in wetlands with and without egrets. Australian Journal of Ecology, 19, 409-416.
Bedard, J., Therriault, J. C., & Berube, J. (1980). Assessment of the importance of nutrient recycling by seabirds in the St. Lawrence Estuary. Canadian Journal of Fisheries and Aquatic Sciences, 37, 583-588.
Bildstein, K. L. (1997). Wading-bird science: A guide for the Twenty-first century. Colonial Waterbirds, 20(1), 138-142.
Bildstein, K. L., Blood, E., & Fredtirick, P. C. (1992). The relative importance of biotic and abiotic vectors in nutrient processing in South Carolina, U.S.A., estuarine ecosystem. Estuaries, 15, 147-157.
Bildstein, K. L., Post, W., Johnston, J., & Frederick, P. (1990). Freshwater wetlands, rainfall, and the breeding ecology of White Ibises in coastal South Carolina. The Wilson Bulletin, 102, 84-98.
Blanco, P., & Sánchez, B. (2006). Importancia de los manglares cubanos para la ornitofauna. En L. Menéndez & J. M. Guzmán (Eds.), Ecosistema de manglar en el Archipiélago Cubano: Estudios y experiencias enfocados a su gestión (pp. 142-152). Cuba: Editorial Academia.
Blanco, P., Peris, S., & Sánchez, B. (2000). Las aves Limícolas (Charadriiformes) nidificantes de Cuba: Su distribución y reproducción. Alicante, España: Centro Iberoamericano de la Biodiversidad.
Browder, J. A. (1973). Studies on the feeding ecology and morphological variation of the Cattle Egret Bubulcus ibis (Linnaeus) (Aves: Ardeidae) (Master dissertation). University Miami, Coral Gables, Florida, USA.
Brown, J. H., Gillooly, J. F., Allen, A. P., Savage, V. M., & West, G. B. (2004). Toward a metabolic theory of ecology. Ecology, 85(7), 1771-1789.
Brzorad, J. N., Maccarone, A. D., & Conley, K. J. (2004). Foraging energetics of Great Egrets and Snowy Egrets. Journal of Field Ornithology, 75(3), 266-280.
Burger, J. (1978). Competition between Cattle Egrets and native North American herons, egrets and ibises. Condor, 80, 15-23.
Burger, J. (1979). Resource partitioning nest site selection in mixed species colonies of herons, egrets and ibises. American Midland Naturalist, 101, 191-210.
Burger, J. (1982). An overview of proximate factors affecting reproductive success in colonial birds: concluding remarks and summary of panel discussion. Colonial Waterbirds, 5, 58-65.
Burns, E. C., & Chapin, J. B. (1969). Arthropods in the diet of the Cattle Egret, Bubulcus ibis, in southern Louisiana. Journal of Economic Entomology, 62, 736-738.
Cairns, D. K., Chapdewne, G., & Montevechi, W. A. (1991). Prey exploitation by seabirds in the Gulf of St. Lawrence. In J. C. Theniault (Ed.), The Gulf of St. Lawrence: small ocean or big estuary? (pp. 277-291). Ottawa, Canada: Canadian Special Publication of Fisheries and Aquatic Sciences.
Carey, C. (1996). Avian energetics and nutritional ecology. London, UK: Chapman y Hall.
Carey, C., Rahn, H., & Parisi, P. (1980). Calories, water, lipid and yolk in avian eggs.Condor,82, 335-343.
Chipps, S. R. & Wahl, D. H. (2008). Bioenergetics Modeling in the 21st Century: Reviewing New Insights and Revisiting Old Constraints. Transactions of the American Fisheries Society, 137, 298-313
Clevelandn, C. C., Townsend, A. R., Schimel, D. S., Fisher, H., Howarth, R. W., Hedin, L. O., … Mason, M. F. (1999). Global patterns of terrestrial biological nitrogen (N2) fixation in natural ecosystems. Global Biogeochemical Cycles, 13, 623-645.
