Abstract
Introduction: Freshwater research in Latin America has been increasing in recent years, with a large participation of scientists based on local institutions. However, researchers in the region are facing diverse challenges, and we lack a regional overview of the status of freshwater research.
Objective: To address this, we surveyed researchers in the region to assess the current activity and challenges faced by the scientific community. We were interested in understanding (1) the type of research currently taking place in the region, (2) the major research gaps, as viewed by local researchers, and (3) the main limitations or obstacles slowing the development of freshwater science in the region.
Methods: We prepared a questionnaire with 26 questions regarding the background of participants, their ongoing research priorities, the products generated from their research, and the major limitations they are facing as researchers.
Results: We obtained 105 answers from researchers in 19 Latin American countries. Some of the important trends identified included: (1) a focus on stream ecosystems under agricultural and natural forest; (2) emphasis on biodiversity assessment and species inventories; (3) limited ecological research, mostly centered on litter decomposition and food web studies; and (4) communicating research in the form of peer-reviewed papers and reports in gray literature. Major limitations to the scientific activity included: (1) language, with a majority of respondents considering their handling of English a handicap; (2) limited access to research equipment; (3) lack of tools, such as taxonomic keys; and (4) limited research funding. Research needs and priorities resulted in three major areas in need of attention: (1) developing taxonomy and systematics; (2) improving our current understanding of ecology and natural history; and (3) understanding species distributions and biodiversity patterns.
Conclusions: Latin America has an active community of scientists. There is a need to diversify research topics, without abandoning traditional research areas (e.g., taxonomy, species distribution). We advocate for more collaboration among scientists with similar research goals, regardless of their affiliation. Improving communication and collaboration among universities and countries within Latin America will certainly facilitate overcoming obstacles and will help shaping a brighter future for freshwater research, and sciences in general, in the region.
Key words: aquatic ecology, financial support, research and development, scientific productivity.
Resumen
Introducción: las investigaciones en ecosistemas de agua dulce en América Latina han aumentado en los últimos años, con gran participación de científicos establecidos en instituciones locales. Los investigadores en la región se enfrentan a una variedad de desafíos y carecemos de una descripción regional del estado de la investigación en agua dulce.
Objetivo: para abordar esto, encuestamos a investigadores de la región para evaluar las líneas de investigación y los desafíos que enfrenta la comunidad científica. Estábamos interesados en comprender (1) el tipo de investigación que se está llevando a cabo actualmente en la región, (2) las principales brechas de investigación, según lo visto por los investigadores locales, y (3) las principales limitaciones u obstáculos que retrasan el desarrollo de la ciencia del agua dulce en la región.
Métodos: preparamos un cuestionario con 26 preguntas sobre los antecedentes de los encuestados, sus prioridades actuales de investigación, los productos generados a partir de su investigación, y las principales limitaciones que enfrentan como investigadores.
Resultados: obtuvimos 105 respuestas de investigadores en 19 países latinoamericanos. Algunas de las tendencias más importantes incluyeron: (1) un enfoque en ecosistemas fluviales, principalmente bajo los usos de tierra agrícola y de bosque; (2) énfasis en la evaluación de la biodiversidad y los inventarios de especies; (3) la limitada investigación ecológica está centrada en la descomposición de hojarasca y los estudios de la red alimentaria; y (4) la comunicación de la investigación se da a través de artículos científicos revisados por pares e informes técnicos en literatura gris. Las principales limitaciones de la actividad científica incluyen: (1) lenguaje, con la mayoría de los encuestados que consideran que su manejo del inglés es una desventaja; (2) acceso limitado a equipos de investigación; (3) falta de herramientas, tales como claves taxonómicas; y (4) financiamiento de investigación limitado. Las necesidades y prioridades de investigación dieron como resultado tres áreas principales que requieren atención: (1) desarrollar la taxonomía y la sistemática; (2) mejorar nuestra comprensión actual de la ecología y la historia natural; y (3) comprensión de la distribución de especies y patrones de biodiversidad.
