Resumen
Introducción: El conocimiento de las comunidades perifíticas es importante, dada su participación en la producción primaria de los ambientes fluviales; además, el perifiton es una valiosa comunidad bioindicadora. No obstante, hasta la fecha es poco lo que se conoce sobre la ecología funcional de esta comunidad en los ríos colombianos.
Objetivo: En este trabajo se buscó caracterizar algunos aspectos funcionales de la comunidad de ficoperifiton de cuatro sistemas lóticos de la Reserva Natural La Planada, ubicada en el departamento de Nariño, Colombia.
Métodos: Durante mayo de 2019, en cada río se establecieron entre uno y tres sitios de muestreo, en los cuales se midieron las características hidrológicas y fisicoquímicas y se determinó la composición taxonómica y algunos rasgos funcionales de las comunidades de algas perifíticas. Se calcularon la media ponderada comunitaria (MPC) y la varianza ponderada comunitaria (VPC) de estos rasgos y se exploró su relación con las variables abióticas mediante regresiones, correlaciones y análisis de correspondencia canónica (ACC).
Resultados: Se registraron 59 géneros de algas, de los cuales a 47 se les midieron los rasgos funcionales. La MPC del rasgo exoesqueleto silíceo fue estadísticamente mayor en la quebrada El Tejón. La MPC y la VPC de los demás rasgos no varió entre ríos, pero en algunos de ellos la presencia de mucílago y la organización en filamentos tendió a ser mayor. La amplia fluctuación de la VPC de todos los rasgos funcionales parece señalar que estas comunidades ficoperifíticas no tienen limitaciones de recursos, la competencia es reducida y las especies tienden a ser funcionalmente diferentes. Las variables ambientales con mayor influencia fueron el caudal, la mineralización del agua, el pH y la transparencia. La presencia de mucílago se asoció con la dureza del agua y el predominio de algas filamentosas con la transparencia; el pH influyó positivamente la relación superficie/volumen (S/V).
Conclusiones: Este estudio constituye una línea base que permitirá evaluar cambios en las comunidades de algas bentónicas ante posibles intervenciones y brindar pautas para eventuales acciones de restauración de los sistemas fluviales de esta región de importancia mundial por su elevada biodiversidad.
Palabras clave: ficoperifíton, la Planada, media ponderada de la comunidad, microalgas bentónicas, rasgo funcional, varianza ponderada de la comunidad.
Abstract
Introduction: Knowledge on the periphytic community is essential because of its central role in river primary production. Also, periphyton is a valuable bioindicator of the community. However, to the date, little is known about the functional ecology of these communities in Colombian rivers.
Objective: This work sought to characterize functional aspects of the phycoperiphytic community of four lotic systems of the La Planada Natural Reserve, located in the Department of Nariño, Colombia.
Methods: In May 2019, between one and three sampling sites were established in each river. Hydrological and physicochemical variables were measured. Periphyton was sample to determine the taxonomic composition of the benthic algae as well as some functional traits. From these traits, the community weighted mean (CWM) and community weighted variance (CWV) were calculated, and their relation with abiotic variables was explored using regressions, correlations, and a canonical correspondence analysis (CCA).
Results: 59 genera of algae were recorded, from which 47 had its functional traits measured. The CWM of the siliceous exoskeleton trait was statistically higher in El Tejón creek. The other traits had similar CWM and CWV values in all rivers. However, the traits of the presence of mucilage and organization in filaments showed predominance in some streams. The fluctuating data of CWV in all rivers seem to indicate that these phycoperiphytic communities have no resource limitations, competition is low, and species tend to be functionally different. The environmental variables with the greatest influence were flow, water mineralization, pH, and water transparency. The hardness of the water and the presence of mucilage were associated, while the predominance of filamentous algae was related to transparency; pH positively influenced the surface/volume ratio (S/V).
Conclusions: This study represents a baseline that will allow evaluating changes in the benthic algae communities in the face of possible interventions and providing guidelines for eventual actions to restore the river systems of this important region due to its high biodiversity.
Key words: benthic microalgae, community weighted mean, community weighted variance, functional trait, La Planada, phycoperiphyton.
Artículo
Ecología funcional de las algas perifíticas en el Chocó colombiano: limitación de recursos, competencia y variables ambientales
Functional ecology of periphytic algae in the Colombian Chocó: resource limitations, competition, and environmental variables
Recepción: 27 Mayo 2020
Recibido del documento revisado: 27 Noviembre 2020
Aprobación: 15 Diciembre 2020
La comunidad perifítica corresponde a un conjunto de organismos microscópicos adheridos a sustratos sumergidos en el agua; incluye algas, bacterias, hongos, protozoos, microcrustáceos y detritos orgánicos e inorgánicos (Wetzel, 1983). En un sistema acuático la comunidad perifítica constituye un componente clave para la transferencia de materia, energía e información a través de las cadenas tróficas, ya que, al ser una comunidad eminentemente autótrofa, es la base energética para niveles tróficos más altos (Lamberti, 1996; Montoya & Aguirre, 2013). La producción primaria del perifiton puede representar entre el 70 y el 80 % de la producción total de los ambientes acuáticos continentales (Roldán & Ramírez, 2008). Por otra parte, el perifiton se ha usado como bioindicador ecológico desde hace mucho tiempo (Patrick, 1949; Patrick, 1950), debido a su sensibilidad ante los cambios ambientales. Es una comunidad que tiene una capacidad de respuesta rápida frente a un espectro amplio de tensores y permite evidenciar los procesos acumulativos que ocurren en el ecosistema, dado que se encuentra fija al sustrato (Arcos, Ávila, Estupiñán, & Gómez, 2005).