Cloern, J., Krantz, T., & Duffy, J. E. (2007). Eutrophication. In J. Cloern (Ed.), Encyclopedia of Earth. Washington DC, USA: Environmental Information Coalition, National Council for Science and the Environment. Retrieved from http://www.eoearth.org/article/Eutrophication
Crosby, G. T. (1972). Spread of the Cattle Egret in the Western Hemisphere. Bird-Banding, 43, 205-212.
Cuesta-Santos, O., Ortiz-Bulto, P. L., & González, M. L. (1998). Deposition and atmospheric nitrogen concentrations trends in Cuba. Water, Air, Soil Pollution, 106, 163-169.
Denis, D. (2001). Dinámica metapoblacional en las colonias de garzas (Aves: Ardeidae) de la ciénaga de Biramas, Cuba. Journal of Caribbean Ornithology,16(1), 35-44.
Denis, D. (2006). Aves en los manglares: la complejidad de su reproducción. Capítulo IV. En L. Mugica (Ed.), Aves acuáticas en los humedales de Cuba (pp. 66-93). La Habana, Cuba: Editorial Científico-Técnica.
Denis, D. (2011). Patrones de crecimiento postnatal en ocho especies de garzas (Aves: Ardeidae). Revista de Biología Tropical, 59(2), 771-787.
Denis, D. (2015). Modelación matemática del consumo de energía y biomasa durante el crecimiento postnatal en garzas (Aves: Ardeidae). Poeyana, 501, 49-56.
Denis, D. (2016). Diferencias morfométricas entre pichones hermanos en siete especies de garzas (Aves: Ardeidae) en la ciénaga de Birama, Cuba. Revista Cubana de Ciencias Biológicas, 4(3), 67-75.
Denis, D., & Rodríguez-Ochoa, A. (2017). Modelación matemática del consumo de presas y el flujo de energía asociado a la reproducción de Rostrhamus sociabilis (Aves: Falconiformes). Animal Biodiversity and Conservation, 40(2), 221-245.
Denis, D., & Alonso, M. (2011). Cronología de la cría de las aves acuáticas y su relación con factores climáticos en la ciénaga de Birama, Cuba. Mesoamericana, 14(1), 35-43.
Denis, D., & Rodríguez, P. (2006). La reproducción de las aves acuáticas coloniales en los manglares de Cuba. En L. Menéndez (Ed.), Ecosistema de manglar en el Archipiélago Cubano: Estudios y experiencias enfocados a su gestión. La Habana, Cuba: Editorial Academia .
Denis, D., Rodríguez, A., Rodríguez, P., & Jiménez, A. (2003). Reproducción de la Garza Ganadera (Bubulcus ibis) en la Ciénaga de Biramas, Cuba. Journal of Caribbean Ornithology, 16(1), 45-54.
Denis, D., Rodríguez, P., Rodríguez, A., Jiménez, A., & Ponce de León, J. L. (2002). Segregación espacio-temporal en varias colonias de garzas (Aves: Ardeidae) en la ciénaga de Birama, Cuba. En J. J. Neiff (Ed.), Humedales de Iberoamérica (pp. 204-210). CYTED- Programa Iberoamericano de Ciencia y Tecnología para el Desarrollo- Subprograma XVIII, Red Iberoamericana de Humedales.
Denis, D., Rodríguez, P., Rodríguez, A., & Torrella, L. (2006). Evaluación del efecto del disturbio de los investigadores sobre la reproducción en tres especies de garzas coloniales (Aves: Ardeidae). Biología, 20(1-2), 70-72.
Denis, D., Olavarrieta, U., & Andraca, L. (2008). Actualización de la constante de Hoyt para el cálculo del volumen de los huevos en garzas cubanas (Aves: Ciconiiformes). Biología, 22(1-2), 75-77.
Denis, D., Mugica, L., Acosta, M., & Torrella, L. (1999). Nuevos reportes sobre la época reproductiva de aves acuáticas coloniales en Cuba. El Pitirre, 12(1), 7-9.
Drent, R. H. & Daan, S. (1980). The prudent parent: energetic adjustments in avian breeding. Ardea, 68, 225-252.
