Artículo
Vertebrados silvestres atropellados en asentamientos humanos del Pacífico sur mexicano
Wild vertebrates' roadkill across human settlements of the Mexican Southern Pacific
Vertebrados silvestres atropellados en asentamientos humanos del Pacífico sur mexicano
Revista de Biología Tropical, vol. 71, núm. 1, pp. 1-9, 2023
Universidad de Costa Rica
Recepción: 17 Enero 2023
Recibido del documento revisado: 13 Abril 2023
Aprobación: 20 Julio 2023
Resumen
Introducción: Las vías de comunicación son parte del desarrollo económico y social en todo el mundo. El desarrollo de carreteras causa la fragmentación de ecosistemas naturales, aumentando el riesgo de mortalidad de los animales silvestres por atropellamientos vehiculares.
Objetivo: Analizar la tasa de mortalidad de vertebrados silvestres atropellados de acuerdo con la temporada climática y el grado de urbanización en una zona costera del estado de Guerrero, al sur de México.
Métodos: Se realizaron 12 recorridos con tres observadores en un vehículo a una velocidad de 30 km/h durante un año (junio de 2021 a mayo de 2022). Los organismos fueron georreferenciados e identificados. Se calculó la tasa de atropellamiento (atropellos/día/kilómetro) de los vertebrados silvestres.
Resultados: Se registraron 37 especies de vertebrados silvestres atropellados, de las cuales nueve están en peligro de extinción y siete son endémicas de México. Los mamíferos presentaron la tasa de mortalidad más elevada (0.126 animales atropellados/día/km). No hubo diferencias en la tasa de mortalidad entre temporadas. Se detectaron 11 puntos calientes (hotspots) de atropellos. Se identificaron más vertebrados silvestres atropellados en zonas de baja urbanización que en áreas de media y alta.
Conclusión: Nuestros resultados mostraron que los mamíferos son los vertebrados silvestres más vulnerables a los atropellamientos vehiculares. El riesgo de atropellamientos de animales silvestres está relacionado con el nivel de urbanización. Este estudio puede ser una herramienta en el desarrollo de carreteras sustentables para la fauna silvestre.
Palabras clave: Carreteras+ conservación+ fauna silvestre+ México+ tasa de mortalidad+ tráfico vehicular.
Abstract
Introduction: Communication is part of economic and social development around the globe. The development of roads causes the fragmentation of natural ecosystems, increasing the mortality risk of wild animals due to vehicle collisions.
Objective: To analyze the mortality rate of wild vertebrates run over according to the climatic season and the urbanization degree in the coastal area of the Guerrero state, in Southern Mexico.
Methods: 12 trips with three observers using a vehicle at a speed of 30 km/h were conducted during one year (June 2021 to May 2022). The organisms were geo-referenced and identified. The roadkill rate (roadkill/day/km) was calculated for the wild vertebrates.
Results: In total, 37 species of ran over wild vertebrates were registered, of which nine are considered endangered and seven are endemic of Mexico. Mammals had the highest mortality rate (0.126 roadkill/day/km). No differences were found in the mortality rate among rainy and dry seasons; 11 roadkill hotspots were detected. More incidences of roadkill were identified in low urbanization zones than medium and high urbanization areas.
Conclusions: Our results showed that mammals are the most vulnerable wild vertebrates to vehicle collisions. The roadkill risk of wild animals is related to the urbanization level. This study can be a tool in the development of sustainable roads for wildlife.
Key words: Conservation, Mexico, mortality rate, roads, vehicular traffic, wildlife.
Introducción
El crecimiento exponencial de la población ha originado una mayor demanda de infraestructuras de transporte que han permitido el desarrollo socioeconómico a nivel local y global (Laurance et al., 2014). De hecho, se espera que a nivel global el desarrollo de autopistas, carreteras y caminos incremente otros 11 y 14 millones de km para el 2030 y 2050, respectivamente (Dulac, 2013). Este incremento de estructuras viales promueve la fragmentación de los ecosistemas naturales, cambios en la calidad del agua, introducción de contaminantes químicos y aumento de niveles de ruido (Coffin, 2007; Laurance et al., 2014). Otra amenaza de las estructuras viales es el incremento en la mortalidad de la fauna silvestre por atropellamientos vehiculares (Findlay & Bourdages, 2000; Trombulak & Frissell, 2000). El atropellamiento es una de las principales causas de muerte de los vertebrados silvestres a nivel global (Schwartz et al., 2020). Esto subraya la necesidad de desarrollar carreteras sustentables que reduzcan los impactos negativos en la fauna silvestre (Laurance et al., 2014).
