Artículo
Estructura del bosque altoandino y páramo en el Macizo de Bijagual, Boyacá, Colombia
Structure of the high Andean forest and paramo in the Bijagual Massif, Boyacá, Colombia
Estructura del bosque altoandino y páramo en el Macizo de Bijagual, Boyacá, Colombia
Revista de Biología Tropical, vol. 68, núm. 3, pp. 765-776, 2020
Universidad de Costa Rica
Recepción: 22 Abril 2020
Recibido del documento revisado: 13 Mayo 2020
Aprobación: 15 Mayo 2020
Resumen
Introducción: Los trabajos en Colombia se han acrecentado ante la necesidad de buscar vías para conocer la diversidad que aloja este complejo país y sus ecosistemas, así como la prioridad de protección a lo largo y extenso del mismo. Así, conocer los ecosistemas boyacenses y altoandinos no es la excepción.
Objetivo: Proporcionar información sobre la diversidad y estructura del Macizo Bijagual, área de alta montaña definida como corredor biológico, en cuyo interior se encuentran formaciones de páramo (2 990-3 460 m) y bosque altoandino (2 682-3 268 m).
Métodos: El muestreo consistió en 27 transectos aleatorios en bosque altoadino (100 x 2.5 m) y 13 en páramo (10 x 5 m), se registraron datos de abundancia, forma de crecimiento, altura, cobertura, DAP y área basal. Se realizaron análisis de diversidad (H’, D y Jaccard), de estructura vertical y horizontal.
Resultados: La riqueza estimada fue de 429 especies en 86 familias, la similitud no supera el 46 % entre unidades de muestreo, dato que apoya la heterogeneidad de Bijagual. Se registraron 10 777 individuos en bosque, las hierbas (2 595/104) y árboles (2 189/67) fueron los más abundantes y ricos; en páramo 3 337 individuos, con dominancia de hierbas (en frailejonal, arbustal y pajonal), rosetas (en frailejonal y pajonal) y arbustos (en arbustal). Especies con representatividad ecológica (IVI) fueron: Clusia multiflora, C. elliptica, C. alata, Weinmannia rollottii, Brunellia comocladifolia y Viburnum triphyllum.
Conclusión: Estos resultados confirman la singularidad de estos ecosistemas de alta montaña y la necesidad de mantener la heterogeneidad aun existente ante la incidencia de los procesos de transformación del suelo. Lo anterior, apoyado en el alto recambio de especies entre unidades de muestreo, la dominancia por tipos fisionómicos y la importancia ecológica que exhiben las especies arbóreas y arbustivas en bosque y aquellas frecuentes en páramo. Este estudio define a Bijagual como un corredor con alta diversidad biológica.
Palabras clave: bosque altoandino+ páramo+ diversidad+ formas de crecimiento+ vegetación.
Abstract
Introduction: Colombia has increased research due to the necessity of knowing the country´s biodiversity and ecosystems, as well as to establish priorities for their protection throughout the national territory. The knowledge of the Boyacá ecosystems and the high Andes are not an exception.
Objective: This work provides information on diversity and structure of the Bijagual Massif, a high mountain area defined as a biological corridor, with paramo (2 900 - 3 460 masl) and high Andean forest (2 682 -3 268 masl) ecosystems.
Methods: Sampling consisted of 27 random transects in the high Andean forest (100 x 2.5 m) and 13 in the paramo (10 x 5 m). We recorded abundance data, growth form, height, coverage, DAP and basal area. We calculated diversity analyses (H’, D and Jaccard), of vertical and horizontal structure.
Results: Estimated species richness of 429 species in 86 families. Similarity does not exceed 46 % between sampling units, data that supports the heterogeneity of the Bijagual Massif. We recorded 10 777 individuals in the forest. The most abundant and richest growth forms were herbs (2 595/104) and trees (2 189/67), while lower in abundance and richness were vines (466/29). In the paramo 3 337 individuals, with a dominance of herbs (in frailejonal, shrubs and pajonal), rosettes (in frailejonal and pajonal) and shrubs. Species with ecological representativeness are: Clusia multiflora, C. elliptica, C. alata, Weinmannia rollottii, Brunellia comocladifolia and Viburnum triphyllum.
Conclusion: These results confirm the uniqueness of these high mountain ecosystems and the need to maintain the heterogeneity before the occurence of soil transformation processes. The last, is supported by the high species turnover among sampling units, the dominance per physiognomic type, and the ecological significance of arboreal and shrub species in the forest and those that reoccur in the paramo. Here we define Bijagual, as a biological corridor with great biodiversity.
Key words: high-Andean forest, paramo, diversity, forms of growth, vegetation.
Introducción
La vegetación es el arreglo integral de factores bióticos y abióticos; las especies de una comunidad están en consonancia con la variación geográfica y el medio ecológico en el que se desarrollan, factores que determinan la variación espacial y fisionómica de la vegetación (Etter & van Wynngaarden, 2000; Cleef, 2013).
Conocer la expresión fisionómica y estructural de la vegetación implica identificar patrones de distribución y dominancia, abundancia, frecuencia, arreglo ecológico horizontal y vertical de las especies de la comunidad (Gentry, 1988; Rangel & Velásquez, 1997).