Dusi, J. L., Dusi, R. T., Bateman, D. L., McDonald, C. A., Stuart, J. J., & Dismukes, J. F. (1971). Ecological impacts of wading birds on the aquatic environment. Alabama, USA: AU Water Resources Center.
Dusi, J. L., & Dusi, R. T. (1970). Nesting success and mortality of nestlings in a Cattle Egret colony. Wilson Bulletin, 82, 458-460.
Ellis, H. I., & Gabrielsen, G. W. (2002). Energetics of Free-Ranging Seabirds. In E. A. Schreiber & J. Burger (Eds.), Biology of marine birds (pp. 359-408). Florida, USA: CRC Press.
Emlen, J. M. (1966). The role of time and energy in food preference. The American Naturalist, 100(916), 611-617.
Emlen, J. M. (1968). Optimal choice in animals. The American Naturalist, 102(926), 385-389.
Fasola, M., Rosa, P., & Canova, L. (1993). The diets of squacco herons, little egrets, night, purple and grey herons in their Italian breeding ranges. Revue d'Ecologie (La Terre et la Vie), 48, 35-47.
Fogarty, M. J., & Hetrick, W. M. (1973). Summer foods of Cattle Egrets in north central Florida. Auk, 90, 268-280.
Forbes, L. S. (1989). Coloniality in herons: Lack’s predation hypothesis reconsidered. Colonial Waterbirds, 12, 24-29.
Fortes, H., & Denis, D. (2013). Reproducción del Gavilán Caracolero Rostrhamus sociabilis (Aves: Falconiformes) en dos humedales de Cuba. Journal of Caribean Ornithology, 26, 1-7.
Frederick, P. C., & Powell, G. V. N. (1994). Nutrient transport by wading birds in the Everglades. In S. Davis, & J. C. Ogden (Eds.), Everglades: the ecosystem and its restoration (pp. 571-584). Florida, USA: St. Lucie Press.
Golovkin, A. N., & Garkavaya, G. P. (1975). Fertilization of waters off the Murrnansk coast by bird excreta near various types of colonies. Russian Journal of Marine Biology, 15, 345-351.
Hanebrink, E. L. (1971). Food, feeding behavior and extension of range by the Cattle Egret. The Migrant - The Tennessee Ornithological Society, 42, 49-53.
Hansell, M. (2000). Bird nests and construction behaviour. Cambridge, UK: Cambridge University Press.
Horton, T. (1999, April). Great Blues are Going Great Guns. Smithsonian Magazine, 130-140. Retrieved from https://www.smithsonianmag.com/science-nature/great-blues-are-going-great-guns-67331912
Hoyt, D. (1979). Practical methods of estimating volume and fresh weight of bird eggs. Auk, 103, 613-617.
Jenni, D. A. (1973). Regional variation in the food of nestling Cattle Egrets. Auk, 90, 821-826.
Jiménez, A., & Denis, D. (2009). Nestling diet of five species of herons and egrets in Birama´s swamp, Cuba. Journal of Caribbean Ornithology, 22, 26-31
Jiménez, A., García-Lau, I., González, A., Mugica, L., & Acosta, M. (2014). Valores de masa corporal de 183 especies de aves cubanas. Revista Cubana de Ciencias Biológicas, 3(1), 22-42.
Jonas, R. B., & Tuttle, J. H. (1990). Bacterioplankton and organic carbon dynamics in the lower mesohaline Chesapeake Bay. Applied and Environmental Microbiology, 56(3), 747-757.
Jordan, T. E., & Weller, D. E. (1996). Human contributions to terrestrial nitrogen flux. BioScience, 46(9), 655-664.
Kahl, M. P. (1962). Bioenergetics of growth in nestling Wood Storks. Condor, 64, 169-183.
Kendeigh, S. C., Dol'nik, V. R., & Govrilov, V. M. (1977). Avian energetics. In J. Pinowski & S. C. Kendeigh (Eds.), Granivorous birds in ecosystems (pp. 129-205). Massachusetts, USA: Cambridge University Press.
King, J. R. (1974). Seasonal allocation of time and energy resources in birds. In R. A. Jr. Paynter (Ed.), Avian energetics (pp. 4-85). Massachusetts, USA: Nuttal Ornithological Club.