En Latinoamérica, los anfibios son los vertebrados silvestres con las mayores incidencias de atropellamientos (Arevalo et al., 2017; Pinto et al., 2020), aunque los reptiles, mamíferos y aves también suelen ser atropellados (Medrano-Vizcaíno et al., 2022; Monge-Nájera, 2018). El atropellamiento de animales silvestres está relacionado con la temporalidad y el nivel de urbanización. Se ha descrito que los anfibios y reptiles suelen ser más atropellados durante la temporada de lluvias, ya que esta temporada es la de mayor actividad para estos grupos de animales (Arevalo et al., 2017; Carvalho et al., 2017; Coelho et al., 2012). También se ha documentado que en asentamientos altamente poblados, el flujo vehicular es mayor, lo que hace más vulnerable a la fauna silvestre a atropellamientos vehiculares (Coffin, 2007). Además, en zonas con alta densidad poblacional, se genera mayor cantidad de residuos que atraen a los animales silvestres, lo que incrementa la probabilidad de colisiones vehiculares (Rendall et al., 2021). Asimismo, las zonas semiurbanas o rurales que tienden a tener una densidad poblacional y flujo vehicular bajos, y mayor cantidad de vegetación al borde de las carreteras también incrementan el riesgo de atropellamientos de animales silvestres (Kent et al., 2021; Kreling et al., 2019).
En México, la mayoría de los estudios sobre animales silvestres atropellados se han realizado en las vertientes del Golfo y Pacífico mexicano (e.g., Canales-Delgadillo et al., 2020; Cervantes-Huerta et al., 2018; Delgado-Trejo et al., 2018; Grosselet et al., 2004). Sin embargo, aún existen áreas sin información que evalúen los efectos potenciales de las carreteras en la fauna silvestre. Tal es el caso del estado de Guerrero, en el sur de México, cuya densidad poblacional e infraestructura vial han incrementado notablemente en la última década (INEGI, 2020). En el estado, no hay estudios sobre atropellamientos de animales silvestres, por lo que evaluar el efecto de las carreteras en los vertebrados silvestres puede generar información que ayude a desarrollar criterios de sustentabilidad para carreteras más adecuadas.
En este estudio, se analizó la relación temporal (secas y lluvias) y el contexto urbano (urbanización alta, media y baja) en la tasa de mortalidad de vertebrados silvestres por atropellamientos vehiculares en un tramo carretero de la costa del Pacífico sur mexicano. Para ello, se formularon las siguientes preguntas: 1) ¿qué grupo de vertebrado silvestre presenta la mayor tasa de mortalidad por atropellamientos vehiculares?, 2) ¿la tasa de mortalidad de vertebrados silvestres atropellados varía con la temporada (secas y lluvias) y el grado de urbanización (baja, media y alta)?
Materiales y métodos
Área de estudio: El estudio se llevó a cabo en la carretera Acapulco-Aeropuerto (km 8.70 + 14.90) al entronque Potrero-Lomas de Chapultepec (km 21 + 33) de la red estatal libre (Tramo: Glorieta Puerto Marqués-Barra Vieja), en el municipio de Acapulco de Juárez, Guerrero, México (inicio: 16°48'23.38'' N & 99°49'35.39''W y final: 16°41'26.87'' N & 99°37'23.79'' W). El clima es cálido subhúmedo con una temperatura entre los 21 y 32 °C, así como una precipitación anual promedio de 102 mm. Hay dos temporadas climáticas: una temporada de secas de noviembre a abril y una de lluvias de mayo a octubre (Conagua, 2022). El área está dominada por asentamientos humanos, pastizales halófitos y agricultura de riego temporal y anual y terrenos baldíos con vegetación secundaria. El relieve es una planicie costera con poca elevación < 15 m.