Conclusiones: América Latina tiene una comunidad activa de científicos. Identificamos la necesidad de diversificar los temas de investigación, sin abandonar áreas tradicionales (e.g., taxonomía, distribución de especies). Abogamos por una mayor colaboración entre los científicos con los objetivos de investigación similares, independientemente de su afiliación. Mejorar la comunicación y la colaboración entre universidades y países de América Latina ciertamente facilitará la superación de obstáculos y ayudará a forjar un futuro más prometedor para la investigación del agua dulce y las ciencias en general en la región.
Palabras clave: ecología acuática, apoyo financiero, investigación y desarrollo, producción científica.
Artículo
Freshwater research in Latin America: Current research topics, challenges, and opportunities
Investigaciones en ecosistemas de agua dulce de América Latina: áreas de investigación, desafíos y oportunidades
Received: 27 October 2019
Revised document received: 07 August 2020
Accepted: 31 August 2020
Historically, scientific research in Latin America was first undertaken by European and North American explorers, collectors, and researchers visiting the region. Over time, local experts entered the scene, and new scientific advances were the result of collaborations between local and international researchers. As Latin American countries continue to build and strengthen their scientific capabilities, an active research community started to form and to play major roles in advancing our scientific knowledge of the region. Today, most Latin American countries have local active researchers that often collaborate with colleagues from international institutions outside Latin America. In freshwater sciences, this process could be exemplified by the growth of taxonomical research in Ephemeroptera, as reported by Domínguez and Dos Santos (2014). These authors describe a pioneering stage (1800’s-1970’s) dominated by studies coming from Europe and North America, followed by a transitional stage (1980’s-1990’s) where taxonomy was the result of collaborations, and then an autonomous stage (1999-present) dominated by local researchers (Domínguez & Dos Santos, 2014).
There has been an important increase in freshwater ecology papers from Latin America with local researchers as lead authors in the last two decades (Melo, Bini & Carvalho, 2006; Ramírez & Gutiérrez-Fonseca, 2014). This increase occurred despite numerous challenges and limitations that have slowed the pace of scientific research in the region, such as the lack of funding and unstable policies toward the importance of science. According to the analysis of Domínguez and Dos Santos (2014) with Ephemeroptera, the transition from outside to local research coincided with an increase in democracy in the region. They argue that multiple factors play important roles in determining scientific production in the region, including funding and the ability to collaborate among researchers within South America (Domínguez & Dos Santos, 2014).
Our current understanding of freshwater sciences in Latin America is the result of the complex interactions between research limitations, the development of regional and international collaborations, and political stability. Countries that have dedicated resources to scientific research and have institutions dedicated to support and advance sciences are more advanced in their understanding of freshwater ecosystems and their diversity (Walz, 2010; Domínguez & Dos Santos, 2014). Thus, while there are analyses on specific countries or research topics, we currently lack a regional overview of the current status and major challenges faced by Latin American researchers dedicated to the study of freshwater ecosystems. Identifying regional limitations and challenges may benefit the development of a common agenda and search for solutions to advance freshwater research in Latin America.
Here, we report on the current status of freshwater research in Latin America. We conducted a survey of researchers interested in studying freshwater ecosystems in order to assess the current state and challenges faced by the scientific community in the region. We were interested in understanding (1) the type of research currently taking place in Latin America, (2) the major research gaps, as viewed by local researchers, and (3) the main limitations or obstacles slowing the development of freshwater science in the region. We use this information to offer recommendations that may serve to address these challenges in order to improve future freshwater research in Latin America.
We prepared a survey with 26 questions to gather information on the activity and background of those answering the questionnaire, their ongoing research, the type of outputs generated with their data, and the major limitations they are facing as researchers (Appendix 1). Background questions were related to the country of residency, highest academic degree obtained, and the type of position they have (e.g., faculty, researcher). Questions on research activities were designed to characterize the major topics studied in Latin America, including theoretical basis for research. We also included questions to understand the main products of scientific research (e.g., reports, publications) and the language used. We also included questions to determine major limitations to scientific research that affect the development of internationally relevant research programs.