La caracterización estructural permite definir el estado de conservación de la vegetación, siendo significativa en la región Andina donde, articulado al desarrollo cultural y económico, evidencia la transformación del paisaje natural en agrosistemas extensivos e intensivos (Etter & van Wynngaarden, 2000; Armenteras et al., 2011; Armenteras, Cabrera, Rodríguez, & Retana, 2013; Gil & Morales, 2015).
El Macizo de Bijagual (Boyacá), es un escenario que cobra interés especial por su potencial en biodiversidad, a partir de la caracterización de vegetación, siendo un aporte de nuevo y relevante conocimiento de la estructura de los ecosistemas de la alta montaña, aplicable a estudios de ecología funcional y restauración de áreas degradadas (Gil, 2016).
Como información conjunta al estudio florístico realizado por Carrillo, Morales-Puentes y Gil-Leguizamón (2017), este trabajo proporciona información sobre la diversidad y estructura de las formaciones vegetales del bosque altoandino y páramo en Bijagual.
Materiales y métodos
Área de estudio:el Macizo de Bijagual es un corredor biológico de alta montaña ubicado en la zona centro-sur del departamento de Boyacá, Colombia (5°26’10.28” - 5°15’40.21” N & 73°13’5.20” - 73°21’58.19” W) (Morales-Puentes, Gil-Leguizamón, Simbaqueba-Gutiérrez, & Carrillo-Fajardo, 2012). La extensión es de 8 604 ha; con páramo entre 2 990-3 460 m de altitud y bosque altoandino entre 2 682-3 268 m; limita con el complejo de páramos de Tota y la Reserva Natural Mamapacha (Gil, 2016). Precipitación entre 1 000-2 500 mm/anual y temperatura entre 13 - 17 ºC (Carrillo et al., 2017; Gil & Morales, 2017).
Muestreo: se realizaron 27 transectos aleatorios en bosque altoadino (100 x 2.5 m = 0.68 ha) y 13 en páramo (10 x 5 m = 0.07 ha) en tipos fisionómicos de frailejonal, arbustal y pajonal, según Rangel y Velásquez (1997). Para cada individuo se registró la abundancia (clonales: porcentaje de cobertura), forma de crecimiento (árbol, arbusto, hierba, bejuco, epífita, hemiepífita, helecho arborescente, parásita, rasante, roseta y graminoide, según Font, 2001), altura (m), cobertura (m2), diámetro a la altura del pecho (DAP) para árboles y área basal (AB) para arbustos.
Trabajo de laboratorio: el material botánico se procesó en el Herbario UPTC, se determinó con literatura especializada como Gentry (1993), Flora de Colombia, Flora Neotrópica, Flora de Costa Rica, Flora de Panamá, entre otras, y páginas web (www.tropicos.org, www.botanicus.orgs y www.jstor.org).Cada muestra fue corroborada con los Herbarios, UPTC, COL y HECASA y especialistas. Los ejemplares se depositaron en UPTC, bajo la numeración de Gil-Leguizamón P.A.
Tratamiento de datos
Diversidad: se calcularon los estadísticos no paramétricos Chao-1 y ACE que cuantificaron la representatividad del muestreo, a partir de datos de riqueza y abundancia (software EstimateS-6.0). Para cada unidad de muestreo se estimaron los índices de Shannon (H’) y Simpson (D) como indicadores de probabilidad de diversidad-dominancia. Se realizó un análisis de composición de especies, mediante aglomeración, con el coeficiente de similitud de Jaccard con el algoritmo de grupos pareados (Hammer, Harper, & Ryan, 2008) con el software PAST (PAleontological STatistics, versión 3.22).
Estructura vertical: la fisionomía del bosque altoandino y páramo fue descrita de acuerdo a formas de crecimiento, abundancia y riqueza de especies; a partir, de intervalos de clase por altura (m), cobertura (m2) y DAP (m) (Rangel & Velásquez, 1997; basado en la regla de Sturges) se obtuvo la distribución de individuos y su asociación con las formas de crecimiento. Horizontal: para identificar las especies arbóreas y arbustivas dominantes y frecuentes en el bosque altoandino y en áreas de arbustos en páramo, se calculó el Índice de Predominio Fisionómico (IPF) y de Valor de Importancia (IVI), a partir de la abundancia, cobertura y área basal (Rangel & Velásquez, 1997); para frailejonal y pajonal, se estimó el índice de valor de importancia relativa (IVR) (Álvarez-Lopeztello, Rivas-Manzano, Aguilera-Gómez, & González-Ledesma, 2016).
Resultados
Diversidad: se registraron 429 especies en 86 familias (396 especies en bosque altoandino y 111 en páramo: 78 compartidas); para el bosque altoandino se evidenció una representatividad de muestreo del 91 % con el estimador Chao-1 y 93 % con ACE; en los dos casos, la riqueza esperada es de 414 y 407 especies respecto a las 396 observadas. En páramo, la representatividad fue del 93 % (Chao-1) y 95 % (ACE), con una riqueza esperada de 120 y 118 especies, comparado con las 111 especies observadas.