Sitios de muestreo: El tramo carretero estudiado representa un gradiente de urbanización: 1) urbanización alta, son áreas con vías asfálticas de seis carriles con una longitud de 7 km que atraviesan áreas edificadas por centros comerciales, hoteles de paso y casas habitacionales. También se encuentran áreas recreativas como parques, jardines y campos de golf. El flujo vehicular promedio anual es de 29 493 vehículos (SCT, 2022) y la densidad poblacional es mayor a 1 000 personas por km2. 2) Urbanización media, corresponde a áreas con vías asfálticas de cuatro carriles con una longitud de 8 km, los cuales pasan por pequeñas villas turísticas, restaurantes y hoteles ubicados en la parte de la playa. El flujo vehicular promedio anual es de 7 661 vehículos (SCT, 2022) y la densidad poblacional es entre 600-900 personas por km2. 3) Urbanización baja, son áreas con vías asfálticas de dos carriles con una longitud de 12 km que pasan a lo largo de pueblos pequeños o rancherías rodeados por cultivos agrícolas y potreros de uso ganadero. El flujo vehicular promedio anual es menor de 7 661 vehículos (SCT, 2022) y la densidad poblacional es menor a 500 personas por km2.
Recopilación de datos: Durante un año continuo de junio 2021 a mayo 2022, realizamos recorridos matutinos (08:00 a las 11:00 h) mensuales a lo largo de 27 km de carretera. Cada recorrido se realizó con tres observadores incluido el conductor del vehículo. La velocidad del vehículo fue constante (30 km/h) en todos los recorridos. Una vez registrado e identificado el organismo, se retiró de la carretera para evitar una sobreestimación de los registros.
Identificación de vertebrados silvestres atropellados: Cada ejemplar atropellado se determinó al nivel taxonómico más bajo posible con el apoyo de guías de campo especializadas (Álvarez-Castañeda et al., 2015; Howell & Webb, 1995; Köhler, 2008; Peterson & Chalif, 1989). Se determinó la categoría de conservación y endemismo de cada especie de vertebrado silvestre atropellado con base en la NOM-059-SEMARNAT-2010 (SEMARNAT, 2010).
Se estimó la tasa de mortalidad por kilómetro (atropellos/día/kilómetros) con la función ''Mortality Rate Estimate'' en el software SIRIEMA V. 2. (Coelho et al., 2014). Para esto se consideraron los siguientes parámetros: longitud de la carretera (27 km), número total de atropellos para cada taxón, intervalo de muestreo (TS = 30), eficiencia de los buscadores (P = 0.6) y tiempo característico de remoción de cadáveres (TR = 2.45). Estos dos últimos valores se obtuvieron de la literatura (Coelho et al., 2014; Teixeira et al., 2013a). Para evaluar la existencia de diferencias significativas en la tasa de mortalidad entre taxones (anfibios, aves, mamíferos y reptiles), y el número de individuos entre asentamientos humanos aplicamos una prueba de Kruskal-Wallis con comparaciones a posteriori de Dunn. Se analizaron las diferencias en la tasa de mortalidad por taxón entre secas y lluvias mediante una prueba U de Mann-Whitney. Se utilizó el estadístico K de Ripley 2D para conocer si la distribución de los atropellamientos presenta una agrupación espacial significativa (Coelho et al., 2008), utilizando los siguientes parámetros: radio inicial de 300 m, un aumento de radio de 500 m, un nivel de confianza del 95 % y una prueba de Monte Carlo con 1 000 aleatorizaciones (Coelho et al., 2014). Los tramos carreteros con alta mortalidad (hotspot) se determinaron mediante un análisis de identificación de 2D hotspot (Teixeira et al., 2013b). En este análisis se dividió la carretera en tramos con la misma longitud (54 m) y se centró un círculo de 300 m de radio. Las figuras de los resultados de K de Riplay y 2D hotspot se realizaron utilizando la aplicación de SIRIERMA (Dornas, 2018). Todos los análisis se llevaron a cabo en R 4.1.2 (R Development Core Team, 2021).
Resultados
Composición de vertebrados silvestres atropellados: Registramos un total de 148 individuos de vertebrados silvestres atropellados. De estos, se identificó el 81 % (120 individuos) que corresponde a 37 especies, 27 familias, 12 órdenes y cuatro clases (MST1). El resto de los organismos atropellados (28 ind = 19 %) no se identificaron debido al grado avanzado de descomposición. Las especies con mayor número de individuos atropellados fueron el sapo gigante (Rhinella horribilis; 19 ind = 13 %), el tlacuache (Didelphis virginiana; 17 ind = 12 %), el mapache (Procyon lotor; 11 ind = 8 %) y el zorrillo cadeno (Conepatus leuconotus; 7 ind = 5 %). Un total de siete especies de vertebrados silvestres atropellados son endémicas de México y nueve se encuentran enlistadas en la NOM-059-SEMARNAT-2010 (MST1).