The survey was distributed widely among researchers from Latin American countries, the goal being to reach people affiliated with different institutions in each country. For this purpose, we used the Macrolatinos@ network (www.macrolatinos.net), a society composed of Latin American faculty, students, and consultants engaged in the study of freshwater ecosystems. In order to increase the number of Latin American countries represented in the survey, we also approached colleagues from the Society of Freshwater Sciences and directed requests to specific colleagues. Our goal was to make the survey accessible to professionals from different backgrounds and study approaches within the region.
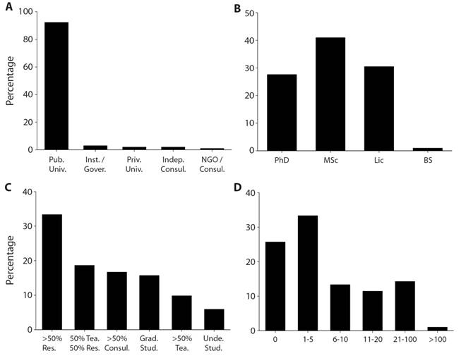
We obtained 105 answers from researchers in 19 Latin American, 50% of the answers were from researchers from Colombia, Costa Rica, and Ecuador. The remaining countries were represented from 1 to 9 responses. Most researchers were affiliated with universities (96 answers, Fig. 1A). 41% had a master’s degree and the remaining 59% was divided between licentiate and doctoral degrees (Fig. 1B). Those affiliated with universities had their time divided among research, teaching, and consulting (Fig. 1C). Over 50% of participants stated that research was the main component of their workload, but research productivity was variable, as indicated by the number of peer-reviewed publications: 26% had no publications, 33% had less than five, and 16% had 20 or more (Fig. 1D).

Research activities were directed toward stream ecosystems (>90%), with few works focusing on lakes and wetlands (Fig. 2A). A large percentage of the respondents focused on ecosystems draining agricultural landscapes (50%) and forest (38%), with a small fraction interested in urban settings (Fig. 2B). Research topics were dominated by biodiversity studies, including inventories (27%) and taxonomic studies (18%). Among ecological topics, studies of ecosystem function were favored (20%), with research on food webs and organic matter processing as the dominant ecosystem functions studied. Only a small fraction of the research (5%) appeared to be focused on climate or global change issues (Fig. 2C). Most researchers (68%) argued that their ecological studies were built on ecological theories or concepts. The most popular theoretical basis was around the River Continuum Concept (27%), followed by disturbance regimes (19%), and niche and habitat theories (~9%, Fig. 2D).

Research products included a similar proportion of both peer-reviewed papers and technical reports (33% each). Scientific articles in non-peer reviewed journals and internal reports were common products of research (20% and 13%, respectively, Fig. 3A). Most of this scientific production was published in Spanish. Almost half (42%) of the respondents published only in Spanish, an additional 29% used both English and Spanish as languages for publication, and a similar number published only in English (20%, Fig. 3B).

Questions on limitations and barriers to scientific activity were focused on three areas: language, resources, and knowledge. With respect to handling English as a second language, only 10% argued that it was not a barrier. The remaining 90% considered that their proficiency in English was a barrier to generate high-impact scientific publications (49%), to attend international scientific meetings (29%), or to stay abreast with the scientific production (12%, Fig. 4A). Resource limitation was mostly related to funding issues (48%), lack of access to literature (11%), or equipment or materials (11%), and inadequate administrative support, excessive regulations, or instability in their institutions (19%, Fig. 4B). Gaps in information or knowledge (i.e., research needs) were mostly around the need to work on taxonomy and systematics (28%), species autoecology (14%), and biodiversity, and species distribution (9%). Again, there was an emphasis on the need to have better access to scientific information (11%, Fig. 4C).

This study revealed the current situation of freshwater ecosystem research in Latin America and identified main challenges and limitations to aquatic sciences. Our findings mainly reflect academic activity, as our questionnaire was mostly answered by professionals from academic institutions (mostly public universities), who also dedicate some of their time to research. As such, trends reflect the reality of Latin American public universities and their scientific activities and support to research. Likewise, most of the professionals that answered the survey have a Master’s degree or lower, which may be due in part to the small fraction of universities in the region that offer doctoral degrees in science (Bernasconi, 2007). Remarkably, degrees do not necessarily reflect research activities, as many faculty members develop research activities that often correspond to the doctoral level without having such title, while many doctoral faculty rarely conduct research (Bernasconi, 2007).