Es claro que el perifiton es una comunidad funcionalmente importante en los sistemas acuáticos, por lo que se hace necesario investigarla desde varias perspectivas, una de ellas conocida como la ecología funcional. Esta rama de la ecología estudia la forma en que los organismos usan los recursos y la manera en que su actividad transforma el ambiente, lo cual permite comprender los mecanismos de ensamblaje de las comunidades y los procesos y servicios de los ecosistemas (Salgado-Negret & Paz, 2015). Violle et al. (2007) definen un rasgo funcional como cualquier característica morfológica, fisiológica o fenológica que impacta de forma indirecta la aptitud biológica de un individuo mediante los efectos que pueda tener dicho rasgo sobre el desempeño el organismo. La ecología funcional se basa entonces en la evaluación de los rasgos funcionales en las especies de la comunidad, los cuales incluyen las respuestas etológicas además de las características biológicas señaladas, que influyen no solo en el desempeño de los organismos, sino que también pueden estar relacionados con procesos ecosistémicos (Violle et al., 2007; Córdova-Tapia & Zambrano, 2015). Por ejemplo, la proporción superficie/volumen de las microalgas relaciona aspectos fisiológicos y ambientales y el volumen celular faculta estimar su biomasa. Al medir estos rasgos en los individuos se obtiene información relacionada con las condiciones ambientales del ecosistema acuático y sobre la manera como se agrupan las especies en tales ambientes, lo que permite definir grupos funcionales (Marciales-Caro, 2012).
Para el Neotrópico, y especialmente para Suramérica, los estudios sobre el perifiton de aguas continentales se han centrado en conocer la variación temporal de su biomasa, en evaluar la incidencia que tienen factores como la luz y las variables químicas e hidrológicas, en establecer la relación de esta comunidad con la disponibilidad de nutrientes y en estudiar su estructura taxonómica y su productividad primaria (Cruz & Salazar, 1989; Moschini-Carlos, Henry, & Pompêo, 2000; Gari & Corigliano, 2004; Pizarro & Alemanni, 2005; Rodríguez, 2008). Los aspectos relacionados con la ecología funcional del perifiton apenas se empiezan a investigar en esta región del mundo. Un trabajo inicial es el de Dunck, Rodrigues y Bicudo (2015), quienes realizaron un estudio sobre la diversidad funcional y los rasgos funcionales de las algas perifíticas en un lago amazónico inundable. En dicho trabajo hallaron que las especies unicelulares y tolerantes al disturbio (estrategas R) estuvieron más relacionadas con el periodo de aguas bajas, mientras que las especies filamentosas y con mayor capacidad de competencia y tolerancia al estrés por nutrientes (estrategas C-S) se relacionaron con la colonización que ocurrió durante las aguas altas.
En Colombia, el perifiton se ha abordado desde diferentes perspectivas, como la colonización en distintos sustratos, la estructura ecológica en diferentes ecosistemas, la variación de su biomasa, la influencia de algunas variables sobre la diversidad taxonómica y la evaluación de la calidad del agua mediante el análisis de dicha comunidad (Montoya & Aguirre, 2013). Algunos trabajos se han hecho en sistemas lóticos, como en el río Tota (Donato & Martínez, 2003), el río Bogotá (Rivera-Rondón & Díaz-Quirós, 2004), los ríos La Plata y La Venta en el páramo de San Turbán (Ramírez & Plata-Díaz, 2008), el río Anchique en la cordillera Central (Huertas-Farías, Parra, & Reinoso, 2019) y en el río Hacha en el piedemonte amazónico (Godoy-Lozada & Pelaez-Rodriguez, 2020), entre otros.
Los aspectos morfológicos y funcionales del ficoperifiton (el componente algal del perifiton, Roldán & Ramírez, 2008) colombiano aún no se han estudiado. No obstante, para la comunidad fitoplanctónica (las algas suspendidas en la columna de agua) de ambientes lénticos del país sí se han hecho algunos estudios relacionados con su morfología funcional. Algunos ejemplos son las investigaciones llevadas a cabo en los humedales urbanos Juan Amarillo (Mora, 2011) y El Salitre de la ciudad de Bogotá (Pulido, 2015), en el embalse de Betania (Pastrana, 2016), en el lago de Tota (Muñoz-López, Aranguren-Riaño, & Duque, 2017) y en los ambientes lénticos de Yahuarcaca, Ayapel, Tota y Fúquene (Hernández, 2011; Hernández et al., 2020).
De lo mencionado, se puede decir que la investigación en el trópico americano acerca de la ecología funcional del ficoperifiton es muy reducida, por lo que es necesario profundizar en esta área prometedora, ya que los rasgos funcionales juegan un papel importante para entender la adaptación de las comunidades y de las especies a su nicho ecológico (Dunck et al., 2015). Así, el estudio de la ecología funcional de la comunidad perifítica permite conocer tanto las respuestas de las especies ante las variables ambientales, como deducir las condiciones particulares de los ecosistemas acuáticos. Así es posible potenciar acciones de conservación y restauración de tales ambientes. Las comunidades acuáticas de los ríos de la Reserva Natural La Planada, Nariño, no han sido estudiadas, a pesar de que esta área pertenece a la región biogeográfica del Chocó, la cual ocupa el noveno puesto en biodiversidad de plantas en el mundo (Christenhusz, Fay, & Chase, 2017). Por otra parte, estos ríos son sistemas de gran importancia como fuentes de agua para las poblaciones humanas de este territorio. Ante esta falta de información, el presente estudio pretendió caracterizar algunos aspectos funcionales de la comunidad de ficoperifiton de dichos cursos de agua, los cuales podrían ser útiles en acciones de conservación de estos ecosistemas.
Sitios de muestreo: La Reserva Natural de La Planada se encuentra en las coordenadas 1º17’ N & 78º15’ W, cerca de la frontera colombiana con Ecuador (Vallejo, Samper, Mendoza, & Otero, 2004). Se ubica al suroccidente del departamento de Nariño (Colombia), sobre la cordillera Occidental en el municipio de Ricaurte, en territorio de la comunidad indígena Awa, con elevaciones que oscilan entre 300 y 2 500 msnm (Cabildo Mayor Awa de Ricaurte Camawari, 2002). Es una zona selvática que conserva bosques primarios, con temperaturas de 18-32 ºC y pluviosidad promedio de 5 000 mm al año, con un régimen monomodal y lluvias máximas entre noviembre y enero (Alcaldía Municipal de Ricaurte, 2006). Sus paisajes se componen principalmente de bosques húmedos tropicales (selvas basales) y bosques nublados (selvas andinas), en los cuales nacen y transcurren ríos y quebradas que son fundamentales para la región (Cabildo Mayor Awa de Ricaurte Camawari, 2002). En esta región se trabajaron dos ríos y dos quebradas, con condiciones ambientales diferentes (Tabla 1). Estos ríos se visitaron entre el 17 y el 31 de mayo de 2019.