Tasa de mortalidad entre vertebrados silvestres: Los mamíferos tuvieron mayor tasa de mortalidad por kilómetro (44 % = 0.126 atropellos/día/km) comparado a los anfibios (25 % = 0.072 atropellos/día/km), reptiles (19 % = 0.056 atropellos/día/km) y aves (12 % = 0.036 atropellos/día/km; Kruskal-Wallis: P < 0.05; Fig. 1).

Patrones temporales de mortalidad: Ningún grupo taxonómico mostró diferencias en la tasa de mortalidad entre secas y lluvias (P > 0.05; MST2).
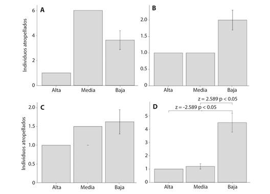
Patrones espaciales de mortalidad: Se identificaron agregaciones significativas para los cuatro grupos de vertebrados silvestres atropellados (MSF1). Para los anfibios, los puntos calientes de atropellos estuvieron entre los km 11.90 a 12.90, 15 al 18.50, y 21.50 al 22.25 (MSF2A). Para los reptiles, entre los km 14.50, 16 a 17.25, y 20.50 a 21.50 (MSF2B). Para las aves, en los km 15.90 y 16.90 a 17.50 (MSF2C). Para los mamíferos, en los km 14.25, 18.25, 20.50 al 21.25, 21.50, 23.25, y 23.50 a 23.90 (MSF2D). Los mamíferos tuvieron el mayor número de atropellamientos en las áreas con urbanización baja comparado a las otras dos áreas (Fig. 2).

Discusión
La riqueza de especies registradas (n = 37) como atropelladas en este estudio es mayor al reportado en estudios previos de México (Cervantes-Huerta et al., 2018; Grosselet et al., 2004; Pozo-Montuy et al., 2021). Esta riqueza de especies atropelladas puede ser resultado de las características del paisaje, ya que los bordes de las carreteras poseen fragmentos de vegetación que atrae a la fauna silvestre (Bauni et al., 2017). Otro factor es la falta de señales de tránsito y el bajo número de baches en el tramo carretero. Se ha descrito que la falta de estas señales hace que los vehículos vayan con mayor velocidad, dificultando a los conductores frenar cuando encuentran algún animal en la carretera (Coelho et al., 2008; Coelho et al., 2012). La tasa de mortalidad por día (8.22) y por kilómetro (0.29) reportada en este estudio es menor a lo reportado en tramos carreteros de otros países latinoamericanos (Coelho et al., 2008; Rojano Bolaño & Ávila Avilán, 2021). Los tramos carreteros de estos estudios tuvieron el doble de longitud y mayor número de recorridos, lo que incrementa la posibilidad de encontrar mayor número de animales silvestres atropellados.
Los mamíferos presentaron la mayor tasa de mortalidad. Este resultado coincide con estudios previos que han documentado que los mamíferos son los vertebrados silvestres más vulnerables a atropellamientos vehiculares (Carvalho et al., 2017; Cervantes-Huerta et al., 2018). Una razón de esto es que los mamíferos presentan áreas de distribución amplia. Esto hace que utilicen las carreteras como corredores para moverse entre hábitats (Bueno et al., 2013; Saranholi et al., 2016), incrementando la tasa de mortalidad de los mamíferos por atropellamientos. Otra razón es que varias especies de mamíferos como Conepatus leuconotus, Dasypus novemcinctus, Didelphis virginiana y Urocyon cinereoargenteus tienen patrones de actividad nocturnos (Alejandra et al., 2020). Si bien el tráfico vehicular es menor durante la noche, en este horario suele incrementar la circulación de autos de carga pesada en el área de estudio. Como consecuencia, los mamíferos suelen ser más vulnerables a los atropellamientos vehiculares durante la noche, porque las luces de los vehículos pueden inmovilizarlos o disminuir su visión cuando cruzan las carreteras. Asimismo, se debe tomar en cuenta que existen otros factores que afectan las estimaciones de la tasa de mortalidad, como el tamaño, persistencia y detección del cadáver. Es decir, los organismos más pequeños son más difíciles de detectar, además estos son removidos por los organismos carroñeros (Barthelmess & Brooks, 2010; Bauni et al., 2017; Santos et al., 2016).