Para el bosque altoandino, el índice de Shannon determinó una probabilidad de diversidad de 3.3048 (± 0.2392) para los 27 transectos, lo que puede considerarse como representativo; los valores de dominancia de Simpson son inversos a la diversidad (0.0591 ± 0.0192). En páramo es similar, aunque con valores inferiores, la diversidad media de Shannon fue de 2.3932 (± 0.3101), y la dominancia inversa para los 13 transectos (0.1234 ± 0.0321).
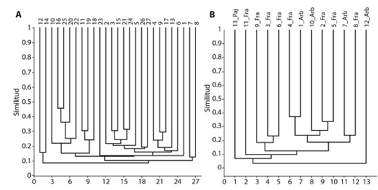
Entre unidades de bosque la similitud no superó el 46 % (Fig. 1A). Comunes en estos transectos son: Bomareasetacea (Ruiz & Pav.) Herb., Brunelliacomocladifolia Bonpl., Clusiaalata Planch. & Triana, Clusiaelliptica Kunth, Drimysgranadensis L. f., Greigiastenolepis L.B. Sm., Hedyosmumcolombianum Cuatrec., Macleaniarupestris (Kunth) A.C. Sm., Piperirazuanum C. DC. y Weinmanniarollottii Killip. En páramo, la similitud es inferior al 38 %, el pajonal es similar en 8 % y solo el transecto 12 de arbustal es disímil (Fig. 1B), por la exclusividad de Diplostephium alveolatum Cuatrec., Bomarea hirsuta (Kunth) Herb., Fuchsia canescens Benth., Pentacalia tolimensis (Sch. Bip. ex Wedd.) Cuatrec. y Symplocos cundinamarcensis B. Ståhl. Solo Diplostephiumphylicoides (Kunth) Wedd. fue registrada en los tres tipos fisionómicos.

Estructura vertical
Formas de crecimiento en bosque altoandino: se registraron 10 777 individuos. Fisionómicamente, el bosque tiene dominio de individuos arbóreos hasta de 18 m de altura ( 8.45 m, ± 3.7 m), en zonas planas a moderadamente inclinadas (5-20 °). Se identificaron 11 formas, siendo dominantes, árboles con el 20 % de la abundancia (2 189 individuos) y el 17 % de la riqueza (67 especies).En el sotobosque dominan arbustos (16 %, 1 729 individuos; 15 %, 59 especies), epífitas (19 %, 2 057; 25 %, 99) y herbáceas (24 %, 2 595; 26 %, 104), éstas últimas son las más abundantes y ricas. Otras formas fueron: bejucos (466 individuos / 29 especies), hemiepífitas (305/5), helechos arborescentes (99/8), rasantes(81/6), rosetas (1 211/12), graminoides (tres especies clonales) y parásitas (45/4) (Tabla 1).

Formas de crecimiento en páramo: Se registraron 3 337 individuos, el crecimiento se describe por tipos de vegetación, así (Tabla 1): Frailejonal: conformado por individuos en roseta y arbustos ≤ 3.5 m de altura ( 0.96 m, ± 0.83 m), distribuidos en zonas planas o moderadamente inclinadas. Se registraron 2 342 individuos, en 73 especies y nueve formas; las rosetas fueron dominantes con el 36 % de la abundancia (876) y 18 % de la riqueza (13), así como las hierbas (44 %, 1 052; 34 %, 25) y arbustos (14 %, 346; 26 %, 19). Otras formas fueron: plántulas de árboles (16/5), ≤ 90 cm de altura (Geissanthus andinus Mez, Oreopanaxintegrifolium Cuatrec., Pentacaliatrichopus (Benth.) Cuatrec., W.fagaroides y W.rollottii), rasantes (33/4), gramíneas (3 spp.), bejucos (10/1), epífitas (8/2) y hemiepífita (1/1).
Arbustal: con alturas ≤ 3.1 m ( 1.3 m, ± 1 m) sobre pendientes leves (< 10 °), moderadas (< 20 °) a pronunciadas (20-35 °). Se registraron 782 individuos, en 66 especies y ocho formas; los arbustos fueron dominantes con el 33 % de la abundancia (272) y el 27 % de la riqueza (18 spp.), en su orden, las hierbas (27 %, 221; 35 %, 23), rosetas (18 %, 151; 9 %, 6) y plántulas de árboles (10 %, 82; 12 %, 8), como W.fagaroides, G.andinus, W.rollottii y W.tomentosa. De menor abundancia y riqueza fueron: los bejucos (33/6), epífitas (11/2), rasantes (12/2) y gramíneas como C.nitida.
Pajonal: hasta 1.15 m ( 0.56 m, ± 0.29 m). Se hallaron 213 individuos en 12 especies y cinco formas; C.effusa fue dominante con el 70 % de la cobertura en el muestreo, otras dominantes fueron las hierbas (64 %, 172; 67 %, 8) y rosetas (14 %, 37; 8 %, 1), en su orden rasantes (3 spp.) y un individuo arbustivo de D.phylicoides.