Muestreo y laboratorio: Se seleccionaron tramos de 150 m en cada río y en ellos se establecieron varios sitios de muestreo. En las quebradas El Tejón y La Calladita se localizaron tres puntos, mientras que en el río Miraflores se ubicaron dos puntos y en el río Pialapí solo uno debido a dificultades logísticas. En cada sitio se midió el ancho, la profundidad media y la velocidad de la corriente con el método del objeto flotante (Pinilla, 2017). Se midieron in situ el oxígeno disuelto, el porcentaje de saturación de oxígeno, la temperatura, el pH, la conductividad eléctrica y la concentración de sólidos disueltos totales con una sonda multiparamétrica Hach HQ40D. Se determinó la transparencia del agua mediante la técnica del disco Secchi colocado horizontalmente (Pinilla, 2017). Se tomaron muestras de agua en botellas plásticas que se conservaron refrigeradas y se llevaron al Laboratorio de Ecología del Departamento de Biología de la Universidad Nacional de Colombia Sede Bogotá, donde se empleó un espectrofotómetro Hach DR2000 para analizar los nutrientes (nitritos, nitratos, amonio, ortofosfatos, sulfatos) en el agua previamente filtrada a través de filtros de fibra de vidrio de 1.5 µ. En todos los casos se siguieron las metodologías estándar de APHA (Rice, Baird, Eaton, & Clesceri, 2012).
En cada uno de los sitios de muestreo (separados 50 m en promedio) de cada río se hicieron entre 10 y 15 raspados de algas perifíticas sobre sustratos rocosos (epiliton). Cada raspado cubrió un área de 20 cm2, la cual se limpió con un cepillo de dientes. La serie de raspados de cada sitio se preservó en un frasco plástico con solución Transeau (etanol 90 %, agua destilada y formol 40 % en proporciones 3:2:1). Las algas se fotografiaron con microscopio óptico Nikon Eclipse E100 en el Laboratorio de Equipos Ópticos del Departamento de Biología de la Universidad Nacional de Colombia Sede Bogotá. Las mediciones se hicieron con el programa ImageJ (Schneider, Rasband, & Eliceiri, 2012). Los organismos se identificaron taxonómicamente hasta el nivel de género con las claves de Whitford y Schumacher (1969), Ramírez (2000), Kilroy (2004), Bicudo y Meneses (2006) y Necchi (2016). Se confirmó la validez de los taxones mediante la la base de datos AlgaeBase (Guiry & Guiry, 2020).
Los conteos se realizaron en el Laboratorio de Limnología del Departamento de Biología en un microscopio invertido Advanced Optical Microscope XD-202 mediante la técnica de cámaras de sedimentación tipo Utermöhl (Lund, Kilpling, & LeCren, 1958). Se empleó una magnificación de 40 X 10 y en cada muestra se hicieron conteos de organismos de todos los taxones en campos aleatorios de las cámaras, hasta alcanzar los 100 individuos de la especie más abundante. Cada alga individual (unicelular) o colonial (cenobio o filamento) se tomó como un organismo. A partir de los datos morfológicos se calculó el volumen y el área superficial, la relación área/volumen y la dimensión lineal máxima (Hillebrand, Dürselen, Kirschtel, Pollingher, & Zohary, 1999; Sun & Liu, 2003). Para las formas plasmodiales y cenobiales las mediciones se hicieron en toda la colonia, incluyendo el mucílago.
Análisis de datos: El examen de la información física, química e hidrológica se hizo mediante un análisis de componentes principales (ACP) a fin de evidenciar las variables abióticas más representativas en el conjunto de sitios de muestreo de los cuatro ríos estudiados. En este ACP se incluyeron las variables hidrológicas de ancho, caudal y las variables fisicoquímicas de temperatura, pH, transparencia, conductividad eléctrica, sólidos disueltos totales, oxígeno disuelto, porcentaje de saturación de oxígeno, alcalinidad y dureza. No se consideraron los nutrientes dado que estos solo se midieron en un solo punto de cada río. Se hizo una estandarización previa mediante la suma de los datos de cada variable y la división de cada dato por la suma total, con lo cual se obvió el hecho de que las variables tuvieran unidades diferentes. También se hizo un análisis de correspondencia canónica (ACC) a fin de explorar las relaciones entre las variables abióticas y los rasgos funcionales. Se empleó el ACC por ser una técnica que funciona bien con distribuciones de especies sesgadas y que es independiente del ruido cuantitativo en los datos de abundancia. Esta técnica permite estudiar situaciones en las que no se conocen todos los factores que determinan la composición de las especies (Palmer, 1993). Como variables abióticas para este análisis se emplearon los valores del ordenamiento de los tres primeros ejes del ACP mencionado anteriormente, puesto que dichos ejes resumen las condiciones ambientales de los ríos en los que se desarrollan las comunidades perifíticas. Para estos análisis estadísticos se empleó el programa de libre acceso PAST 4.02 (Hammer, Harper, & Ryan, 2001).