Klein, M. L. (1993). Waterbird behavioral responses to human disturbances. Wildlife Society Bulletin, 21, 31-39.
Kushlan, J. A. (1977). Growth energetics of White Ibises. Condor, 79, 31-36.
Kushlan, J. A., Voorhees, S. A., Loftus, W. F., & Frohring, P. C. (1986). Length, mass and caloric relationships of everglades animals. Florida Scientist, 49(2), 65-79.
Lack, D. (1968). Ecological adaptation for breeding in birds. London, UK: Chapman and Hall.
Madenjlwc, C. P., & Gabrey, S. W. (1995). Waterbird predation on fish in western lake Erie: a bioenergetics model application. The Condor, 97, 141-153.
Mainwaring, M. C., & Hartley, I. R. (2013). The energetic costs of nest building in birds. Avian Biology Research, 6(1), 12-17.
Martin, N. L., Cabrera, L., Ordunas, L., Vila, M., & Iglesias, B. (1967). The Cattle Egret-the bird of major importance for the agricultural economy of the country. Academia de Ciencias de Cuba. Museo “Felipe Poey,” Havana. Trabajos de Divulgación, 42, 1-4.
Master, T. L., Frankel, M., & Russell, M. (1993). Benefits of foraging in mixed-species wader aggregations in a southern New Jersey saltmarsh. Colonial Waterbirds, 16(2), 149-157.
McKechnie, A. E., & Wolf, B. O. (2004). The allometry of avian basal metabolic rate: good predictions need good data. Physiological and Biochemical Zoology, 77(3), 502-521.
Menéndez, L., & Guzmán, J. M. (2006). Ecosistema de manglar en el Archipiélago Cubano: Estudios y experiencias enfocados a su gestión. La Habana, Cuba: Edit. Academia.
Menéndez, L., González, A. V., Guzmán, J. M., Rodríguez, L. F., Capote, R. P., Gómez, R., … Jiménez, Y. (2000). Informe de proyecto de investigación: Bases ecológicas para la restauración de manglares en áreas seleccionadas del archipiélago cubano y su relación con los cambios globales. Informe final de proyecto. Programa Nacional de Cambios Globales y Evolución del Medio Ambiente Cubano. IES. CITMA.
Mock, D. W., Lamey, T. C., & Ploger, B. J. (1987). Proximate and ultimate roles of food amount in regulating egret sibling aggression. Ecology, 68(6), 1760-1772.
Mooij, W. M., Bennetts, R. E., Kitchens, W. M., & DeAngelis, D. L. (2002). Exploring the effect of drought extent and interval on the Florida snail kite: interplay between spatial and temporal scales. Ecological Modeling, 149, 25-39.
Morales, G., & Pacheco, J. (1986). Effects of diking of a Venezuelan savanna on avian habitat, on species diversity, energy flow, and mineral flow through wading birds. Colonial Waterbirds, 9(2), 236-242.
Mullers, R. H. E., Navarro, R. A., Daan, S., Tinbergen, J. M., & Meijer, H. A. J. (2009). Energetic costs of foraging in breeding Cape gannets Morus capensis. Marine Ecology Progress Series, 393, 161-171.
Nagy, K. A. (1987). Field metabolic rate and food requirement scaling in mammals and birds. Ecological Monographs, 57, 111-128.
Nemeth, E., Bossew, P., & Plutzar, C. (2005). A distance-dependent estimation of foraging ranges of neighbouring bird colonies. Ecological Modelling, 182(1), 67-73
Onuf, C. P., Teal, J. M., & Valiela, T. (1977). Interaction of nutrients, plant growth and herbivory in a mangrove ecosystem. Ecology, 58, 514-526.
Orians, G. H. (1961). The ecology of blackbird (Agelaius) social systems. Ecological Monographs, 31(3), 285-312.
Orians, G. H. (1969). On the evolution of mating systems in birds and mammals. The American Naturalist, 103(934), 589-603.