Intervalos de clase en bosque altoandino
Altura (intervalos: 16; amplitud de clase: 1.14 m): entre 0.01 y 4.6 m se agrupa el 86 % de la abundancia (8 424 individuos). En este rango, las hierbas se distribuyen entre 0.01 y 2.3 m (6 809 individuos, estrato inferior - intervalos 1 y 2) y los arbustos entre 2.31 y 4.6 m (1 615, estrato intermedio - intervalos 3 y 4). Alturas superiores a 4.61-18.5 m (intervalos 5 a 16), agrupan el 14 % de la abundancia (1 338, estrato superior) con especies de sotobosque y dosel.Árboles de mayor altura son: Brunellia colombiana Cuatrec., Brunellia propinqua Kunth, Clusia multiflora Kunth, Gaiadendron punctatum (Ruíz & Pav.) G. Don., Hieronyma rufa P. Franco, Ilex obtusata Triana & Planch., Morella funckii (Chev.) Parra-Os., Prunus opaca (Benth.) Walp., Pleurothyrium velutinum Meisn., Ternstroemia camelliifolia Linden & Planch., W. balbisiana y W. rollottii.
Cobertura (intervalos: 16; amplitud de clase: 15.3 m2): el 94 % de los individuos con coberturas hasta 15.3 m2 (9 245 - intervalo 1); el 5 % (453) entre 15.3 y 45.9 m2 (intervalos 2 y 3) y el 2 % (166) entre 46 y 152 m2 (intervalos 4 a 10); solo C. alata con un área de copa, hasta 240 m2 (intervalos 11 a 16). Otras de amplia cobertura son: B. colombiana, B. comocladifolia, B. propinqua, C. multiflora, I. obtusata, M. funckii y P. opaca.
Diámetro (DAP; intervalos: 14; amplitud de clase: 0.64 m): el 87 % (2 543 individuos) presentó diámetros de tronco entre 0.01 y 0.177 m (intervalos 1 a 3), incluidas plántulas de C. alata, D. granadensis, W. rollottii, B. colombiana, Freziera bonplandiana Tul., Miconia cundinamarcensis Wurdack, M. funckii y Viburnum triphyllum Benth.El 10 % (294 individuos) con diámetros entre 0.178 y 0.345 m (intervalos 4 a 6) y 3 % (87) con diámetros superiores a 0.346 m hasta 0.774 m (intervalos 7 a 14); de fustes amplios son: C. elliptica, C.alata, C.multiflora, B.colombiana, B.comocladifolia, W.balbisiana y W.rollottii.
Intervalos de clase en páramo
Altura (intervalos: 14; amplitud de clase: 0.248 m): el 78 % de los individuos (entre hierbas, gramíneas, rosetas y arbustos) con porte entre 0.02 y 1.029 m (2 685 individuos - intervalos 1 a 4); abundantes en este rango son: E. murilloi (frailejonal), R. ruiziana, C. tessellata, C. effusa, P. columbiensis (frailejonal y pajonal), P. goudotiana, B. auratum, D. phylicoides, R. macrochaeta, V. floribundum, P. prostrata e Hypericum laricifolium Juss. (arbustal). El 21 % (709) entre 1.03 y 2.5 m (intervalos 5 a 10) y 1 % (50) entre 2.6 y 3.5 m (intervalos 11 a 14), con: E. murilloi (frailejonal), Diplostephium floribundum (Benth.) Wedd., D. granadensis, Escallonia myrtilloides L. f., O. integrifolium, P. trichopus, S. cundinamarcensis, Ageratina tinifolia (Kunth) R.M. King & H. Rob., B. glutinosa, G. andinus, M. rupestris, T. grossa, W. tomentosa y W. rollottii (arbustal).
Cobertura (intervalos: 15; amplitud de clase: 0.76 m2): individuos con valores hasta de 0.76 m2 son abundantes (88 %, 3 067 - intervalo 1), con R. macrochaeta, E. murilloi, C. tessellata, P. columbiensis y D. phylicoides. Solo el 2 % de los individuos (75) tienen coberturas entre 0.73 - 11 m2 (intervalos 2 a 15), con A. tinifolia, H. lycopodioides, M. rupestris, P. tolimensis, P. trichopus, S. cundinamarcensis, W. tomentosa, G. andinus, B. resinosa, D. alveolatum, D. alaternoides, D. granadensis y E. myrtilloides.
Diámetro (DAP; 10 intervalos; amplitud de clase: 0.022 m): el 98 % de los individuos (366) tienen DAP entre 0.01 y 0.078 m (intervalos 1 a 3), con H. lycopodioides, W. fagaroides, M. myrtoideum, G. anastomosans, D. floribundum y T. grossa.El 2 % (9) entre 0.079 y 0.239 m (intervalos 4 a 10) con D. floribundum y D. granadensis.
Estructura horizontal
Índice de Predominio Fisionómico (IPF) en bosque altoandino: del conjunto de especies arbóreas y arbustivas, las dominantes son: C. multiflora, C. elliptica, C. alata y W. rollottii (Tabla 2). La cobertura es el parámetro estructural que determina la dominancia en los estratos superiores; especies representativas por valores de cobertura son: C. multiflora, C. alata, B. comocladifolia, M. rupestris, E. myrtilloides, otras como M. cundinamarcensis, Hesperomeles obtusifolia (Pers.) Lindl., M.funckii, C. caracasana y T. grossa.