Los rasgos funcionales escogidos en las comunidades fitoperifíticas estudiadas se seleccionaron de acuerdo con la propuesta de Biggs, Stevenson y Lowe (1998). Se incluyeron las categorías de rasgos asociados a la adaptación al disturbio (presencia o ausencia de valvas o exoesqueleto de sílice, organización o no en filamentos, presencia o ausencia de mucílago) y de rasgos asociados al uso de los recursos (dimensión lineal máxima, relación superficie/volumen, biovolumen). La escogencia de estos rasgos se basó en la manera como las especies pueden ser exitosas para establecerse y desarrollarse sobre los sustratos. La variación e importancia de cada uno de estos rasgos funcionales en los sitios muestreados de los correspondientes ríos se evaluó mediante el cálculo de la media ponderada de la comunidad (MPC) y de la varianza ponderada de la comunidad (VPC), las dos basadas en las abundancias de los taxones. Dado que la respuesta de la comunidad es la suma de todas las respuestas de sus individuos, la MPC permite detectar cuál es el valor del rasgo más esperado en un individuo seleccionado aleatoriamente de dicha comunidad (Garnier et al., 2004; Breitschwerdt, Jandt, & Bruelheide, 2018). Por su parte, la VPC indica la variabilidad de los rasgos funcionales en la comunidad (Violle et al., 2007). Las ecuaciones utilizadas fueron las siguientes (Hulshof et al., 2013):

Donde pi es la abundancia relativa en porcentaje de la especie i y xi es el valor del rasgo funcional de la especie i en el sitio k. Una vez calculados los valores de MPC y VPC de los rasgos funcionales en cada punto de muestreo se hicieron análisis de varianza no paramétrica de Kruskal-Wallis para establecer si se presentaban diferencias significativas entre los ríos y se utilizó el test de Dunn para conocer los ríos que se diferenciaron estadísticamente. Finalmente, se realizaron correlaciones de Spearman y regresiones entre los valores de MPC y las variables abióticas y se graficaron las líneas de tendencia. Los análisis estadísticos se hicieron con el programa PAST 4.02 y las gráficas de regresión con la hoja de cálculo Excel. Las figuras de PAST se editaron con el programa INKSCAPE 1.0 (The Inkscape Project, 2020).
Ambiente fisicoquímico de los ríos: La quebrada La Calladita es un cuerpo de agua de primer orden, lo cual es consistente con su bajo caudal de 2.9 m3/s; esta corriente tuvo una baja velocidad del agua (0.39 m/s) y su cauce fue el más angosto (3.3 m, Tabla 2). La quebrada El Tejón es de segundo orden y en ella desemboca La Calladita; su caudal (2.7 m3/s) fue ligeramente menor al de La Calladita por tener una velocidad media menor. Los ríos Pialapí y Miraflores son cuerpos de agua de orden superior (orden 3). El río Pialapí es el sistema más ancho (17.8 m) y somero (0.61 m), con una moderada velocidad de la corriente (0.41 m3/s) y con un caudal relativamente importante (4.5 m3/s ). El río Miraflores tiene una profundidad media de 1.26 m, pero es muy ancho y con velocidad del agua alta, lo que ocasiona un caudal elevado (15.3 m3/s).

En general, las variables físicoquímicas fueron muy similares en el grupo de ecosistemas fluviales estudiados (Tabla 2). Estas corrientes son de aguas predominantemente transparentes, indicio de que tienen una baja carga de sólidos suspendidos, lo cual concuerda con la baja concentración de solidos disueltos (5.02-20.57 mg/L) y la reducida conductividad (9.33-37.41 µS/cm). La menor transparencia en La Calladita (3.08 m) puede obedecer a su cauce arcilloso. Las quebradas El Tejón y La Calladita fueron los cuerpos de agua más desmineralizados, lo que se reflejó en su menor conductividad (9.35-9.33 µS/cm) y en la escasa dureza de sus aguas (6.1-9.9 mg/L CaCO3). En contraste, los ríos Miraflores y Pialapí presentaron una mayor mineralización. La temperatura del agua fue moderada (17.2-18.9 ºC) y el pH fue neutro a ligeramente alcalino (7.05-7.77), a excepción de la quebrada La Calladita, la cual tuvo condiciones más ácidas (5.89). Todos estos ecosistemas presentan una alcalinidad notable (21.66-37 mg/L CaCO3) menos La Calladita (14.66 mg/L CaCO3), lo que es concordante con las características crenales (de cabecera) propias de este cuerpo de agua de primer orden. Los niveles de oxígeno disuelto (7.27-8.05 mg/L) y el porcentaje de saturación de oxígeno (93.83-101.61 %) fueron altos en el conjunto de sistemas lóticos evaluados. Como se observa en la Tabla 2, los coeficientes de variación de la mayoría de las variables en las que se pudieron calcular fueron bajos a medios. En las quebradas de orden 1 y 2 los factores con mayor variación fueron los de tipo hidrológico (ancho, profundidad y velocidad de la corriente), la transparencia, la alcalinidad y la dureza.
Todos los ríos tuvieron niveles de amonio, nitrito, nitrato y fosfato relativamente bajos, lo que implica que son cuerpos de agua oligotróficos (Tabla 2). El río Miraflores mostró una mayor cantidad de nitrato (0.06 mg/L) y el río Pialapí presentó la mayor concentración de nitrito (0.008 mg/L), sin llegar a ser altas. Estos sistemas fluviales tuvieron cantidades moderadamente altas de amonio (entre 0.1 y 0.49 mg/L), siendo la mayor la del río Miraflores.
El ACP (Fig. 1) permitió detectar del conjunto de variables hidrológicas, físicas y químicas aquellas que aportaron más información y que por lo tanto mostraron algún grado de asociación con los sitios de muestreo. Se observa que el porcentaje de saturación de oxígeno, el caudal y la conductividad fueron los factores más asociados al componente 1, el cual separa con un 86.6 % de explicación de la varianza, los ecosistemas fluviales en dos grupos. Uno está compuesto por los ríos Miraflores y Pialapí de mayor caudal y una mayor conductividad en comparación a los otros dos cuerpos de agua. El otro corresponde a las quebradas La Calladita y El Tejón con una menor saturación de oxígeno y baja conductividad. El componente 2 (6 % de explicación) estuvo definido por las variables dureza, temperatura y alcalinidad y segregó los puntos de muestreo de estas dos quebradas, los cuales tuvieron algunas variaciones entre sitios (alcalinidad: de 10 mg/L CaCO3 en La Calladita-1 a 26 mg/L CaCO3 en El Tejón-2; dureza: de 6 mg/L CaCO3 en El Tejón-2 a 15 mg/L CaCO3 en La Calladita-1). El componente 3 (no graficado) tuvo también una baja explicación (5 %), con el caudal como el factor más importante en este eje.