La temporalidad no influyó en la tasa de mortalidad de los vertebrados silvestres por atropellamientos vehiculares. Este resultado coincide con otros estudios de Latinoamérica que han reportado que los organismos atropellados duran menos tiempo en las carreteras debido a su eliminación por animales carroñeros (Adárraga-Caballero & Gutiérrez-Moreno, 2019; Omena Junior et al., 2012; Seijas et al., 2013). Los organismos muertos en carreteras suelen ser fuente de alimento para varios animales carroñeros como zopilotes, zanates, mapaches y zorrillos, los cuales remueven a los organismos de las carreteras (Kostecke et al., 2001). Otro factor que pudo influir en el número de avistamientos temporales de organismos atropellados en la carretera es que durante la temporada lluviosa los organismos atropellados se degradan más rápido y/o son arrastrados por las corrientes de agua de las lluvias (Santos et al., 2011). Sin embargo, aunque en este estudio la temporada climática no influyó en la tasa de mortalidad de los vertebrados silvestres atropellados, se ha documentado un mayor número de vertebrados silvestres atropellados durante la temporada lluviosa (Carvalho et al., 2017). Este periodo incluye meses con mayor productividad primaria que aumentan la disponibilidad de recursos alimenticios para los vertebrados silvestres (Garriga et al., 2017; Thomas et al., 2016). Además, esta temporada también coincide con las épocas reproductivas de los animales silvestres (Ikegami & Yoshimura, 2016; Nicholls et al., 1988), lo que incrementa la tasa de mortalidad de vertebrados silvestres atropellados.
Los resultados obtenidos mostraron 11 tramos carreteros con mayor probabilidad de atropellamientos de la fauna silvestre. El 73 % de estos 11 hotspots coinciden en zonas semiurbanas o rurales. Estas zonas de urbanización baja presentaron mayor número de vertebrados silvestres atropellados comparado a las zonas de urbanización media y alta. Este resultado coincide con estudios previos que han reportado el aumento de animales atropellados en zonas semiurbanas o rurales (Kent et al., 2021; Rendall et al., 2021). Esto se debe a que la fauna silvestre busca mayor disponibilidad de recursos (e.g., alimento, refugios) en áreas con mayor composición vegetal como las áreas rurales (Bauni et al., 2017; Kent et al., 2021; Kreling et al., 2019). Finalmente, se encontró que el patrón de atropellos de los vertebrados no fue de manera aleatoria, si no que se concentran en ciertos sitios donde los futuros esfuerzos de mitigación pueden ser más efectivos. Este es un trabajo pionero a nivel local y estatal. Los resultados contribuyen al conocimiento de los impactos potenciales de las carreteras en la fauna silvestre para la vertiente del Pacífico sur mexicano. Este estudio muestra sitios críticos donde se deben aplicar medidas que reduzcan los impactos de las carreteras en los vertebrados silvestres, particularmente en especies endémicas (e.g., Incilius marmoreus, Crotalus culminatus, Ctenosaura pectinata, Spilogale pygmaea) o en riesgo (e.g., Iguana iguana, Agkistrodon bilineatus, Coendou mexicanus, Herpailurus yagouaroundi; SEMARNAT, 2010).
Declaración de ética: los autores declaran que todos están de acuerdo con esta publicación y que han hecho aportes que justifican su autoría; que no hay conflicto de interés de ningún tipo; y que han cumplido con todos los requisitos y procedimientos éticos y legales pertinentes. Todas las fuentes de financiamiento se detallan plena y claramente en la sección de agradecimientos. El respectivo documento legal firmado se encuentra en los archivos de la revista.
Agradecimientos
A Cinthia Castro-Flores y Betsy Iracema Nava Arredondo por su apoyo en la recolección de los datos. A los revisores anónimos por sus valiosos comentarios para la mejora del manuscrito.
Referencias
Adárraga-Caballero, M. A., & Gutiérrez-Moreno, L. C. (2019). Mortalidad de vertebrados silvestres en la carretera Troncal del Caribe, Magdalena, Colombia. Biota Colombiana, 20(1), 106-119. https://doi.org/10.21068/c2019.v20n01a07
Alejandra, B. S., Osciel, S. N., & Jesús, G. G. (2020). Daily activity patterns and relative abundance of medium and large mammals in a communal natural protected area on the central coast of Oaxaca, Mexico. International Journal of Biodiversity and Conservation, 12(3), 159-168. https://doi.org/10.5897/IJBC2020.1399
Álvarez-Castañeda, S. T., Álvarez, T., & González-Ruíz, N. (2015). Guía para la identificación de los mamíferos de México en campo y laboratorio/keys for identifying Mexican Mammals in the field and in the laboratory (Primera Ed). Centro de Investigaciones Biológicas del Noroeste, S. C. y Asociación Mexicana de Mastozoología, A. C.