Powell, G. V. N., Fourqurean, J., Kenworthy, V. J., & Zieman, J. C. (1991). Bird colonies cause seagrass enrichment in a subtropical estuary: Observational and experimental evidence. Estuarine, Coastal and Shelf Science, 32, 567-579.
Powell, G. V. N., & Powell, A. H. (1986). Reproduction by Great White Herons Ardea herodias in Florida Bay as an Indicator of Habitat Quality. Biological Conservation, 36, 101-113.
Ranglack, G. S., Argus, R. A., & Marion, K. R. (1991). Physical and temporal factors influencing breeding success of Cattle Egrets (Bubulcus ibis) in a West Alabama Colony. Colonial Waterbirds, 14, 140-149.
Recher, H. F., & Recher, J. A. (1969). Comparative foraging efficiency of adult and immature Little Blue Herons (Florida caerulea). Animal Behavior, 17, 320-322.
Ricklefs, R. E. (1983). Avian postnatal development. In D. S. Farner, J. R. King, & K. C. Parkes (Eds), Avian Biology (pp. 1-83). New York, USA: Academic Press.
Ricklefs, R. E., & Hussell, D. T. (1984). Changes in adult mass associated with the nesting cycle in the European Starling. Ornis Scandinavica, 15, 155-161.
Rodgers, J. A. (1987). Breeding chronology and reproductive success of Cattle Egrets and Little Blue Herons on the west coast of Florida, USA. Colonial Waterbirds, 10, 38-44.
Rodgers, J. A. (1979). Breeding behavior and ecology of Little Blue Herons and communicatory trends in the Ardeidae (Ph.D. dissertation). Univ. of South Florida, Tampa, USA.
Shanholtzer, G. F. (1972). Range expansion dynamics of the Cattle Egret (Doctor dissertation). University of Georgia, Athens, USA.
Siegfried, W. R. (1972). Breeding success and reproductive output of the Cattle Egret. Ostrich, 43, 43-55.
Siegfried, W. R. (1969). Energy metabolism of the Cattle Egret. African Zoology, 4, 265-273.
Siegfried, W. R. (1973). Food requirements and growth of Cattle Egrets in South Africa. Living Bird, 11, 193-206.
Smil, V. (1999). Nitrogen in crop production: an account of global flows. Global Biochemical Cycles, 13, 647-662.
Smith, W. J. (1958). Cattle Egret (Bubulcus ibis) nesting in Cuba. Auk, 75(1), 89.
Stanley, T. R. (2002). How many kilojoules does a Black-billed Magpie nest cost? Journal of Field Ornithology, 73(3), 292-297.
Stinner, D. H. (1983). Colonial wading birds and nutrient cycling in the Okefenokee Swamp ecosystem (Doctor dissertation). University Georgia, Athens, USA.
Telfair, R. C. (1983). The Cattle Egret: A Texas focus and world view. Texas, USA: The Kleberg Studies in Natural Resources.
Telfair, R. C. (1993). Cattle Egret (Bubulcus ibis) population trends and dynamics in Texas (1954-1990). Austin, Texas, USA: Nongame and Urban Program, Fish & Wildlife Division, Texas Parks & Wildlife Department.
Ward, P., & Zahavi, A. (1973). The importance of certain assemblages of birds as "information centres" for finding food. Ibis, 115, 517-534.
Werschkul, D. F. (1977). Changes in a southeastern heronry. Oriole, 42, 5-10.
Weseloh, D. V., & Casselman, J. M. (1992). Fish consumption by double-crested cormorants on Lake Ontario. Burlington, Canada: Canadian Wildlife Service.
Wiese, J. H. (1978). Heron nest-site selection and its ecological effects. In A. Sprunt, J. C. Ogden, & S. Winckler (Eds.), Wading Birds (pp. 27-34). New York, USA: National Audubon.
Williams, J. B. (1996). Energetics of avian incubation (Cap. 11). In C. Carey (Ed.), Avian energetics and nutritional ecology (pp. 375-416). London, UK: Chapman & Hall.
Wolff, W. F. (1994). An individual-oriented model of a wading bird nesting colony. Ecological Modelling, 72(1-2), 75-114.