Composición taxonómica y descripción general de los rasgos funcionales de la comunidad ficoperifítica: Se identificaron 59 géneros de microalgas en todos los cuerpos de agua, entre los cuales se destacaron Cymbella sp., Tabellaria sp., Encyonopsis sp. y Diadesmis sp., comunes a todos los ecosistemas estudiados. De este grupo de algas, se pudieron determinar los rasgos funcionales a 47 géneros (Apéndice 1). En el río Pialapí se encontró una gran dominancia de Cymbella sp., con un 23.47 % de abundancia relativa, seguida por Encyonema sp. con el 11.54 %. En la quebrada El Tejón el alga Pinnularia sp. presentó una abundancia relativa del 16.18 %, lo que lo hizo el taxón más representativo en este cuerpo de agua, seguido por Geissleria sp. con un 12 %. En el río Miraflores los taxones más abundantes fueron Nitzschia sp. (27.3 %), Encyonopsis sp. (10.46 %) y Cymbella sp. (10.19 %). En la quebrada La Calladita el alga predominante fue Melosira sp. (16.18 %), seguida por Synedra sp. (14.32 %).
En general, las algas con una mayor dimensión máxima fueron Oedogonium sp, Aulocoseira sp., Phormidium sp., Tolypothrix sp., Stigeoclonium sp., Hapalosiphon sp., Zygnema sp. y Fragilaria sp., cuyos tamaños lineales máximos fluctuaron entre 108 y 223 μm (Apéndice 1). La mayoría de estos taxones son filamentosos y se comparten entre las dos quebradas (El Tejón y La Calladita), mientras que en el río Miraflores se encuentran Aulacoseira sp. y Fragilaria sp., las cuales no están presentes en La Calladita. Las algas de menor dimensión lineal máxima fueron Diatoma sp., Cylindrocapsa sp., Rhabdoderma sp. y Dictyosphaerium sp., cuyos tamaños oscilaron entre 4 y 15 μm. Estas algas se encuentran en el río Pialapí, mientras que Diatoma sp se comparte con la quebrada El Tejón y Dictyosphaerium sp. con el río Miraflores. Los taxones Achnanthidium sp, Closterium sp., Diadesmis sp., Dictyosphaerium sp., Gomphoneis sp. y Rhabdoderma sp. tuvieron relaciones S/V altas (formas alargadas o aplanadas) y a su vez biovolúmenes reducidos. Las algas más voluminosas y con relaciones S/V bajas (con tendencia a ser filamentosas) fueron Aulacoseira sp., Bulbochaete sp., Cylindrocapsa sp., Hapalosiphon sp., Melosira sp., Oedogonium sp., Stigeoclonium sp. y Tolypothrix sp. El 57 % de los taxones presentó exoesqueleto silíceo (todos de la Clase Bacillariophyceae), y el 43 % se organizó en forma de filamentos; dentro de estas formas filamentosas predominaron las cianobacterias (11 géneros), seguidas de las diatomeas (seis géneros) y en menor proporción las clorofíceas (tres géneros). El 53 % de las algas identificadas (25 taxones) presentaron mucílago y en este grupo hubo un número alto de diatomeas (17); de los restantes ocho géneros con protecciones mucilaginosas cinco fueron cianobacterias y tres clorofíceas (Apéndice 1).
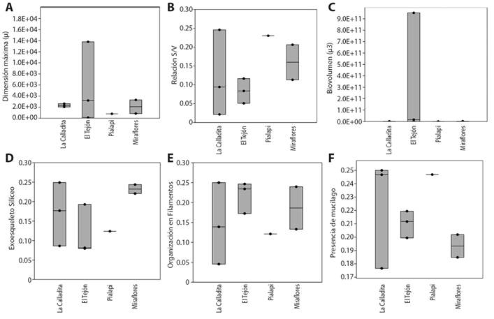
Variación en los rasgos funcionales entre las comunidades de ficoperifiton: El comportamiento de las medias ponderadas de los distintos rasgos funcionales de la comunidad de algas perifíticas se muestra en la Fig. 2. El análisis de Kruskal-Wallis mostró que entre los ríos solo hubo diferencias significativas en la MPC del rasgo presencia de exoesqueleto de sílice (H = 6.25, P = 0.043). El test de Dunn indicó que en la quebrada El Tejón este este rasgo fue más alto (Fig. 2D), es decir, en este ecosistema la representación de diatomeas fue estadísticamente mayor. Las MPC de los demás rasgos no fueron estadísticamente diferentes entre los ríos (MPC de la dimensión máxima: H = 1.88, P = 0.388; MPC de la relación S/V: H = 3.80, P = 0.142; MPC del biovolumen: H = 1.0, P = 0.317; MPC de la organización en filamentos: H = 5.13, P = 0.076; MPC de la presencia de mucílago: H = 4.25, P = 0.119). Aunque sin ser significativas, fueron notables las tendencias a una mayor presencia de mucílago en las algas del río Miraflores (Fig. 2F) y a la aparición de más organismos filamentosos en la quebrada La Calladita (Fig. 2E).

Por su parte, las fluctuaciones en las varianzas ponderadas de los rasgos estudiados fueron estadísticamente similares entre sistemas fluviales (Fig. 3) (VPC de la dimensión máxima: H = 1.25, P = 0.882; VPC de la relación S/V: H = 1.11, P = 0.573; VPC del biovolumen: H = 1.11, P = 0.573; VPC de la presencia de exoesqueleto de sílice: H = 3.13, P = 0.208; VPC de la organización en filamentos: H = 0.55, P = 0.757; VPC de la presencia de mucílago: H = 1.11, P = 0.573). Sin embargo, es notable cierta propensión a una mayor amplitud de las varianzas en las quebradas, comparadas con la del río Miraflores, en especial en rasgos como el biovolumen y la presencia de mucílago. En el río Pialapí no se presentan variaciones en la VPC ni en la MPC de los rasgos, debido a que solo se tomaron datos de un único punto de muestreo en este sistema.