Índice de valor de importancia (IVI) en bosque altoandino: taxones con mayor importancia ecológica en Bijagual son: C. elliptica, V. triphyllum, W. rollottii, C. multiflora y B. comocladifolia; por valores de densidad relativa: B. comocladifolia. Por dominancia relativa: C. elliptica, C. multiflora, W. rollottii, C. alata, G. rigida y D. granadensis. Especies frecuentes son: V. triphyllum, B. comocladifolia y W. rollottii (Tabla 2).
IPF-IVI en arbustal: en esta comunidad, A. tinifolia,M. rupestrisyS. cundinamarcensisson dominantes (IPF) debido al área basal y cobertura, a su vez, M. rupestriseH. lycopodioides son abundantes. Estas especies presentaron la mayor representatividad ecológica (IVI) por ser frecuentes (Tabla 2).
IVR: en frailejonal fueronE. murilloi,P. goudotianayC. tessellata, mientras en pajonalC. effusa,D. empetrifoliumyR. ruiziana (Tabla 2).
Discusión
Diversidad:la probabilidad de diversidad (> 3.3 y 2.9) y de dominancia (< 0.05 y 0.03) para bosque altoandino y páramo, se asocian con abundancias proporcionales entre especies; Bijagual es diverso por la riqueza registrada (429 spp.) (Cleef, 1981; Rangel, 1995).
En bosque, tres unidades de muestreo se consideraron dominantes por la presencia de Chusquea; estos transectos están asociados a matrices de pastizal, cultivos de papa y entresaca constante, actividades que ejercen presión sobre la composición y el recambio de individuos; éstas presiones sobre los ecosistemas de alta montaña, también fueron descritos por Velasco-Linares y Vargas (2008) y, Sarmiento y Llambí (2011). En páramo, la formación de tipo pajonal es homogénea, debido a la dominancia de C.effusa, N.acuminatissima y R.ruiziana, ya que son abundantes o de amplia cobertura (Tabla 1).
Los transectos con mayor similitud en bosque (16 y 25/46 %) se distancian 6 km entre sí, y aquellos disimiles (7 y 8/13 %; 12 y 14/16 %; Fig. 1A) entre 0.3 y 1.6 km; en páramo hay mayor similitud entre frailejonal y arbustal (10-38 %; Fig. 1B); la baja similitud determina recambio de especies entre unidades de muestreo y posible distribución aleatoria. Este resultado determina diferentes comunidades vegetales dentro de cada ecosistema, definidos por gradientes ambientales (topográficos, climáticos, altitudinales y edáficos), factores biológicos (expresión del banco de semillas germinable y agentes dispersores con capacidad de desplazamiento diferente) (Arroyo-Rodríguez et al., 2015; Lequerica, Bernal, & Stevenson, 2017), así como transformación espacial y temporal de coberturas vegetales (Gil, 2016), que influyen en las diferentes asociaciones.
Estructura vertical: las formas de crecimiento determinan diferencias fisionómicas para cada ecosistema; en bosque, aunque los árboles (17 % riqueza; 20 % abundancia) y los arbustos (15 %; 16 %) son elementos conspicuos, éstos para Bijagual no son los más representativos; en su lugar, las hierbas (con alturas hasta de 1.8 m), son más abundantes y diversas (26 %; 24 %); estos resultados son similares a los registrados por Alvear, Betancur y Franco-Roselli (2010), Abud y Torres (2016) y Rojas (2017) para bosques altoandinos en Colombia, preservados y en regeneración; así, la estructura y diversidad no solo se define por especies leñosas, la inclusión de todas las formas de crecimiento, en estudios de vegetación, permiten describir el estado de conservación y la funcionalidad asociada a la dinámica natural de las comunidades del bosque (Córdova-Tapia & Zambrano, 2015).
Es exuberante la flora epífita (25 % riqueza; 19 % abundancia), considerada la segunda forma más diversa del bosque. Estos datos concuerdan con lo registrado por David-Higuita y Álvarez-Dávila (2018), cuya riqueza florística se incrementa por la presencia de herbáceas, terrestres, epífitas y bejucos. Las familias epífitas sobresalientes son: Orchidaceae y Bromeliaceae, así como Pteridophyta, que, en conjunto con la brioflora de Bijagual (IAvH, 2015; Gil & Morales, 2017), son un componente ecológico importante en suelo y sobre la biomasa ya que constantemente almacenan la humedad, facilitan la disponibilidad de nutrientes, procesos de colonización y hospedaje (Wolf, 2003; Rojas-Flórez & Sánchez-Montaño, 2015).