Arevalo, J. E., Honda, W., Arce-Arias, A., & Häger, A. (2017). Spatio-temporal variation of roadkills show mass mortality events for amphibians in a highly trafficked road adjacent to a national park, Costa Rica. Revista de Biología Tropical, 65(4), 1261. https://doi.org/10.15517/rbt.v65i4.27903
Barthelmess, E. L., & Brooks, M. S. (2010). The influence of body-size and diet on road-kill trends in mammals. Biodiversity and Conservation, 19(6), 1611-1629. https://doi.org/10.1007/s10531-010-9791-3
Bauni, V., Anfuso, J., & Schivo, F. (2017). Mortalidad de fauna silvestre por atropellamientos en el bosque atlántico del Alto Paraná, Argentina. Ecosistemas, 26(3), 54-66. https://doi.org/10.7818/ECOS.2017.26-3.08
Bueno, C., Faustino, M. T., & Freitas, S. R. (2013). Influence of landscape characteristics on capybara road-kill on highway BR-040, Southeastern Brazil. Oecologia Australis, 17(2), 130-137. https://doi.org/10.4257/oeco.2013.1702.11
Canales-Delgadillo, J., Pérez-Ceballos, R., Zaldívar-Jiménez, A., Gómez-Ponce, M., Vázquez-Pérez, N., De la Rosa, M., & Potenciano-Morales, L. (2020). Muertes por tráfico sobre la carretera costera del golfo de México: ¿cuántas y cuáles especies de fauna silvestre se están perdiendo? Revista Mexicana de Biodiversidad, 91, 913189. https://doi.org/10.22201/ib.20078706e.2020.91.3189
Carvalho, C. F., Custódio, A. E. I., & Júnior, O. M. (2017). Influence of climate variables on roadkill rates of wild vertebrates in the cerrado biome, Brazil. Bioscience Journal, 33(6), 1632-1641. https://doi.org/10.14393/bj-v33n6a2017-39538
Cervantes-Huerta, R., Escobar, F., García-Chávez, J. H., & González-Romero, A. (2018). Atropellamiento de vertebrados en tres tipos de carretera de la región montañosa central de Veracruz, México. Acta Zoológica Mexicana (N.S.), 33(3), 472-481. https://doi.org/10.21829/azm.2017.3331148
Coelho, A. V. P., Coelho, I. P., Teixeira, F. T., & Kindel, A. (2014). Siriema: road mortality software. User's Manual V. 2.0. Universidade Federal Do Rio Grande Do Sul, 34.
Coelho, I. P., Kindel, A., & Coelho, A. V. P. (2008). Roadkills of vertebrate species on two highways through the Atlantic Forest Biosphere Reserve, southern Brazil. European Journal of Wildlife Research, 54(4), 689-699. https://doi.org/10.1007/s10344-008-0197-4
Coelho, I. P., Teixeira, F. Z., Colombo, P., Coelho, A. V. P., & Kindel, A. (2012). Anuran road-kills neighboring a peri-urban reserve in the Atlantic Forest, Brazil. Journal of Environmental Management, 112, 17-26. https://doi.org/10.1016/j.jenvman.2012.07.004
Coffin, A. W. (2007). From roadkill to road ecology: A review of the ecological effects of roads. Journal of Transport Geography, 15(5), 396-406. https://doi.org/10.1016/j.jtrangeo.2006.11.006
Conagua. (2022). Climatología, resúmenes mensuales de temperatura y lluvia. Comisión Nacional Del Agua, México.
Delgado-Trejo, C., Herrera-Robledo, R., Martínez-Hernández, N., Bedolla-Ochoa, C., Hart, C. E., Alvarado-Díaz, J., Suazo-Ortuño, I., Nava-Bravo, H., Lopez-Toledo, L., & Mendoza, E. (2018). Vehicular impact as a source of wildlife mortality in the Western Pacific Coast of Mexico. Revista Mexicana de Biodiversidad, 89(4), 1234-1244. https://doi.org/10.22201/ib.20078706e.2018.4.2084
Dornas, R. A. P. (2018). Siriema Plots. https://rdornas.shinyapps.io/siriema_plots/
Dulac, J. (2013). Global land transport infrastructure requirements - Estimating road and railway infrastructure capacity and costs to 2050. International Energy Agency, 54.