Relaciones entre el ambiente abiótico y los rasgos funcionales de la comunidad ficoperifítica: En la Fig. 4 el eje 1 del ACC estuvo definido por los vectores P1 (que representa las variables saturación de oxígeno, conductividad y caudal) y P2 (dureza, alcalinidad y temperatura) del ACP desarrollado en la Fig. 1. El eje 1 del ACC explica casi toda la organización de los datos (98 %) y muestra la tendencia de los ríos Miraflores y Pialapí, de mayor caudal, mayor conductividad y más oxigenación, a ubicarse hacia la izquierda del ordenamiento. A estas condiciones y sitios se asocian las MPC de los rasgos funcionales correspondientes a la relación S/V, el exoesqueleto de sílice y la presencia de mucílago, muy bien representados en estos ríos (Fig. 2B, Fig. 2D, Fig. 2F). En el otro extremo del gradiente están las quebradas El Tejón y La Calladita, de menor caudal y con aguas más desmineralizadas, a las que se asocian de manera laxa los rasgos de organización en filamentos y el biovolumen; la dimensión máxima, en cambio, está más estrechamente relacionada con La Calladita, en donde este rasgo tuvo su mayor expresión (Fig. 2A).

Las regresiones entre los valores de las MPC de los rasgos funcionales y las variables abióticas permitieron ver con más detalle la influencia del ambiente físico sobre dichos rasgos. La Fig. 5 incluye aquellas relaciones que tuvieron los mayores coeficientes de determinación R2 y cuyas correlaciones de Spearman mostraron probabilidades inferiores a 0.05. La presencia de mucílago se correlacionó positivamente con las variables de mineralización (conductividad y dureza), con incremento de este rasgo en el río Miraflores (Fig. 5A, Fig. 5B). La organización en filamentos mostró un efecto inverso en relación con la transparencia del agua y el pH, de manera que para los dos casos los valores de la MPC de este rasgo fueron más altos en la quebrada La Calladita (Fig. 5D, Fig. 5E). A su vez, el pH y la transparencia tuvieron un efecto positivo sobre la relación S/V y el exoesqueleto de sílice; en el primer caso predominaron los valores altos de S/V en los ríos Miraflores y Pialapí, de aguas ligeramente básicas; en el segundo caso, las mayores abundancias ponderadas de algas con exoesqueleto silíceo se dieron en el río Pialapí y en la quebrada El Tejón, donde la transparencia fue alta (Fig. 5C, Fig. 5F).

A pesar de las condiciones oligotróficas generalizadas que muestran los resultados de las variables fisicoquímicas, la quebrada La Calladita tuvo la concentración de fosfato más alta. Probablemente esta corriente pudo verse afectada por condiciones naturales no identificadas durante el muestreo, como por ejemplo sustratos litológicos ricos en fósforo o erosión de los bordes de la quebrada. Al respecto, Vallejo et al. (2004) indican que los suelos de la zona corresponden a Andisoles, los cuales típicamente tienen una alta capacidad de retención de fosfatos provenientes de cenizas volcánicas. Sin embargo, el abundante aporte de material alóctono de la vegetación ribereña puede ser una de las fuentes principales de fósforo en arroyos de bajo orden como La Calladita (Withersa & Jarvie, 2008). Por su parte, los ríos Miraflores y Pialapí, que fluyen a través de valles habitados por comunidades humanas, están expuestos a la afectación ocasionada por la agricultura y la ganadería, por lo que mostraron valores más altos en otras condiciones químicas. También hay que considerar que, al ser ríos de mayor orden, sus cuencas recogen aportes litológicos de áreas más amplias por lo que tienden a tener un mayor grado de mineralización, como se ha determinado en la cuenca del río Heishi en China (Fan et al., 2006). En general, los coeficientes de variación más altos en el caudal, la transparencia y las variables de mineralización de los riachuelos de orden 1 y 2 se deben a la mayor variabilidad física y química que tienen estos ríos de cabecera en las montañas tropicales, los cuales son más susceptibles a los cambios climáticos e hidrológicos locales (Jacobsen, 2008).
El ordenamiento de las variables abióticas y las condiciones químicas registradas en la Tabla 1 confirman que los dos sistemas de menor orden (La Calladita y El Tejón) son muy similares en su comportamiento hidrológico y fisicoquímico. Por su parte, los ríos Miraflores y Pialapí tienen características ambientales que los diferencian con claridad, correspondientes a variables que señalan cierto grado de intervención humana (sulfatos, nitritos, amonio) o un mayor orden hidrológico (conductividad, sólidos disueltos, caudal). Las cantidades de amonio medidas en estos ríos no son suficientes para causar toxicidad a la biota acuática, ya que se requieren más de 10 mg/L para que los organismos se vean afectados (Mann, Hyne, Choung, & Wilson, 2009).
Las características fisicoquímicas e hidrológicas de los ríos estudiados podrían hacer que la abundancia de algas perifíticas sea relativamente baja, en especial por las condiciones oligotróficas de estos ríos. La temperatura cálida y la alta transparencia de estas corrientes podrían contrarrestar en parte esta tendencia. La riqueza taxonómica tiende a ser elevada, al compararla con la registrada en otros estudios sobre algas perifíticas en Colombia, en los cuales se han hallado entre 31 y 56 géneros (Montoya & Aguirre, 2013), valores inferiores a los 59 géneros encontrados en los ríos de La Planada. Por lo demás, hay coincidencia entre los diferentes trabajos sobre perifiton del país en que las diatomeas son dominantes y están muy bien adaptadas a las condiciones lóticas de los ambientes fluviales (Donato & Martínez, 2003; Rivera-Rondón & Díaz-Quirós, 2004; Ramírez & Plata-Díaz, 2008; Huertas-Farías et al., 2019; Godoy-Lozada & Pelaez-Rodriguez, 2020). Probablemente esto se debe a que los rasgos funcionales de este grupo (exoesqueleto de sílice, presencia de mucílago en muchas especies, desarrollo de formas pedunculadas, movilidad, entre otros) les permite persistir y predominar bajo el efecto de factores estresantes, como la velocidad de la corriente, los cambios de nivel del agua y el ramoneo por parte de organismos herbívoros. Como lo mencionan Algarte, Pavan, Ferrari y Ludwig (2017a) y Algarte et al. (2017b), las comunidades de diatomeas se asocian muy estrechamente con las condiciones ambientales, en especial a través de sus rasgos biológicos.