En páramo, el pajonal, arbustal y frailejonal, son estructuralmente similares a otros complejos en Colombia (Morales et al., 2007; Llambí & Cuesta, 2014); las formas en roseta, macolla y arbusto, no son los más abundantes; sin embargo, en conjunto con las hierbas (mejor representada en abundancia y riqueza), conforman un patrón de distribución vertical típico de zonas de alta montaña, que debido a los procesos de colonización y competencia por espacio, generan heterogeneidad en composición, riqueza y endemismo (Alzate, Jiménez-Montoya, & Sarrazola, 2016; Jiménez-Rivillas, García, Quijano-Abril, Daza, & Morrone, 2018). Olaya-Angarita, Díaz-Pérez y Morales-Puentes (2019), en el complejo Guantiva-La Rusia (Boyacá), encuentran comunidades de arbustal con riquezas entre 35-68 spp. y herbazal entre 27-39 spp. (incluido frailejonal); estos datos son similares para los arbustales de Bijagual (66) aunque menores a los frailejonales (73).
Para el bosque altoandino y el páramo, se observó una disminución progresiva en el número de individuos con el aumento en los valores de altura, cobertura y diámetro de tronco (mayor número de individuos en clases inferiores); estos datos concuerdan con los registrado por Samper y Vallejo (2007) y Ávila, Ángel y López (2010), esta organización vertical se asocia con vegetación poco intervenida, con favorable regeneración natural y que experimenta recambio de individuos y proceso de sucesión.
Estructura horizontal: la importancia ecológica de árboles y arbustos, está influenciada por la presencia de individuos de gran porte, principalmente de C. multiflora, C. elliptica, C. alata, W. rollottii, B. comocladifolia, V. triphyllum y E.myrtilloides; estas especies, aunque con valores bajos de densidad, logran los valores más altos de área basal (> 40 cm) y coberturas amplias (46 y 240 m2).
Lo anterior concuerda con la estructura registrada por Marín y Betancur (1997), Galindo, Betancur y Cadena (2003) y Alvear et al. (2010), para especies de Weinmannia, Clusia, Brunellia y Hedyosmum, consideradas dominantes y con alta importancia ecológica en bosque y páramo. Aunque a nivel de géneros es similar dicha representatividad ecológica, existe variabilidad en la dominancia a nivel de especie, si se comparan estos resultados con otras localidades muestreadas (Galindo et al., 2003; Carvajal, Ariza, Caro, & Valero, 2014; Carrillo et al., 2017); de esta forma, cada localidad muestra singularidades definidas por la composición y la dinámica estructural. Por lo anterior, este estudio define a Bijagual como un corredor con potencial y alta diversidad biológica.
Finalmente, en el gradiente de elevación (2 682-3 460 m) se identificaron especies exclusivas de bosque y de páramo; sin embargo, entre los 2 900-3 000 m (-3 200 m), se dan cambios fisionómicos del bosque; especies con porte alto (> 8 m) en bosque, también fueron halladas con porte bajo en el arbustal (< 2 m), dentro de estas C.elliptica, H.colombianum, W. rollottii, W. fagaroides, D.granadensis, M.rupestris y M.stipularis. Estos resultados son contrapuestos a Olaya-Angarita et al. (2019), con la identificación de cambios fisionómicos entre 3 300 y 3 649 m en otros páramos de Boyacá; lo anterior, determina que los cambios fisionómicos de la vegetación en un gradiente de elevación, no son uniformes y que están influenciados por la topografía, la composición de especies, los procesos de dispersión y la variación climática (Ramírez, Llambí, Schwarzkopf, Gámez, & Márquez, 2009; Arzac, Chacón-Moreno, Llambí, & Dulhoste, 2011).
Declaración de ética: los autores declaran que todos están de acuerdo con esta publicación y que han hecho aportes que justifican su autoría; que no hay conflicto de interés de ningún tipo; y que han cumplido con todos los requisitos y procedimientos éticos y legales pertinentes. Todas las fuentes de financiamiento se detallan plena y claramente en la sección de agradecimientos. El respectivo documento legal firmado se encuentra en los archivos de la revista.
Agradecimientos
A la Universidad Pedagógica y Tecnológica de Colombia, al Herbario UPTC. Al Convenio de cooperación DHS 5211071 Ecopetrol S.A.-UPTC. Al Grupo Sistemática Biológica por el trabajo arduo de campo y laboratorio. A los Herbarios UPTC, HECASA y COL. A O.J. Daza-Leguizamón, C.N. Díaz-Pérez, J.E. Gil-Novoa, M.Y. Carrillo-Fajardo. A, D. Torres del Herbario UPTC. A los especialistas, D.A. Giraldo-Cañas, L.R. Sánchez y M.A. Quijano.
Referencias
Abud, M., &Torres, A.M. (2016). Caracterización florística de un bosque alto andino en el Parque Nacional Natural Puracé, Cauca, Colombia. Boletín Científico del Museo de Historia Natural, 20(1), 27-39.
Álvarez-Lopeztello, J., Rivas-Manzano, I.V., Aguilera-Gómez, L.I., &González-Ledesma, M. (2016). Diversidad y estructura de un pastizal en El Cerrillo, Piedras Blancas, Estado de México, México. Revista Mexicana de Biodiversidad, 87, 980-989.
Alvear, M., Betancur, J., &Franco-Roselli, P. (2010). Diversidad florística y estructura de remanentes de bosque andino en la zona de amortiguación del Parque Nacional Natural los Nevados, cordillera Central Colombiana.Caldasia, 32(1), 39-63.