Streams are the preferred study ecosystem, in particular those in agricultural and forest landscapes. This might simply reflect the ubiquity of streams in the landscape relative to other freshwater ecosystems, or might be a bias reflecting our network of collaborators. In fact, streams are favored as focal ecosystems among freshwater scientists not only in Latin America, but also in general (Ramírez & Gutiérrez-Fonseca, 2014). We identified a strong preference for research in ecosystems draining agricultural land uses, followed by those in forest, which suggests a focus on assessing anthropogenic impacts over aquatic ecosystems. Urban research is still lagging behind, but our survey suggests that urban streams are becoming a more common study subject in Latin America. Given the magnitude of urban growth and its impacts in the region, urban studies are needed to protect freshwater resources in the region.
Biodiversity studies and species inventories are still necessary to document the high diversity of organisms present in many Latin American ecosystems, and to aid in the assessment of ecosystem conditions (e.g., biomonitoring). Research activities associated with inventories, environmental assessment, and biomonitoring were frequently mentioned by respondents of our survey as part of their scientific activity. These trends may be motivated by the low cost of research, compared to other research areas, along with the objective, or research goals, of the sponsoring university, region, or country. In addition, these current research trends had already been identified as the primary ones in Latin America (Ramírez & Gutiérrez-Fonseca, 2014).
Ecological research in Latin America follows major global trends. A small fraction of survey respondents indicated that their research was centered on ecological research, highlighting mostly two topics: litter decomposition and food web studies. The fate of leaf litter in streams has received great attention in other areas of the world, in particular with respect to major factors controlling decomposition rates and the role of invertebrates in this process. Similarly, food web studies have been favored by ecologists, as they provide information on trophic interactions and food resources used by organisms. At the same time, our survey indicates that ecological studies in the region are guided by ecological theories and concepts. Major emphasis was given to the river continuum concept (RCC), which provides a general framework for understanding longitudinal changes in stream ecosystem structure and function. The RCC is, however, a well-tested concept in other regions (e.g., North America, Europe, Australia), and its prevalence might indicate a limited use of other recent and fascinating ecological theories by researchers in Latin America (Wojciechowski, Ceschin, Pereto, et al., 2017).
Scientific findings are communicated using a mixture of traditional research papers in peer-reviewed journals and reports in gray literature. We observed a general trend for respondents to dedicate about half of their time to research, which eventually conducts to publications in scientific journals. However, internal reports are often the main product, in particular, when research is conducted as part of environmental impact assessments, a common source of work in Latin America. We also found that Spanish was the most frequent language to publish research. This contrasts with previous studies that have reported English as the main language used to communicate scientific results by Latin American researchers (Ramírez & Gutiérrez-Fonseca, 2014). The difference could be attributed to the dominance of gray literature found in our survey, which is almost exclusively produced in Spanish, as it is used for internal purposes (e.g., bioassessments).
Researchers in Latin America face a number of major limitations, some associated with training and professional development, others associated with the institutional and support structures. As part of our survey, we designed questions directed at finding out what researchers considered were their main obstacles while conducting high impact research. A main training obstacle is language, with a majority of respondents considering their handling of English a handicap that needs to be overcome for advancing their careers. Surprisingly, surveys of literature indicate that a large majority of Latin American research is published in English (Ramírez & Gutiérrez-Fonseca, 2014), suggesting that researchers are forced to invest in publication aids (e.g., translation services). Language proficiency is therefore a major obstacle for producing competitive scientific publications. Notice that language limitations are not unique to freshwater scientists, and this has represented an obstacle for 21 to 59% of Spanish-speaking scientists (Moreno, Rey-Rocha, Burgess, Lopez-Navarro, & Sachdev, 2012). Therefore, we advocate for a comprehensive strategy to help resolve this limitation. Other obstacles include the need to improve access to research equipment and to develop tools, like taxonomic keys. As can be expected, research funding is a major limitation, along with administrative support for obtaining and managing grants.