Los rasgos funcionales de las especies de la comunidad impactan indirectamente la adaptación de los organismos a través de sus efectos sobre el crecimiento, la reproducción y la supervivencia (Violle et al., 2007). El espectro en el cual fluctúan dichos rasgos da una idea de la manera como las comunidades se acoplan al funcionamiento del ecosistema (Cadotte, 2017). Las contribuciones de los rasgos individuales al funcionamiento ecológico se pueden ver en los valores medios ponderados de los rasgos de la comunidad (MPC). Se ha hipotetizado que las relaciones entre la MPC de los rasgos y las condiciones ambientales sugieren una selección local hacia un valor óptimo de los rasgos (Muscarella & Uriarte, 2016). Dichos autores hicieron un estudio de los rasgos funcionales de los árboles en un bosque protegido de Puerto Rico y encontraron que los valores de la MPC permiten determinar el fenotipo multidimensional óptimo de la comunidad. En los ríos de la Reserva La Planada la variación de los MPC de la mayoría de los rasgos no fue estadísticamente diferente entre corrientes y esto implica que las comunidades de algas bentónicas se adaptan de forma muy similar a los ecosistemas fluviales de la región. Sin embargo, la abundancia de algas con exoesqueleto de sílice fue estadísticamente mayor en El Tejón, posiblemente porque el ambiente físico de esta quebrada favoreció a las diatomeas. Por otra parte, aunque sin diferencias significativas, la mayor presencia de algas con mucílago en el río Miraflores podría señalar características ambientales en este sistema (mayor conductividad, alta velocidad de la corriente, caudal elevado) que promovieron la producción de sustancias mucilaginosas en sus algas, como se ha visto en otros estudios como los de Najdek, Blazina, Djakovac y Kraus (2005) y Higgins, Crawford, Mulvaney y Wetherbee (2002). Dicha relación entre el grado de turbulencia y la producción de mucílago es un aspecto que deberá evaluarse en posteriores estudios. Por su parte, la predominancia del rasgo de organización en filamentos en La Calladita, el sistema lótico más pequeño estudiado en La Planada, caracterizado por un caudal bajo, una reducida velocidad de la corriente y una cobertura boscosa muy cerrada, parece indicar que estas características ambientales promueven el crecimiento de estas formas filamentosas. Tapolczai, Bouchez, Stenger-Kovás, Padisák y Rimet (2016) citan estudios en los que las algas filamentosas de alto perfil pueden tener ventajas en condiciones de baja irradiación, como las que pueden ocurrir bajo un dosel cerrado.
La dispersión de un rasgo determinado de las especies de la comunidad se puede evaluar a través de su varianza; por lo tanto, los valores de VPC permiten medir la fluctuación interespecífica de tales rasgos funcionales en este nivel de la comunidad. Una disminución en la varianza de los rasgos a través de un gradiente ecológico puede revelar la ocurrencia de un filtrado ambiental, es decir la selección por parte del ambiente abiótico de aquellas especies con valores de rasgos similares dentro de la comunidad (Le Bagousse-Pinguet et al., 2017), de manera que dicho filtrado se convierte en el proceso principal de ensamblaje comunitario (Cornwell & Ackerly, 2009; Hulshof et al., 2013). Por el contrario, un aumento en la VPC a lo largo del gradiente puede ser el resultado de una homogenización de las comunidades debido a un menor efecto de las variables ambientales. Los datos de las VPC en los ríos de La Planada no mostraron diferencias estadísticas entre sistemas ni un patrón de aumento o decremento en el gradiente existente, el cual va desde ningún efecto antrópico (La Calladita) a una intervención humana ligeramente mayor (Miraflores), tal vez porque los cambios ambientales no diferencian suficientemente las condiciones fisicoquímicas de estas corrientes. No obstante, sí se observaron variaciones amplias y distribuciones no uniformes entre los ríos, lo cual podría denotar que no hay limitación en la partición de los recursos (nutrientes, luz, espacio) (Hulshof et al., 2013) en estas comunidades de algas bentónicas. Por otra parte, las amplias diferencias interespecíficas en la varianza de los rasgos podrían estar asociadas a desigualdades notables en las abundancias de las algas en las comunidades bentónicas de cada sistema fluvial, lo cual parecería evidenciar que hay pocos competidores en la comunidad, en cuyo caso se produce un aumento de la variación intraespecífica local (Violle et al., 2012). Hipotéticamente, se podría sugerir que la variación alta de los rasgos funcionales podría implicar que las interacciones competitivas evitan que las especies de algas coexistentes sean demasiado similares funcionalmente, de manera similar a lo encontrado por Hulshof et al. (2013) en comunidades vegetales de diferentes biomas.
El crecimiento y la morfología son características que ayudan a evaluar el éxito de sobrevivencia de un organismo bajo unas circunstancias físicas definidas (Margalef, 1978). De acuerdo con este autor, la turbulencia y la concentración de nutrientes son los factores más relevantes que han influido en la evolución, la morfología y la distribución de las poblaciones de algas planctónicas en los cuerpos de agua continentales. La relación S/V, por ejemplo, afecta la absorción de luz y nutrientes (Lewis, 1976). Se establece así una direccionalidad del medio físico sobre los organismos que componen las comunidades fitoplanctónicas (Reynolds, 1980), que favorece su diversificación y hace que las algas de estos ambientes sean muy diversas. Los trabajos mencionados se refieren a ecosistemas lénticos, mientras que la información sobre los rasgos funcionales de las algas perifíticas en sistemas lóticos es comparativamente muy limitada y reciente (Lange, Townsend, & Matthaei, 2015). Sin embargo, parece plausible asumir que el ambiente físico ejerce también un papel determinante en la expresión de los rasgos funcionales de las comunidades ficoperifíticas en los ríos.
Los rasgos funcionales son indicadores de las estrategias de adaptación bajo condiciones ambientales particulares (Tapolczai et al., 2016). Es de esperar entonces que las comunidades de algas perifíticas de los sistemas fluviales respondan al efecto directo e inmediato de las variables físicas, químicas e hidrológicas, lo cual debe reflejarse en sus atributos funcionales. Un primer indicio de esta influencia se observa en el ACC, en el que los rasgos de biovolumen, dimensión máxima y organización en filamentos se asociaron a sistemas fluviales pequeños, con bajos caudales y menor mineralización (las quebradas o riachuelos). El exoesqueleto de sílice, la presencia de mucílago y relación S/V respondieron a mayores caudales y aguas más oxigenadas, es decir, a ambientes más dinámicos (los ríos de orden mayor). Teóricamente, se puede sugerir que las estrategias de las algas de ser más pesadas (con exoesqueleto silíceo), más aplanadas (con relaciones S/V altas) y con secreciones mucilaginosas, se ven incrementadas por las condiciones de mayor energía en los ríos (caudal, velocidad de la corriente y oxigenación altos). De esa manera logran adaptarse mejor a esas circunstancias de elevado estrés hidrológico.