Alzate, F., Jiménez-Montoya, J., &Sarrazola, H. (2016) Sonsón, un nuevo complejo de páramos en Colombia. En M.A.Quijano-Abril (Ed.), Flora del Oriente Antioqueño. Biodiversidad, ecología y estrategias de conservación(pp. 19-24). Bogotá D.C., Colombia: Fondo Editorial Universidad Católica de Oriente.
Armenteras, D., Retana, J., Molowny, R., Roman, R., Gonzalez, F., &Morales, M. (2011) Characterizing fire spatial pattern interactions with climate and vegetation in Colombia. Agricultural and Forest Meteorology, 151(3), 279-289.
Armenteras, D., Cabrera, E., Rodríguez, N., &Retana, J. (2013). National and regional determinants of tropical deforestation in Colombia. Regional. EnvironmentalChange, 13(6), 1181-1193.
Arroyo-Rodríguez, V., Melo, F.P.L., Martínez-Ramos, M., Bongers, F., Chazdon, R.L., Meave, J.A., Norden, N., Santos, B.A., Leal, I.R., &Tabarelli, M. (2015). Multiple successional pathways in human-modified tropical landscapes: new insights from forest succession, forest fragmentation and landscape ecology research. Biological ReviewsCambridge Philosophical Society, 92(1), 326-340.
Arzac, A., Chacón-Moreno, E., Llambí, L.D., &Dulhoste, R. (2011). Distribución de formas de vida de plantas en el límite superior del ecotono bosque páramo en los Andes Tropicales. Ecotrópicos, 24(1), 26-46.
Ávila, F., Ángel, S., &López, R. (2010). Diversidad y estructura de un robledal en la Reserva Biológica Cachalú, Encino (Santander-Colombia). Revista Colombia Forestal, 13(1), 87-116.
Carrillo, M.Y., Morales-Puentes, M.E., &Gil-Leguizamón, P.A. (2017). Catálogo de la flora (angiospermas) del páramo de Bijagual, Boyacá, Colombia. Boletín Científico del Centro de Museos,21(2), 15-29.
Carvajal, R.L., Ariza, C.W., Caro, P.L., &Valero, F.N. (2014). Especies forestales representativas del suroriente de Boyacá. Árboles de CORPOCHIVOR-Corporación Autónoma Regional de Chivor-CORPOCHIVOR. Bogotá D.C., Colombia: Universidad Distrital Francisco José de Caldas.
Cleef, A.M. (1981). The vegetation of the paramos of the Colombian dordillera Oriental. Berlín, Alemania: Dissertationes Botanicae.
Cleef, A.M. (2013). Origen, evolución, estructura y diversidad biológica de la alta montaña colombiana. In J.Cortés-Duque&C.Sarmiento (Eds.), Visión socioeconómica de los páramos y la alta montaña colombiana: memorias del proceso de definición de criterios para la delimitación de páramos (pp. 3-21). Bogotá D.C., Colombia: Instituto de Investigación de Recursos Biológicos Alexander von Humboldt.
Córdova-Tapia, F., &Zambrano, L. (2015). Functional diversity in community ecology. Ecosistemas, 24(3), 78-87.
David-Higuita, H., &Álvarez-Dávila, E. (2018). Riqueza total de especies de plantas vasculares en un bosque andino de la cordillera Central de Colombia. Revista de Biología Tropical, 66(1), 227-236.
Etter, A., &Van Wynngaarden, W. (2000). Patterns of landscape transformation in Colombia, with emphasis in the Andean region. Ambio, 29(7), 432-439.
Font, Q.P. (2001). Diccionario de botánica (2nd Ed.). Barcelona, España: Ediciones Península.
Galindo, R., Betancur, J., &Cadena, J. (2003). Estructura y composición florística de cuatro bosques andinos del Santuario de Flora y Fauna Guanentá-alto río Fonce, cordillera Oriental colombiana.Caldasia , 25(2), 313-335.
Gentry, A. (1988). Patterns of plant community diversity on geographical and environmental gradients. Annals of the Missouri Botanical Garden, 75(1), 1-52.
Gentry, A. (1993). A field guide to the families and genera of woody plants of northwest South America (Colombia, Ecuador, and Peru) with supplementary notes on herbaceous taxa. Washington, USA: Conservation International.
Gil, P.A., &Morales, M.E. (2015). Multitemporalidad de coberturas vegetales del complejo páramo de Bijagual (Boyacá). Memorias VIII Congreso Colombiano de Botánica.
Gil, P.A. (2016). Análisis multitemporal de la vegetación del Macizo de Bijagual, Boyacá. (Tesis de Maestría). Universidad Pedagógica y Tecnológica de Colombia.
Gil, J.E., &Morales, M.E. (2017). Briófitos del complejo de páramos Tota-Bijagual-Mamapacha: un acerca-miento a su riqueza y fitogeografía. Ciencia en Desarrollo, 1E (Suplemento Especial), 156-157.