Findlay, T. C. S., & Bourdages, J. (2000). Response time of wetland biodiversity to road construction on adjacent lands. Conservation Biology, 14(1), 86-94. https://doi.org/10.1046/j.1523-1739.2000.99086.x
Garriga, N., Franch, M., Santos, X., Montori, A., & Llorente, G. A. (2017). Seasonal variation in vertebrate traffic casualties and its implications for mitigation measures. Landscape and Urban Planning, 157, 36-44. https://doi.org/10.1016/j.landurbplan.2016.05.029
Grosselet, M., Villa, B., & Ruiz, G. (2004). Afectaciones a Vertebrados Por Vehiculos Automotores En 1.2 Km De Carretera En El Istmo De Tehuantepec. Proceedings of the Fourth International Partners in Flight Conference: Tundra to Tropics, 227-231.
Howell, S. N. G., & Webb, S. (1995). A guide to the birds of Mexico and northern Central America. Oxford University Press.
Ikegami, K., & Yoshimura, T. (2016). Comparative analysis reveals the underlying mechanism of vertebrate seasonal reproduction. General and Comparative Endocrinology, 227, 64-68. https://doi.org/10.1016/j.ygcen.2015.05.009
INEGI. (2020). Densidad de población por entidad federativa, serie de años censales de 1990 a 2020.
Kent, E., Schwartz, A. L. W., & Perkins, S. E. (2021). Life in the fast lane: roadkill risk along an urban-rural gradient. Journal of Urban Ecology, 7(1). https://doi.org/10.1093/jue/juaa039
Köhler, G. (2008). Reptiles of Central America. In Herpeton Verlag (2nd edition). Kerpeton.
Kostecke, R. M., Linz, G. M., & Bleier, W. J. (2001). Survival of avian carcasses and photographic evidence of predators and scavengers. Journal of Field Ornithology, 72(3), 439-447.
Kreling, S. E. S., Gaynor, K. M., & Coon, C. A. C. (2019). Roadkill distribution at the wildland-urban interface. The Journal of Wildlife Management, 83(6), 1427-1436. https://doi.org/10.1002/jwmg.21692
Laurance, W. F., Clements, G. R., Sloan, S., O'Connell, C. S., Mueller, N. D., Goosem, M., Venter, O., Edwards, D. P., Phalan, B., Balmford, A., Van Der Ree, R., & Arrea, I. B. (2014). A global strategy for road building. Nature, 513(7517), 229-232. https://doi.org/10.1038/nature13717
Medrano-Vizcaíno, P., Grilo, C., Silva Pinto, F. A., Carvalho, W. D., Melinski, R. D., Schultz, E. D., & González-Suárez, M. (2022). Roadkill patterns in Latin American birds and mammals. Global Ecology and Biogeography, 31(9), 1756-1783. https://doi.org/10.1111/geb.13557
Monge-Nájera, J. (2018). Road kills in tropical ecosystems: A review with recommendations for mitigation and for new research. Revista de Biologia Tropical, 66(2), 722-738. https://doi.org/10.15517/rbt.v66i2.33404
Nicholls, T. J., Goldsmith, A. R., & Dawson, A. (1988). Photorefractoriness in birds and comparison with mammals. Physiological Reviews, 68(1), 133-176. https://doi.org/10.1152/physrev.1988.68.1.133
Omena Junior, R., Pantoja-Lima, J., Santos, A. L. W., Ribeiro, G. A. A., & Aride Rocha, P. H. (2012). Caracterización de la fauna de vertebrados atropellada en la carretera br 174, Amazonas, Brasil. Revista Colombiana de Ciencia Animal-RECIA, 4(2), 291-307. https://doi.org/10.24188/recia.v4.n2.2012.211
Peterson, R. T., & Chalif, E. L. (1989). Aves de México. Diana.
Pinto, F. A. S., Clevenger, A. P., & Grilo, C. (2020). Effects of roads on terrestrial vertebrate species in Latin America. Environmental Impact Assessment Review, 81(November 2019), 106337. https://doi.org/10.1016/j.eiar.2019.106337
Pozo-Montuy, G., Guzmán Aguirre, C. C., Téllez Torres, G., & Peralta Munguía, R. (2021). Atropellamiento de fauna silvestre en la carretera Villahermosa-Zacatal, subtramo Atasta, dentro del APFF Laguna de Términos. In J. A. Benítez, & G. Escalona-Segura (Eds.), Impacto de las vías de comunicación sobre la fauna silvestre en áreas protegidas: estudios de caso para el sureste de México (p. 732). ECOSUR.