Our question about research needs and priorities resulted in three major areas in need of attention. Respondents gave particular weight to the need to continue developing the field of taxonomy and systematics. Thus, documenting biodiversity continues to be a major priority for Latin American researchers. Given the high biological richness of many areas within the region, it is clearly necessary to not to abandon inventories and taxonomic studies. Another area in need of improvement is our current understanding of the ecology and natural history of aquatic species. Most named species are known only from taxonomic studies and we lack basic information on them (e.g., habitat, trophic position). A third gap of information is our understanding of broad species distributions and biodiversity patterns. Even basic species distribution modeling may be hindered by the lack of information on species needs and their niches. A final point made by respondents is the importance of widely sharing scientific findings, access to information is a limitation to fill some of those information gaps. There was little to not emphasis on community, ecosystem, or functional ecology as critical areas. This is surprising given their importance in the face of global change and the emphasis in other regions on understanding how different global change drivers impact biodiversity and ecosystem functioning.
Advancing research in Latin America could benefit from more collaborations among countries within the region. Although our survey did not assess the degree of collaboration among scientists from different countries, previous studies suggest that collaboration among Latin American countries is low (Muñoz, Queupil, & Fraser, 2016). The development of regional networks of collaborators sharing a similar interest has proven to be a viable and productive strategy to advance research in the region (Domínguez & Dos Santos, 2014). As an example, the Macrolatinos@ network has been facilitating communication and collaboration among freshwater researchers in the region. By providing a space for colleagues to share their plans, results, and limitations, the network functions as a facilitator of freshwater research in the region. Similar strategies could help provide support for specific projects or to solve limitations at particular locations. Thinking outside the boundaries of our institutions and our countries will certainly result in positive impacts on our scientific community. An example of this type of collaboration are global research projects, like those assessing leaf litter decomposition in streams (e.g., Boyero et al., 2015).
In conclusion, freshwater research in Latin America is conducted by an active community of scientists, mostly based at universities, which face similar challenges regardless of their country of affiliation. These challenges are likely different from those faced by researchers in other regions of the world, but potentially shared by those working in other developing countries. While there is research conducted by scientists based outside the region, local scientific communities are large and active and continue to grow and mature. There is a need to continue diversifying research topics, without abandoning traditional research areas (e.g., taxonomy, species distribution). A lack of basic knowledge on biodiversity does not preclude conducting ecological studies more in line with current global trends, mostly how global change impacts ecosystems. In addition, areas less dependent on economic resources could find fertile ground in Latin America (e.g., ecological theory, modelling), as it is happening in other regions around the world. There are many obstacles slowing productivity in the region. Some of them are well-known, like limited funding and support for research. Other issues are becoming more relevant, like access to information that might be ameliorated to some degree by the use of social networks, where authors often advertise their publications and facilitate the exchange of information. We encourage researchers to create laboratory web pages and participate in social media. Our survey provides a general picture of the current situation in the region and stresses the need to develop new and creative solutions to those issues. We advocate for more collaboration among scientists with similar research goals, regardless of their affiliation. Improving communication and collaboration among universities and countries within Latin America will certainly facilitate overcoming obstacles and will help shaping a brighter future for freshwater research in the region.
Ethical statement: authors declare that they all agree with this publication and made significant contributions; that there is no conflict of interest of any kind; and that we followed all pertinent ethical and legal procedures and requirements. All financial sources are fully and clearly stated in the acknowledgements section. A signed document has been filed in the journal archives.
suppl1.pdf (pdf) Necesidades de investigación acuática en América Latina
suppl1.pdf (pdf) Necesidades de investigación acuática en América Latina
We appreciate the collaboration of our colleagues of the Macrolatinos@ network and many Latin American researchers that aided by filling the survey. We thank Keysa G. Rosas for comments on early versions of the manuscript and Luz Boyero and an anonymous reviewer for their thoughtful comments. The lead author was supported by the National Science Foundation, under Grant DEB-1938843.