Una detección más directa de los efectos de los factores abióticos sobre los rasgos funcionales se muestra a través de las regresiones. La relación más robusta fue la de la MPC del mucílago con la dureza total, que fue positiva y que insinúa un incremento en la excreción de las algas como una posible respuesta al aumento en la concentración de iones disueltos. Este comportamiento se reafirma con la relación entre el mucílago y la conductividad. Najdek et al. (2005) describen un incremento en la cantidad de mucílago cuando la salinidad aumenta en aguas oligotróficas, mientras que Higgins et al. (2002) sugieren que las excreciones mucilaginosas de las diatomeas responden a fuerzas dinámicas y abrasivas, como sería el caso de una mayor velocidad de la corriente. Para el perifiton de los ríos de La Planada, parece ser que la mayor presencia de algas con mucílago en el río Miraflores (de dureza, conductividad y caudal más altos) es una respuesta de protección y adhesión para reducir el arrastre por la corriente.
La organización en filamentos disminuye en aguas más transparentes, tal vez porque el sistema con el mayor desarrollo de formas filamentosas fue La Calladita, una quebrada con un sustrato arcilloso y aguas un poco más turbias, en la que el reducido caudal y la baja velocidad de la corriente favoreció la presencia de algas filamentosas. Esta relación inversa entre velocidad y cantidad de algas filamentosas ha sido demostrada experimentalmente, de manera que un aumento en la velocidad crítica del agua puede causar una reducción en la biomasa de este grupo (Ahn et al., 2013). La organización en filamentos también se redujo en aguas ligeramente más alcalinas porque éstas correspondieron a los ríos más caudalosos y dinámicos, en los que las algas de alto perfil pueden tener dificultades para prosperar. En cambio, los taxones con relaciones S/V altas (es decir, con áreas grandes y volúmenes pequeños) se correlacionaron positivamente con el pH, puesto que aquellas formas aplanadas o alargadas predominaron en los ríos de mayor orden, cuyas aguas fueron menos ácidas que las de los riachuelos.
La relación positiva entre la transparencia y la presencia de exoesqueleto de sílice podría señalar que además de la velocidad de la corriente y el caudal como factores a los cuales se han adaptado las diatomeas bentónicas fluviales, la penetración de la luz sería otra variable importante para este grupo de algas, dado su predominio en El Tejón y en Pialapí, sistemas de menor turbiedad. Estos resultados difieren del comportamiento registrado por Margalef (1978) para las diatomeas planctónicas, dado que en los ambientes lénticos las Bacillariophyceae son dominantes cuando las aguas son turbulentas y ricas en nutrientes. En los ríos, la turbulencia es permanente y elevada y se convierte en una condición constante, de manera que otros factores como la transparencia pueden ganar importancia en la estructuración de las comunidades de algas perifíticas.
Los resultados de este estudio corresponden a un periodo de menores lluvias (mayo) dentro una región con una pluviosidad en general muy alta y permanente. Es probable que el periodo de mayores lluvias, centrado en diciembre y enero, provoque algunos cambios en la representación de los rasgos funcionales de las algas bentónicas. Se requerirán posteriores estudios al respecto, pero es de esperar que un incremento en el caudal provoque un aumento en la presencia de mucílago, potencie el dominio de las diatomeas, reduzca las formas filamentosas y favorezca las algas con una mayor relación superficie volumen, es decir, con formas más aplanadas y menos voluminosas. El presente trabajo establece una línea base sobre los aspectos funcionales de las comunidades de algas perifíticas en ecosistemas lóticos de la vertiente del Pacífico del norte de los Andes, región conocida como el Chocó Biogeográfico, la cual constituye un “hotspot” de biodiversidad de importancia mundial (Christenhusz et al., 2017; Pérez-Escobar et al., 2019). Tales ríos están en general bien conservados y algunos pueden considerarse prístinos (La Calladita, El Tejón), condiciones favorecidas por su ubicación dentro de una zona de reserva. Por lo tanto, los datos aquí presentados servirán no solo como referencia para el estudio de otros ríos de la zona, sino también como fundamento en caso de requerirse la restauración funcional de ambientes fluviales deteriorados en esta importante área de alta diversidad biológica del planeta.
Declaración de ética: los autores declaran que todos están de acuerdo con esta publicación y que han hecho aportes que justifican su autoría; que no hay conflicto de interés de ningún tipo; y que han cumplido con todos los requisitos y procedimientos éticos y legales pertinentes. Todas las fuentes de financiamiento se detallan plena y claramente en la sección de agradecimientos. El respectivo documento legal firmado se encuentra en los archivos de la revista.
suppl1.pdf (pdf) Rasgos funcionales de los géneros de algas perifíticas en los ríos estudiados en la Reserva La Planada
suppl1.pdf (pdf) Rasgos funcionales de los géneros de algas perifíticas en los ríos estudiados en la Reserva La Planada
A los Laboratorios de Ecología, de Limnología y de Equipos Ópticos del Departamento de Biología de la Universidad Nacional de Colombia Sede Bogotá. A los directores y funcionarios de la comunidad indígena Awa, quienes manejan la Reserva La Planada, por su hospitalidad y apoyo logístico. A los estudiantes y profesores del curso de Ecología Regional Continental realizado en el primer semestre de 2019, por la colaboración durante los muestreos y los análisis de laboratorio. A Agustín Rudas del Instituto de Ciencias Naturales de la Universidad Nacional de Colombia por su asesoría en los análisis multivariados y a Beatriz Salgado del Departamento de Biología de la misma universidad por sus invaluables indicaciones sobre los aspectos teóricos y metodológicos para el estudio de los rasgos funcionales comunitarios. Los aportes de los revisores anónimos permitieron optimizar la versión final de este trabajo.