R Development Core Team. (2021). A Language and Environment for Statistical Computing (4.1.2). R Foundation for Statistical Computing; R Foundation for Statistical Computing. https://www.r-project.org/
Rendall, A. R., Webb, V., Sutherland, D. R., White, J. G., Renwick, L., & Cooke, R. (2021). Where wildlife and traffic collide: Roadkill rates change through time in a wildlife-tourism hotspot. Global Ecology and Conservation, 27, e01530. https://doi.org/10.1016/j.gecco.2021.e01530
Rojano Bolaño, C., & Ávila Avilán, R. (2021). Mortalidad de vertebrados silvestres por atropellamiento en el departamento de Casanare, Colombia. Revista de Medicina Veterinaria, 1(42), 27-40. https://doi.org/10.19052/mv.vol1.iss42.4
Santos, R. A. L., Santos, S. M., Santos-Reis, M., Picanço de Figueiredo, A., Bager, A., Aguiar, L. M. S., & Ascensão, F. (2016). Carcass Persistence and Detectability: Reducing the Uncertainty Surrounding Wildlife-Vehicle Collision Surveys. PLOS ONE, 11(11), e0165608. https://doi.org/10.1371/journal.pone.0165608
Santos, S. M., Carvalho, F., & Mira, A. (2011). How long do the dead survive on the road? Carcass persistence probability and implications for road-kill monitoring surveys. PLoS ONE, 6(9). https://doi.org/10.1371/journal.pone.0025383
Saranholi, B. H., Bergel, M. M., Ruffino, P. H. P., Rodríguez-C, K. G., Ramazzotto, L. A., de Freitas, P. D., & Galetti, P. M. (2016). Roadkill hotspots in a protected area of Cerrado in Brazil: Planning actions to conservation. Revista MVZ Cordoba, 21(2), 5441-5448. https://doi.org/10.21897/rmvz.609
Schwartz, A. L. W., Shilling, F. M., & Perkins, S. E. (2020). The value of monitoring wildlife roadkill. European Journal of Wildlife Research, 66(1), 18. https://doi.org/10.1007/s10344-019-1357-4
SCT. (2022, July 18). Datos Viales. Datos Viales. https://www.sct.gob.mx/carreteras/direccion-general-de-servicios-tecnicos/datos-viales/
Seijas, A. E., Araujo-Quintero, A., & Velásquez, N. (2013). Mortalidad de vertebrados en la carretera Guanare-Guanarito, estado Portuguesa, Venezuela. Revista de Biologia Tropical, 61(4), 1619-1636. https://doi.org/10.15517/rbt.v61i4.12803
SEMARNAT. (2010). Norma Oficial Mexicana NOM-059-SEMARNAT-2010, Protección ambiental-Especies nativas de flora y fauna silvestre-Categorias de riesgo y especificaciones para su inclusión, exclusión o cambio de especies en riesgo. Secretaría de Medio Ambiente y Recursos Naturales, 1-12.
Teixeira, F. Z., Coelho, A. V. P., Esperandio, I. B., & Kindel, A. (2013a). Vertebrate road mortality estimates: Effects of sampling methods and carcass removal. Biological Conservation, 157, 317-323. https://doi.org/10.1016/j.biocon.2012.09.006
Teixeira, F. Z., Coelho, I. P., Esperandio, I. B., Oliveira, N. R., Peter, F. P., Dornelles, S. S., Delazeri, N. R., Tavares, M., Martins, M. B., & Kindel, A. (2013b). Are road-kill hotspots coincident among different vertebrate groups? Oecologia Australis, 17(1), 36-47. https://doi.org/10.4257/oeco.2013.1701.04
Thomas, R. J., Vafidis, J. O., & Medeiros, R. J. (2016). Climatic Impacts on Invertebrates as Food for Vertebrates. In Global Climate Change and Terrestrial Invertebrates (pp. 295-316). John Wiley & Sons, Ltd. https://doi.org/10.1002/9781119070894.ch15
Trombulak, S. C., & Frissell, C. A. (2000). Review of ecological effects of roads on terrestrial and aquatic communities. Conservation Biology, 14(1), 18-30. https://doi.org/10.1046/j.1523-1739.2000.99084.x
Supplementary Information
suppl1.pdf (pdf) Composición de especies de vertebrados silvestres atropellados en un tramo carretero de la costa del Pacífico sur mexicano