Hammer, O., Harper, D.A.T., &Ryan, P.D. (2008). PASTPalaeontological Statistic, ver.1.77. Retrieved from http://www.folk.unio.no/ohammer/past
IAvH. (2015). Caracterización biótica del complejo de páramos Tota-Bijagual-Mamapacha en jurisdicción de Corpoboyacá. Convenio No. 14-13-014-195CE. Bogotá, Colombia: Instituto de Investigaciones de Recursos Biológicos Alexander von Humboldt.
Jiménez-Rivillas, C., García, J.J., Quijano-Abril, M.A., Daza, J.M., &Morrone, J.J. (2018). A new biogeographical regionalisation of the Páramo biogeographic province. Australian Systematic Botany, 31, 296-310.
Lequerica, M., Bernal, M., &Stevenson, P. (2017). Evidencia de direccionalidad del proceso de sucesión temprana del bosque altoandino. Colombia Forestal, 20(1), 63-84.
Llambí, L.D., &Cuesta, F. (2014). La diversidad de los páramos andinos en el espacio y en el tiempo. En F.J.Cuesta, L.Sevink, B.Llambí, &J.Posner (Eds.), Avances en investigación para la conservación de los páramos andinos. Quito, Ecuador: CONDESAN.
Marín, C., &Betancur, J. (1997). Estudio florístico en un robledal del Santuario de Flora y Fauna de Iguaque (Boyacá-Colombia). Academia Colombiana de Ciencias Exactas, Físicas y Naturales, 21(80), 249-259.
Morales, M., Otero, J., van der Hammen, T., Torres, A., Cadena, C., Pedraza, C., … Cárdenas, L. (2007). Atlas de páramos de Colombia. Bogotá D.C., Colombia: Instituto de Investigación de Recursos Biológicos Alexander von Humboldt.
Morales-Puentes, M.E., Gil-Leguizamón, P.A., Simbaqueba-Gutiérrez, A.L., &Carrillo-Fajardo, M.Y. (2012). Biodiversidad y objetos de conservación de los ecosistemas estratégicos de Sucuncuca y Bijagual (Provincia de Lengupá) Boyacá(Informe final convenio de colaboración DHS N°5211071). Tunja, Colombia: Universidad Pedagógica y Tecnológica de Colombia.
Olaya-Angarita, J.A., Díaz-Pérez, C.N., &Morales-Puentes, M.E. (2019). Composición y estructura de la transición bosque-páramo en el corredor Guantiva-La Rusia (Colombia).Revista de Biología Tropical , 67(4), 755-768.
Ramírez, L., Llambí, L.D., Schwarzkopf, T., Gámez, L.E., &Márquez, N.J. (2009). Vegetation structure along the forest-paramo transition belt in the Sierra Nevada de Mérida: Implications for understanding treeline dynamics. Ecotropicos, 22(2), 83-98.
Rangel, J.O. (1995). Consideraciones sobre la diversidad vegetal de alta montaña en Colombia. En J.A.Lozano &J.B.Pabón (Eds.), Memorias del seminario taller sobre alta montaña colombiana(pp. 33-60). Bogotá, Colombia: Editora Guadalupe.
Rangel, J.O., &Velásquez, A. (1997). Métodos de estudio de la vegetación. En J.O.Rangel, C.Lowy, &M.Aguilar (Eds.), Colombia Diversidad Biótica II: tipos de vegetación en Colombia (pp. 59-87). Bogotá D.C., Colombia: Editorial Unibiblos.
Rojas, S.L. (2017). Estructura y composición florística de la vegetación en proceso de restauración en los Cerros Orientales de Bogotá (Colombia).Caldasia , 39(1), 124-139.
Rojas-Flórez., C.B., &Sánchez-Montaño, L.R. (2015). Estructura espacial de epífitas vasculares en dos localidades de bosque altoandino, Pamplona, Colombia. Caldasia, 37(1), 15-30.
Samper, C., &Vallejo, M. (2007). Estructura y dinámica de poblaciones de plantas en un bosque andino. Revista de laAcademia Colombiana de Ciencias Exactas, Físicas y Naturales, 31(118), 57-68.
Sarmiento, L., &Llambí, L.D. (2011). Regeneración del páramo luego de un disturbio agrícola: una síntesis de 20 años de investigaciones en sistemas con descansos largos en la cordillera de Mérida. En F.Herrera, &I.Herrera (Eds.), La restauración ecológica en Venezuela: fundamentos y experiencias (pp. 123-148). Caracas, Venezuela: Ediciones Instituto Venezolano de Investigaciones Científicas.
Velasco-Linares, P., &Vargas, O. (2008). Problemática de los bosques alto andinos. En O.Vargas (Ed.), Estrategias para la restauración ecológica del bosque alto andino (El caso de la Reserva Forestal Municipal de Cogua, Cundinamarca) (pp. 41-56). Bogotá, Colombia: Universidad Nacional de Colombia.
Wolf, J. (2003). Diversidad y ecología de comunidades epífitas en la cordillera Central, Colombia. En T.Van der Hammen&A.Dos Santos (Eds.), Estudios de ecosistemas tropandinos (pp. 453-502). Bogotá D.C., Colombia: Instituto Geográfico “Agustín Codazzi” (IGAC).
Notas de autor